Recognition of Bio-Structural Anisotropy by Polarization Resolved Imaging
Abstract
:1. Introduction
2. Materials and Methods
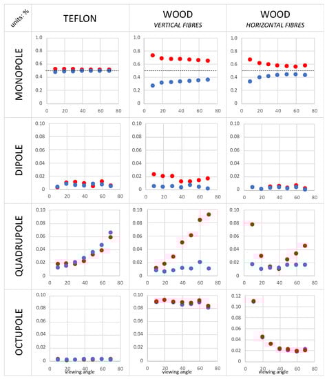
3. Results
4. Discussion
5. Conclusions
Author Contributions
Funding
Data Availability Statement
Conflicts of Interest
References
- Levitt, J.A.; Matthews, D.R.; Ameer-Beg, S.M.; Suhling, K. Fluorescence lifetime and polarization-resolved imaging in cell biology. Curr. Opin. Biotechnol. 2009, 20, 28–36. [Google Scholar] [CrossRef] [PubMed]
- Goto, A.; Otomo, K.; Nemoto, T. Real-Time Polarization-Resolved Imaging of Living Tissues Based on Two-Photon Excitation Spinning-Disk Confocal Microscopy. Front. Phys. 2019, 56, 7. [Google Scholar] [CrossRef]
- Wilson, B.C.; Adam, G. A Monte Carlo model for the absorption and flux distribution of light in tissue. Med. Phys. 1983, 10, 824–830. [Google Scholar] [CrossRef] [PubMed]
- Maitland, D.J.; Walsh, J.T. Quantitative Measurements of Linear Birefringence During Heating of Native Collagen. Lasers Surg. Med. 1997, 20, 310–318. [Google Scholar] [CrossRef]
- Jacques, S.L.; Lee, K. Polarized video imaging of skin. In Proceedings of the SPIE, San Jose, CA, USA, 1 July 1998; Volume 3245, pp. 356–362. [Google Scholar]
- Anastasiadou, M.; De Martino, A.; Clement, D.; Liege, F.; Laude-Boulesteix, B.; Quang, N.; Dreyfuss, J.; Huynh, B.; Schwartz, L.; Cohen, H. Polarimetric imaging for the diagnosis of cervical cancer. Phys. Stat. Sol. 2008, 5, 1423–1426. [Google Scholar] [CrossRef]
- Manhas, S.; Swami, M.S.; Patel, H.S.; Uppal, A.; Ghosh, N.; Gupta, P.K. Polarized diffuse reflectance measurements on cancerous and noncancerous tissues. J. Biophotonics 2009, 2, 581–587. [Google Scholar] [CrossRef]
- Cheong, W.; Prahl, S.A.; Welch, A.J. A review of the Optical Properties of Biological Tissues. IEEE J. Quant. Electr. 1990, 26, 2166–2185. [Google Scholar] [CrossRef] [Green Version]
- Arwin, H. Application of ellipsometry techniques to biological materials. Thin Solid Films 2011, 519, 2589–2592. [Google Scholar] [CrossRef]
- He, C.; He, H.; Chang, J.; Chen, B.; Ma, H.; Booth, M.J. Polarisation optics for biomedical and clinical applications: A review. Light Sci. Appl. 2021, 10, 194. [Google Scholar] [CrossRef]
- Sakai, S.; Nakagawa, N.; Yamanari, M.; Miyazawa, A.; Yasuno, Y.; Matsumoto, M. Relationship between dermal birefringence and the skin surface roughness of photoaged human skin. J. Biomed. Opt. 2009, 14, 044032. [Google Scholar] [CrossRef]
- Ghosh, N.; Vitkin, I.A. Tissue polarimetry: Concepts, challenges, applications and outlook. J. Biomed. Opt. 2011, 16, 110801. [Google Scholar] [CrossRef] [PubMed] [Green Version]
- Chin, L.; Yang, X.; McLaughlin, R.A.; Noble, P.B.; Sampson, D.D. En face parametric imaging of tissue birefringence using polarization-sensitive optical coherence tomography. J. Biomed. Opt. 2013, 18, 066005. [Google Scholar] [CrossRef] [PubMed]
- Tuchin, V.V. Polarized light interaction with tissues. J. Biomed. Opt. 2016, 21, 071114. [Google Scholar] [CrossRef] [PubMed] [Green Version]
- Kienle, A.; Forster, F.K.; Hibst, R. Anisotropy of light propagation in biological tissue. Opt. Lett. 2004, 29, 2617–2619. [Google Scholar] [CrossRef] [PubMed]
- Wallenburg, M.A.; Wood, M.F.G.; Ghosh, N.; Vitkin, I.A. Polarimetry-based method to extract geometry-independent metrics of tissue anisotropy. Opt. Lett. 2010, 35, 2570–2572. [Google Scholar] [CrossRef]
- Laurent, C.; Ahmed, S.; Boardman, R.; Cook, R.; Dyke, G.; Palmer, C.; Schneider, P.; De Kat, R. Imaging techniques for observing laminar geometry in the feather shaft cortex. J. Microsc. 2020, 277, 154–159. [Google Scholar] [CrossRef]
- Cohn, R.F.; Wagner, J.W.; Kruger, J. Dynamic imaging microellipsometry: Theory, system design, and feasibility demonstration. Appl. Opt. 1988, 27, 4664–4671. [Google Scholar] [CrossRef]
- He, H.; Zeng, N.; Li, D.; Liao, R.; Ma, H. Quantitative Mueller matrix polarimetry techniques for biological tissues. J. Innov. Opt. Health Sci. 2012, 5, 1250017. [Google Scholar] [CrossRef]
- Ghosh, N.; Wood, M.F.G.; Vitkin, I.A. Mueller matrix decomposition for extraction of individual polarization parameters from complex turbid media exhibiting multiple scattering, optical activity and linear birefringence. J. Biomed. Opt. 2008, 13, 044036. [Google Scholar] [CrossRef]
- Guo, X.; Wood, M.F.G.; Vitkin, I.A. Angular measurements of light scattered by turbid chiral media using linear Stokes polarimeter. J. Biomed. Opt. 2006, 11, 041105. [Google Scholar] [CrossRef]
- Spandana, K.U.; Mahato, K.K.; Nirmal, M. Polarization-resolved Stokes-Mueller imaging: A review of technology and applications. Lasers Med. Sci. 2019, 34, 1283–1293. [Google Scholar]
- Ghosh, N.; Wood, M.F.G.; Vitkin, I.A. Polarimetry in turbid, birefringent, optically active media: A Monte Carlo study of Mueller matrix decomposition in the backscattering geometry. J. Appl. Phys. 2009, 105, 102023. [Google Scholar] [CrossRef]
- Batool, S.; Nisar, M.; Mangini, F.; Frezza, F.; Fazio, E. Polarization Imaging for Identifying the Microscopical Orientation of Biological Structures. In Proceedings of the URSI GASS 2020 Conference, Rome, Italy, 29 August–5 September 2020. [Google Scholar]
- Batool, S.; Nisar, M.; Mangini, F.; Frezza, F.; Fazio, E. To study the Mueller matrix polarimetry for the characterization of wood and Teflon flat samples. Results Opt. 2021, 4, 100102. [Google Scholar] [CrossRef]
- Van Tiggelen, B.A.; Maynard, R.; Heiderich, A. Anisotropic Light Diffusion in Oriented Nematic Liquid Crystals. Phys. Rev. Lett. 1996, 77, 639–642. [Google Scholar] [CrossRef] [PubMed]
- Johnson, P.M.; Bret, B.P.J.; Rivas, J.G.; Kelly, J.J.; Lagendijk, A. Anisotropic Diffusion of Light in a Strongly Scattering Material. Phys. Rev. Lett. 2002, 89, 243901. [Google Scholar] [CrossRef] [PubMed] [Green Version]
- Johnson, P.M.; Faez, S.; Lagendijk, A. Full characterization of anisotropic diffuse light. Opt. Expr. 2008, 16, 7435–7446. [Google Scholar] [CrossRef]
- Alerstam, E.; Svensson, T. Observation of anisotropic diffusion of light in compacted granular porous materials. Phys. Rev. E 2012, 85, 040301. [Google Scholar] [CrossRef] [PubMed] [Green Version]
- Grzela, G. Directional Light Emission and Absorption by Semiconductor Nanowires. Ph.D. Thesis, Technische Universiteit Eindhoven, Eindhoven, The Netherlands, 2013. [Google Scholar]
- Lorente, A.; Boersma, K.F.; Stammes, P.; Tilstra, L.G.; Richter, A.; Yu, H.; Kharbouche, S.; Muller, J.P. The importance of surface reflectance anisotropy for cloud and NO2 retrievals from GOME-2 and OMI. Atmos. Meas. Tech. 2018, 11, 4509–4529. [Google Scholar] [CrossRef] [Green Version]
- VanRie, J.; Schütz, C.; Gencȩr, A.; Lombardo, S.; Gasser, U.; Kumar, S.; Salazar-Alvarez, G.; Kang, K.; Thielemans, W. Anisotropic Diffusion and Phase Behavior of Cellulose Nanocrystal Suspensions. Langmuir 2019, 35, 2289–2302. [Google Scholar] [CrossRef] [PubMed]
- Gallinelli, T.; Barbet, A.; Druon, F.; Balembois, F.; Georges, P.; Billeton, T.; Chenais, S.; Forget, S. Enhancing brightness of Lambertian light sources with luminescent concentrators: The light extraction issue. Opt. Express 2019, 27, 11830–11843. [Google Scholar] [CrossRef]
- Chen, J.; Bhattarai, R.; Cu, J.; Shen, X.; Hoang, T. Anisotropic optical properties of single Si2Te3 nanoplates. Sci. Rep. 2020, 10, 19205. [Google Scholar] [CrossRef]
- Poutrina, E.; Urbas, A. Multipole analysis of unidirectional light scattering from plasmonic dimers. J. Opt. 2014, 16, 114005. [Google Scholar] [CrossRef]
- Alaee, R.; Rockstuhl, C.; Fernandez-Corbaton, I. An electromagnetic multipole expansion beyond the long-wavelength approximation. Opt. Commun. 2018, 407, 17–21. [Google Scholar] [CrossRef] [Green Version]
- Evlyukhin, A.B.; Chichkov, B.N. Multipole decompositions for directional light scattering. Phys. Rev. B 2019, 100, 125415. [Google Scholar] [CrossRef]
- Chu, L.; Wang, S. Multipole expansion of the scattering of light from a metal microspheroid. J. Opt. Soc. Am. B 1985, 2, 950–955. [Google Scholar] [CrossRef]
- Evlyukhin, A.B.; Reinhardt, C.; Chichkov, B.N. Multipole light scattering by nonspherical nanoparticles in the discrete dipole approximation. Phys. Rev. B 2011, 23, 235429. [Google Scholar] [CrossRef]
- Evlyukhin, A.B.; Reinhardt, C.; Evlyukhin, E.; Chichkov, B.N. Multipole analysis of light scattering by arbitrary-shaped nanoparticles on a plane surface. J. Opt. Soc. Am. B 2013, 30, 2589–2598. [Google Scholar] [CrossRef]
- Imhof, M.G. Multiple multipole expansions for acoustic scattering. J. Acoust. Soc. Am. 1995, 97, 754. [Google Scholar] [CrossRef]
- Videen, G.; Ngo, D. Light scattering multipole solution for a cell. J. Biomed. Opt. 1998, 3, 212–220. [Google Scholar] [CrossRef]
- Melelli, A.; Jamme, F.; Legland, D.; Beaugrand, J.; Bourmaud, A. Microfibril angle of elementary flax fibres investigated with polarised second harmonic generation microscopy. Ind. Crops Prod. 2020, 156, 112847. [Google Scholar] [CrossRef]
- Niskanen, I.; Räty, J.; Soetedjo, H.; Hibino, K.; Oohashi, H.; Heikkilä, R.; Matsuda, K.; Otani, Y. Measurement of the degree of polarisation of thermally modified Scots pine using a Stokes imaging polarimeter. Opt. Rev. 2020, 27, 178–182. [Google Scholar] [CrossRef] [Green Version]
- Kubelka, P.; Munk, F. Ein Beitrag zur Optik der Farbanstriche. Z. Tech. Phys. 1931, 12, 593–601. [Google Scholar]
- Sandoval, C.; Kim, A.D. Generalized Kubelka-Munk approximation for multiple scattering of polarized light. J. Opt. Soc. Am. A 2017, 34, 153–160. [Google Scholar] [CrossRef] [PubMed] [Green Version]







Publisher’s Note: MDPI stays neutral with regard to jurisdictional claims in published maps and institutional affiliations. |
© 2022 by the authors. Licensee MDPI, Basel, Switzerland. This article is an open access article distributed under the terms and conditions of the Creative Commons Attribution (CC BY) license (https://creativecommons.org/licenses/by/4.0/).
Share and Cite
Fazio, E.; Batool, S.; Nisar, M.; Alonzo, M.; Frezza, F. Recognition of Bio-Structural Anisotropy by Polarization Resolved Imaging. Electronics 2022, 11, 255. https://doi.org/10.3390/electronics11020255
Fazio E, Batool S, Nisar M, Alonzo M, Frezza F. Recognition of Bio-Structural Anisotropy by Polarization Resolved Imaging. Electronics. 2022; 11(2):255. https://doi.org/10.3390/electronics11020255
Chicago/Turabian StyleFazio, Eugenio, Sidra Batool, Mehwish Nisar, Massimo Alonzo, and Fabrizio Frezza. 2022. "Recognition of Bio-Structural Anisotropy by Polarization Resolved Imaging" Electronics 11, no. 2: 255. https://doi.org/10.3390/electronics11020255
APA StyleFazio, E., Batool, S., Nisar, M., Alonzo, M., & Frezza, F. (2022). Recognition of Bio-Structural Anisotropy by Polarization Resolved Imaging. Electronics, 11(2), 255. https://doi.org/10.3390/electronics11020255

