A Symmetric Matrix-Aided MIMO to Improve Reliability for Maritime Visible Light Communications
Abstract
:1. Introduction
- We propose to use a symmetric matrix-assisted MIMO transmission to improve the reliability of maritime VLC systems. By exploiting the repeatability of the elements in the symmetric matrix, the minimum Euclidean distance can be enlarged.
- We use the double SVD to suppress the interferences between the users. Then we apply the scheme in maritime VLC systems.
- We derive the theoretical SER expression for the proposed scheme. Then simulation results are provided to verify the effectiveness of the scheme proposed in this paper.
2. Maritime MIMO-VLC Channel Models
3. Symmetric Matrix-Aided MIMO-VLC System
3.1. MIMO Multiuser Transmitter
3.2. Symmetric Matrix-Aided Modulator
3.3. Receiver Structure
3.4. Theoretical SER Analysis
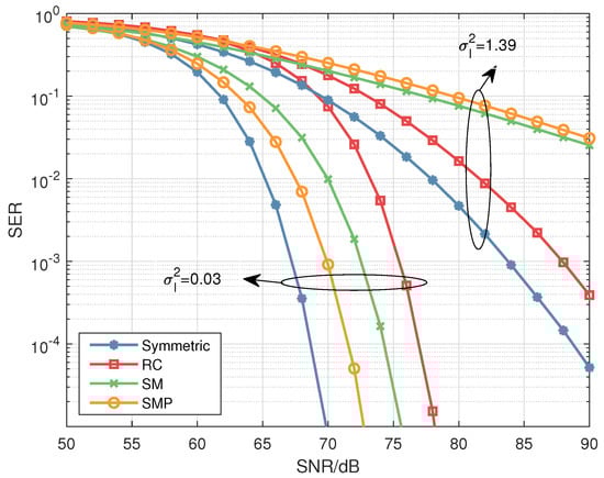
4. Numerical Results
5. Conclusions
Author Contributions
Funding
Institutional Review Board Statement
Informed Consent Statement
Data Availability Statement
Acknowledgments
Conflicts of Interest
References
- Huang, N.; Wang, X.; Ming, C. Transceiver Design for MIMO VLC Systems with Integer-Forcing Receivers. IEEE J. Sel. Areas Commun. 2018, 36, 66–77. [Google Scholar] [CrossRef]
- Brandenburg, J.C.; Liu, J.Q. Optical signal detection in the turbulent atmosphere using p-i-n photodiodes. IEEE J. Sel. Areas Commun. 2009, 27, 1564–1571. [Google Scholar] [CrossRef]
- Kaushal, H.; Kaddoum, G. Underwater Optical Wireless Communication. IEEE Access 2016, 4, 1518–1547. [Google Scholar] [CrossRef]
- Islam, M.S.; Younis, M.; Ahmed, A. Communication through Air Water Interface Using Multiple Light Sources. In Proceedings of the 2018 IEEE International Conference on Communications (ICC), Kansas City, MO, USA, 20–24 May 2018; pp. 1–6. [Google Scholar] [CrossRef]
- Zeng, Z.; Fu, S.; Zhang, H.; Dong, Y.; Cheng, J. A Survey of Underwater Optical Wireless Communications. IEEE Commun. Surv. Tutor. 2017, 19, 204–238. [Google Scholar] [CrossRef]
- Li, B.; Zhang, R.; Xu, W.; Zhao, C.; Hanzo, L. Joint Dimming Control and Transceiver Design for MIMO-Aided Visible Light Communication. IEEE Commun. Lett. 2016, 20, 2193–2196. [Google Scholar] [CrossRef]
- Gao, X.; Dai, L.; Hu, Y.; Zhang, Y.; Wang, Z. Low-Complexity Signal Detection for Large-Scale MIMO in Optical Wireless Communications. IEEE J. Sel. Areas Commun. 2015, 33, 1903–1912. [Google Scholar] [CrossRef]
- Mumtaz, S.; Rodriguez, J.; Dai, L. mmWave Massive MIMO: A Paradigm for 5G; Academic Press: Cambridge, MA, USA, 2016. [Google Scholar]
- Feng, W.; Wang, Y.; Lin, D.; Ge, N.; Lu, J.; Li, S. When mmWave Communications Meet Network Densification: A Scalable Interference Coordination Perspective. IEEE J. Sel. Areas Commun. 2017, 35, 1459–1471. [Google Scholar] [CrossRef]
- Wang, B.; Dai, L.; Wang, Z.; Ge, N.; Zhou, S. Spectrum and Energy-Efficient Beamspace MIMO-NOMA for Millimeter-Wave Communications Using Lens Antenna Array. IEEE J. Sel. Areas Commun. 2017, 35, 2370–2382. [Google Scholar] [CrossRef]
- Li, X.; Jiang, T.; Cui, S.; An, J.; Zhang, Q. Cooperative communications based on rateless network coding in distributed MIMO systems [Coordinated and Distributed MIMO]. IEEE Wirel. Commun. 2010, 17, 60–67. [Google Scholar] [CrossRef]
- Burton, A.; Minh, H.L.; Ghassemlooy, Z.; Bentley, E.; Botella, C. Experimental Demonstration of 50-Mb/s Visible Light Communications Using 44 MIMO. IEEE Photonics Technol. Lett. 2014, 26, 945–948. [Google Scholar] [CrossRef]
- Luong, D.A.; Thang, T.C.; Pham, A.T. Effect of avalanche photodiode and thermal noises on the performance of binary phase-shift keying-subcarrier-intensity modulation/free-space optical systems over turbulence channels. IET Commun. 2013, 7, 738–744. [Google Scholar] [CrossRef]
- Fath, T.; Haas, H. Performance Comparison of MIMO Techniques for Optical Wireless Communications in Indoor Environments. IEEE Trans. Commun. 2013, 61, 733–742. [Google Scholar] [CrossRef]
- Cai, K.; Jiang, M. SM/SPPM Aided Multiuser Precoded Visible Light Communication Systems. IEEE Photonics J. 2016, 8, 1–9. [Google Scholar] [CrossRef]
- Kaymak, Y.; Rojas-Cessa, R.; Feng, J.; Ansari, N.; Zhou, M.; Zhang, T. A Survey on Acquisition, Tracking, and Pointing Mechanisms for Mobile Free-Space Optical Communications. IEEE Commun. Surv. Tutor. 2018, 20, 1104–1123. [Google Scholar] [CrossRef]
- Han, S.; Noh, Y.; Liang, R.; Chen, R.; Cheng, Y.; Gerla, M. Evaluation of underwater optical-acoustic hybrid network. China Commun. 2014, 11, 49–59. [Google Scholar] [CrossRef]
- Huang, G.; Zhang, L.; Jiang, Y.; Wu, Z. A General Orthogonal Transform Aided MIMO Design for Reliable Maritime Visible Light Communications. J. Light. Technol. 2020, 38, 6549–6560. [Google Scholar] [CrossRef]
- Gabriel, C.; Khalighi, M.; Bourennane, S.; Leon, P.; Rigaud, V. Channel modeling for underwater optical communication. In Proceedings of the 2011 IEEE GLOBECOM Workshops (GC Wkshps), Houston, TX, USA, 5–9 December 2011; pp. 833–837. [Google Scholar] [CrossRef]
- Mishra, A.; Pati, P.S.; Giri, R.K. Performance analysis of SIM based FSO using various modulation techniques with APD receiver over turbulent channel. In Proceedings of the 2017 International Conference on Wireless Communications, Signal Processing and Networking (WiSPNET), Chennai, India, 22–24 March 2017. [Google Scholar]
- Andrews, L.C.; Philips, R.L.; Hopen, C.Y. Laser Beam Scintillation With Applications; SPIE Press: Bellingham, WA, USA, 2001. [Google Scholar]
- Jamali, M.V.; Salehi, J.A.; Akhoundi, F. Performance Studies of Underwater Wireless Optical Communication Systems With Spatial Diversity: MIMO Scheme. IEEE Trans. Commun. 2017, 65, 1176–1192. [Google Scholar] [CrossRef]
- Fu, Y.; Du, Y. Performance of heterodyne differential phase-shift-keying underwater wireless optical communication systems in gamma-gamma-distributed turbulence. Appl. Opt. 2018, 57, 2057–2063. [Google Scholar] [CrossRef]
- Gjerstad, K.I.; Stamnes, J.J.; Hamre, B.; Lotsberg, J.K.; Stamnes, K. Monte Carlo and Discrete-Ordinate Simulations of Irradiances in the Coupled Atmosphere-Ocean System. Appl. Opt. 2003, 42, 2609–2622. [Google Scholar] [CrossRef] [PubMed]
- Tang, S.; Dong, Y.; Zhang, X. Impulse Response Modeling for Underwater Wireless Optical Communication Links. IEEE Trans. Commun. 2014, 62, 226–234. [Google Scholar] [CrossRef]
- Huang, G.; Zhang, L. Reliable Rotation Transform Aided MIMO Scheme for Underwater Visible Light Communication. In Proceedings of the 2019 IEEE/CIC International Conference on Communications in China (ICCC), Changchun, China, 11–13 August 2019; pp. 989–993. [Google Scholar] [CrossRef]
- Tse, D.; Viswanath, P. Fundamentals of Wireless Communication; Cambridge University Press: Cambridge, UK, 2005. [Google Scholar]











Publisher’s Note: MDPI stays neutral with regard to jurisdictional claims in published maps and institutional affiliations. |
© 2022 by the authors. Licensee MDPI, Basel, Switzerland. This article is an open access article distributed under the terms and conditions of the Creative Commons Attribution (CC BY) license (https://creativecommons.org/licenses/by/4.0/).
Share and Cite
Zhang, Y.; Feng, Y.; Zhang, L.; Wu, Z. A Symmetric Matrix-Aided MIMO to Improve Reliability for Maritime Visible Light Communications. Electronics 2022, 11, 3019. https://doi.org/10.3390/electronics11193019
Zhang Y, Feng Y, Zhang L, Wu Z. A Symmetric Matrix-Aided MIMO to Improve Reliability for Maritime Visible Light Communications. Electronics. 2022; 11(19):3019. https://doi.org/10.3390/electronics11193019
Chicago/Turabian StyleZhang, You, Yan Feng, Lin Zhang, and Zhiqiang Wu. 2022. "A Symmetric Matrix-Aided MIMO to Improve Reliability for Maritime Visible Light Communications" Electronics 11, no. 19: 3019. https://doi.org/10.3390/electronics11193019
APA StyleZhang, Y., Feng, Y., Zhang, L., & Wu, Z. (2022). A Symmetric Matrix-Aided MIMO to Improve Reliability for Maritime Visible Light Communications. Electronics, 11(19), 3019. https://doi.org/10.3390/electronics11193019

