Next Article in Journal
User OCEAN Personality Model Construction Method Using a BP Neural Network
Previous Article in Journal
A Symmetric Matrix-Aided MIMO to Improve Reliability for Maritime Visible Light Communications
 
 
Font Type:
Arial Georgia Verdana
Font Size:
Aa Aa Aa
Line Spacing:
Column Width:
Background:
Brief Report

High-Resolution Range Profile Feature Transformation Method Based on Amplitude-Phase Modulation Metasurface

The State Key Laboratory of Complex Electromagnetic Environment Effects on Electronics and Information System, National University of Defense Technology, Changsha 410073, China
*
Author to whom correspondence should be addressed.
Electronics 2022, 11(19), 3020; https://doi.org/10.3390/electronics11193020
Submission received: 6 August 2022 / Revised: 18 September 2022 / Accepted: 20 September 2022 / Published: 23 September 2022

Abstract

:
Time-modulated metasurfaces have attracted much attention due to their flexible manipulation of electromagnetic waves. Time-varying response leads to spread-spectrum and reallocation of energy. Thus, an amplitude-phase joint modulation (TAJM) method is proposed based on a time-modulated active polarization conversion metasurface (APCM). Taking radar high resolution range profile (HRRP) as the object, the distance transformation and multi-target phenomena are further discovered. The proposed method achieves a flexible manipulation of target amplitude and phase. The relationship between the modulation parameters and HRRP feature is studied. It is revealed that the absorption depth is the dominant factor for the energy distribution of TAJM. The method can be applied to multi-target generation and target feature manipulation.

1. Introduction

Metasurfaces are artificial electromagnetic (EM) materials with properties that beyond natural limitations, and can manipulate the amplitude, phase, and polarization [1] states of reflected and transmitted EM waves at will. They are typically made of periodically arranged subwavelength unit cells whose properties are determined by the unit cell structure geometry and the dielectric substrate. Thus, the properties of a material are limited by its structure. The emergence of active metasurfaces solves the problem of characteristic curing. Active components with controllable properties such as PIN diodes, MEMS, and graphene are used in structural design to manipulate the response of metasurfaces [2,3,4]. The applications of active metasurfaces are greatly broadened. Some exotic scattering phenomena of metasurfaces are also of particular interest.
Time-variant properties are a critical method to breaking reciprocity that imposes fundamental limitations on wave propagation [5,6]. The harmonic effects of electromagnetic waves irradiated on time-modulated metasurfaces have been studied in depth. Dispersionless phase shift [7] and fundamental/harmonic cancellation [8] methods have been proposed. In addition, some researchers realized serrodyne frequency conversion [9] and artificial Doppler frequency shift [10,11] based on a phase-switched screen (PSS). Harmonic effects of time-modulated metasurfaces are also widely used in radar. Periodic time-modulated PSS is used for concealment of real targets in ISAR images [12]. It shows not only the concealment of the real target, but also the multi-target simulation in the ISAR image [11,13]. Active frequency selective surface (AFSS) is used to modulate the scattering mechanism of the target, generating multiple fake targets on the SAR image and the phenomenon of distance transformation of a single target [14,15].
The above studies demonstrate the effectiveness of phase and amplitude modulation in radar stealth and radar jamming, respectively. In fact, the polarization conversion metasurface enables both phase and amplitude modulation. Nowadays, several studies have revealed a time-modulated polarization conversion metasurface (APCM). Dai et al. proposed a harmonic control method for metasurfaces under time modulation [16] Arbitrary polarizations can be realized based on APCM using the time modulation method [17]. Time-modulated APCM is used to build communication links [18]. However, the radar effects of the phase-amplitude joint modulation have not been fully studied. The relationship between modulation parameters and modulation effects is not clear.
Inspired by this idea, an amplitude-phase joint modulation method based on polarized rotating surfaces is proposed for generating virtual targets. In Section 2, a modulation method based on APCM is presented. Taking the radar echo as the research object, the amplitude and phase characteristics of the k-th virtual target after modulation are analyzed in detail. The relationship between parameters such as phase modulation range and absorbing depth and the characteristics of the virtual target is revealed in Section 3.

2. Time-Domain Amplitude-Phase Joint Modulation Model

Figure 1 shows the principle of time-domain amplitude-phase joint modulation (TAJM) model. Active polarization conversion metasurfaces enable simultaneous amplitude and phase manipulation.
The structure and response of a typical polarized spin metasurface are shown in Figure 2 and Figure 3. Observing from a single polarized channel, PIN diode state switching can change the magnitude and phase of the reflection coefficient simultaneously. In order to simplify the content, the subsequent research in this paper is based on the single polarization response of APCM. Figure 3a–d show the response curves of the APCM in different states. The bias voltage is varied over time so that the reflection coefficient is a function of time Γ(t). The active metasurface is controlled by FPGA to obtain the time-varying response characteristic Γ(t). The radar EM wave illuminates the metasurface and obtains the reflected signal R(t). Γ(t) is defined to represent the reflection coefficient
Γ ( t ) = p ( t ) e j φ ( t )
where p(t) and φ(t) represent amplitude and phase, respectively. The functions of p(t) and φ(t) can be written as
p ( t ) = x 1 + ( x 2 x 1 ) n = + [ ε ( t n T ) ε ( t α T n T ) ]
φ ( t ) = ϕ 1 + ( ϕ 2 ϕ 1 ) n = + [ ε ( t n T ) ε ( t α T n T ) ]
x1 and x2 are the reflection coefficient amplitudes in the two states, respectively, and φ1 and φ2 are the reflection phases, respectively. α represents the duty cycle of the rectangular pulse train (0 < α < 1), T is the period, and ε(t) is the step function. The magnitude and phase of the reflection coefficient are shown in Figure 1b,c. Since the reflection coefficient Γ(t) is a periodic signal, (1) can be expressed as a Fourier series
Γ ( t ) = k = + a k e j Ω k t = k = + a k e j 2 π T k t
where Ω = 2π/T implies that the angular frequency is determined by the period T of Γ(t), and ak denotes the corresponding Fourier-series coefficient. The equation of the echo signal can be written as R(t) = S(tΓ(t). R(t) and S(t) denote the reflected and incident signal, respectively. The corresponding spectrum of the echo signal can be described by
R ( f ) = k = + a k S ( f k Ω )
From (1)–(3), the harmonic coefficient is given by
a k = M 1 2 + M 2 2 + 2 M 1 M 2 cos ( ϕ 2 ϕ 1 ) exp j M 1 sin ϕ 1 + M 2 sin ϕ 2 M 1 cos ϕ 1 + M 2 cos ϕ 2 k = 0 α sinc ( k α ) x 1 2 + x 1 2 2 x 1 x 2 cos ( ϕ 2 ϕ 1 ) exp j tan 1 π k α + x 1 sin ϕ 1 x 2 sin ϕ 2 x 1 cos ϕ 1 x 2 cos ϕ 2 + π 2 k 0
It is worth noting that when α = 0.5, the reflected signal has only odd harmonics, and the amplitude of even harmonics is 0. M1 = x1(1 − α), M2 = x2α.

3. HRRP Effect Analysis and Discussion

Radar high resolution range profile (HRRP) represents the amplitude of the coherent summations of the complex time returns from target scatterers in each range cell. It represents the projection of the complex returned echoes from the target scattering centers onto the radar line-of-sight (LOS), reflecting the important characterization of the target. The multiple polarimetric channels are used to obtain fully polarimetric data.
It should be noted that HRRP is a complex exponential signal, including amplitude information and phase information of target scattering. The matched-filter output is the fully polarization HRRP modulated by the metasurface. Radar detection systems often use linear frequency modulation (LFM) signal as the waveform of the transmitted signal. The LFM pulse waveform is adopted as the incident signal S(t) in this paper. It is with carrier frequency fc, pulse width TP, signal bandwidth B, pulse repetition interval T, and chirp rate Kr = B/Tp. S(t) is given by
S ( t ) = r e c t ( t T p ) exp j 2 π ( f c t + 1 2 K r t 2 )
According to Principle of stationary phase (POSP), a simplified frequency domain expression S(f) of the incident signal can be expressed as [19]
S ( f ) = r e c t f f c B exp j π ( f f c ) 2 / K r
The periodic modulation produced by the metasurface spreads the energy of the echo signal at harmonic positions, fs = 1/T. If fs > B, the energy will be scattered outside the acceptable spectrum range. However, when fs < B, the modulation effect of the metasurface will have a significant impact on the signal processing of the receiver. The effect of the fs < B case on the echo signal processing is analyzed. The matched filter of the transmit signal S(t) is H(f) = S*(f). When the echo signal is received, the inverse Fourier transform is performed after matched filtering to obtain the time domain response y(t) = IFFT[S(fH(f)]
y ( t ) = k = + a k y s k ( t )
The ambiguity function of the HRRP signal is expressed as
χ ( τ , ξ ) = Sa [ π ( ξ K r τ ) ( T p τ ) ] ( 1 τ T p ) exp ( j π ξ τ ) τ < T p
which Sa(x) = sin(x)/x, ysk(t) is rewritten as
y s k ( t ) = χ ( t , k f s )
In order to visualize the effect of false target generation by TAJM, the simulation calculation of 2D SAR images was performed. Figure 4 shows the simulation result of 2D SAR images of the single point target which is modulated by TAJM method with fs = 15 MHz. In the Figure 4, the multi-target phenomenon can be observed with a total of five targets. Four virtual targets are symmetrically distributed on both sides of the original target. Next, the multi-target and distance transformation phenomena are analyzed in terms of the distance-oriented profile at the location of the target scattering center.
Figure 5 shows the matched-filter output of the co-polarization and cross-polarization channels when fs = 5 MHz and α = 0.6. In Figure 5, the original target still retains the inherent scattering properties. Multi-virtual targets generated by TAJM are distributed at equal intervals around the original target. However, the signals of other targets are arranged at equal intervals on both sides of the origin. These targets do not actually exist and are false targets generated after modulation. The information of the false target conforms to the (11). These targets have different scattering properties than the target at the origin.
The ysk(t) contains target information. When t = −kfs/Kr, ysk(t) takes the maximum value. By (10), Pk = −kfsv/K is the position where the k-th target peak appears. The position Pk is only related to the modulation frequency of the modulation signal. When the duty cycle of the modulation signal is 0.5, and the even-order ak is 0, false targets can only be observed at odd-order positions. The magnitude Ak of the k-th order false target is
A k = a k 1 k f s B
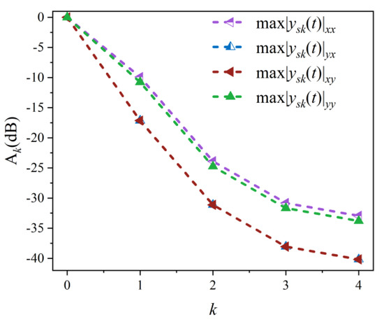
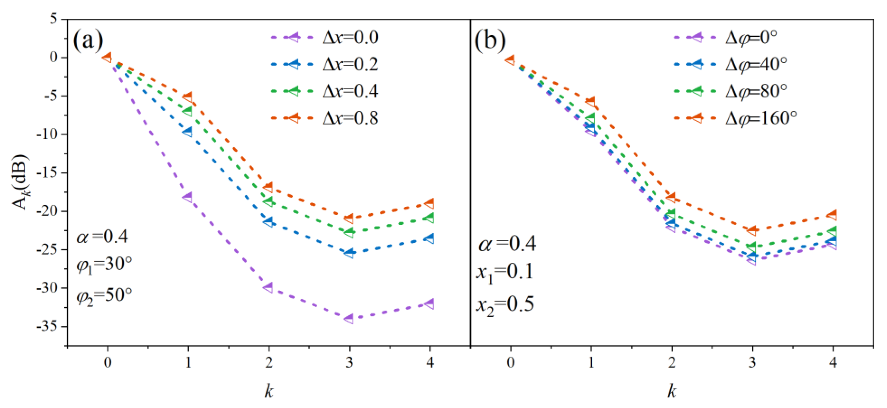
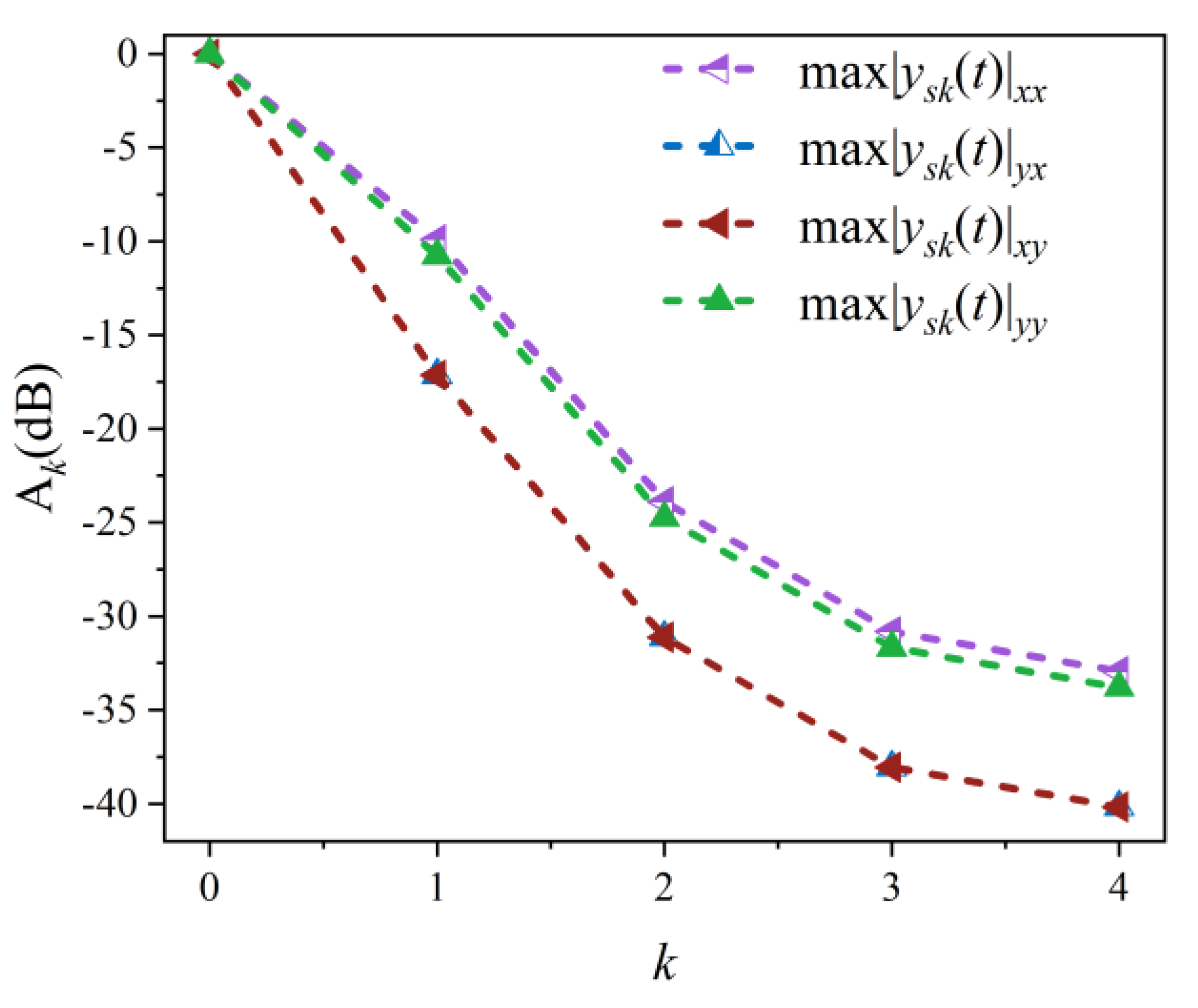
Figure 6 shows the k-th order peaks of the echo signals of the four polarization channels. The modulation frequency is fs = 5 MHz and the duty ratio α = 0.6. Energy is mainly concentrated on low-order targets, Ak decrease as K increases, so subsequent analysis focuses on low-order peaks. K is the modulation frequency of the LFM signal, which is determined by the transmitted signal. (1 − |kfs/B|) represents the mismatch degree of the matched filter when the reflected signal has a Doppler frequency shift of kfs. The ak is the Fourier expansion term coefficient of the TAJM signal Γ(t), which is affected by the phase φ, amplitude x and duty cycle α of Γ(t). The following part analyzes the effect of phase difference ∆φ = φ2φ1, amplitude difference ∆x = x2x1, and duty cycle τ on Ak.
Figure 7a shows the relationship between the peak normalized amplitude of k-order false target and different ∆x (0 < ∆x < 1) when the phase and duty cycle are fixed. The calculated results represent the relative amplitudes of the k-order peaks, and the amplitude difference of each order peaks decreases as Δx increases. That is, the larger Δx is beneficial to distribute the energy evenly at the higher order harmonics. The effects of different ∆φ on the normalized peaks amplitude of each order when τ and x1 and x2 are fixed are shown in Figure 7b. It can be concluded that ∆x significantly affects the energy distribution, while ∆φ has less effect.
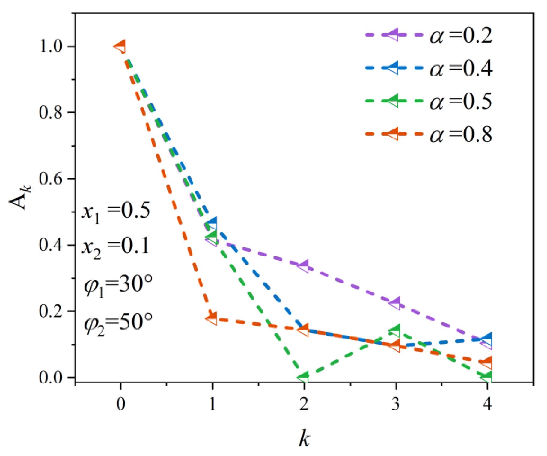
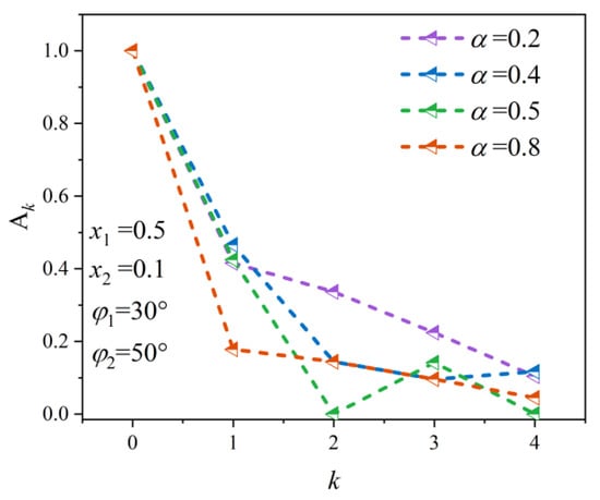
In Figure 8, the duty cycle α has a significant effect on the target normalized peak amplitude. When α = 0.5, only odd-order peaks exist, that is consistent with the theoretical analysis. When α increases from 0.2 to 0.8, the energy of the reflected signal gradually concentrates to the 0-th order peak. For k-th order peaks (k ≠ 0), the energy difference between peaks decreases as the τ increases.
Figure 9 shows the effect of changes in modulation signal parameters on the phase. According to the results, Δx, Δφ, and α can significantly affect the phase of the reflected signal. There is a clear difference between the phases of zero- and first-order harmonics. The phase offset of the non-zero order is proportional to the order k. Figure 4, Figure 5, Figure 6, Figure 7 and Figure 8 fully illustrate that the modulation method based on TAJM can generate false targets in one-dimensional HRRP. At the same time, the amplitude and phase of HRRP can be manipulated by changing the parameters of the modulating signal.

4. Conclusions

In this paper, the amplitude-phase joint time modulation method and its radar effect are studied. How the modulation parameters affect the peak amplitude and phase of the target in HRRP is analyzed in detail. According to the calculation results, after the amplitude-phase joint modulation, the energy of reflected signal is dispersed in the frequency domain to harmonics. As a result, multiple virtual targets are observed in HRRP. The absorption depth ∆x of the metasurface is the main factor affecting the energy distribution, the larger the ∆x, the more dispersed the energy. Compared to ∆x, ∆φ plays a lesser role in energy distribution. ∆x is the main influencing factor of the TAJM radar effect, which dominates the distribution of energy. In addition, when the duty ratio is 0.5, the even virtual target disappears, and the larger the duty ratio, the more energy is concentrated on the lower-order virtual target.

Author Contributions

Conceptualization, R.S. and J.W.; methodology, R.S.; software, Y.X.; validation, Y.X. and J.W.; writing—original draft preparation, R.S.; writing—review and editing, R.S., J.W. and D.F.; supervision, D.F. All authors have read and agreed to the published version of the manuscript.

Funding

This research was funded by the National Natural Science Foundation of China, grant number 62071475, grant number 61890541, grant number 61890542, and grant number 62001481.

Data Availability Statement

The data that support the findings of this study are available from the corresponding author upon reasonable request.

Conflicts of Interest

The authors declare no conflict of interest.

References

  1. Majeed, A.; Zhang, J.; Ashraf, M.A.; Memon, S.; Mohammadani, K.H.; Ishfaq, M.; Sun, M. An Ultra-Wideband Linear-to-Circular Polarization Converter Based on a Circular, Pie-Shaped Reflective Metasurface. Electronics 2022, 11, 1681. [Google Scholar] [CrossRef]
  2. Xu, R.-J.; Lin, Y.-S. Actively MEMS-Based Tunable Metamaterials for Advanced and Emerging Applications. Electronics 2022, 11, 243. [Google Scholar] [CrossRef]
  3. Bakshi, S.C.; Mitra, D.; Teixeira, F.L. Wide-Angle Broadband Rasorber for Switchable and Conformal Application. IEEE Trans. Microw. Theory Tech. 2021, 69, 1205–1216. [Google Scholar] [CrossRef]
  4. Xu, P.; Jiang, W.X.; Wang, S.Y.; Cui, T.J. An Ultrathin Cross-Polarization Converter with Near Unity Efficiency for Transmitted Waves. IEEE Trans. Antennas Propag. 2018, 66, 4370–4373. [Google Scholar] [CrossRef]
  5. Guo, X.; Ding, Y.; Duan, Y.; Ni, X. Nonreciprocal metasurface with space-time phase modulation. Light Sci. Appl. 2019, 8, 123. [Google Scholar] [CrossRef] [PubMed]
  6. Zhang, L.; Chen, X.Q.; Shao, R.W.; Dai, J.Y.; Cheng, Q.; Castaldi, G.; Galdi, V.; Cui, T.J. Breaking Reciprocity with Space-Time-Coding Digital Metasurfaces. Adv. Mater. 2019, 31, e1904069. [Google Scholar] [CrossRef]
  7. Salary, M.M.; Jafar-Zanjani, S.; Mosallaei, H. Electrically tunable harmonics in time-modulated metasurfaces for wavefront engineering. New J. Phys. 2018, 20, 123023. [Google Scholar] [CrossRef]
  8. Dai, J.Y.; Yang, L.X.; Ke, J.C.; Chen, M.Z.; Tang, W.; Li, X.; Chen, M.; Wu, Z.H.; Cheng, Q.; Jin, S.; et al. High-Efficiency Synthesizer for Spatial Waves Based on Space-Time-Coding Digital Metasurface. Laser Photon. Rev. 2020, 14, 1900133. [Google Scholar] [CrossRef]
  9. Wu, Z.; Grbic, A. Serrodyne Frequency Translation Using Time-Modulated Metasurfaces. IEEE Trans. Antennas Propag. 2020, 68, 1599–1606. [Google Scholar] [CrossRef]
  10. Ramaccia, D.; Sounas, D.L.; Alu, A.; Toscano, A.; Bilotti, F. Phase-Induced Frequency Conversion and Doppler Effect with Time-Modulated Metasurfaces. IEEE Trans. Antennas Propag. 2020, 68, 1607–1617. [Google Scholar] [CrossRef]
  11. Wang, X.; Caloz, C. Spread-Spectrum Selective Camouflaging Based on Time-Modulated Metasurface. IEEE Trans. Antennas Propag. 2021, 69, 286–295. [Google Scholar] [CrossRef]
  12. Xu, L.; Feng, D.; Wang, X. Improved synthetic aperture radar micro-Doppler jamming method based on phase-switched screen. IET Radar Sonar Navig. 2016, 10, 525–534. [Google Scholar] [CrossRef]
  13. Xu, L.; Feng, D.; Zhang, R.; Wang, X. High-Resolution Range Profile Deception Method Based on Phase-Switched Screen. IEEE Antennas Wirel. Propag. Lett. 2016, 15, 1665–1668. [Google Scholar] [CrossRef]
  14. Wang, J.; Feng, D.; Xu, Z.; Wu, Q.; Hu, W. Time-Domain Digital-Coding Active Frequency Selective Surface Absorber/Reflector and Its Imaging Characteristics. IEEE Trans. Antennas Propag. 2021, 69, 3322–3331. [Google Scholar] [CrossRef]
  15. Wang, J.; Feng, D.; Zhang, R.; Xu, L.; Hu, W. An Inverse Synthetic Aperture Radar Image Modulation Method Based on Coding Phase-Switched Screen. IEEE Sens. J. 2019, 19, 7915–7922. [Google Scholar] [CrossRef]
  16. Dai, J.Y.; Zhao, J.; Cheng, Q.; Cui, T.J. Independent control of harmonic amplitudes and phases via a time-domain digital coding metasurface. Light Sci. Appl. 2018, 7, 90. [Google Scholar] [CrossRef] [PubMed]
  17. Ke, J.C.; Dai, J.Y.; Chen, M.Z.; Wang, L.; Zhang, C.; Tang, W.; Yang, J.; Liu, W.; Li, X.; Lu, Y.; et al. Linear and Nonlinear Polarization Syntheses and Their Programmable Controls based on Anisotropic Time-Domain Digital Coding Metasurface. Small Struct. 2020, 2, 2000060. [Google Scholar] [CrossRef]
  18. Yang, J.; Ke, J.C.; Cao, W.K.; Chen, M.Z.; Cheng, Q.; Galdi, V.; Cui, T.J. Simultaneous Conversion of Polarization and Frequency via Time-Division-Multiplexing Metasurfaces. Adv. Opt. Mater. 2021, 9, 2101043. [Google Scholar] [CrossRef]
  19. Cumming, I.G.; Wong, F.H. Digital Signal Processing of Synthetic Aperture Radar Data: Algorithms and Implementation; Artech House Print on Demand: Columbia, MD, USA, 2005. [Google Scholar]
Figure 1. Conceptual illustration of TAJM. (a) Schematic of an APCM controlled by FPGA. (b,c) Response coefficient amplitude and phase of time-modulated APCM.
Figure 1. Conceptual illustration of TAJM. (a) Schematic of an APCM controlled by FPGA. (b,c) Response coefficient amplitude and phase of time-modulated APCM.
Electronics 11 03020 g001
Figure 2. Schematic of the unit cell.
Figure 2. Schematic of the unit cell.
Electronics 11 03020 g002
Figure 3. The simulated reflective coefficients of APCM. Amplitude of coefficients (a) PIN-off, (b) PIN-on, phase of coefficients, (c) PIN-off, and (d) PIN-on.
Figure 3. The simulated reflective coefficients of APCM. Amplitude of coefficients (a) PIN-off, (b) PIN-on, phase of coefficients, (c) PIN-off, and (d) PIN-on.
Electronics 11 03020 g003
Figure 4. Simulation results of 2D SAR images of a single point target after TAJM modulation.
Figure 4. Simulation results of 2D SAR images of a single point target after TAJM modulation.
Electronics 11 03020 g004
Figure 5. The echo signal matched filter output. The red line represents the echo signal modulated by TAJM, and the blue one represents the original target echo. (a) Co-polarization channel. (b) Cross-polarization channel.
Figure 5. The echo signal matched filter output. The red line represents the echo signal modulated by TAJM, and the blue one represents the original target echo. (a) Co-polarization channel. (b) Cross-polarization channel.
Electronics 11 03020 g005
Figure 6. HRRP echo signal peaks of k-th order, fs = 5 MHz, α = 0.6.
Figure 6. HRRP echo signal peaks of k-th order, fs = 5 MHz, α = 0.6.
Electronics 11 03020 g006
Figure 7. The normalized amplitude (dB) of the k-th order peak with (a) different Δx, (b) different Δφ.
Figure 7. The normalized amplitude (dB) of the k-th order peak with (a) different Δx, (b) different Δφ.
Electronics 11 03020 g007
Figure 8. The normalized amplitude (dB) of the k-th order peak with different α.
Figure 8. The normalized amplitude (dB) of the k-th order peak with different α.
Electronics 11 03020 g008
Figure 9. The phase of the k-th order peak with (a) different Δx, (b) different Δφ, and (c) different α.
Figure 9. The phase of the k-th order peak with (a) different Δx, (b) different Δφ, and (c) different α.
Electronics 11 03020 g009
Publisher’s Note: MDPI stays neutral with regard to jurisdictional claims in published maps and institutional affiliations.

Share and Cite

MDPI and ACS Style

Sui, R.; Wang, J.; Xu, Y.; Feng, D. High-Resolution Range Profile Feature Transformation Method Based on Amplitude-Phase Modulation Metasurface. Electronics 2022, 11, 3020. https://doi.org/10.3390/electronics11193020

AMA Style

Sui R, Wang J, Xu Y, Feng D. High-Resolution Range Profile Feature Transformation Method Based on Amplitude-Phase Modulation Metasurface. Electronics. 2022; 11(19):3020. https://doi.org/10.3390/electronics11193020

Chicago/Turabian Style

Sui, Ran, Junjie Wang, Yong Xu, and Dejun Feng. 2022. "High-Resolution Range Profile Feature Transformation Method Based on Amplitude-Phase Modulation Metasurface" Electronics 11, no. 19: 3020. https://doi.org/10.3390/electronics11193020

APA Style

Sui, R., Wang, J., Xu, Y., & Feng, D. (2022). High-Resolution Range Profile Feature Transformation Method Based on Amplitude-Phase Modulation Metasurface. Electronics, 11(19), 3020. https://doi.org/10.3390/electronics11193020

Note that from the first issue of 2016, this journal uses article numbers instead of page numbers. See further details here.

Article Metrics

Back to TopTop