Holistic Research on Blockchain’s Consensus Protocol Mechanisms with Security and Concurrency Analysis Aspects of CPS
Abstract
:1. Introduction
2. Consensus Protocols with Its Current Scenario
- Immutability of chain state;
- Data provenance;
- Irreversibility of chain state;
- On the chain state, the distributed consensus;
- Data (transaction) persistence;
- Distributed data control (including concurrency analysis—cf., Section 5);
- Accountability;
- Transparency.
3. Characteristics and Utilities of Consensus Protocols—Current Scenario
- If nodes are those taking part in the specific consensus protocol, required to be appropriately authenticated, then the authentication (security feature) comes in for the authentication.
- If the specific consensus protocol fulfills the nonrepudiation or not, that check is the work for the nonrepudiation (security feature).
- If the corresponding algorithm is able to work normally against any type of censorship resistance, then this observation is the job of the censorship resistance (security feature).
- The attack vectors feature is a representation of attack vectors related to a consensus protocol. The attack vectors are shown in Figure 4.
4. Security Analysis
- Let GF (f) be a prime field;
- Then s, t GF (f) are constant, such that 4s3 + 27t2 = 0;
- An EC E(s, t) over GF(f) is considered as the set of points (x, y) ∈ GF (f) ∗ GF (f) that fulfill the requirement in (1):
- Step 1: selection of an integer k in such a way that 1≤ k ≤n−1;
- Step 2: computation of kG = (x1, y1);
- Step 3: computation of r = x1 mod n; if r = 0, then a new k is selected;
- Step 4: calculation of k−1 mod n and e = h(m);
- Step 5: computation of s = p−1(e + kr); if s = 0, then it should go back to step 1;
- The pair (r, s) is the generated signature for the message m.
- Step 1: V checks whether r, s ϵ [1, n − 1];
- Step 2: computation of e = h(m) and s−1;
- Step 3: computation of u = es−1 mod n and v = rs−1 mod n;
- Step 4: computation of w = (x2, y2) = uG + vT; if w = 0, then stop, otherwise
= s−1eG + s−1rkG mod n
= uG + vQ mod n
- Step 1: selection of an integer k such that 1≤ k ≤ n − 1;
- Step 2: computation of kG = (x1, y1);
- Step 3: computation of r = x1 mod n; if r = 0, then a new k is selected;
- Step 4: calculation of e = h(m);
- Step 5: computation of s = (eh + k); if s = 0, then go to step 1;
- Pair (r, s) is the gnerated signature for the message m.
- Step 1: V checks whether r, s ϵ [1, n − 1];
- Step: computation of e = h(m);
- Step 3: computation of w = (x2, y2) = sG + eT; if w = 0, then stop, otherwise computation of t = x2 mod n.
= sG − ehG mod n
= sG − eT mod n
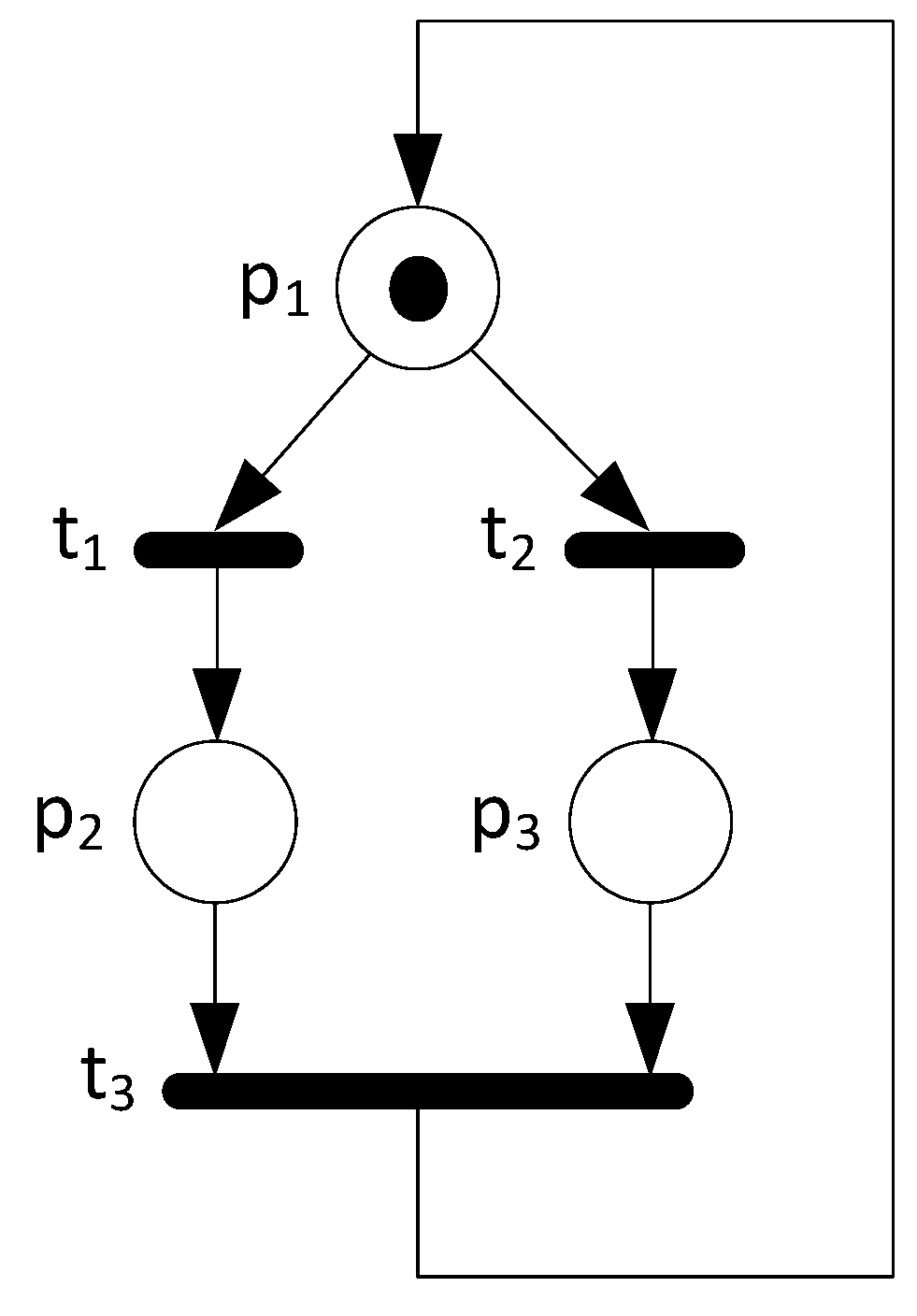
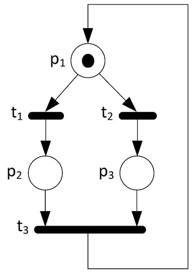
5. Modeling and Analysis of CPS Oriented on the Concurrency Aspects
6. Conclusions
Author Contributions
Funding
Data Availability Statement
Acknowledgments
Conflicts of Interest
References
- Nakamoto, S. Bitcoin: A peer-to-peer electronic cash system. Available online: https://bitcoin.org/bitcoin.pdf (accessed on 11 November 2017).
- Monostori, L.; Kádár, B.; Bauernhansl, T.; Kondoh, S.; Kumara, S.; Reinhart, G.; Sauer, O.; Schuh, G.; Sihn, W.; Ueda, K. Cyber-physical systems in manufacturing. CIRP Ann. 2016, 65, 621–641. [Google Scholar] [CrossRef]
- Li, Z.; Barenji, A.V.; Huang, G.Q. Toward a Blockchain cloud manufacturing system as a peer to peer distributed network platform. Robot. Comput. Integr. Manuf. 2018, 54, 133–144. [Google Scholar] [CrossRef]
- Yu, T.; Lin, Z.; Tang, Q. Blockchain: The introduction and its application in financial accounting. J. Corp. Account. Financ. 2018, 29, 37–47. [Google Scholar] [CrossRef]
- Vora, J.; Nayyar, A.; Tanwar, S.; Tyagi, S.; Kumar, N.; Obaidat, M.; Rodrigues, J.J.P.C. Bheem: A Blockchain-based framework for securing electronic health records. In Proceedings of the 2018 IEEE Globecom Workshops (GC Wkshps), Abu Dhabi, United Arab Emirates, 9–13 December 2018. [Google Scholar]
- Sethi, A.; Sethi, S. Flexibility in manufacturing: A survey. Int. J. Flex. Manuf. Syst. 1990, 2, 289–328. [Google Scholar] [CrossRef]
- Lee, J.; Kao, H.A.; Yang, S. Service innovation and smart analytics for Industry 4.0 and big data environment. Procedia CIRP 2014, 16, 3–8. [Google Scholar] [CrossRef]
- Lee, J.; Bagheri, B.; Kao, H.A. A Cyber-Physical Systems architecture for Industry 4.0-based manufacturing systems. Manuf. Lett. 2015, 3, 18–23. [Google Scholar] [CrossRef]
- Yang, L. Industry 4.0: A survey on technologies, applications and open research issues. J. Ind. Inf. Integr. 2017, 6, 1–10. [Google Scholar]
- Xu, X. From cloud computing to cloud manufacturing. Robot. Comput. Integr. Manuf. 2012, 28, 75–86. [Google Scholar] [CrossRef]
- Palma, L.M.; Vigil, M.A.G.; Pereira, F.L.; Martina, J.E. Blockchain and smart contracts for higher education registry in Brazil. Int. J. Netw. Manag. 2019, 29, e2061. [Google Scholar] [CrossRef]
- Zissis, D.; Lekkas, D. Addressing cloud computing security issues. Futur. Gener. Comput. Syst. 2012, 28, 583–592. [Google Scholar] [CrossRef]
- Swan, M. Rezension Blockchain: Blueprint for a New Economy; O’Reilly Inc Media: Sebastopol, CA, USA, 2015. [Google Scholar] [CrossRef]
- IBM. Blockchain based on Hyperledger Fabric from the Linux Foundation. 2017. Available online: https://www.ibm.com/Blockchain/hyperledger (accessed on 22 March 2022).
- IOTA Developer Hub. 2017. Available online: https://www.iota.org/research/meetthe-tangle (accessed on 24 March 2022).
- Pustišek, M.; Kos, A. Approaches to Front-End IoT Application Development for the Ethereum Blockchain. Procedia Comput. Sci. 2018, 129, 410–419. [Google Scholar] [CrossRef]
- Viktor Trón, F.L. Ethereum Specification. 2015. Available online: https://github.com/ethereum/go-ethereum/wiki/Ethereum-Specification (accessed on 22 March 2022).
- Crosby, M.; Pattanayak, P.; Verma, S.; Kalyanaraman, V. Blockchain technology: Beyond bitcoin. Appl. Innov. 2016, 2, 71. [Google Scholar]
- Bailis, P.; Narayanan, A.; Miller, A.; Han, S. Research for practice: Cryptocurrencies, Blockchains, and smart contracts; hardware for deep learning. Commun. ACM 2017, 60, 48–51. [Google Scholar] [CrossRef]
- Aste, T.; Tasca, P.; Centre, U.C.L. Blockchain technologies: The foreseeable impact. Computer 2017, 50, 18–28. [Google Scholar] [CrossRef]
- Cachin, C.; Vukoli, M. Blockchains Consensus Protocols in the Wild. arXiv 2017, arXiv:1707.01873. [Google Scholar]
- Iota: A cryptocurrency for Internet-of-Things. Available online: https://iota.org/ (accessed on 24 March 2022).
- Tangle. Available online: https://iota.org/IOTA_Whitepaper.pdf (accessed on 24 March 2022).
- Bano, S.; Sonnino, A.; Al-Bassam, M.; Azouvi, S.; McCorry, P.; Meiklejohn, S.; Danezis, G. Consensus in the Age of Blockchains. arXiv 2017, arXiv:1711.03936. [Google Scholar]
- Wang, W.; Hoang, D.T.; Hu, P.; Xiong, Z.; Niyato, D.; Wang, P.; Wen, Y.; Kim, D.I. A survey on consensus mechanisms and mining strategy management in Blockchain networks. IEEE Access 2019, 7, 22328–22370. [Google Scholar] [CrossRef]
- Banerjee, M.; Lee, J.; Raymond Choo, K.K. A Blockchain future for internet of things security: A position paper. Digit. Commun. Netw. 2017, 4, 149–160. [Google Scholar] [CrossRef]
- Baliga, A. Understanding Blockchain Consensus Models, April. 2017. Available online: https://www.persistent.com/wp-content/uploads/2017/04/WP-Understanding-Blockchain-Consensus-Models.pdf (accessed on 24 March 2022).
- Pilkington, M. 11 Blockchain technology: Principles and applications. In Research Handbook on Digital Transformations; Edward Elgar Publishing: Cheltenham, UK, 2016; p. 225. [Google Scholar]
- Sankar, L.S.; Sindhu, M.; Sethumadhavan, M. Survey of consensus protocols on Blockchain applications. In Proceedings of the 4th International Conference on Advanced Computing and Communication Systems (ICACCS), Coimbatore, India, 6–7 January 2017; IEEE: Piscataway, NJ, USA, 2017; pp. 1–5. [Google Scholar]
- Underwood, S. Blockchain beyond bitcoin. Commun. ACM 2016, 59, 15–17. [Google Scholar] [CrossRef]
- Seibold, S.; Samman, G. Consensus: Immutable Agreement for the Internet of Value. KPMG. 2016. Available online: https://assets.kpmg.com/content/dam/kpmg/pdf/2016/06/kpmgBlockchain-consensus-mechanism.pdf (accessed on 22 March 2022).
- Mukhopadhyay, U.; Skjellum, A.; Hambolu, O.; Oakley, J.; Yu, L.; Brooks, R. A brief survey of cryptocurrency systems. In Proceedings of the 14th Annual Conference on Privacy, Security and Trust (PST), Auckland, New Zealand, 12–14 December 2016; IEEE: Piscataway, NJ, USA, 2016; pp. 745–752. [Google Scholar]
- Prime, Johns Hopkins Univ. Available online: www.dsn.jhu.edu/byzrep/prime.html (accessed on 22 March 2022).
- Chowdhury, M.J.M.; Ferdous, M.S.; Biswas, K.; Chowdhury, N.; Kayes, A.S.M.; Alazab, M.; Watters, P. A Comparative Analysis of Distributed Ledger Technology Platforms. IEEE Access 2019, 7, 167930–167943. [Google Scholar] [CrossRef]
- Iot, Joi. The Fintech Bubble. 2018. Available online: https://joi.ito.com/weblog/2016/06/14/-the-fintech-bu.html (accessed on 12 May 2019).
- Xiao, D. The Four Layers of the Blockchain. 2018. Available online: https://medium.com/@coriacetic/the-four-layers-of-the-Blockchain-dc1376efa10f (accessed on 12 April 2019).
- Namecoin. 2018. Available online: https://namecoin.org/ (accessed on 20 May 2019).
- Proof of Existence. 2018. Available online: https://proofofexistence.com (accessed on 20 May 2019).
- Fromknecht, C.; Velicanu, D.; Yakoubov, S. CertCoin: A NameCoin Based Decentralized Authentication System. May 14, 2014. 6.857 Unpublished class project. 2018. Available online: http://courses.csail.mit.edu/6.857/2014/files/19-fromknecht-velicann-yakoubov-certcoin.pdf (accessed on 20 May 2019).
- Bhattacharjya, A.; Zhong, X.; Wang, J. Strong, efficient and reliable personal messaging peer to peer architecture based on Hybrid RSA. In Proceedings of the International Conference on Internet of Things and Cloud Computing (ICC 2016), Cambridge, UK, 22–23 March 2016; Association for Computing Machinery: New York, NY, USA, 2016. ISBN 978-1-4503-4063-2/16/03. [Google Scholar]
- Bhattacharjya, A.; Zhong, X.; Wang, J. An End to End users two way authenticated double encrypted messaging scheme based on Hybrid RSA for the Future Internet Architectures. Int. J. Inf. Comput. Secur. 2018, 10, 63–79. [Google Scholar] [CrossRef]
- Bhattacharjya, A.; Zhong, X.; Wang, J. HYBRID RSA based highly efficient, reliable and strong personal Full Mesh Networked messaging scheme. Int. J. Inf. Comput. Secur. 2018, 10, 418–436. [Google Scholar] [CrossRef]
- Bhattacharjya, A.; Zhong, X.; Wang, J.; Xing, L. Security Challenges and Concerns of Internet of Things (IoT). In Cyber-Physical Systems: Architecture, Security and Application; Guo, S., Zeng, D., Eds.; Springer: Cham, Switzerland, 2019; pp. 153–185. [Google Scholar]
- Bhattacharjya, A.; Zhong, X.; Wang, J.; Xing, L. Secure IoT Structural design for Smart Cities. In Smart Cities Cybersecurity and Privacy; Elsevier: Amsterdam, The Netherlands, 2019; pp. 187–201. [Google Scholar]
- Bhattacharjya, A.; Zhong, X.; Wang, J.; Xing, L. On Mapping of Address and Port using Translation (MAP-T). Int. J. Inf. Comput. Secur. 2019, 11, 214–232. [Google Scholar]
- Bhattacharjya, A.; Zhong, X.; Xing, L. A Lightweight and Efficient Secure Hybrid RSA (SHRSA) Messaging Scheme with Four-Layered Authentication Stack. IEEE Access 2019, 7, 30487–30506. [Google Scholar] [CrossRef]
- Bhattacharjya, A.; Zhong, X.; Wang, J.; Xing, L. Present Scenarios of IoT Projects with Security Aspects Focused. In Digital Twin Technologies and Smart Cities; Farsi, M., Daneshkhah, A., Hosseinian-Far, A., Jahankhani, H., Eds.; Internet of Things (Technology, Communications and Computing); Springer: Cham, Switzerland, 2020; pp. 95–122. [Google Scholar] [CrossRef]
- Bhattacharjya, A.; Zhong, X.; Wang, J.; Xing, L. CoAP—Application Layer Connection-Less Lightweight Protocol for the Internet of Things (IoT) and CoAP-IPSEC Security with DTLS Supporting CoAP. In Digital Twin Technologies and Smart Cities; Farsi, M., Daneshkhah, A., Hosseinian-Far, A., Jahankhani, H., Eds.; Internet of Things (Technology, Communications and Computing); Springer: Cham, Switzerland, 2020; pp. 151–175. [Google Scholar] [CrossRef]
- Bhattacharjya, A.; Zhong, X.; Wang, J.; Xing, L. A Secure Hybrid RSA (SHRSA)-based Lightweight and Efficient Personal Messaging Communication Protocol. In Digital Twin Technologies and Smart Cities; Farsi, M., Daneshkhah, A., Hosseinian-Far, A., Jahankhani, H., Eds.; Internet of Things (Technology, Communications and Computing); Springer: Cham, Switzerland, 2020; pp. 191–212. [Google Scholar] [CrossRef]
- Bachani, V.; Wan, Y.; Bhattacharjya, A. Preferential DPoS: A Scalable Blockchain Schema for High-Frequency Transaction. AMCIS 2022 TREOs. 36. 2022. Available online: https://aisel.aisnet.org/treos_amcis2022/36 (accessed on 20 August 2022).
- Blake, F.; Ian, S.; Gadiel, P.; Smart, N.P. (Eds.) Advances in Elliptic Curve Cryptography; Cambridge University Press: Cambridge, UK, 2005; Volume 317. [Google Scholar]
- Andreas, A.M. Mastering Bitcoin, 2nd ed.; O’Reilly Media: Sebastopol: CA, USA, 2017. [Google Scholar]
- Caelli, W.J.; Edward, P.; Rea, D.S.A. PKI, elliptic curve cryptography, and digital signatures. Comput. Secur. 1999, 18, 47–66. [Google Scholar] [CrossRef]
- Wei, B.; Jia, X.; Zheng, M. A Secure Multiple Elliptic Curves Digital Signature Algorithm for Blockchain. arXiv 2018, arXiv:1808.02988. [Google Scholar]
- Tao, L.; Liu, X. Two Improvements to Digital Signature Scheme Based on the Elliptic Curve Cryptosystem. In Proceedings of the International Workshop on Information Security and Application (IWISA 2009), Qingdao, China, 21–22 November 2009; Academy Publisher: London, UK, 2009. [Google Scholar]
- Vanstone, S.A. Responses to NIST’s proposal. Commun. ACM 1992, 35, 50–52. [Google Scholar]
- Bhattacharjya, A.; Kozdrój, K.; Bazydło, G.; Wisniewski, R. Trusted and Secure Blockchain-Based Architecture for Internet-of-Medical-Things. Electronics 2022, 11, 2560. [Google Scholar] [CrossRef]
- Kowalski, M.; Wiśniewski, R. Security Analysis of One-Time Pad Secure Algorithm Based on the Double Memory Technique. In Proceedings of the International Conference of Computational Methods in Sciences and Engineering—ICCMSE 2018, AIP Conference Proceedings, Thessaloniki, Greece, 14–18 March 2018; AIP Publishing: New York, NY, USA, 2018; Volume 2040, pp. 1–5. [Google Scholar] [CrossRef]
- Wiśniewski, R.; Grobelny, M.; Grobelna, I.; Bazydło, G. IoT Security with One-Time Pad Secure Algorithm Based on the Double Memory Technique. In Proceedings of the International Conference of Computational Methods in Sciences and Engineering—ICCMSE 2017, AIP Conference Proceedings, Thessaloniki, Greece, 21–25 April 2017; AIP Publishing: New York, NY, USA, 2017; Volume 1906, pp. 1–5, ISBN 9780735415966. [Google Scholar] [CrossRef]
- Bazydło, G.; Wiśniewski, R.; Kozdrój, K. Trusted and Secure Blockchain-Based Durable Medium Electronic Service. Cryptography 2022, 6, 10. [Google Scholar] [CrossRef]
- Wiśniewski, R.; Wiśniewski, R. Representation of Primes in the Form p = 6·x ± 1 and its Application to the RSA Prime Factorization. In Proceedings of the International Conference of Computational Methods in Sciences and Engineering—ICCMSE 2018, AIP Conference Proceedings, Thessaloniki, Greece, 14–18 March 2018; AIP Publishing: New York, NY, USA, 2018; Volume 2040, pp. 1–5. [Google Scholar] [CrossRef]
- Best, E.; Devillers, R.; Koutny, M. Petri Net Algebra; Springer Science & Business Media: Berlin, Germany, 2013. [Google Scholar]
- Wiśniewski, R.; Bazydło, G.; Szcześniak, P.; Wojnakowski, M. Petri Net-Based Specification of Cyber-Physical Systems Oriented to Control Direct Matrix Converters with Space Vector Modulation. IEEE Access 2019, 7, 23407–23420. [Google Scholar] [CrossRef]
- Wisniewski, R.; Wisniewska, M.; Jarnut, M. C-Exact Hypergraphs in Concurrency and Sequentiality Analyses of Cyber-Physical Systems Specified by Safe Petri Nets. IEEE Access 2019, 7, 13510–13522. [Google Scholar] [CrossRef]
- Murata, T. Petri nets: Properties, analysis and applications. Proc. IEEE 1989, 77, 541–580. [Google Scholar] [CrossRef]
- Wiśniewski, R.; Bazydło, G.; Gomes, L.; Costa, A. Dynamic Partial Reconfiguration of Concurrent Control Systems Implemented in FPGA Devices. IEEE Trans. Ind. Inform. 2017, 13, 1734–1741. [Google Scholar] [CrossRef]
- Wisniewski, R.; Grobelna, I.; Karatkevich, A. Determinism in cyber-physical systems specified by interpreted petri nets. Sensors 2020, 20, 5565. [Google Scholar] [CrossRef] [PubMed]
- Gomes, L. On conflict resolution in Petri nets models through model structuring and composition. In Proceedings of the INDIN’05. 2005 3rd IEEE International Conference on Industrial Informatics, Perth, WA, Australia, 10–12 August 2005; IEEE: Piscataway, NJ, USA, 2005; pp. 489–494. [Google Scholar]
- Ramírez-Treviño, A.; Rivera-Rangel, I.; López-Mellado, E. Observability of discrete event systems modeled by interpreted Petri nets. IEEE Trans. Robot. Autom. 2003, 19, 557–565. [Google Scholar] [CrossRef]
- Giua, A.; Silva, M. Petri nets and automatic control: A historical perspective. Annu. Rev. Control 2018, 45, 223–239. [Google Scholar] [CrossRef]
- Wiśniewski, R.; Karatkevich, A.; Adamski, M.; Costa, A.; Gomes, L. Prototyping of Concurrent Control Systems with Application of Petri Nets and Comparability Graphs. IEEE Trans. Control. Syst. Technol. 2018, 26, 2575–2586. [Google Scholar] [CrossRef]
- Grobelna, I.; Wiśniewski, R.; Grobelny, M.; Wiśniewska, M. Design and Verification of Real-Life Processes with Application of Petri Nets. IEEE Trans. Syst. Man Cybern. Syst. 2017, 47, 2856–2869. [Google Scholar] [CrossRef]
- Wiśniewski, R. Dynamic partial reconfiguration of concurrent control systems specified by Petri nets and implemented in Xilinx FPGA devices. IEEE Access 2018, 6, 32376–32391. [Google Scholar] [CrossRef]
- Wojnakowski, M.; Wiśniewski, R.; Bazydło, G.; Popławski, M. Analysis of safeness in a Petri net-based specification of the control part of cyber-physical systems. AMCS 2021, 31, 647–657. [Google Scholar] [CrossRef]
- Wiśniewski, R. Design of Petri Net-Based Cyber-Physical Systems Oriented on the Implementation in Field Programmable Gate Arrays. Energies 2021, 14, 21. [Google Scholar] [CrossRef]
- Karatkevich, A.G.; Wiśniewski, R. A Polynomial-Time Algorithm to Obtain State Machine Cover of Live and Safe Petri Nets. IEEE Trans. Syst. Man Cybern. Syst. 2020, 50, 3592–3597. [Google Scholar] [CrossRef]
- Wiśniewski, R. Prototyping of Concurrent Control Systems Implemented in FPGA Devices; Springer International Publishing: Cham, Switzerland, 2017. [Google Scholar] [CrossRef]
- Wojnakowski, M.; Wiśniewski, R. Verification of the Boundedness Property in a Petri Net-Based Specification of the Control Part of Cyber-Physical Systems. In Technological Innovation for Applied AI Systems; Springer: Berlin, Germany, 2021; pp. 83–91. [Google Scholar] [CrossRef]
- Patalas-Maliszewska, J.; Wiśniewski, R.; Topczak, M.; Wojnakowski, M. Design optimization of the Petri net-based production process supported by additive manufacturing technologies. Bull. Pol. Acad. Sci. Tech. Sci. 2020, 70, e140693. [Google Scholar]
- Karatkevich, A. Dynamic Analysis of Petri Net-Based Discrete Systems; Springer: Berlin/Heidelberg, Germany, 2007. [Google Scholar] [CrossRef]
- Gu, C.; Li, Z.; Giua, A. Analysis of Behavioural Properties of Bounded Petri Nets with a Semi-Structural Approach. In Proceedings of the 2020 59th IEEE Conference on Decision and Control (CDC), Jeju Island, Korea, 14–18 December 2020; pp. 4467–4472. [Google Scholar]
- Wisniewski, R.; Bazydło, G.; Gomes, L.; Costa, A.; Wojnakowski, M. Analysis and Design Automation of Cyber-Physical System with Hippo and IOPT-Tools. In Proceedings of the IECON 2019—45th Annual Conference of the IEEE Industrial Electronics Society, Lisbon, Portugal, 14–17 October 2019; Volume 1, pp. 5843–5848. [Google Scholar] [CrossRef]
- Girault, C.; Valk, R. Petri Nets for Systems Engineering: A Guide to Modeling, Verification, and Applications; Springer Science & Business Media: Berlin/Heidelberg, Germany, 2013. [Google Scholar]
- Wojnakowski, M.; Popławski, M.; Wiśniewski, R.; Bazydło, G. Hippo-CPS: Verification of Boundedness, Safeness and Liveness of Petri Net-Based Cyber-Physical Systems. In Technological Innovation for Digitalization and Virtualization; Springer: Berlin, Germany, 2022; pp. 74–82. [Google Scholar] [CrossRef]
- Van Der Aalst, W.M.; van Hee, K.M.; ter Hofstede, A.H.; Sidorova, N.; Verbeek HM, W.; Voorhoeve, M.; Wynn, M.T. Soundness of workflow nets: Classification, decidability, and analysis. Form. Asp. Comput. 2017, 23, 333–363. [Google Scholar] [CrossRef] [Green Version]







| Blockchain-Based CPS Names | Real-Time Applications | Benefits in Daily Social Life |
|---|---|---|
| Smart grid systems | Electricity generation, monitoring, and distribution | No blackout scenarios and distributions are stable |
| Industrial control systems | Physical infrastructure and asset monitoring and controlling | Optimization of resource usage and performance |
| Transportation systems | Airspace management and aviation, railroad systems, vehicular networks, and automotive electronics | Reduction in traffic congestion and delays, zero automotive traffic fatalities |
| Healthcare systems | Health management systems, medicals devices, smart medical equipment | Technologically advanced and secure medicines and healthcare systems without single point failure |
| Algorithm | Process | Addition | Multiplication | Inversion | Elliptic Addition | Elliptic Multiplication |
|---|---|---|---|---|---|---|
| ECDSA | Sign Generation | t | 2t | t | 0 | t |
| Sign Verification | 0 | 2t | t | t | 2t | |
| vECDSA | Sign Generation | t | t | 0 | 0 | t |
| Sign Verification | 0 | 0 | 0 | t | 2t |
Publisher’s Note: MDPI stays neutral with regard to jurisdictional claims in published maps and institutional affiliations. |
© 2022 by the authors. Licensee MDPI, Basel, Switzerland. This article is an open access article distributed under the terms and conditions of the Creative Commons Attribution (CC BY) license (https://creativecommons.org/licenses/by/4.0/).
Share and Cite
Bhattacharjya, A.; Wisniewski, R.; Nidumolu, V. Holistic Research on Blockchain’s Consensus Protocol Mechanisms with Security and Concurrency Analysis Aspects of CPS. Electronics 2022, 11, 2760. https://doi.org/10.3390/electronics11172760
Bhattacharjya A, Wisniewski R, Nidumolu V. Holistic Research on Blockchain’s Consensus Protocol Mechanisms with Security and Concurrency Analysis Aspects of CPS. Electronics. 2022; 11(17):2760. https://doi.org/10.3390/electronics11172760
Chicago/Turabian StyleBhattacharjya, Aniruddha, Remigiusz Wisniewski, and Venkatram Nidumolu. 2022. "Holistic Research on Blockchain’s Consensus Protocol Mechanisms with Security and Concurrency Analysis Aspects of CPS" Electronics 11, no. 17: 2760. https://doi.org/10.3390/electronics11172760
APA StyleBhattacharjya, A., Wisniewski, R., & Nidumolu, V. (2022). Holistic Research on Blockchain’s Consensus Protocol Mechanisms with Security and Concurrency Analysis Aspects of CPS. Electronics, 11(17), 2760. https://doi.org/10.3390/electronics11172760

