Next Article in Journal
Design and Analysis of VTOL Operated Intercity Electrical Vehicle for Urban Air Mobility
Next Article in Special Issue
Multi-Population Enhanced Slime Mould Algorithm and with Application to Postgraduate Employment Stability Prediction
Previous Article in Journal
The Role of Genetic Algorithm Selection Operators in Extending WSN Stability Period: A Comparative Study
 
 
Font Type:
Arial Georgia Verdana
Font Size:
Aa Aa Aa
Line Spacing:
Column Width:
Background:
Article

Peak Shaving and Frequency Regulation Coordinated Output Optimization Based on Improving Economy of Energy Storage

1
College of Electrical Engineering and New Energy, China Three Gorges University, Yichang 443002, China
2
Hubei Provincial Key Laboratory for Operation and Control of Cascade Hydropower Station, China Three Gorges University, Yichang 443002, China
3
School of Computer Science, China West Normal University, Nanchong 637002, China
4
College of Computer Science and Technology, Shandong Technology and Business University, Yantai 264005, China
*
Author to whom correspondence should be addressed.
Electronics 2022, 11(1), 29; https://doi.org/10.3390/electronics11010029
Submission received: 23 November 2021 / Revised: 21 December 2021 / Accepted: 21 December 2021 / Published: 22 December 2021
(This article belongs to the Special Issue Advanced Machine Learning Applications in Big Data Analytics)

Abstract

:
In this paper, a peak shaving and frequency regulation coordinated output strategy based on the existing energy storage is proposed to improve the economic problem of energy storage development and increase the economic benefits of energy storage in industrial parks. In the proposed strategy, the profit and cost models of peak shaving and frequency regulation are first established. Second, the benefits brought by the output of energy storage, degradation cost and operation and maintenance costs are considered to establish an economic optimization model, which is used to realize the division of peak shaving and frequency regulation capacity of energy storage based on peak shaving and frequency regulation output optimization. Finally, the intra-day model predictive control method is employed for rolling optimization. An intra-day peak shaving and frequency regulation coordinated output optimization strategy of energy storage is proposed. Through the example simulation, the experiment results show that the electricity cost of the whole day is reduced by 10.96% by using the coordinated output strategy of peak shaving and frequency regulation. The obtained further comparative analysis results and the life cycle economic analysis show that the profit brought by the proposed coordinated output optimization strategy is greater than that for separate peak shaving or frequency modulation of energy storage under the same capacity.

1. Introduction

Under the goal of “carbon neutralization”, energy storage has become the focus of development because of its rapid charging and discharging characteristics. On the power generation side, energy storage can be connected to make the power grid more “friendly” towards new energy sources such as wind power and photovoltaic [1,2,3,4]. On the user side, energy storage can cut the peaks and fill the valleys, improving users’ power consumption habits and reducing peak power consumption. According to the “14th five-year plan”, China’s energy storage will reach more than 30 million kilowatts in 2025. Compared with 2020, the scale of the energy storage market will expand nearly tenfold, and local policies and market mechanisms will be better, which means that the application of energy storage in various scenarios needs to be further improved. With the increase in energy storage reserve capacity on the user side, making good use of this energy storage capacity can increase the system stability and the economy of energy storage on the user side [5,6,7,8,9].
At present, China mainly implements two-part electricity price and timeshare electrovalence policies for industrial users, hoping that industrial users can change their electricity consumption habits, but industrial production habits are difficult to change [10,11,12,13]. Therefore, the industrial users can be equipped with energy storage systems to reduce the maximum demand of users, according to the policy, and adopt the strategy of low charge and high discharge according to the time-of-use electricity pricing to charge during low electricity price periods, discharging in the high electricity price periods and peak load periods. This method not only improves the power consumption habits of users, but also obtains economic benefits by using the peak valley electricity price difference and the maximum demand electricity charge difference [14,15,16,17,18]. However, the energy storage battery needs more deep discharge when participating in the peak shaving on the user side, which will produce a large battery degradation effect, limiting the economy of peak shaving.
Therefore, the economic benefits of user-side energy storage participating in frequency regulation can improve the economy of user equipped energy storage. At present, China’s small capacity energy storage power stations cannot be allowed to compete for frequency regulation services, but the establishment of auxiliary service markets such as frequency regulation and standby is conducive to guiding investment to improve the flexibility of power systems [19,20,21,22,23,24,25]. With the improvement of energy storage service market mechanisms, the future frequency regulation service market will certainly expand to individual participation, so the energy storage on the user side can not only achieve low absorption and high amplification, but it can also participate in the frequency regulation service market to obtain revenue [26,27,28,29], which will encourage industrial users to actively equip energy storage batteries and reduce peak power consumption.
In other countries, the frequency regulation market such as Pennsylvania–New Jersey–Maryland (PJM) in the United States is relatively mature. In this market, the energy storage devices represented by batteries and aircraft turbines has been introduced into the frequency regulation service market [30]. Salles et al. [31] used the battery energy storage systems in an Italian shopping mall to shave the peak consumption and get benefit from it. It has been proven that the strategy including peak shaving can increase the economy on the user side. However, this ignores that energy storage can also generate benefits by participating in frequency regulation services. The energy on the user side is used to participate in the frequency regulation service in the power market to obtain income [32,33,34,35,36]. They make the energy on the user side follow the frequency regulation signals in the PJM market for equivalent output, similar to energy storage. Shi et al. [37] used the battery storage system for peak shaving and frequency regulation through the joint optimization framework on the user side. Based on the degradation effect of energy storage batteries, it was found that the joint optimization has super linear gain compared with energy storage for frequency regulation or peak shaving alone, but this method is only used in the day-ahead planning stage, and simply follows the frequency regulation signal during the day’s frequency regulation real-time output. It fails to achieve real-time optimization, and the peak shaving model only considers the peak cost in the electricity price, not the difference of timeshare electrovalence. Based on the prediction model, Liu et al. [38] proposed a model predictive control (MPC) intra-day rolling optimization frequency regulation model. The model considers the degradation effect, but it does not consider the operation and maintenance cost of the battery, and while it achieves intra-day optimization, it does not consider the day-ahead bidding capacity of the energy storage.
On the basis of this research, this paper puts forward a strategy for day-ahead peak shaving and frequency regulation planning and a frequency regulation rolling optimization output strategy for user-side intra-day energy storage. The strategy considers the degradation cost and operation and maintenance cost of energy storage. By solving the economic optimal model of peak shaving and frequency regulation coordinated output a day ahead, the division of peak shaving and frequency regulation capacity of energy storage is obtained, and a real-time output strategy of energy storage is obtained by MPC intra-day rolling optimization. Finally, through the 24-h economic analysis of the strategy proposed in this paper and the economic analysis of the whole life cycle, it can be concluded that the economic benefit of energy storage participating in peak shaving and frequency regulation coordinated output is much higher than that of energy storage batteries participating in peak shaving or frequency regulation under the same capacity. Through simulation, it is demonstrated that energy storage participating in peak shaving can reduce the battery degradation cost when energy storage is used for frequency regulation by reducing the number of battery cycles, thereby increasing the service life of energy storage batteries.
The main contributions of this work are described as follows:
  • A peak shaving and frequency regulation coordinated output strategy based on the existing energy storage participating is proposed to improve the economic problem of energy storage development and increase the economic benefits of energy storage on the industrial park.
  • The profit and cost models of peak shaving and frequency regulation are established.
  • The benefits brought by the output of energy storage, degradation cost and operation and maintenance costs are considered to establish an economic optimization model.
  • The intra-day model predictive control method is employed for rolling optimization.

2. Establishment of the Peak Shaving Model

In order to promote staggered peak power consumption, the industrial peak valley electricity price of a city in China is shown in Table 1. For industrial parks with two-part electricity pricing, the electricity charge includes the electricity charge and the basic electricity charge [39]. The electricity charge is calculated according to the amount of electricity consumption, and the basic electricity charge is calculated according to the maximum demand. For convenience of expression, function f1(x, y) is defined as follows.
f 1 ( x , y ) = x y   ( x   >   y ) 0   ( x y )
where, x and y are mathematical variables.
On this basis, the total electricity charge for industrial users is calculated as follows.
M elec = C x S o + C x 1 f 1 ( max ( s ) , S o ) + t = 1 T C elec ( t ) s ( t ) t s
where, Cx is the demand price when the actual maximum demand is within the maximum contract limit, So is the maximum contract limit, and Cx1 is the demand price of the excess part when the actual maximum demand exceeds the maximum contract limit. According to the regulations, Cx1/Cx = 2. Let s = [s(1), s(2),…, s(T)] be the vector of power demand. Celec(t) is the hourly electricity price, s(t) is the power demand of the industrial park, ts is the data time step, and T is the amount of data.
Typical daily load curve of industrial park is shown in Figure 1.
According to the daily load curve and electricity price table, the power demand of the industrial park is large when the electricity price is high, but the power demand is small when the electricity price is low, so the power consumption cost is high.

2.1. Income from Energy Storage Participating in Peak Shaving

By providing energy storage to reduce the maximum demand by charging in the low electricity price period and discharging in the peak electricity price period users can reduce the total electricity charge. The difference between the electricity charge without energy storage and peak shaving by energy storage is the income from participating in user side peak shaving, which is expressed as follows:
M peak . 1 = C x 1 f 1 ( max ( s ) , S o ) f 1 ( max ( s b ) , S o ) + t = 1 T C elec ( t ) s ( t ) t s t = 1 T C elec ( t ) [ s ( t ) b ( t ) ] t s
where, b(t) is the output of energy storage at each time. b = [b(1), b(2), …, b(T)] is the vector of energy storage actions. This formula expresses the saving of electricity cost after energy storage participates in peak shaving, but the energy storage itself will deteriorate during charging, and daily maintenance is required to ensure the normal operation of energy storage.

2.2. Energy Storage Output Cost

In the operation of battery energy storage, the operation cost is a key problem that must be considered, and the degradation cost comes from the degradation of the battery under repeated charge and discharge cycles [40,41,42]. Different batteries show different degradation characteristics. Lithium-ion batteries are a widely used form of battery energy storage. Therefore, the degradation cost model in this paper is mainly based on lithium-ion batteries.
In this paper, the rain flow cycle counting method is used to calculate the degradation cost of the energy storage battery. According to paper [43], the relationship between the depth of discharge (DOD) of an energy storage battery and its cycle life is described as follows:
N max = 1302 D O D 5 + 4427 D O D 3 8925 D O D + 10 , 500
where, Nmax is the cycle life (Times) of the battery, and DOD is the discharge depth of the energy storage battery.
Using the rain flow counting method, the SOC change of the energy storage battery can be obtained according to the energy storage output b(t) of each cycle, and then the cycle output times and output depth of the energy storage in each output cycle can be obtained. In a certain cycle, the energy storage has conducted n cycle output, and the corresponding discharge cycle depth is set as DOD(1), DOD(2), …, DOD(n). Then, the battery life decay rate in a certain energy storage output cycle is given as follows [40]:
γ = i = 1 n 1 N max ( D O D ( i ) ) 100 %
where γ is the decay rate of battery life, and Nmax (DOD(i)) is the maximum number of discharge cycles corresponding to DOD(i). Therefore, the degradation cost generated after one cycle of output of the energy storage battery is expressed as follows.
f ( b ) = γ ( C S P r + C B E r )
where CS is the unit power cost of the PCS, that is, the unit power cost of the energy storage converter; Pr is the rated configuration power of the energy storage; CB is the unit capacity cost and Er is the energy storage capacity.
Energy storage operation and maintenance cost refers to a series of costs such as battery maintenance, repair and inspection to ensure the normal use of energy storage battery within the specified service life [44], which is related to the charging and discharging power and battery capacity of energy storage.
g ( b ( t ) ) = C POM t = 1 T b ( t ) + C BOM t = 1 T b ( t ) t s
where CPOM is the unit power operation and maintenance cost; CBOM is the operation and maintenance cost per unit capacity, that is the operation and maintenance cost corresponding to absorbing/releasing 1 MWh of energy.

2.3. Model Establishment

According to the benefits and costs described above, the daily energy storage output planning model aiming at the lowest total electricity charge in the industrial park is established as follows:
M peak = min b 1 ( t ) C x 1 f 1 ( max ( s b 1 ) , S o ) + t = 1 T f ( b 1 ( t ) ) + t = 1 T g ( b 1 ( t ) ) + t = 1 T C elec ( t ) [ s ( t ) b 1 ( t ) ] t s
where b1(t) is the variable, meaning the output of energy storage for peak shaving at each time, b1 = [b1(1), b1(2), …, b1(T)] is the vector of battery actions for peak shaving.
The constraints are:
(1)
SOC constraint of energy storage battery
SOC min SOC 1 τ = 1 t b 1 ( τ ) t s E 1 SOC max SOC 1
where SOCmax and SOCmin respectively represent the maximum and minimum state of charge in the discharge area of the energy storage battery, SOC1 represents the SOC of the energy storage battery at the initial time, and E1 represents the peak shaving capacity of energy storage.
(2)
Same constraint as initial state
t = 1 T b 1 ( t ) = 0
Each optimization process is a cycle. During this cycle, the SOC of the energy storage battery shall be consistent, so as to facilitate the optimization and output of multiple cycles.
(3)
Maximum power constraint of energy storage charge and discharge
0 b i 1 ( t ) P r
0 b o 1 ( t ) P r
where bi1(t) represents the charging power of the battery during peak shaving, and bo1(t) represents the discharge power of the battery during peak shaving.

3. Optimization Model of Energy Storage Battery Participating in Frequency Regulation

The energy storage battery has good response speed and climbing ability, so it can adapt to flexible frequency regulation signals. In this paper, the Reg_D frequency regulation signal of the American PJM market is used as the frequency regulation action instruction of energy storage battery. Figure 2 shows a one-hour Reg_D frequency regulation signal, which is expressed in normalized form and ranges from [−1,1]. In this frequency regulation market, each energy storage power station willing to participate in frequency regulation service needs to submit bidding application and bidding capacity the day before the frequency regulation day. After winning the bid, the energy storage battery needs to output according to the frequency regulation signal. At the same time, the frequency regulation market will compensate the capacity of the winning energy storage. However, the energy storage unit that fails to comply with the regulations will also be adjusted and punished.
The power that battery energy storage needs to respond to in the process of frequency regulation Pneed is described as follows.
P need = r ( t ) C J
where r(t) is the Rrg_D frequency regulation real-time signal and CJ is the bid-marked capacity.
When participating in the frequency regulation service market, the mileage of the energy storage battery following the frequency regulation signal determines the benefits brought by the energy storage. Deeper following of the signal will give more frequency regulation mileage benefits and reduce the penalty caused by insufficient output. However, deeper following means a larger span of energy storage output, which will also bring more degradation, operation and maintenance costs. Therefore, a frequency regulation optimization model with the most economical energy storage battery is established.
(1)
Traditional objective function
M r = min C , b 2 ( t ) t = 1 T f ( b 2 ( t ) ) + t = 1 T g ( b 2 ( t ) ) + c mis t = 1 T b 2 ( t ) C r ( t ) c t T C R b
where C and b2(t) are the variables, C is the bidding capacity, b2(t) is output of energy storage for frequency regulation at each time. cmis is the penalty coefficient, which represents the penalty amount required for every 1 MW·h of deviation between the energy storage output and the frequency regulation signal and ct is the frequency regulation compensation coefficient, which represents the compensation amount for each 1 MW energy storage successfully bid by the grid service market every hour. Rb is mileage compensation, and its calculation method is described as follow.
R b = K c b p r b
where, K is the frequency regulation performance index, cbp is the frequency regulation mileage price, rb is the frequency regulation mileage in a certain frequency regulation stage. The calculation method was according to reference [45,46].
(2)
Constraints
C 0
C < P 2 max
SOC min SOC 1 τ = 1 t b 1 ( τ ) t s E 1 SOC max SOC 1
t = 1 T b 2 ( t ) = 0
0 max ( b i 2 ( t ) ) P 2 max
0 max ( b o 2 ( t ) ) P 2 max
where, P2max is the maximum power of frequency regulation of energy storage.
(3)
Improve the objective function
In the constraint condition (18), the sum of the energy storage battery’s output for frequency regulation in an optimization cycle is 0. Therefore, in a frequency regulation optimization cycle, the output of the energy storage battery cannot impact the electricity charge, but it will have an impact on the basic electricity charge. This will fluctuate the total electricity charge after the energy storage battery participates in frequency regulation, so the objective function is improved as follows:
M r = min c , b 2 ( t ) t = 1 T f ( b 2 ( t ) ) + C x 1 f 1 ( max ( s b 2 ) , S o ) + t = 1 T g ( b 2 ( t ) ) + c mis b 2 ( t ) C r ( t ) c t T C R b
where b2 = [b2(1), b2(2), …, b2(T)] is the vector of battery actions for frequency regulation.

4. Energy Storage Frequency Regulation and Peak Shaving Output Planning

4.1. Joint Optimization of Frequency Regulation and Peak Shaving

Based on the storage battery’s fixed capacity, an optimization strategy is proposed for the joint output of frequency regulation and peak shaving.
In this strategy, first the energy storage battery capacity is optimized by day ahead allocation to obtain the optimal economic peak shaving and frequency regulation capacity allocation, then the day ahead peak shaving planning and the optimal bidding capacity of energy storage frequency regulation are obtained. The MPC model is used to optimize the intra-day energy storage frequency regulation output, then the total intra-day energy storage output is obtained.
By predicting the user’s required load and Reg_D of the next day, according to the peak and valley electricity charge, the maximum contract limit and other parameters, we take the energy storage output and peak shaving and frequency regulation capacity as variables and optimize them with the goal of optimizing the economy of energy storage and peak shaving output at the same time, so as to obtain the optimal allocation of energy storage frequency regulation and peak shaving capacity. The model is as follows:
Objective function is described as follows.
M both C , b 1 ( t ) , b 2 ( t ) , E 1 , E 2 = min C x 1 f 1 ( max ( s b 1 b 2 ) , S o ) + t = 1 T C elec ( t ) [ s ( t ) b 1 ( t ) ] t s + t = 1 T f ( b 1 ( t ) + b 2 ( t ) ) + t = 1 T g ( b 1 ( t ) + b 2 ( t ) ) + c mis t = 1 T b 2 ( t ) C r ( t ) R b c t T C
Constraints:
C 0
C P max max ( b 1 ( t ) )
SOC min SOC 1 τ = 1 t b 1 ( τ ) t s E 1 SOC max SOC 1
SOC min SOC 1 τ = 1 t b 2 ( τ ) t s E 2 SOC max SOC 1
E 1 + E 2 = E o
P o b 1 ( t ) + b 2 ( t ) P o
t = 1 T b 1 ( t ) = 0
t = 1 T b 2 ( t ) = 0
where E1 is the occupied capacity of peak shaving, E2 is the occupied capacity of frequency regulation, Eo is the rated capacity of the energy storage battery and Po is the rated power of energy storage battery. Using this model, the capacity E1 and E2 of peak shaving and frequency regulation can be optimized. We can bring the obtained E1 and E2 into the peak shaving and frequency regulation models to obtain the planned energy storage peak shaving output b1(t), the maximum peak shaving output max(b1(t)), and the energy storage frequency regulation bidding capacity C. These optimization results will affect the parameter setting of intra-day frequency regulation optimization.

4.2. Intra-Day Optimization of Frequency Regulation and Peak Shaving

Since the frequency regulation signal changes according to the real-time state of the system, the frequency regulation output needs to respond to the real-time signal. C, obtained from the above optimization results, shall be used for bidding. If the bidding is successful, intra-day rolling output optimization of energy storage shall be carried out according to the actual Reg_D signal intra-day, and intra-day peak adjustment shall be carried out according to the day-ahead planning. The flow chart of day ahead and day ahead optimization is shown in Figure 3.
During intra-day frequency regulation optimization, rolling optimization is carried out according to MPC framework to obtain real-time output. MPC can consider future information, so it can solve the problem of short sightedness of model optimization [47]. In the output strategy of this paper, MPC is divided into the following steps: (1)At the current time, t, of receiving frequency regulation signal, based on the current state of energy storage battery, the prediction model is used to predict the frequency regulation signal in [t, t + 1, ..., t + n]. (2) According to the predicted frequency regulation signals [r (t), r (t + 1), ..., r (t + n)] into the frequency regulation optimization model, the economic optimal solution [b2(t), b2(t + 1), …, b2(t + n)] is obtained. (3) b2(t) is used as the energy storage frequency regulation output at time t, and the initial energy storage state at time t + 1 is obtained. (4) Repeat the above steps at time t + 1. Finally, the optimal economic frequency regulation output of the energy storage battery considering mileage income, degradation effect and operation and maintenance cost is obtained.

5. Life Cycle Economic Analysis Model

5.1. Life Cycle Cost Calculation Model

The economics and investability of the strategy proposed in this paper can be seen through the economic analysis of its whole lifetime. Therefore, the cost and benefit model of energy storage participating in peak and frequency regulation on the user side is established in this section. The life cycle cost of energy storage refers to all direct, indirect, derived or non-derived costs that occur or may occur during the entire life cycle of energy storage participating in peak and frequency regulation. The life cycle cost model of the energy storage system in this paper includes its investment cost, operation and maintenance costs, scrap processing cost, and penalties caused by frequency regulation. Since the degradation cost is calculated from the investment cost of the energy storage battery, so the degradation cost is not considered during the full life cycle. the present value method is used to convert the cost of the entire life cycle into the present value of the investment cost at the initial moment of investment as follows:
C T = C 1 + C 2 + C 3 + C 4
where CT is the present value of total cost, C1 is the present value of the initial investment cost of energy storage throughout the life cycle, C2 is the present value of energy storage operation and maintenance cost, C3 is the present value of energy storage disposal cost and C4 is the present value of the penalty cost of energy storage participating in frequency regulation. The expressions are as follows.
C 1 = C S P r + k = 0 n C B E r ( 1 + r ) [ k T LCC / ( n + 1 ) ]
C 2 = C POM P r { [ ( 1 + r ) T LCC 1 ] / [ r ( 1 + r ) T LCC ] } + t = 1 T LCC C BOM W ( 1 + r ) t
C 3 = C Pscr P r ( 1 + r ) T LCC + k = 1 n + 1 C Escr E r ( 1 + r ) k T life
C 4 = t = 1 T LCC F c ( 1 + r ) t
where n is number of replacements, TLCC is the number of years considered in the whole life cycle and n = TLCC/Tlife. Tlife is the cycle life of the energy storage. r is the discount rate, W is the annual charge and discharge capacity of energy storage, CPscr is the unit power scrap disposal cost, CEscr is the disposal cost per unit capacity and Fc is the annual frequency regulation penalty for energy storage.

5.2. Life Cycle Benefit Calculation Model

The benefits of energy storage participating in user-side peaking and frequency regulation come from the electricity price difference of peaking, frequency regulation capacity compensation and frequency regulation mileage compensation. It is expressed as the following formula.
R T = R 1 + R 2
where R1 is the present value of peak shaving income and R2 is the frequency regulation revenue present value.
R 1 = t = 1 T LCC M p ( 1 + r ) t
R 2 = t = 1 T LCC M t ( 1 + r ) t
where Mp is the peak shaving annual revenue and Mt is the frequency regulation annual income.

6. Example Analysis

6.1. Parameter Setting

In order to verify the effectiveness of the scheme in improving the economy of energy storage on the user side, the actual Reg_D signal and industrial park load are used to simulate and verify. The experimental model is optimized by the CVX software package in MATLAB, which is a general software package to solve convex optimization problems. the parameters appearing in the model are assigned values as shown in Table 2. Because the frequency regulation signal adopts the Reg_D of the PJM market in the United States, the currency unit in this paper is the US dollar. The frequency tariff is converted from one month to a single day price. Because the research focus of this paper is not to determine the optimal value of the user’s maximum contract limit, and the optimal value of the contract limit is a long-term fixed value and cannot be changed every day, so the maximum contract limit is specified as the determined value in the experimental process of this paper.
The parameters of energy storage battery used in this paper are shown in Table 3.

6.2. Peak Shaving and Frequency Regulation Day-Ahead Optimization

In this paper, a long short-term memory (LSTM) network is used to predict the load and frequency regulation signal. Because the time steps of peak shaving and frequency regulation are different, peak shaving needs to optimize the electricity price and load demand of the whole day as a reference, so the optimization step is hour level, while the step size of Reg_D signal is 2 s, which is too different from the peak shaving time step. If they are optimized for 24 h, there will be up to 43,200 frequency regulation signals, which undoubtedly increases the optimization complexity. Therefore, in the day-ahead capacity planning stage in this paper, the load data is divided into 2 s from the original steps of 15 min, so four data in an hour are divided into 1800 data to match the frequency regulation steps, so Equation (18) can be solved to get E1 and E2. This process is repeated 24 times to obtain 24 groups of E1 and E2 per day, and the average value is taken for the final peak shaving and frequency regulation capacity allocation.
According to the capacity planning model of peak shaving and frequency regulation and the parameters given above, an energy storage battery with a maximum power of 1 MW and capacity of 1 MW·h was used to carry out the day-ahead peak shaving and frequency regulation planning on the user side. The obtained results are E1 = 0.8 MW·h and E2 = 0.2 MW·h. Then, we bring E1 into the peak shaving model shown in Equation (8) and so get the power curve required by the user after peak shaving is shown in Figure 4. The energy storage output and SOC changes are shown in Figure 5 and Figure 6. The maximum output power of energy storage peak regulation is P1max = 0.13 MW. According to Figure 4, the energy storage battery charges in the night when the electricity price is low, and the energy storage discharges in the morning and afternoon when the electricity price is high, so as to reduce the power demand of users in the time when the electricity price is high. Maximum demand from industrial users is reduced based on maximum contract quotas.
According to the calculation rule of the user electricity charge, the 24 h electricity charge without energy storage battery is $2487, of which the demand electricity charge is $230. After adding the output of the energy storage battery, the electricity charge for 24 h is $2446, including the demand electricity charge of $199 and degradation cost and operation and maintenance cost of $52. Therefore, the energy storage power station is equipped with energy storage battery for peak shaving, which has limited savings on electricity charges. This is because if the energy storage output is small and the peak shaving is small, it has little impact on electricity charges. When the energy storage output is large, although the electricity charges are reduced, the degradation costs and operation and maintenance costs of the energy storage will also increase, resulting in no significant savings in total electricity charges.
Taking E2 = 0.2 MWH and P2max = 0.87 MW into the frequency regulation model, the optimal power C = 0.87 MW. The variation results of energy storage frequency regulation output and SOC are shown in Figure 7 and Figure 8.
It can be seen from the Figure 7 that the energy storage battery tracks the Reg_D signal and sends output most of the time. When large-scale output of the energy storage is required, the model will take into account the degradation effect of the energy storage battery, operation and maintenance costs and power demand at the user side, so that the energy storage battery only responds to some frequency regulation commands and reduces the output depth. In this hour, the electricity charge of the industrial park is $57.37. Participating in the service market through frequency regulation, the optimized electricity charge is $37.60, including degradation cost and operation and maintenance cost of $9.12. Thus, the user-side energy storage battery can participate in the market frequency regulation auxiliary service, which can effectively reduce the user’s electricity charge.

6.3. Intra-Day Real-Time Optimization

According to the LSTM that predicts the frequency regulation signal, the MPC model described in Section 4 is used for rolling training on the frequency regulation day in which the energy storage with power of 0.87 MW and capacity of 0.2 MWH is used. The 24-h frequency regulation output is shown in Figure 9.
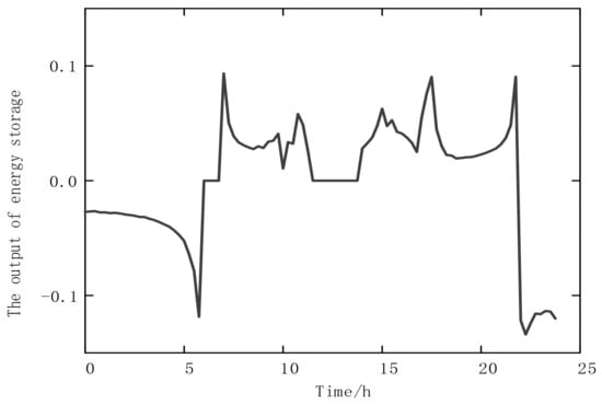
Since the total output of the energy storage battery in a day is equal to the sum of the frequency regulation output and the peak shaving output, we can take any continuous two hours in a day to observe, and the actual total output of energy storage is shown in Figure 10.

6.4. Economic Analysis

This section compares the coordinated output of peak shaving and frequency regulation of energy storage with the economic benefits obtained by peak shaving or frequency regulation alone for a whole day. As shown in Figure 11, the impact of using 1 MW and 1 MWH energy storage batteries for one day under different schemes on the electricity charge of the industrial park is shown respectively.
It can be seen from the Figure 11 that the 24 h electricity charge of users obtained through the strategy in this paper is reduced by 10.96% compared with the output without energy storage, 5.8% compared with the output of peak shaving only for energy storage, and 3.6% compared with the output of frequency regulation only for energy storage. The benefit brought by the combined output of energy storage peak shaving and frequency regulation is better than that of the frequency regulation service or peak shaving alone with batteries of the same capacity and power.
This is due to the Reg_D frequency regulation signal frequently crossing the zero value, and the SOC of the battery can be recovered by following the signal. Therefore, there is little demand for capacity during energy storage frequency regulation. Although the profit obtained by using 1 MW bidding capacity is greater than that obtained by using 0.87 MW capacity for frequency regulation, it will also increase the degradation cost of energy storage battery each time following the signal. If 0.87 MW power is used for frequency regulation and 0.13 MW power is used for peak shaving, the benefit of frequency regulation is less than that of 1 MW power frequency regulation, but the cost of degradation benefit is lower, and the benefit of peak shaving will be obtained. Therefore, the optimal economic results of frequency regulation and peak shaving will be obtained. The degradation costs incurred by adopting various schemes are shown in Table 4.
It can be seen from Table 4 that the sum of degradation cost generated by 0.87 MW, 0.2 MW·h frequency regulation and 0.13 MW, 0.8 MW·h peak shaving alone is $16 more than that generated by 1 MW, 1 MW·h combined frequency regulation with peak shaving. The reason for the cost reduction is that in the process of joint output, the frequency regulation signal has quite a lot of time, which is contrary to the peak shaving of energy storage, thus reducing the discharge depth of the storage battery and reducing the cost of degradation.

6.5. Economic Analysis Based on Life Cycle

According to the 24 h energy storage peak shaving and frequency modulation output, the SOC change of the energy storage battery during the day is shown in Figure 12.
According to the SOC change data over 24 h, the cycle times and cycle depth of peak shaving and frequency regulation of energy storage in a day can be obtained by using the rain flow counting method, as shown in the Figure 13. The discharge cycle is composed of peak shaving deep cycle and several frequency regulation shallow cycles. A total of 109 cycles are carried out in 24 h, and the sum of cycle depths is 0.7171. According to the average cycle life of lithium battery, the operation life under the strategy proposed in this paper is 3 years.
In order to reflect the profitability of the strategy proposed, the rate of return on investment is introduced for evaluation. The rate of return on investment can be calculated by the ratio of the average annual net income over the entire life cycle of the system to the total investment amount, and the greater the rate of return on investment, the better the profitability of the project, which can be calculated as follows.
R inv = N B K × 100 %
where, K is the annual average investment of the project, namely K = CT/TLCC. NB is the average annual net income during the life cycle of the system.
According to the life of the energy storage battery, the economic analysis of the whole life cycle is carried out, and the costs and benefits are shown in Table 5.
For comparison, using the same method, frequency regulation of 1 MW, 1 MW·h energy storage batteries and peak shaving of 1 MW, 1 MW·h energy storage batteries are used to perform a full-life economic analysis. The results are shown in Table 6 and Table 7.
Available from Table 5, Table 6 and Table 7, the life cycle analysis results are different. For Tlife, peak shaving only is the largest, followed by peak shaving and frequency regulation coordination output, and only frequency regulation is the smallest. This is because the SOC changes are different for different output strategies. When energy storage performs frequency modulation only, it needs to constantly switch between the two states of charging and discharging for tracking the Reg_D signal. Therefore, the corresponding number of energy storage cycles per day will increase. The cycle life of the energy storage battery is fixed, and when the number of cycles is reached, the battery needs to be replaced so greater battery replacement costs will be incurred. Therefore, the C1 is the largest when the energy storage battery only participates in frequency regulation service. Similarly, Tlife is the largest when energy storage participates peak shaving only, so the number of battery replacement required in the whole life cycle is the smallest. Therefore, C1 is the smallest when energy storage only shaves the peaks, and the characteristics of C3 are the same as C1. Although the investment cost of energy storage only peak shaving is low, the income from energy storage only peak shaving is too small, such that the net income in the whole life cycle of energy storage only peak shaving is negative, and the rate of return on investment is also negative. Although the frequency regulation gain of the energy storage battery is very high when it is used only, the service life of the energy storage is too short due to long-term multiple cycles. By comparison, under the operation of the strategy proposed in this paper, the energy storage battery can reduce the output cycle required for participating in frequency regulation through peak regulation output (as shown in the Figure 12). At the same time, the problem of low peak shaving income is compensated by the high income of frequency regulation services, so the income and life of energy storage batteries coexist, which has a higher investment value.

7. Conclusions

In order to improve the economy and investability of energy storage on the user side, this paper puts forward the peak shaving and frequency regulation coordinated output strategy in which the industrial park energy storage battery participates in the system frequency regulation service while peak shaving to obtain additional income.
The strategy divides the peak shaving and frequency regulation capacity of energy storage and obtains the output of peak shaving plan day ahead. The real-time output with optimal economy is obtained through MPC rolling optimization intra-day, and the degradation effect and operation and maintenance cost are considered while the maximum frequency regulation capacity compensation and mileage compensation are obtained, so as to improve the total revenue of the industrial park energy storage intra-day. Finally, the whole life cycle economic analysis of the strategy proposed in this paper shows that the peak shaving and frequency regulation coordinated output on the user side has a larger rate of return. When China’s frequency regulation service market is better in the future, this strategy provides a new idea for industrial park energy storage to improve its economy.

Author Contributions

Methodology, Z.J.; software, Y.Y.; validation, Y.Y. and Y.F.; formal analysis, Y.S. and Y.F.; investigation, Y.F.; resources, D.L.; writing—original draft preparation, Z.J.; writing—review and editing, H.C. (Huayue Chen) and Y.S.; visualization, H.C. (Hongji Cao); funding acquisition, Y.S. and D.L. All authors have read and agreed to the published version of the manuscript.

Funding

This research was jointly funded by the Yantai Key Research and Development Program, grant number 2020YT06000970; the Wealth Management Characteristic Construction Project of Shandong Technology and Business University, grant number 2019ZBKY019.

Institutional Review Board Statement

Not applicable.

Informed Consent Statement

Not applicable.

Data Availability Statement

Not applicable.

Conflicts of Interest

The authors declare no conflict of interest.

References

  1. Sun, Z.; Tian, H.; Wang, W. Research on economy of echelon utilization battery energy storage system for user-side peak load shifting. Acta Energ. Sol. Sin. 2021, 42, 95–100. [Google Scholar]
  2. Ye, J. Research on Technical Adaptability and Benefit Evaluation of Energy Storage System in Typical Application Scenarios; North China Electric Power University: Beijing, China, 2020. [Google Scholar]
  3. Zhang, Z.H.; Min, F.; Chen, G.S.; Shen, S.P.; Wen, Z.C.; Zhou, X.B. Tri-partition state alphabet-based sequential pattern for multivariate time series. Cogn. Comput. 2021. [Google Scholar] [CrossRef]
  4. Ran, X.; Zhou, X.; Lei, M.; Tepsan, W.; Deng, W. A novel k-means clustering algorithm with a noise algorithm for capturing urban hotspots. Appl. Sci. 2021, 11, 11202. [Google Scholar] [CrossRef]
  5. Chen, H.; Zhang, Q.; Luo, J. An enhanced Bacterial Foraging Optimization and its application for training kernel extreme learning machine. Appl. Soft Comput. 2020, 86, 105884. [Google Scholar] [CrossRef]
  6. Cui, H.; Guan, Y.; Chen, H.; Deng, W. A novel advancing signal processing method based on coupled multi-stable stochastic resonance for fault detection. Appl. Sci. 2021, 11, 5385. [Google Scholar] [CrossRef]
  7. Zhao, H.; Li, D.; Deng, W.; Yang, X. Research on vibration suppression method of alternating current motor based on fractional order control strategy. Proc. Inst. Mech. Eng. Part E J. Process. Mech. Eng. 2017, 231, 786–799. [Google Scholar] [CrossRef]
  8. Salles, M.B.C.; Gadotti, T.N.; Aziz, M.J.; Hogan, W.W. Potential revenue and breakeven of energy storage systems in PJM energy markets. Environ. Sci. Pollut. Res. Int. 2021, 28, 12357–12368. [Google Scholar] [CrossRef]
  9. He, G.; Chen, Q.; Kang, C.; Pinson, P.; Xia, Q. Optimal bidding strategy of battery storage in power markets considering performance-based regulation and battery cycle life. IEEE Trans. Smart Grid 2016, 7, 2359–2367. [Google Scholar] [CrossRef] [Green Version]
  10. Zheng, J.; Yuan, Y.; Zou, L.; Deng, W.; Guo, C.; Zhao, H. Study on a novel fault diagnosis method based on VMD and BLM. Symmetry 2019, 11, 747. [Google Scholar] [CrossRef] [Green Version]
  11. Zhou, Y.; Zhang, J.; Yang, X.; Ling, Y. Optimal reactive power dispatch using water wave optimization algorithm. Oper. Res. 2020, 20, 2537–2553. [Google Scholar] [CrossRef]
  12. Zhong, K.; Zhou, G.; Deng, W.; Zhou, Y.; Luo, Q. MOMPA: Multi-objective marine predator algorithm. Comput. Methods Appl. Mech. Eng. 2021, 385, 114029. [Google Scholar] [CrossRef]
  13. Wei, Y.Y.; Zhou, Y.Q.; Luo, Q.F.; Deng, W. Optimal reactive power dispatch using an improved slime mould algorithm. Energy Rep. 2021, 7, 8742–8759. [Google Scholar] [CrossRef]
  14. Deng, W.; Zhang, X.X.; Zhou, Y.Q.; Liu, Y.; Zhou, X.B.; Chen, H.L.; Zhao, H.M. An enhanced fast non-dominated solution sorting genetic algorithm for multi-objective problems. Inform. Sci. 2022, 585, 441–453. [Google Scholar] [CrossRef]
  15. Li, T.Y.; Qian, Z.J.; Deng, W.; Zhang, D.Z.; Lu, H.H.; Wang, S.H. Forecasting crude oil prices based on variational mode decomposition and random sparse Bayesian learning. Appl. Soft Comput. 2021, 113, 108032. [Google Scholar] [CrossRef]
  16. Kulpa, J.; Kamiński, P.; Stecuła, K.; Prostański, D.; Matusiak, P.; Kowol, D.; Kopacz, M.; Olczak, P. Technical and economic aspects of electric energy storage in a mine shaft-budryk case study. Energies 2021, 14, 7337. [Google Scholar] [CrossRef]
  17. Deng, W.; Xu, J.; Zhao, H.; Song, Y. A novel gate resource allocation method using improved PSO-based QEA. IEEE Tran. Intell. Transp. Syst. 2020, 1–9. [Google Scholar] [CrossRef]
  18. Xue, J.; Ye, J.; Xu, Q. Interactive package and diversified business mode of renewable energy accommodation-n with client distributed energy storage. Power Syst. Technol. 2020, 44, 1310–1316. [Google Scholar]
  19. Cui, H.; Guan, Y.; Chen, H. Rolling element fault diagnosis based on VMD and sensitivity MCKD. IEEE Access 2021, 9, 120297–120308. [Google Scholar] [CrossRef]
  20. Deng, W.; Shang, S.; Cai, X.; Zhao, H.; Zhou, Y.; Chen, H.; Deng, W. Quantum differential evolution with cooperative coevolution framework and hybrid mutation strategy for large scale optimization. Knowl. -Based Syst. 2021, 224, 107080. [Google Scholar] [CrossRef]
  21. Cheng, B.; Powell, W.B. Co-optimizing battery storage for the frequency regulation and energy arbitrage using multi-scale dynamic programming. IEEE Trans. Smart Grid 2018, 9, 1997–2005. [Google Scholar] [CrossRef]
  22. Senchilo, N.D.; Ustinov, D.A. Method for determining the optimal capacity of energy storage systems with a long-term forecast of power consumption. Energies 2021, 14, 7098. [Google Scholar] [CrossRef]
  23. Chau, T.K.; Yu, S.S.; Fernando, T.; Iu, H.H. Demand-side regulation provision from industrial loads integrated with solar pv panels and energy storage system for ancillary services. IEEE Trans. Ind. Inform. 2018, 14, 5038–5049. [Google Scholar] [CrossRef]
  24. Deng, W.; Xu, J.; Gao, X.; Zhao, H. An enhanced MSIQDE algorithm with novel multiple strategies for global optimization problems. IEEE Trans. Syst. Man. Cybern. Syst. 2020. [Google Scholar] [CrossRef]
  25. Meng, L.; Zafar, J.; Khadem, S.K.; Collinson, A.; Murchie, K.C.; Coffele, F.; Burt, G.M. Fast frequency response from energy storage system a review of grid standards, projects and technical issues. IEEE Trans. Smart Grid 2020, 11, 1566–1581. [Google Scholar] [CrossRef] [Green Version]
  26. Lepszy, S. Analysis of the storage capacity and charging and discharging power in energy storage systems based on historical data on the day-ahead energy market in Poland. Energy 2020, 213, 118750. [Google Scholar] [CrossRef]
  27. Liu, Z.; Feng, D.; Wu, F.; Zhou, Y.; Fang, C. Contract demand decision for electricity users with stochastic photovoltaic generation. Proc. CSEE 2020, 40, 1865–1873. [Google Scholar]
  28. Zhao, H.M.; Liu, H.D.; Jin, Y.; Dang, X.J.; Deng, W. Feature extraction for data-driven remaining useful life prediction of rolling bearings. IEEE Trans. Instrum. Meas. 2021, 70, 3511910. [Google Scholar] [CrossRef]
  29. Arias, N.B.; López, J.C.; Hashemi, S.; Franco, J.F.; Rider, M.J. Multi-objective sizing of battery energy storage systems for stackable grid applications. IEEE Trans. Smart Grid 2021, 12, 2708–2721. [Google Scholar] [CrossRef]
  30. Walawalkar, R.; Apt, J.; Mancini, R. Economics of electric energy storage for energy arbitrage and regulation in New York. Energy Policy 2007, 35, 2558–2568. [Google Scholar] [CrossRef]
  31. Salles, M.B.C.; Huang, J.; Aziz, M.J.; Hogan, W.W. Potential arbitrage revenue of energy storage systems in PJM. Energies 2017, 10, 1100. [Google Scholar] [CrossRef] [Green Version]
  32. Barchi, G.; Pierro, M.; Moser, D. Predictive energy control strategy for peak shaving and shifting using BESS and PV generation applied to the retail sector. Electronics 2019, 8, 526. [Google Scholar] [CrossRef] [Green Version]
  33. Wang, Y.; Pei, C.; Li, Q.; Li, J.; Pan, D.; Gao, C. Flow shop providing frequency regulation service in electricity market. Energies 2020, 13, 1767. [Google Scholar] [CrossRef] [Green Version]
  34. Karpilow, A.; Henze, G.; Beamer, W. Assessment of commercial building lighting as a frequency regulation resource. Energies 2020, 13, 613. [Google Scholar] [CrossRef] [Green Version]
  35. Cai, J. Optimal Building Thermal Load Scheduling for Simultaneous Participation in Energy and Frequency Regulation Markets. Energies 2021, 14, 1593. [Google Scholar] [CrossRef]
  36. Vatandoust, B.; Ahmadian, A.; Golkar, M.A.; Elkamel, A.; Almansoori, A.; Ghaljehei, M. Risk-averse optimal bidding of electric vehicles and energy storage aggregator in day-ahead frequency regulation market. IEEE Trans. Power Syst. 2019, 34, 2036–2047. [Google Scholar] [CrossRef]
  37. Shi, Y.; Xu, B.; Wang, D.; Zhang, B. Using battery storage for peak shaving and frequency regulation: Joint optimization for superlinear gains. IEEE Trans. Power Syst. 2018, 33, 2882–2894. [Google Scholar] [CrossRef] [Green Version]
  38. Liu, Q.; Liu, M.; Lu, W. Control method for battery energy storage participating in frequency regulation market considering degradation cost. Power Syst. Technol. 2021, 45, 3043–3051. [Google Scholar]
  39. Li, J.; Zhang, J.; Mu, G.; Ge, Y.; Yan, G.; Shi, S. Day ahead optimal scheduling strategy of peak regulation for energy storage considering peak and valley characteristics of load. Electr. Power Autom. Equip. 2020, 40, 128–133. [Google Scholar]
  40. Xu, B.; Zhao, J.; Zheng, T.; Litvinov, E.; Kirschen, D.S. Factoring the cycle aging cost of batteries participating in electricity markets. IEEE Trans. Power Syst. 2018, 33, 2248–2259. [Google Scholar] [CrossRef] [Green Version]
  41. Cao, J.; Harrold, D.; Fan, Z.; Morstyn, T.; Healey, D.; Li, K. Deep reinforcement learning-based energy storage arbitrage with accurate lithium-ion battery degradation model. IEEE Trans. Smart Grid 2020, 11, 4513–4521. [Google Scholar] [CrossRef]
  42. Li, X.; Ma, R.; Wang, S.; Zhang, S.; Li, P.; Fang, C. Operation control strategy for energy storage station after considering battery life in commercial park. High Volt. Eng. 2020, 46, 62–70. [Google Scholar]
  43. Li, W.C.; Tong, Y.B.; Zhang, W.G. Energy storage capacity allocation method of electric vehicle charging station considering battery life. Adv. Technol. Electr. Eng. Energy 2019, 39, 55–63. [Google Scholar]
  44. Huang, J.; Li, X.; Chang, M.; Li, S.; Liu, W. Capacity allocation method considering the energy storage battery participating in the primary frequency modulation technology economic mode. Trans. China Electrotech. Soc. 2017, 32, 112–121. [Google Scholar]
  45. Chen, Y.; Leonard, R.; Keyser, M.; Gardner, J. Development of performance-based two-part regulating reserve compensation on miso energy and ancillary service market. IEEE Trans. Power Syst. 2015, 30, 142–155. [Google Scholar] [CrossRef]
  46. Papalexopoulos, A.D.; Andrianesis, P.E. Performance-based pricing of frequency regulation in electricity markets. IEEE Trans. Power Syst. 2014, 29, 441–449. [Google Scholar] [CrossRef]
  47. Batiyah, S.; Zohrabi, N.; Abdelwahed, S.; Sharma, R. An MPC-based power management of a PV/battery system in an islanded DC microgrid. In Proceedings of the 2018 IEEE Transportation Electrification Conference and Expo (ITEC), Long Beach, CA, USA, 13–15 June 2018; pp. 231–236. [Google Scholar]
Figure 1. Daily load curve of industrial park.
Figure 1. Daily load curve of industrial park.
Electronics 11 00029 g001
Figure 2. The signal of the Reg_D.
Figure 2. The signal of the Reg_D.
Electronics 11 00029 g002
Figure 3. The output plan flow chart of peak shaving and frequency regulation.
Figure 3. The output plan flow chart of peak shaving and frequency regulation.
Electronics 11 00029 g003
Figure 4. The result of day-ahead peak shaving.
Figure 4. The result of day-ahead peak shaving.
Electronics 11 00029 g004
Figure 5. The change curve of the battery’s peak-shaving SOC.
Figure 5. The change curve of the battery’s peak-shaving SOC.
Electronics 11 00029 g005
Figure 6. The change curve of the battery’s peak-shaving output.
Figure 6. The change curve of the battery’s peak-shaving output.
Electronics 11 00029 g006
Figure 7. The output of day-ahead frequency regulation.
Figure 7. The output of day-ahead frequency regulation.
Electronics 11 00029 g007
Figure 8. The change curve of battery’s SOC of frequency regulation.
Figure 8. The change curve of battery’s SOC of frequency regulation.
Electronics 11 00029 g008
Figure 9. The output of storage frequency regulation in real time during 24 h.
Figure 9. The output of storage frequency regulation in real time during 24 h.
Electronics 11 00029 g009
Figure 10. The intra-day total output of the storage.
Figure 10. The intra-day total output of the storage.
Electronics 11 00029 g010
Figure 11. The economy contrasts of different schemes.
Figure 11. The economy contrasts of different schemes.
Electronics 11 00029 g011
Figure 12. Change curve of SOC in 24 h.
Figure 12. Change curve of SOC in 24 h.
Electronics 11 00029 g012
Figure 13. The result of rain flow.
Figure 13. The result of rain flow.
Electronics 11 00029 g013
Table 1. The peak valley price.
Table 1. The peak valley price.
TypeTime IntervalElectricity Price/(Yuan/kW h) −1
Valley23:00–07:000.414
Normal07:00–08:00; 11:00–18:000.782
Peak08:00–11:00; 18:00–23:001.149
Table 2. The numerical table of the parameters.
Table 2. The numerical table of the parameters.
Parameter NameNumerical Value
Demand electricity price Cx ($/MW)215
Maximum contractual limit So (MW)0.185
Valley electricity price ($/MW·h)59.14
Normal electricity price ($/MW·h)111.71
Pick electricity price ($/MW·h)164.14
Unit power cost CS ($/MW)257,000
Energy storage battery unit capacity cost CB ($/MW·h)384,000
Unit power operation and maintenance cost CPOM ($/MW)10,000
Unit capacity operation and maintenance cost CBOM ($/MW·h)10
The number of years considered in the whole life cycle TLCC (year)20
Unit power scrap cost CPscr ($/MW)1000
Unit capacity scrap cost CEscr ($/MW·h)1000
Penalty coefficient cmis ($/MW)500
Frequency regulation compensation coefficient ct ($/MW)30
Mileage compensation coefficient cbp ($/MW)4
Discount rate r (%)6
Table 3. The parameters of the energy storage battery.
Table 3. The parameters of the energy storage battery.
Parameter NameNumerical Value
Maximum charge/discharge power Pmax (MW)1
Upper limit of stored energy (MWH)1
Initial value of state of charge0.5
Maximum state of charge (Smax)0.8
Minimum state of charge (Smin)0.2
Lithium battery cycle life N800
Table 4. Degradation costs of different schemes.
Table 4. Degradation costs of different schemes.
SchemeDegradation Cost
1 MW, 1 MW·h Frequency regulation$261
1 MW, 1 MW·h Peak shaving$51.4
0.87 MW, 0.2 MW·h Frequency regulation individually$200
0.13 MW, 0.8 MW·h Peak shaving individually$52
1 MW, 1 MW·h Combined output of frequency regulation and peak shaving$236
Table 5. Economic analysis result of life cycle.
Table 5. Economic analysis result of life cycle.
ParameterNumerical Value
Present value of the initial investment cost C1 ($)1.98 × 106
Present value of energy storage operation and maintenance cost C2 ($)3.12 × 105
Present value of energy storage disposal cost C3 ($)4.00 × 103
Present value of the penalty cost C4 ($)1.31 × 106
Present value of peak shaving income R1 ($)1.49 × 105
Present value of frequency regulation income R2 ($)7.56 × 106
RTCT ($)4.09 × 106
Rate of return on investment Rinv (%)5.66
Table 6. Life cycle analysis of 1 MW, 1 MW·h energy storage for peak shaving.
Table 6. Life cycle analysis of 1 MW, 1 MW·h energy storage for peak shaving.
ParameterNumerical Value
Present value of the initial investment cost C1 ($)8.55 × 105
Present value of energy storage operation and maintenance cost C2 ($)7.31 × 104
Present value of energy storage disposal cost C3 ($)1.33 × 103
The cycle life of the energy storage Tlife (year)8
Present value of peak shaving income R1 ($)3.57 × 105
RTCT ($)−5.72 × 105
Rate of return on investment Rinv (%)−3.08
Table 7. Life cycle analysis of 1 MW, 1 MW·h energy storage for frequency regulation.
Table 7. Life cycle analysis of 1 MW, 1 MW·h energy storage for frequency regulation.
ParameterNumerical Value
Present value of the initial investment cost C1 ($)5.15 × 106
Present value of energy storage operation and maintenance cost C2 ($)3.37 × 105
Present value of energy storage disposal cost C3 ($)1.21 × 104
Present value of the penalty cost C4 ($)1.09 × 106
The cycle life of the energy storage Tlife (year)1
Present value of frequency regulation income R2 ($)9.61 × 106
RTCT ($)3.02 × 106
Rate of return on investment Rinv (%)2.29
Publisher’s Note: MDPI stays neutral with regard to jurisdictional claims in published maps and institutional affiliations.

Share and Cite

MDPI and ACS Style

Liu, D.; Jin, Z.; Chen, H.; Cao, H.; Yuan, Y.; Fan, Y.; Song, Y. Peak Shaving and Frequency Regulation Coordinated Output Optimization Based on Improving Economy of Energy Storage. Electronics 2022, 11, 29. https://doi.org/10.3390/electronics11010029

AMA Style

Liu D, Jin Z, Chen H, Cao H, Yuan Y, Fan Y, Song Y. Peak Shaving and Frequency Regulation Coordinated Output Optimization Based on Improving Economy of Energy Storage. Electronics. 2022; 11(1):29. https://doi.org/10.3390/electronics11010029

Chicago/Turabian Style

Liu, Daobing, Zitong Jin, Huayue Chen, Hongji Cao, Ye Yuan, Yu Fan, and Yingjie Song. 2022. "Peak Shaving and Frequency Regulation Coordinated Output Optimization Based on Improving Economy of Energy Storage" Electronics 11, no. 1: 29. https://doi.org/10.3390/electronics11010029

APA Style

Liu, D., Jin, Z., Chen, H., Cao, H., Yuan, Y., Fan, Y., & Song, Y. (2022). Peak Shaving and Frequency Regulation Coordinated Output Optimization Based on Improving Economy of Energy Storage. Electronics, 11(1), 29. https://doi.org/10.3390/electronics11010029

Note that from the first issue of 2016, this journal uses article numbers instead of page numbers. See further details here.

Article Metrics

Back to TopTop