Phase Shift Optimization Algorithm for Achievable Rate Maximization in Reconfigurable Intelligent Surface-Assisted THz Communications
Abstract
:1. Introduction
2. System Model
3. Phase-Shifting Matrix Optimization
3.1. Problem Formulation
3.2. Proposed Proximal Gradient Method
| Algorithm 1 Accelerated Proximal Gradient (APG) | |
| 1: | Input: , |
| 2: | forq = 0,… Q-1 do |
| 3: | |
| 4: | |
| 5: | Repeat |
| 6: | |
| 7: | |
| 8: | if |
| 9: | break; |
| 10: | Else |
| 11: | (with ) |
| 12: | End |
| 13: | End |
| 14: | |
| 15: | |
| 16: | end for |
3.3. Quantization
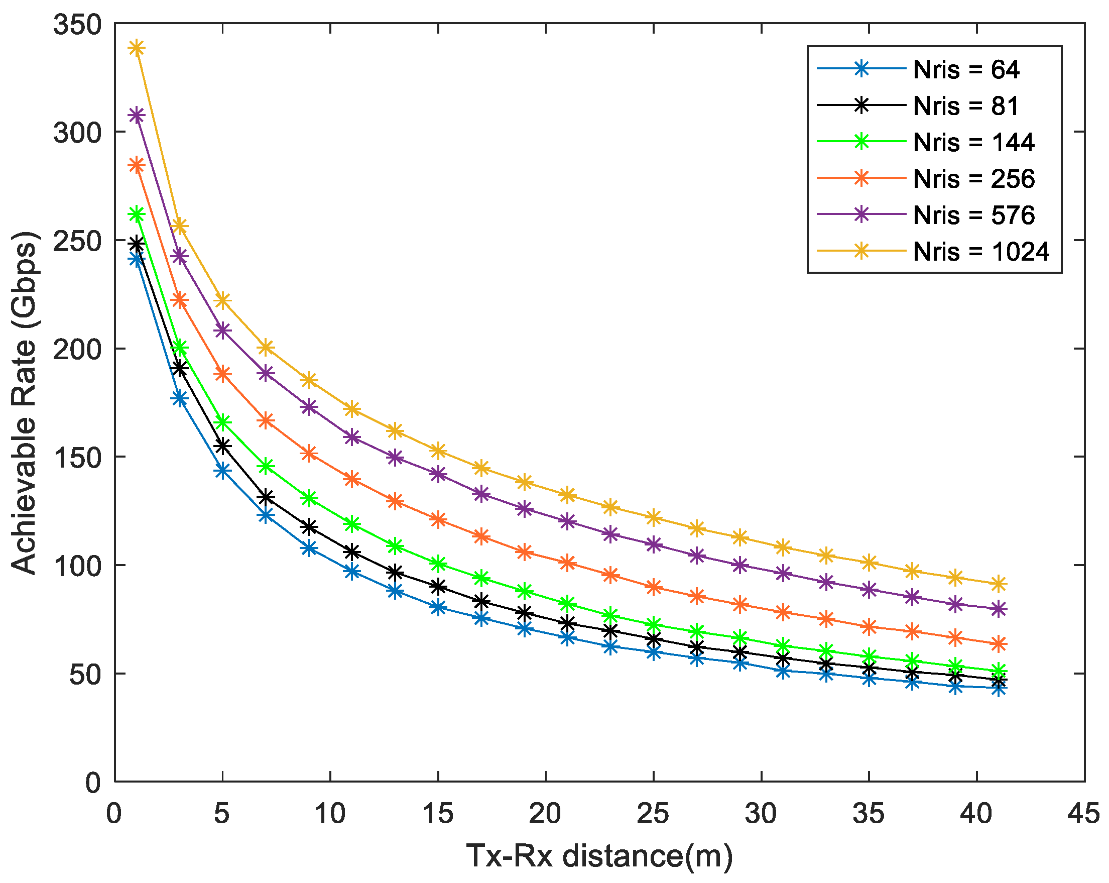
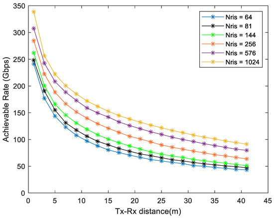
4. Numerical Results
5. Conclusions
Author Contributions
Funding
Conflicts of Interest
References
- Dang, S.; Amin, O.; Shihada, B.; Alouini, M. What should 6G be? Nat. Electron. 2020, 3, 20–29. [Google Scholar] [CrossRef] [Green Version]
- Saad, W.; Bennis, M.; Chen, M. A Vision of 6G Wireless Systems: Applications, Trends, Technologies, and Open Research Problems. IEEE Netw. 2020, 34, 134–142. [Google Scholar] [CrossRef] [Green Version]
- Rajatheva, N.; Atzeni, I.; Bjornson, E.; Bourdoux, A.; Buzzi, S.; Dore, J.B.; Erkucuk, S.; Fuentes, M.; Guan, K.; Hu, Y. White paper on broadband connectivity in 6G. arXiv 2020, arXiv:2004.14247. [Google Scholar]
- Alibakhshikenari, M.; Virdee, B.S.; Shukla, P.; See, C.H.; Abd-Alhameed, R.A.; Falcone, F.; Quazzane, K.; Limiti, E. Isolation enhancement of densely packed array antennas with periodic MTM-photonic bandgap for SAR and MIMO systems. IET Microw. Antennas Propag. 2020, 14, 183–188. [Google Scholar] [CrossRef]
- Althuwayb, A. Enhanced radiation gain and efficiency of a metamaterial-inspired wideband microstrip antenna using substrate integrated waveguide technology for sub-6 GHz wireless communication systems. Microw. Opt. Technol. Lett. 2021, 63, 1892–1898. [Google Scholar] [CrossRef]
- Sarieddeen, H.; Alouini, M.; Al-Naffouri, T. An Overview of Signal Processing Techniques for Terahertz Communications. arXiv 2020, arXiv:2005.13176v2. [Google Scholar] [CrossRef]
- Han, C.; Wu, Y.; Chen, Z.; Wang, X. Terahertz communications (TeraCom): Challenges and impact on 6G wireless systems. arXiv 2019, arXiv:1912.06040. [Google Scholar]
- Elayan, H.; Amin, O.; Shihada, B.; Shubair, R.; Alouini, M. Terahertz Band: The Last Piece of RF Spectrum Puzzle for Communication Systems. IEEE Open J. Commun. Soc. 2020, 1, 1–32. [Google Scholar] [CrossRef] [Green Version]
- O’Hara, J.; Ekin, S.; Choi, W.; Song, I. A Perspective on Terahertz Next-Generation Wireless Communications. Technologies 2019, 7, 43. [Google Scholar] [CrossRef] [Green Version]
- Wu, Q.; Zhang, R. Towards Smart and Reconfigurable Environment: Intelligent Reflecting Surface Aided Wireless Network. IEEE Commun. Mag. 2019, 58, 106–112. [Google Scholar] [CrossRef] [Green Version]
- Di Renzo, M.; Debbah, M.; Phan-Huy, D.; Zappone, A.; Alouini, M.; Yuen, C.; Sciancalepore, V.; Alexandropoulos, G.; Hoydis, J.; Gacanin, H.; et al. Smart radio environments empowered by reconfigurable AI meta-surfaces: An idea whose time has come. EURASIP J. Wirel. Commun. Netw. 2019, 2019, 129. [Google Scholar] [CrossRef] [Green Version]
- Chen, Z.; Ma, X.; Han, C.; Wen, Q. Towards intelligent reflecting surface empowered 6G terahertz communications: A survey. China Commun. 2021, 18, 93–119. [Google Scholar] [CrossRef]
- Wu, Q.; Zhang, R. Beamforming Optimization for Wireless Network Aided by Intelligent Reflecting Surface with Discrete Phase Shifts. IEEE Trans. Commun. 2020, 68, 1838–1851. [Google Scholar] [CrossRef] [Green Version]
- Dai, L.; Wang, B.; Wang, M.; Yang, X.; Tan, J.; Bi, S.; Xu, S.; Yang, F.; Chen, Z.; Renzo, M.; et al. Reconfigurable Intelligent Surface-Based Wireless Communications: Antenna Design, Prototyping, and Experimental Results. IEEE Access 2020, 8, 45913–45923. [Google Scholar] [CrossRef]
- Gong, S.; Lu, X.; Hoang, D.T.; Niyato, D.; Shu, L.; Kim, D.I.; Liang, Y.-C. Toward Smart Wireless Communications via Intelligent Reflecting Surfaces: A Contemporary Survey. IEEE Commun. Surv. Tutor. 2020, 22, 2283–2314. [Google Scholar] [CrossRef]
- Sarieddeen, H.; Saeed, N.; Al-Naffouri, T.; Alouini, M. Next Generation Terahertz Communications: A Rendezvous of Sensing, Imaging, and Localization. IEEE Commun. Mag. 2020, 58, 69–75. [Google Scholar] [CrossRef]
- Akyildiz, I.; Han, C.; Nie, S. Combating the Distance Problem in the Millimeter Wave and Terahertz Frequency Bands. IEEE Commun. Mag. 2018, 56, 102–108. [Google Scholar] [CrossRef] [Green Version]
- Yongzhi, W.; Chong, H. Interference and Coverage Analysis for Indoor Terahertz Wireless Local Area Networks. In IEEE Globecom Workshops (GC Wkshps); IEEE: Piscataway, NJ, USA, 2019; pp. 1–6. [Google Scholar]
- Kürner, T.; Priebe, S. Towards THz Communications—Status in Research, Standardization and Regulation. J. Infrared Millim. Terahertz Waves 2013, 35, 53–62. [Google Scholar] [CrossRef]
- Petrov, V.; Pyattaev, A.; Moltchanov, D.; Koucheryavy, Y. Terahertz band communications: Applications, research challenges, and standardization activities. In Proceedings of the 8th International Congress on Ultra Modern Telecommunications and Control Systems and Workshops (ICUMT), Lisbon, Portugal, 18–20 October 2016; pp. 183–190. [Google Scholar]
- Alghamdi, R.; Alhadrami, R.; Alhothali, D.; Almorad, H.; Faisal, A.; Helal, S.; Shalabi, R.; Asfour, R.; Hammad, N.; Shams, A.; et al. Intelligent Surfaces for 6G Wireless Networks: A Survey of Optimization and Performance Analysis Techniques. IEEE Access 2020, 8, 202795–202818. [Google Scholar] [CrossRef]
- Perovic, N.; Tran, L.; Di Renzo, M.; Flanagan, M. Achievable Rate Optimization for MIMO Systems with Reconfigurable Intelligent Surfaces. IEEE Trans. Wirel. Commun. 2021, 20, 3865–3882. [Google Scholar] [CrossRef]
- Hou, T.; Liu, Y.; Song, Z.; Sun, X.; Chen, Y.; Hanzo, L. MIMO Assisted Networks Relying on Intelligent Reflective Surfaces. arXiv 2019, arXiv:1910.00959. [Google Scholar]
- Zhang, J.; Liu, J.; Ma, S.; Wen, C.; Jin, S. Large System Achievable Rate Analysis of RIS-Assisted MIMO Wireless Communication with Statistical CSIT. IEEE Trans. Wirel. Commun. 2021, 20, 5572–5585. [Google Scholar] [CrossRef]
- Wu, Q.; Zhang, R. Intelligent Reflecting Surface Enhanced Wireless Network via Joint Active and Passive Beamforming. IEEE Trans. Wirel. Commun. 2019, 18, 5394–5409. [Google Scholar] [CrossRef] [Green Version]
- Di, B.; Zhang, H.; Song, L.; Li, Y.; Han, Z.; Poor, H. Hybrid Beamforming for Reconfigurable Intelligent Surface based Multi-User Communications: Achievable Rates with Limited Discrete Phase Shifts. IEEE J. Sel. Areas Commun. 2020, 38, 1809–1822. [Google Scholar] [CrossRef]
- Ma, X.; Chen, Z.; Yan, L.; Han, C.; Wen, Q. Joint Hardware Design and Capacity Analysis for Intelligent Reflecting Surface Enabled Terahertz MIMO Communications. arXiv 2020, arXiv:2012.06993v2. [Google Scholar]
- Nie, S.; Akyildiz, I. Beamforming in Intelligent Environments based on Ultra-Massive MIMO Platforms in Millimeter Wave and Terahertz Bands. In Proceedings of the IEEE International Conference on Acoustics, Speech and Signal Processing—Proceedings, ICASSP, Barcelona, Spain, 4–8 May 2020; pp. 8683–8687. [Google Scholar]
- Han, C.; Yan, L.; Yuan, J. Hybrid Beamforming for Terahertz Wireless Communications: Challenges, Architectures, and Open Problems. IEEE Wirel. Commun. 2021, 28, 198–204. [Google Scholar] [CrossRef]
- Ning, B.; Tian, Z.; Chen, Z.; Han, C.; Yuan, J.; Li, S. Prospective Beamforming Technologies for Ultra-Massive MIMO in Terahertz Communications: A Tutorial. arXiv 2021, arXiv:2107.03032. [Google Scholar]
- Akyildiz, I.; Jornet, J. Realizing Ultra-Massive MIMO (1024 × 1024) communication in the (0.06–10) Terahertz band. Nano Commun. Netw. 2016, 8, 46–54. [Google Scholar] [CrossRef] [Green Version]
- Singh, A.; Andrello, M.; Thawdar, N.; Jornet, J. Design and Operation of a Graphene-Based Plasmonic Nano-Antenna Array for Communication in the Terahertz Band. IEEE J. Sel. Areas Commun. 2020, 38, 2104–2117. [Google Scholar] [CrossRef]
- Thawdar, N.; Andrello, M.; Jornet, J. Modeling and Performance Analysis of a Reconfigurable Plasmonic Nano-Antenna Array Architecture for Terahertz Communications. In Proceedings of the 5th ACM International Conference on Nanoscale Computing and Communication, Reykjavik, Iceland, 5–7 September 2018; Volume 18, pp. 1–6. [Google Scholar]
- Andrello, M.; Singh, A.; Thawdar, N.; Jornet, J. Dynamic Beamforming Algorithms for Ultra-directional Terahertz Communication Systems Based on Graphene-based Plasmonic Nano-antenna Arrays. In Proceedings of the Conference Record—Asilomar Conference on Signals, Systems, and Computers, Pacific Grove, CA, USA, 28–31 October 2018; pp. 1558–1563. [Google Scholar]
- Dovelos, K.; Assimonis, S.; Ngo, H.; Bellalta, B.; Matthaiou, M. Intelligent Reflecting Surfaces at Terahertz Bands: Channel Modeling and Analysis. In Proceedings of the 2021 IEEE International Conference on Communications Workshops, ICC Workshops 2021—Proceedings, Montreal, QC, Canada, 14–23 June 2021. [Google Scholar]
- Akyildiz, I.; Jornet, J.; Han, C. TeraNets: Ultra-broadband communication networks in the terahertz band. IEEE Wirel. Commun. 2014, 21, 130–135. [Google Scholar] [CrossRef]
- Smari, B.; Labidi, M.; Choubani, F. Mutual coupling reduction in metamaterial antenna for terahertz application. Appl. Phys. A Mater. Sci. Process. 2019, 125, 695. [Google Scholar] [CrossRef]
- Zakrajsek, L.; Einarsson, E.; Thawdar, N.; Medley, M.; Jornet, J. Design of graphene-based plasmonic nano-antenna arrays in the presence of mutual coupling. In Proceedings of the 2017 11th European Conference on Antennas and Propagation (EUCAP), Paris, France, 19–24 March 2017; pp. 1381–1385. [Google Scholar]
- Zhang, B.; Jornet, J.; Akyildiz, I.; Wu, Z. Mutual Coupling Reduction for Ultra-Dense Multi-Band Plasmonic Nano-Antenna Arrays Using Graphene-Based Frequency Selective Surface. IEEE Access 2019, 7, 33214–33225. [Google Scholar] [CrossRef]
- Tarboush, S.; Sarieddeen, H.; Chen, H.; Loukil, M.H.; Jemaa, H.; Alouini, M.-S.; Al-Naffouri, T.Y. TeraMIMO: A Channel Simulator for Wideband Ultra-Massive MIMO Terahertz Communications. arXiv 2021, arXiv:2104.11054v3. [Google Scholar] [CrossRef]
- Saleh, A.; Valenzuela, R. A Statistical Model for Indoor Multipath Propagation. IEEE J. Sel. Areas Commun. 1987, 5, 128–137. [Google Scholar] [CrossRef]
- Tang, W.; Chen, X.; Chen, M.Z.; Dai, J.Y.; Han, Y.; Di Renzo, M.; Jin, S.; Cheng, Q.; Cui, T.J. Path Loss Modeling and Measurements for Reconfigurable Intelligent Surfaces in the Millimeter-Wave Frequency Band. arXiv 2021, arXiv:2101.08607v1. [Google Scholar]
- Yu, X.; Zhang, J.; Letaief, B. Doubling Phase Shifters for Efficient Hybrid Precoder Design in Millimeter-Wave Communication Systems. J. Commun. Inf. Netw. 2019, 4, 51–67. [Google Scholar]
- Pavia, J.P.; Velez, V.; Ferreira, R.; Souto, N.; Ribeiro, M.; Silva, J.; Dinis, R. Low Complexity Hybrid Precoding Designs for Multiuser mmWave/THz Ultra Massive MIMO Systems. Sensors 2021, 21, 6054. [Google Scholar] [CrossRef]
- Parikh, N. Proximal algorithms. Found. Trends Optim. 2014, 1, 123–231. [Google Scholar]
- Beck, A.; Teboulle, M. Gradient-based algorithms with applications to signal recovery problems. In Convex Optimization in Signal Processing and Communications; Palomar, D., Eldar, Y., Eds.; Convex Optimization in Signal Processing and Communications; Cambridge University Press: Cambridge, UK, 2010; pp. 42–88. [Google Scholar]
- Ning, B.; Chen, Z.; Chen, W.; Du, Y.; Fang, J. Terahertz Multi-User Massive MIMO with Intelligent Reflecting Surface: Beam Training and Hybrid Beamforming. IEEE Trans. Veh. Technol. 2021, 70, 1376–1393. [Google Scholar] [CrossRef]







| Reference | System Model | Main Aspects | Issues |
|---|---|---|---|
| [25] | RIS-aided multiuser MISO communication system | Proposed an alternating optimization (AO) algorithm for multiuser RIS-aided MIMO that iteratively optimizes the RIS phase shifts and the transmit beamforming vector. The coverage and achievable rate performance are significantly improved when compared to conventional systems without RIS. | To achieve the desired convergence, the AO algorithm requires a large number of iterations, especially when the number of RIS elements is large. Furthermore, the algorithm was designed assuming lower band single antenna users, which, combined with a computational complexity that is strongly dependent on the transmitter array size, makes it difficult to extend to UM-MIMO THz systems. |
| [26] | RIS-aided multiuser MISO communication system | Considered an RIS-based downlink multiuser multiantenna system with limited discrete phase shifts, operating in the absence of direct links between the BS and users. Proposed an iterative algorithm in which the transmitter digital beamforming subproblem is solved through zero-forcing with power allocation and the RIS-based analog beamforming is solved by the outer approximation method. It was shown that good sum-rate performances can be achieved with a reasonable sized RIS and a small number of discrete phase shifts. | It assumes single antenna users and the computational complexity can grow prohibitively high for large arrays, which compromises its potential application in UM-MIMO THz systems. |
| [22] | RIS-aided MIMO communication system | Derived an iterative algorithm for solving the joint optimization problem of the covariance matrix of the transmitted signal and the RIS elements. The resulting algorithm was shown to achieve similar achievable rate gains to the method from [25] in single-user scenarios but requires fewer iterations. | It was designed to target lower frequency bands, as well as having a computational complexity that is strongly dependent on the number of transmitter antennas. Therefore, applying this approach with the large array of settings envisioned for UM-MIMO THz systems can be very challenging. |
| [27] | RIS-aided MIMO THz system | Developed an adaptive gradient descent (A-GD) algorithm for single-user RIS-aided MIMO THz systems. The proposed A-GD algorithm improves the achievable rate performance when compared with other alternative algorithms. The A-GD algorithm considers discrete phase shifts through a final mapping step. | The A-GD algorithm can achieve large gains over an RIS with random phase, shifts but the computational complexity becomes very high when working with large antenna arrays and RISs with a large number of elements. |
| Our approach | RIS-aided MIMO THz system | Applied the APG method to a phase shift constrained maximum achievable rate problem. A low complexity algorithm resorting to simple element-wise normalization was derived that can cope with the large problem settings of RIS-aided UM-MIMO systems in the THz band. The proposed algorithm can handle discrete phase shifters with amplitude loss. Numerical evaluation shows that the proposed scheme can achieve competitive performance gains when compared against state-of-the-art solutions, as in [27]. | The approach was designed for single-user scenarios. As future work, it may be extended to multiuser cases. |
Publisher’s Note: MDPI stays neutral with regard to jurisdictional claims in published maps and institutional affiliations. |
© 2021 by the authors. Licensee MDPI, Basel, Switzerland. This article is an open access article distributed under the terms and conditions of the Creative Commons Attribution (CC BY) license (https://creativecommons.org/licenses/by/4.0/).
Share and Cite
Praia, J.; Pavia, J.P.; Souto, N.; Ribeiro, M. Phase Shift Optimization Algorithm for Achievable Rate Maximization in Reconfigurable Intelligent Surface-Assisted THz Communications. Electronics 2022, 11, 18. https://doi.org/10.3390/electronics11010018
Praia J, Pavia JP, Souto N, Ribeiro M. Phase Shift Optimization Algorithm for Achievable Rate Maximization in Reconfigurable Intelligent Surface-Assisted THz Communications. Electronics. 2022; 11(1):18. https://doi.org/10.3390/electronics11010018
Chicago/Turabian StylePraia, João, João Pedro Pavia, Nuno Souto, and Marco Ribeiro. 2022. "Phase Shift Optimization Algorithm for Achievable Rate Maximization in Reconfigurable Intelligent Surface-Assisted THz Communications" Electronics 11, no. 1: 18. https://doi.org/10.3390/electronics11010018
APA StylePraia, J., Pavia, J. P., Souto, N., & Ribeiro, M. (2022). Phase Shift Optimization Algorithm for Achievable Rate Maximization in Reconfigurable Intelligent Surface-Assisted THz Communications. Electronics, 11(1), 18. https://doi.org/10.3390/electronics11010018

