Optimized Operation of Integrated Energy Microgrid with Energy Storage Based on Short-Term Load Forecasting
Abstract
:1. Introduction
2. System Description
3. Methodology
3.1. Equipment Modeling Analysis
3.2. System Optimization Analysis
3.2.1. The Objective Function
3.2.2. Constraint Condition
3.3. Algorithm Analysis
3.3.1. Load Forecasting
3.3.2. Economic Operation Optimization
4. Result and Discussion
4.1. Mistake Analysis of Neural Network Prediction Algorithm
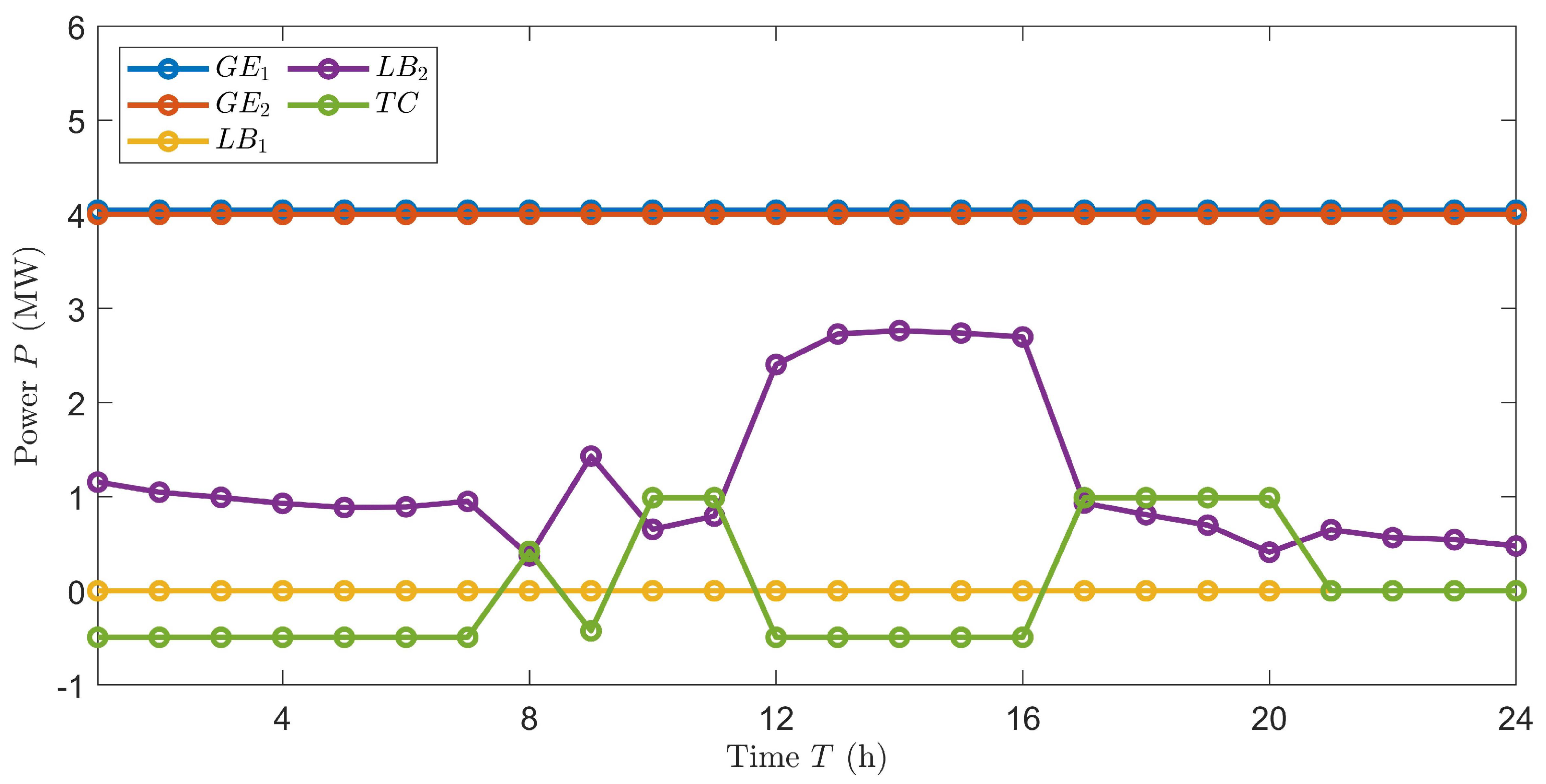
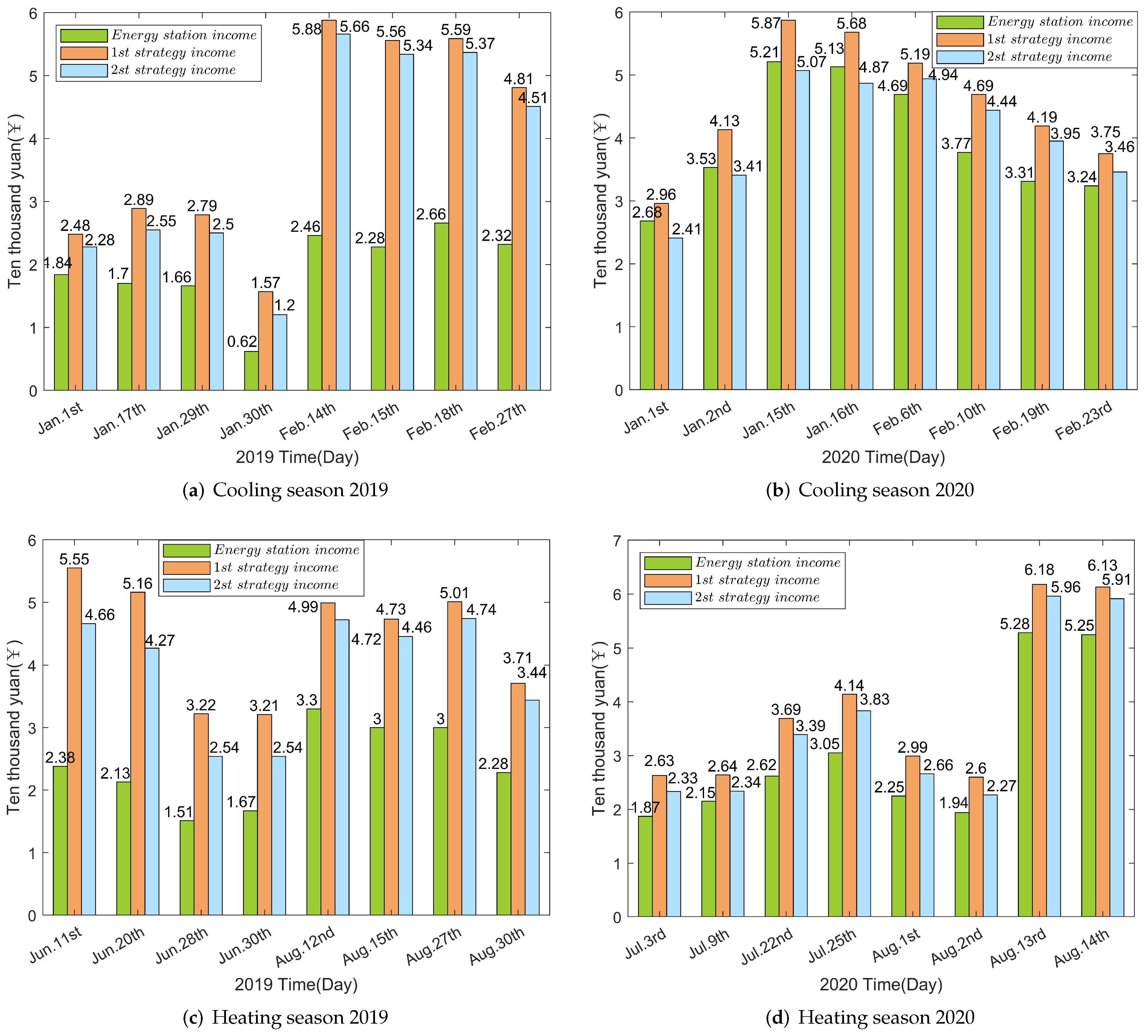
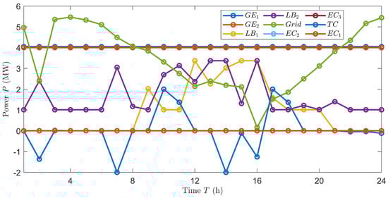
4.2. Economic Operation Optimization in Different Periods
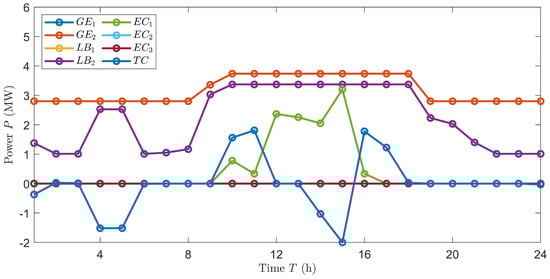
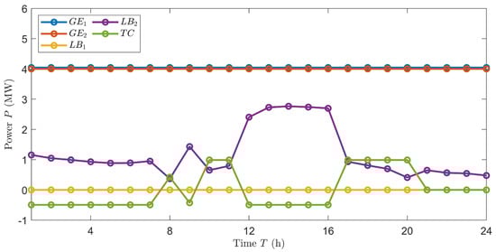
4.2.1. Economic Operation Optimization in Heating Season
4.2.2. Economic Operation Optimization in Cooling Season
4.3. Operation Optimization for Different Energy Prices
5. Conclusions
Author Contributions
Funding
Institutional Review Board Statement
Informed Consent Statement
Data Availability Statement
Conflicts of Interest
Abbreviations
| IES | Integrated Energy System |
| GE | Gas Generator |
| LB | Lithium Bromide Refrigerator |
| EC | Centrifugal Water Cooler |
| Heat TC | The hot water storage tank |
| Cold TC | The cold water storage tank |
| Ele Load | Electric load |
| TC | The tank for storing energy |
| GE1 | The power created by the first internal combustion engine in a day on an hourly basis |
| GE2 | The power created by the second internal combustion engine in a day on an hourly basis |
| LB1 | The first lithium bromide refrigerator’s cooling or heating power per hour per day |
| LB2 | The second lithium bromide refrigerator’s cooling or heating power per hour per day |
| EC1 | The first centrifuge’s refrigeration power per hour each day |
| EC2 | The second centrifuge’s refrigeration power per hour each day |
| EC3 | The third centrifuge’s refrigeration power per hour each day |
References
- Muhammad Fahad, Z.; Elhoussin, E.; Mohamed, B. Microgrids energy management systems: A critical review on methods, solutions, and prospects. Appl. Energy 2018, 222, 1033–1055. [Google Scholar]
- Xiao, H.; Heng, Z. Multi-objective planning for integrated energy systems considering both exergy efficiency and economy. Energy 2020, 197, 117155. [Google Scholar]
- Li, F.; Lu, S.; Cao, C.; Feng, J. Operation Optimization of Regional Integrated Energy System Considering the Responsibility of Renewable Energy Consumption and Carbon Emission Trading. Electronics 2021, 10, 2677. [Google Scholar] [CrossRef]
- Squalli, J. Renewable energy, coal as a baseload power source, and greenhouse gas emissions: Evidence from U.S. state-level data. Energy 2017, 127, 479–488. [Google Scholar] [CrossRef]
- Bagherian, A.; Mehranzamir, K. Classification and Analysis of Optimization Techniques for Integrated Energy Systems Utilizing Renewable Energy Sources: A Review for CHP and CCHP Systems. Processes 2021, 9, 339. [Google Scholar] [CrossRef]
- Ziqi, L.; Junjie, Y. Research on Optimized Energy Scheduling of Rural Microgrid. Appl. Sci. 2020, 9, 4641. [Google Scholar]
- Dawn, S.; Gope, S.; Das, S.S.; Ustun, T.S. Social Welfare Maximization of Competitive Congested Power Market Considering Wind Farm and Pumped Hydroelectric Storage System. Electronics 2021, 10, 2611. [Google Scholar] [CrossRef]
- Xiaohui, Y.; Zaixing, C.; Xin, H. Robust capacity optimization methods for integrated energy systems considering demand response and thermal comfort. Energy 2021, 221, 119727. [Google Scholar]
- Pan, G.; Gu, W.; Lu, Y.; Qiu, H.; Lu, S.; Yao, S. Optimal Planning for Electricity-Hydrogen Integrated Energy System Considering Power to Hydrogen and Heat and Seasonal Storage. IEEE Trans. Sustain. Energy 2020, 11, 2662–2676. [Google Scholar] [CrossRef]
- Yuman, Z.; Xuezhi, L.; Zheng, Y. Decomposition-coordination based optimization for PV-BESS-CHP integrated energy systems. Trans. China Electrotech. Soc. 2020, 35, 2372–2386. [Google Scholar]
- Liu, C.; Shahidehpour, M.; Wang, J. Coordinated scheduling of electricity and natural gas infrastructures with a transient model for natural gas flow. Chaos 2011, 21, 531. [Google Scholar] [CrossRef] [PubMed]
- Martins, J.; Spataru, S.; Sera, D. Comparative Study of Ramp-Rate Control Algorithms for PV with Energy Storage Systems. Energies 2019, 12, 1342. [Google Scholar] [CrossRef] [Green Version]
- Zhang, L.; Kuang, J.; Sun, B.; Li, F.; Zhang, C. A two-stage operation optimization method of integrated energy systems with demand response and energy storage. Energy 2020, 208, 118423. [Google Scholar] [CrossRef]
- Li, Y.; Han, M.; Yang, Z.; Li, G. Coordinating Flexible Demand Response and Renewable Uncertainties for Scheduling of Community Integrated Energy Systems with an Electric Vehicle Charging Station: A Bi-Level Approach. IEEE Trans. Sustain. Energy 2021, 12, 2321–2331. [Google Scholar] [CrossRef]
- Guoqing, L.; Rufeng, Z.; Tao, J. Optimal dispatch strategy for integrated energy systems with CCHP and wind power. Appl. Energy 2017, 192, 408–419. [Google Scholar]
- Yongli, W.; Yuze, M.; Fuhao, S.; Yang, M. Economic and efficient multi-objective operation optimization of integrated energy system considering electro-thermal demand response. Energy 2020, 205, 118022. [Google Scholar]
- Xianchao, L.; Yi, D. Energy management of CCHP microgrid considering demand-side management. In Proceedings of the 2017 32nd Youth Academic Annual Conference of Chinese Association of Automation (YAC), Hefei, China, 19–21 May 2017; pp. 240–245. [Google Scholar]
- Xijun, G.; Ling, W. Optimal Cooperative Scheduling in Multienergy Micro-grid Considering Demand Response. In Proceedings of the 2019 IEEE 3rd International Electrical and Energy Conference (CIEEC), Beijing, China, 7–9 September 2019; pp. 1997–2002. [Google Scholar]
- Canhuang, Z.; Huansheng, Z. Optimal Capacity Design for Solar-assisted CCHP System Integrated with Energy Storage. In Proceedings of the 2019 IEEE PES GTD Grand International Conference and Exposition Asia (GTD Asia), Bangkok, Thailand, 19–23 March 2019; pp. 691–696. [Google Scholar]
- Qinghua, W.; Jizhen, L. Optimal Operation Strategy of Multi-Energy Complementary Distributed CCHP System and its Application on Commercial Building. IEEE Access 2019, 7, 127839–127849. [Google Scholar]
- Jinxia, L.; Shouzhen, Z. Combined economic operation research of CCHP system and energy storage. In Proceedings of the 2014 International Conference on Information Science, Electronics and Electrical Engineering, Sapporo, Japan, 26–28 April 2014; pp. 574–578. [Google Scholar]
- Rui, Z.; Jianyong, Z. Economical Optimal Operation of Multienergy System Considering Uncertainty. In Proceedings of the 2018 IEEE 3rd Advanced Information Technology, Electronic and Automation Control Conference (IAEAC), Chongqing, China, 12–14 October 2018; pp. 447–452. [Google Scholar]
- Verwiebe, P.A.; Seim, S.; Burges, S. Modeling Energy Demand—A Systematic Literature Review. Energies 2021, 14, 7859. [Google Scholar] [CrossRef]
- Kim, G.; Hur, J. A Short-Term Power Output Forecasting Based on Augmented Naïve Bayes Classifiers for High Wind Power Penetrations. Sustainability 2021, 13, 12723. [Google Scholar] [CrossRef]
- Al-Zadjali, S.; Al Maashri, A.; Al-Hinai, A. A Fast and Accurate Wind Speed and Direction Nowcasting Model for Renewable Energy Management Systems. Energies 2021, 14, 7878. [Google Scholar] [CrossRef]
- Singh, S.; Chauhan, P.; Aftab, M.A. Cost Optimization of a Stand-Alone Hybrid Energy System with Fuel Cell and PV. Energies 2020, 13, 1295. [Google Scholar] [CrossRef] [Green Version]
- Dhifli, M.; Lashab, A.; Guerrero, J.M.; Abusorrah, A.; Al-Turki, Y.A.; Cherif, A. Abusorrah. Enhanced Intelligent Energy Management System for a Renewable Energy-Based AC Microgrid. Energies 2020, 13, 3268. [Google Scholar] [CrossRef]
- Huang, S.; Fang, L. Summary of Micro-grid Economic Optimization Operation. In Proceedings of the 2019 IEEE Sustainable Power and Energy Conference (iSPEC), Beijing, China, 21–23 November 2019; pp. 305–311. [Google Scholar]
- Zhengyi, L.; Zhaoyi, H. Optimization and Analysis of Operation Strategies for Combined Cooling, Heating and Power System. In Proceedings of the 2011 Asia-Pacific Power and Energy Engineering Conference, Wuhan, China, 25–28 March 2011; pp. 1–4. [Google Scholar]
- Masatoshi, S.; Kosuke, K. Operational Planning of District Heating and Cooling Plants through Genetic Algorithms for Mixed 0–1 Linear Programming. Eur. J. Oper. Res. 2002, 137, 677–687. [Google Scholar]
- Jian, G.; Dongmei, Y. Optimized operation of a distributed integrated energy microgrid for cogeneration of cold, heat and electricity with energy storage. Electr. Power Eng. Technol. 2021, 125, 25–32. [Google Scholar]
- Zhao, H.; Lu, H.; Wang, X.; Li, B.; Wang, Y.; Liu, P.; Ma, Z. Research on Comprehensive Value of Electrical Energy Storage in CCHP Microgrid with Renewable Energy Based on Robust Optimization. Energies 2020, 13, 6526. [Google Scholar] [CrossRef]
- Beihong, Z.; Weiding, L. Optimal unit sizing of combined cooling heating and power systems. Heat. Vent. Air Cond. 2005, 35, 4. [Google Scholar]













| Heating Season | Quantitative Values | Cooling Season | Quantitative Values |
|---|---|---|---|
| Sunny | 0.2 | Sunny | 1 |
| Cloudy | 0.3 | Cloudy | 0.8 |
| Overcast | 0.4 | Overcast | 0.6 |
| Light rain | 0.5 | Light rain | 0.4 |
| Rain | 0.6 | Rain | 0.2 |
| Light snow | 0.8 | ||
| Snow | 1 |
| Parameter name | Value |
|---|---|
| Natural gas price | 2.2 ¥/Nm3 |
| Price of hot and cold energy | 0.5557 ¥/kWh |
| Sell electricity prices | 0.7661 ¥/kWh |
| Power purchase prices | Time-sharing electricity |
| Equipment | Value |
|---|---|
| Thermal efficiency of internal combustion engine | 0.52 |
| Refrigeration efficiency of lithium bromide refrigeration unit | 0.75 |
| Heating efficiency of lithium bromide refrigeration unit | 0.91 |
| Maximum power of gas internal combustion generator | 4.044 MW |
| Maximum refrigeration power of lithium bromide refrigeration unit | 3.37 MW |
| bromide refrigeration unit | 3.7 MW |
| Maximum power of centrifugal refrigerator | 3.37 MW |
| the reserves of tank | 450 m3 |
| Charge rate of cold storage tank | 1.78 GJ/h |
| Energy release rate of cold storage tank | 3.56 GJ/h |
| Charge rate of heat storage tank | 7.2 GJ/h |
| Energy release rate of heat storage tank | 7.2 GJ/h |
| Load Type | Data | * Power Ratio | User Load (MWh) | Gas Price ¥/m3 | Selling Price of Electricity (¥/kWh) | Load Price (¥/kWh) | Energy Station Income (¥) | * 1st Strategy Income | * 2st Strategy Income |
|---|---|---|---|---|---|---|---|---|---|
| Cooling Load | 19.1.11 | 12.98% | 57.02 | 2.961 | 0.7076 | 0.678 | 18,471 | 24,847 | 22,830 |
| Cooling Load | 19.1.17 | 45.44% | 63.06 | 2.961 | 0.7076 | 0.678 | 17,099 | 28,974 | 25,508 |
| Cooling Load | 19.1.29 | 94.98% | 63.2 | 2.961 | 0.7076 | 0.678 | 16,648 | 27,922 | 25,046 |
| Cooling Load | 19.1.30 | 97.58% | 35.74 | 2.961 | 0.7076 | 0.678 | 6214 | 15,729 | 12,075 |
| Cooling Load | 19.2.14 | 27.62% | 110 | 2.961 | 0.7076 | 0.678 | 24,695 | 58,819 | 56,616 |
| Cooling Load | 19.2.15 | 24.43% | 104 | 2.961 | 0.7076 | 0.678 | 22,801 | 55,617 | 53,415 |
| Cooling Load | 19.2.18 | 69.07% | 105 | 2.961 | 0.7076 | 0.678 | 26,695 | 55,943 | 53,740 |
| Cooling Load | 19.2.27 | 54.98% | 88.74 | 2.961 | 0.7076 | 0.678 | 23,215 | 48,154 | 45,120 |
| Heating Load | 19.6.11 | 78.76% | 100 | 2.961 | 0.7076 | 0.678 | 23,871 | 55,504 | 46,672 |
| Heating Load | 19.6.20 | 72.48% | 94.62 | 2.961 | 0.7076 | 0.678 | 21,386 | 51,621 | 42,789 |
| Heating Load | 19.6.28 | 43.49% | 64.26 | 2.961 | 0.7076 | 0.678 | 15,157 | 32,217 | 25,408 |
| Heating Load | 19.6.30 | 44.14% | 69.38 | 2.961 | 0.7076 | 0.678 | 16,771 | 32,117 | 25,488 |
| Heating Load | 19.8.12 | 45.68% | 90 | 2.961 | 0.7076 | 0.678 | 33,027 | 49,979 | 47,222 |
| Heating Load | 19.8.15 | 43.73% | 85.28 | 2.961 | 0.7076 | 0.678 | 30,001 | 47,366 | 44,609 |
| Heating Load | 19.8.27 | 37.02% | 90.35 | 2.961 | 0.7076 | 0.678 | 30,069 | 50,172 | 47,416 |
| Heating Load | 19.8.30 | 37.02% | 66.91 | 2.961 | 0.7076 | 0.678 | 22,839 | 37,198 | 34,441 |
| Cooling Load | 20.1.1 | 32.46% | 47.6 | 2.713 | 0.7076 | 0.644 | 26,866 | 29,666 | 24,174 |
| Cooling Load | 20.1.2 | 45.46% | 65.52 | 2.713 | 0.7076 | 0.644 | 35,317 | 41,312 | 34,133 |
| Cooling Load | 20.1.15 | 68.59% | 93.14 | 2.713 | 0.7076 | 0.644 | 52,132 | 58,769 | 50,739 |
| Cooling Load | 20.1.16 | 69.02% | 90.75 | 2.713 | 0.7076 | 0.644 | 51,384 | 56,827 | 48,797 |
| Cooling Load | 20.2.6 | 59.74% | 96.48 | 2.713 | 0.7076 | 0.644 | 46,911 | 51,970 | 49,490 |
| Cooling Load | 20.2.10 | 63.6 % | 87.56 | 2.713 | 0.7076 | 0.644 | 37,776 | 46,939 | 44,459 |
| Cooling Load | 20.2.19 | 56.9 % | 78.45 | 2.713 | 0.7076 | 0.644 | 33,142 | 41,992 | 39,512 |
| Cooling Load | 20.2.23 | 46.75% | 59.66 | 2.713 | 0.7076 | 0.644 | 32,489 | 37,534 | 34,638 |
| Heating Load | 20.7.3 | 92.23% | 46.83 | 2.313 | 0.678 | 0.554 | 18,795 | 26,370 | 23,335 |
| Heating Load | 20.7.9 | 91.79% | 47 | 2.313 | 0.678 | 0.554 | 21,507 | 26,464 | 23,430 |
| Heating Load | 20.7.22 | 78.8 % | 66 | 2.313 | 0.678 | 0.554 | 26,297 | 36,975 | 33,941 |
| Heating Load | 20.7.25 | 77.94% | 74 | 2.313 | 0.678 | 0.554 | 30,517 | 41,402 | 38,368 |
| Heating Load | 20.8.1 | 12.98% | 54.42 | 2.313 | 0.678 | 0.554 | 22,547 | 29,958 | 26,647 |
| Heating Load | 20.8.2 | 24.24% | 47.88 | 2.313 | 0.678 | 0.554 | 19,413 | 26,057 | 22,745 |
| Heating Load | 20.8.13 | 99.32% | 115.48 | 2.313 | 0.678 | 0.554 | 52,843 | 61,896 | 59,693 |
| Heating Load | 20.8.14 | 98.88% | 114.59 | 2.313 | 0.678 | 0.554 | 52,511 | 61,352 | 59,149 |
Publisher’s Note: MDPI stays neutral with regard to jurisdictional claims in published maps and institutional affiliations. |
© 2021 by the authors. Licensee MDPI, Basel, Switzerland. This article is an open access article distributed under the terms and conditions of the Creative Commons Attribution (CC BY) license (https://creativecommons.org/licenses/by/4.0/).
Share and Cite
Dong, H.; Fang, Z.; Ibrahim, A.-w.; Cai, J. Optimized Operation of Integrated Energy Microgrid with Energy Storage Based on Short-Term Load Forecasting. Electronics 2022, 11, 22. https://doi.org/10.3390/electronics11010022
Dong H, Fang Z, Ibrahim A-w, Cai J. Optimized Operation of Integrated Energy Microgrid with Energy Storage Based on Short-Term Load Forecasting. Electronics. 2022; 11(1):22. https://doi.org/10.3390/electronics11010022
Chicago/Turabian StyleDong, Hanlin, Zhijian Fang, Al-wesabi Ibrahim, and Jie Cai. 2022. "Optimized Operation of Integrated Energy Microgrid with Energy Storage Based on Short-Term Load Forecasting" Electronics 11, no. 1: 22. https://doi.org/10.3390/electronics11010022
APA StyleDong, H., Fang, Z., Ibrahim, A.-w., & Cai, J. (2022). Optimized Operation of Integrated Energy Microgrid with Energy Storage Based on Short-Term Load Forecasting. Electronics, 11(1), 22. https://doi.org/10.3390/electronics11010022

