Towards Human Stress and Activity Recognition: A Review and a First Approach Based on Low-Cost Wearables
Abstract
:1. Introduction
- The need for a low-cost framework with a design that allows capturing physiological signals and human movements through wearables at the same time. Data generated and collected play a key role in the stress response. Therefore, data quality is essential to ensure the best information possible.
- As body area networks generate large volumes of data, the need to manage and maintain these datasets is of great importance.
- The assessment of a wide range of physiological signals could help to better understand the mechanisms of the stress response with different persons and situations.
- Selection of features to produce a good performance using a low number of features at a low computational cost. A reduced number of features reduces the risk of overfitting while a low computational cost contributes to implementing real-time systems using wearable electronics.
- The autonomy of wearable devices is a critical factor during device engineering.
- This paper includes a comprehensive review of state-of-the-art technologies focusing especially on current status and research trends.
- We propose a new wearable low-cost body network with three own designs and an overall of thirteen different measurements.
- Experimental results validate the proposal through the analysis of some functional characteristics such as the signal quality, the packet loss rate, and the battery life.
- A preliminary study is conducted in order to extract the main ECG features for stress detection during rest.
1.1. Related Works
1.1.1. Human Movement Analysis (HMA)
- UCI-HAR Dataset [42]: This was collected by University of California Irvine. The six ADL activities performed in a supervised scenario were standing, lying, walking, walking upstairs, and walking downstairs. The data were collected by triaxial angular velocity.
- OPPORTUNITY Dataset [43]: The project was conducted by the University of Sussex. They built a rich sensor environment consisting of 15 wireless and wired networked sensor systems. As a result, they collected 17 morning activity data.
- PAMAP2 Dataset [44]: This was collected by the Department of Augmented Vision German Research Center of artificial intelligence. The researchers recorded 18 activities including walking, cycling, rope jumping, etc. All subjects wore three IMUs and a heart-rate monitor.
- UniMib-SHAR Dataset [45]: This was collected by the University of Milan-Bicocca. The samples were acquired by a smartphone with Android operating system. The whole dataset was designed to monitor human activity and detect falls. A total of 30 volunteers contributed 11,771 samples.
1.1.2. Stress Detection
2. The Proposed BAN
2.1. Hardware Designs
2.1.1. Type 1: IMU and
2.1.2. Type 2: EDA and Skin Temperature (ST)
2.1.3. Type 3: ECG and Breathing
2.1.4. OpenBCI
2.2. Software
2.2.1. Communication
2.2.2. GUI
2.2.3. Data Synchronization
3. Methodology
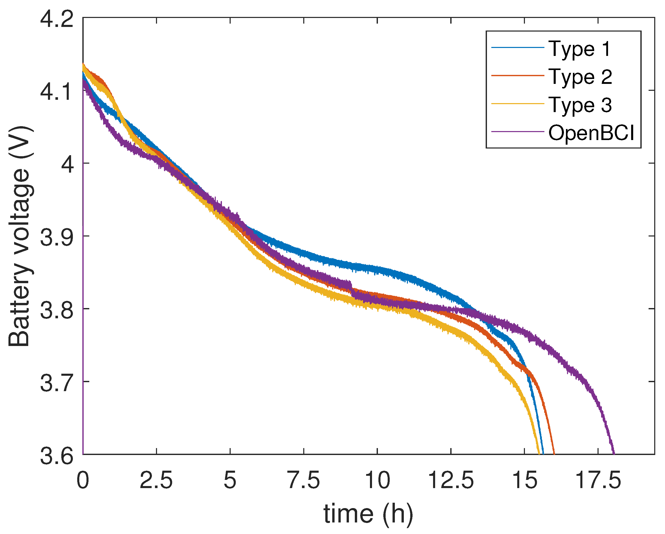
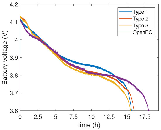
3.1. Battery Life and Packet Loss Rate
3.2. Data Quality Assessment
3.3. Human Activity and Stress Recognition
ECG Signal Processing for Stress Recognition
4. Results
4.1. Battery Life and Data Loss Rate
4.2. Data Quality
4.3. Human Activity and Physiological Signals
4.4. Main ECG Features for Stress Detection
5. Discussion
5.1. Hardware Design
5.2. Signal Quality
5.3. Artifacts
5.4. Stress Recognition
6. Conclusions and Future Work
Author Contributions
Funding
Institutional Review Board Statement
Informed Consent Statement
Acknowledgments
Conflicts of Interest
Abbreviations
| ambient temperature | |
| Acc | accelerometer |
| ADC | analog-to-digital converter |
| ADL | activities of daily living |
| ASIC | application-specific integrated circuit |
| BAN | body area network |
| BLE | bluetooth low energy |
| BR | breathing rate |
| CNN | convolutional neural networks |
| DBN | deep belief network |
| DL | deep learning |
| DT | decision tree |
| ECG | electrocardiography |
| EDA | electrodermal activity |
| EEG | electroencephalography |
| ELM | extreme learning machine |
| EMG | electromyography |
| EOG | electroeculography |
| ET | eye tracking |
| GATT | generic attribute profile |
| GMM | Gaussian mixture model |
| GUI | grafical user interface |
| HF | high frequency |
| HHC | hierarchical hybrid classification |
| HMA | human movement analysis |
| HMM | hidden Markov models |
| HR | heart rate |
| HRV | heart rate variability |
| IMU | inertial measurement unit |
| LDO | low-dropout regulator |
| LF | low frequency |
| LSL | lab-streaming layer |
| Mrr | the median of RR segments |
| NN | neural networks |
| NWFE | nonparametric weighted feature extraction |
| PA | physical activity |
| PCA | principal component analysis |
| pNN50 | percentage of successive RR intervals that differ by more than 50 ms |
| PPG | photoplethysmography |
| PSNS | parasympathetic nervous system |
| PSS | perceived stress level |
| RF | random forest |
| RMSSD | root mean square of successive differences between normal heartbeats |
| ROM | range of motion |
| SB | sedentary behavior |
| SCR | skin conductance response |
| SDNN | standard deviation of NN intervals |
| SNR | signal-noise ratio |
| SNS | sympathetic nervous system |
| SoC | system on-chip |
| ST | skin temperature |
| STAI | state-trait anxiety inventory |
| SVM | support vector machine |
| TCP | transmission control protocol |
| TSST | trier social stress test |
| UUID | universally unique identifier |
| VLF | very low frequency |
References
- Strath, S.J.; Rowley, T.W. Wearables for promoting physical activity. Clin. Chem. 2018, 64, 53–63. [Google Scholar] [CrossRef] [PubMed]
- Yen, H.Y.; Chiu, H.L. The effectiveness of wearable technologies as physical activity interventions in weight control: A systematic review and meta-analysis of randomized controlled trials. Obes. Rev. 2019, 20, 1485–1493. [Google Scholar] [CrossRef] [PubMed]
- Ridgers, N.D.; Timperio, A.; Brown, H.; Ball, K.; Macfarlane, S.; Lai, S.K.; Richards, K.; Mackintosh, K.A.; McNarry, M.A.; Foster, M.; et al. Wearable activity tracker use among Australian adolescents: Usability and acceptability study. JMIR mHealth uHealth 2018, 6, e86. [Google Scholar] [CrossRef] [PubMed]
- Maher, C.; Ryan, J.; Ambrosi, C.; Edney, S. Users’ experiences of wearable activity trackers: A cross-sectional study. BMC Public Health 2017, 17, 880. [Google Scholar] [CrossRef] [PubMed] [Green Version]
- Edward, K.L.; Garvey, L.; Rahman, M.A. Wearable activity trackers and health awareness: Nursing implications. Int. J. Nurs. Sci. 2020, 7, 179–183. [Google Scholar] [CrossRef] [PubMed]
- Alharbi, M.; Straiton, N.; Gallagher, R. Harnessing the potential of wearable activity trackers for heart failure self-care. Curr. Heart Fail. Rep. 2017, 14, 23–29. [Google Scholar] [CrossRef] [PubMed]
- Bahadori, S.; Immins, T.; Wainwright, T.W. A review of wearable motion tracking systems used in rehabilitation following hip and knee replacement. J. Rehabil. Assist. Technol. Eng. 2018, 5, 2055668318771816. [Google Scholar] [CrossRef]
- Porciuncula, F.; Roto, A.V.; Kumar, D.; Davis, I.; Roy, S.; Walsh, C.J.; Awad, L.N. Wearable movement sensors for rehabilitation: A focused review of technological and clinical advances. Pm&r 2018, 10, S220–S232. [Google Scholar]
- Lynch, B.M.; Nguyen, N.H.; Moore, M.M.; Reeves, M.M.; Rosenberg, D.E.; Boyle, T.; Vallance, J.K.; Milton, S.; Friedenreich, C.M.; English, D.R. A randomized controlled trial of a wearable technology-based intervention for increasing moderate to vigorous physical activity and reducing sedentary behavior in breast cancer survivors: The ACTIVATE Trial. Cancer 2019, 125, 2846–2855. [Google Scholar] [CrossRef] [PubMed]
- Liu, J.Y.W.; Kor, P.P.K.; Chan, C.P.Y.; Kwan, R.Y.C.; Sze-Ki, D. The effectiveness of a wearable activity tracker (WAT)-based intervention to improve physical activity levels in sedentary older adults: A systematic review and meta-analysis. Arch. Gerontol. Geriatr. 2020, 91, 104211. [Google Scholar] [CrossRef] [PubMed]
- Vargemidis, D.; Gerling, K.; Spiel, K.; Abeele, V.V.; Geurts, L. Wearable Physical Activity Tracking Systems for Older Adults—A Systematic Review. ACM Trans. Comput. Healthc. 2020, 1, 1–37. [Google Scholar] [CrossRef]
- Dong, M.; Fang, B.; Li, J.; Sun, F.; Liu, H. Wearable sensing devices for upper limbs: A systematic review. Proc. Inst. Mech. Eng. Part H J. Eng. Med. 2021, 235, 117–130. [Google Scholar] [CrossRef] [PubMed]
- Ainsworth, B.E.; Haskell, W.L.; Whitt, M.C.; Irwin, M.L.; Swartz, A.M.; Strath, S.J.; O Brien, W.L.; Bassett, D.R.; Schmitz, K.H.; Emplaincourt, P.O.; et al. Compendium of physical activities: An update of activity codes and MET intensities. Med. Sci. Sport. Exerc. 2000, 32, S498–S504. [Google Scholar] [CrossRef] [PubMed] [Green Version]
- Biagetti, G.; Crippa, P.; Falaschetti, L.; Orcioni, S.; Turchetti, C. Human activity monitoring system based on wearable sEMG and accelerometer wireless sensor nodes. Biomed. Eng. Online 2018, 17, 132. [Google Scholar] [CrossRef] [PubMed] [Green Version]
- Hsu, Y.L.; Yang, S.C.; Chang, H.C.; Lai, H.C. Human daily and sport activity recognition using a wearable inertial sensor network. IEEE Access 2018, 6, 31715–31728. [Google Scholar] [CrossRef]
- Li, H.; Derrode, S.; Pieczynski, W. Lower limb locomotion activity recognition of healthy individuals using semi-Markov model and single wearable inertial sensor. Sensors 2019, 19, 4242. [Google Scholar] [CrossRef] [Green Version]
- Jayasinghe, U.; Harwin, W.S.; Hwang, F. Comparing clothing-mounted sensors with wearable sensors for movement analysis and activity classification. Sensors 2020, 20, 82. [Google Scholar] [CrossRef] [Green Version]
- Choudhury, N.A.; Moulik, S.; Choudhury, S. Cloud-based Real-time and Remote Human Activity Recognition System using Wearable Sensors. In Proceedings of the 2020 IEEE International Conference on Consumer Electronics-Taiwan (ICCE-Taiwan), Taoyuan, Taiwan, 28–30 September 2020; pp. 1–2. [Google Scholar]
- Hegde, N.; Bries, M.; Swibas, T.; Melanson, E.; Sazonov, E. Automatic recognition of activities of daily living utilizing insole-based and wrist-worn wearable sensors. IEEE J. Biomed. Health Inform. 2017, 22, 979–988. [Google Scholar] [CrossRef] [PubMed]
- Sztyler, T.; Stuckenschmidt, H. On-body localization of wearable devices: An investigation of position-aware activity recognition. In Proceedings of the 2016 IEEE International Conference on Pervasive Computing and Communications (PerCom), Sydney, Australia, 14–19 March 2016; pp. 1–9. [Google Scholar]
- Liu, J.; Chen, J.; Jiang, H.; Jia, W.; Lin, Q.; Wang, Z. Activity recognition in wearable ECG monitoring aided by accelerometer data. In Proceedings of the 2018 IEEE international symposium on circuits and systems (ISCAS), Florence, Italy, 27–30 May 2018; pp. 1–4. [Google Scholar]
- Xiao, Z.G.; Menon, C. Towards the development of a wearable feedback system for monitoring the activities of the upper-extremities. J. Neuroeng. Rehabil. 2014, 11, 2. [Google Scholar] [CrossRef] [Green Version]
- Al-Fatlawi, A.H.; Fatlawi, H.K.; Ling, S.H. Recognition physical activities with optimal number of wearable sensors using data mining algorithms and deep belief network. In Proceedings of the 2017 39th Annual International Conference of the IEEE Engineering in Medicine and Biology Society (EMBC), Jeju, Korea, 11–15 July 2017; pp. 2871–2874. [Google Scholar]
- Dutta, A.; Ma, O.; Toledo, M.; Pregonero, A.F.; Ainsworth, B.E.; Buman, M.P.; Bliss, D.W. Identifying free-living physical activities using lab-based models with wearable accelerometers. Sensors 2018, 18, 3893. [Google Scholar] [CrossRef] [PubMed] [Green Version]
- Zhang, Y.; Markovic, S.; Sapir, I.; Wagenaar, R.C.; Little, T.D. Continuous functional activity monitoring based on wearable tri-axial accelerometer and gyroscope. In Proceedings of the 2011 5th International Conference on Pervasive Computing Technologies for Healthcare (PervasiveHealth) and Workshops, Dublin, Ireland, 23–26 May 2011; pp. 370–373. [Google Scholar]
- Chuang, F.C.; Wang, J.S.; Yang, Y.T.; Kao, T.P. A wearable activity sensor system and its physical activity classification scheme. In Proceedings of the 2012 international joint conference on neural networks (IJCNN), Brisbane, Australia, 10–15 June 2012; pp. 1–6. [Google Scholar]
- Zhang, M.; Sawchuk, A.A. Human daily activity recognition with sparse representation using wearable sensors. IEEE J. Biomed. Health Inform. 2013, 17, 553–560. [Google Scholar] [CrossRef] [PubMed]
- Khan, A.M.; Lawo, M.; Homer, P. Wearable recognition system for physical activities. In Proceedings of the 2013 9th International Conference on Intelligent Environments, Athens, Greece, 16–17 July 2013; pp. 245–249. [Google Scholar]
- He, Z.; Bai, X. A wearable wireless body area network for human activity recognition. In Proceedings of the 2014 Sixth International Conference on Ubiquitous and Future Networks (ICUFN), Shanghai, China, 8–11 July 2014; pp. 115–119. [Google Scholar]
- Safi, K.; Attal, F.; Mohammed, S.; Khalil, M.; Amirat, Y. Physical activity recognition using inertial wearable sensors—A review of supervised classification algorithms. In Proceedings of the 2015 International Conference on Advances in Biomedical Engineering (ICABME), Beirut, Lebanon, 16–18 Sept. 2015; pp. 313–316. [Google Scholar]
- Attal, F.; Mohammed, S.; Dedabrishvili, M.; Chamroukhi, F.; Oukhellou, L.; Amirat, Y. Physical human activity recognition using wearable sensors. Sensors 2015, 15, 31314–31338. [Google Scholar] [CrossRef] [Green Version]
- Park, H.; Dong, S.Y.; Lee, M.; Youn, I. The role of heart-rate variability parameters in activity recognition and energy-expenditure estimation using wearable sensors. Sensors 2017, 17, 1698. [Google Scholar] [CrossRef] [PubMed]
- Wang, D.; Candinegara, E.; Hou, J.; Tan, A.H.; Miao, C. Robust human activity recognition using lesser number of wearable sensors. In Proceedings of the 2017 International Conference on Security, Pattern Analysis, and Cybernetics (SPAC), Shenzhen, China, 15–17 December 2017; pp. 290–295. [Google Scholar]
- Huang, Y.C.; Yi, C.W.; Peng, W.C.; Lin, H.C.; Huang, C.Y. A study on multiple wearable sensors for activity recognition. In Proceedings of the 2017 IEEE Conference on Dependable and Secure Computing, Taipei, Taiwan, 7–10 August 2017; pp. 449–452. [Google Scholar]
- Verma, H.; Paul, D.; Bathula, S.R.; Sinha, S.; Kumar, S. Human Activity Recognition with Wearable Biomedical Sensors in Cyber Physical Systems. In Proceedings of the 2018 15th IEEE India Council International Conference (INDICON), Coimbatore, India, 16–18 December 2018; pp. 1–6. [Google Scholar]
- Nandy, A.; Saha, J.; Chowdhury, C.; Singh, K.P. Detailed human activity recognition using wearable sensor and smartphones. In Proceedings of the 2019 International Conference on Opto-Electronics and Applied Optics (Optronix), Kolkata, India, 18–20 March 2019; pp. 1–6. [Google Scholar]
- Qi, W.; Aliverti, A. A multimodal wearable system for continuous and real-time breathing pattern monitoring during daily activity. IEEE J. Biomed. Health Inform. 2019, 24, 2199–2207. [Google Scholar] [CrossRef] [PubMed]
- Das, D.B.; Birant, D. Classification of Hand-Based and Non-Hand-Based Physical Activities Using Wearable Sensors. In Proceedings of the 2020 4th International Symposium on Multidisciplinary Studies and Innovative Technologies (ISMSIT), Istanbul, Turkey, 22–24 October 2020; pp. 1–5. [Google Scholar]
- Huang, W.; Zhang, L.; Wenbin, G.; Min, F.; He, J. Shallow Convolutional Neural Networks for Human Activity Recognition Using Wearable Sensors. IEEE Trans. Instrum. Meas. 2021, 70, 1–11. [Google Scholar] [CrossRef]
- Mahmud, T.; Sazzad, Q.; Anowarul, S.; Kung, S.Y. A Novel Multi-Stage Training Approach for Human Activity Recognition from Multimodal Wearable Sensor Data Using Deep Neural Network. IEEE Sens. J. 2021, 21, 1715–1726. [Google Scholar] [CrossRef]
- El-Amrawy, F.; Nounou, M.I. Are currently available wearable devices for activity tracking and heart rate monitoring accurate, precise, and medically beneficial? Healthc. Inform. Res. 2015, 21, 315. [Google Scholar] [CrossRef] [PubMed]
- Anguita, D.; Ghio, A.; Oneto, L.; Parra, X.; Reyes-Ortiz, J.L. A Public Domain Dataset for Human Activity Recognition using Smartphones. In Proceedings of the 21th European Symposium on Artificial Neural Networks, Computational Intelligence and Machine Learning (ESANN), Bruges, Belgium, 24–26 April 2013. [Google Scholar]
- Roggen, D. Collecting complex activity datasets in highly rich networked sensor environments. In Proceedings of the Seventh International Conference on Networked Sensing Systems (INSS), Kassel, Germany, 15–18 June 2010. [Google Scholar]
- Reiss, A.; Stricker, D. Introducing a New Benchmarked Dataset for Activity Monitoring. In Proceedings of the 16th IEEE International Symposium on Wearable Computers (ISWC), Newcastle, UK, 18–22 June 2012. [Google Scholar]
- Micucci, D.; Mobilio, M.; Paolo, N. UniMiB SHAR: A Dataset for Human Activity Recognition Using Acceleration Data from Smartphones. Appl. Sci. 2017, 7, 1101. [Google Scholar] [CrossRef] [Green Version]
- Russell, J.A. A circumplex model of affect. J. Personal. Soc. Psychol. 1980, 39, 1161. [Google Scholar] [CrossRef]
- Russell, J.A.; Barrett, L.F. Core affect, prototypical emotional episodes, and other things called emotion: Dissecting the elephant. J. Personal. Soc. Psychol. 1999, 76, 805. [Google Scholar] [CrossRef]
- Schmidt, P.; Reiss, A.; Dürichen, R.; Laerhoven, K.V. Wearable-based affect recognition—A review. Sensors 2019, 19, 4079. [Google Scholar] [CrossRef] [Green Version]
- Suhaimi, N.S.; Mountstephens, J.; Teo, J. EEG-Based Emotion Recognition: A State-of-the-Art Review of Current Trends and Opportunities. Comput. Intell. Neurosci. 2020, 2020, 8875426. [Google Scholar] [CrossRef] [PubMed]
- Lu, X.; Liu, X.; Stolterman Bergqvist, E. “It sounds like she is sad” Introducing a Biosensing Prototype that Transforms Emotions into Real-time Music and Facilitates Social Interaction. In Proceedings of the Extended Abstracts of the 2019 CHI Conference on Human Factors in Computing Systems, Glasgow, UK, 4–9 May 2019; pp. 1–6. [Google Scholar]
- Liu, Y.; Sourina, O.; Nguyen, M.K. Real-time EEG-based emotion recognition and its applications. In Transactions on Computational Science XII; Springer: Berlin/Heidelberg, Germany, 2011; pp. 256–277. [Google Scholar]
- Quesada-Tabares, R.; Molina-Cantero, A.J.; Gómez-González, I.; Merino-Monge, M.; Castro-García, J.A.; Cabrera-Cabrera, R. Emotions Detection based on a Single-electrode EEG Device. In Proceedings of the 4th International Conference on Physiological Computing Systems—Volume 1: PhyCS, Madrid, Spain, 27–28 July 2017; pp. 89–95. [Google Scholar] [CrossRef]
- Quesada-Tabares, R.; Molina-Cantero, A.J.; Escudero-Fombuena, J.I.; Merino-Monge, M.; Gómez-González, I.M.; Lebrato-Vázquez, C.; Castro-García, J.A. Looking for Emotions on a Single EEG Signal. In Physiological Computing Systems; Springer: Cham, Switzerland, 2016; pp. 78–92. [Google Scholar]
- Rattanyu, K.; Ohkura, M.; Mizukawa, M. Emotion monitoring from physiological signals for service robots in the living space. In Proceedings of the ICCAS 2010, Seoul, Korea, 27–30 October 2010; pp. 580–583. [Google Scholar]
- Fernández-Aguilar, L.; Martínez-Rodrigo, A.; Moncho-Bogani, J.; Fernández-Caballero, A.; Latorre, J.M. Emotion detection in aging adults through continuous monitoring of electro-dermal activity and heart-rate variability. In Proceedings of the International Work-Conference on the Interplay Between Natural and Artificial Computation, Almería, Spain, 3–7 June 2019; pp. 252–261. [Google Scholar]
- Schmidt, P.; Reiss, A.; Duerichen, R.; Marberger, C.; Van Laerhoven, K. Introducing wesad, a multimodal dataset for wearable stress and affect detection. In Proceedings of the 20th ACM International Conference on Multimodal Interaction, Boulder, CO, USA, 16–20 October 2018; pp. 400–408. [Google Scholar]
- He, C.; Yao, Y.j.; Ye, X.s. An emotion recognition system based on physiological signals obtained by wearable sensors. In Wearable Sensors and Robots; Springer: Singapore, 2017; pp. 15–25. [Google Scholar]
- Gedam, S.; Paul, S. Automatic Stress Detection Using Wearable Sensors and Machine Learning: A Review. In Proceedings of the 2020 11th International Conference on Computing, Communication and Networking Technologies (ICCCNT), Kharagpur, India, 1–3 July 2020; pp. 1–7. [Google Scholar]
- Egger, M.; Ley, M.; Hanke, S. Emotion recognition from physiological signal analysis: A review. Electron. Notes Theor. Comput. Sci. 2019, 343, 35–55. [Google Scholar] [CrossRef]
- Menghini, L.; Gianfranchi, E.; Cellini, N.; Patron, E.; Tagliabue, M.; Sarlo, M. Stressing the accuracy: Wrist-worn wearable sensor validation over different conditions. Psychophysiology 2019, 56, e13441. [Google Scholar] [CrossRef] [PubMed]
- Al Machot, F.; Elmachot, A.; Ali, M.; Al Machot, E.; Kyamakya, K. A deep-learning model for subject-independent human emotion recognition using electrodermal activity sensors. Sensors 2019, 19, 1659. [Google Scholar] [CrossRef] [PubMed] [Green Version]
- Sparrow, L.; Six, H.; Varona, L.; Janin, O. Validation of Affect-tag Affective and Cognitive Indicators. Front. Neuroinform. 2021, 15, 535542. [Google Scholar] [CrossRef]
- Sevil, M.; Rashid, M.; Hajizadeh, I.; Askari, M.R.; Hobbs, N.; Brandt, R.; Park, M.; Quinn, L.; Cinar, A. Discrimination of simultaneous psychological and physical stressors using wristband biosignals. Comput. Methods Programs Biomed. 2021, 199, 105898. [Google Scholar] [CrossRef]
- Zontone, P.; Affanni, A.; Bernardini, R.; Del Linz, L.; Piras, A.; Rinaldo, R. Emotional Response Analysis Using Electrodermal Activity, Electrocardiogram and Eye Tracking Signals in Drivers with Various Car Setups. In Proceedings of the 2020 28th European Signal Processing Conference (EUSIPCO), Amsterdam, The Netherlands, 18–21 January 2021; pp. 1160–1164. [Google Scholar]
- Liapis, A.; Faliagka, E.; Katsanos, C.; Antonopoulos, C.; Voros, N. Detection of Subtle Stress Episodes During UX Evaluation: Assessing the Performance of the WESAD Bio-Signals Dataset. In Proceedings of the IFIP Conference on Human-Computer Interaction, Bari, Italy, 30 August–3 September 2021; pp. 238–247. [Google Scholar]
- Sanchez-Comas, A.; Synnes, K.; Molina-Estren, D.; Troncoso-Palacio, A.; Comas-González, Z. Correlation Analysis of Different Measurement Places of Galvanic Skin Response in Test Groups Facing Pleasant and Unpleasant Stimuli. Sensors 2021, 21, 4210. [Google Scholar] [CrossRef]
- Lutin, E.; Hashimoto, R.; De Raedt, W.; Van Hoof, C. Feature Extraction for Stress Detection in Electrodermal Activity. In Proceedings of the BIOSIGNALS 2021—14th International Conference on Bio-Inspired Systems and Signal Processing, Online, 11–13 February 2021; pp. 177–185. [Google Scholar]
- Benedek, M.; Kaernbach, C. A continuous measure of phasic electrodermal activity. J. Neurosci. Methods 2010, 190, 80–91. [Google Scholar] [CrossRef] [Green Version]
- Dobbins, C.; Fairclough, S. Signal processing of multimodal mobile lifelogging data towards detecting stress in real-world driving. IEEE Trans. Mob. Comput. 2018, 18, 632–644. [Google Scholar] [CrossRef] [Green Version]
- Halim, Z.; Rehan, M. On identification of driving-induced stress using electroencephalogram signals: A framework based on wearable safety-critical scheme and machine learning. Inf. Fusion 2020, 53, 66–79. [Google Scholar] [CrossRef]
- Markova, V.; Ganchev, T.; Kalinkov, K. Clas: A database for cognitive load, affect and stress recognition. In Proceedings of the 2019 International Conference on Biomedical Innovations and Applications (BIA), Varna, Bulgaria, 8–9 November 2019; pp. 1–4. [Google Scholar]
- Can, Y.S.; Chalabianloo, N.; Ekiz, D.; Fernandez-Alvarez, J.; Repetto, C.; Riva, G.; Iles-Smith, H.; Ersoy, C. Real-life stress level monitoring using smart bands in the light of contextual information. IEEE Sens. J. 2020, 20, 8721–8730. [Google Scholar] [CrossRef]
- Mocny-Pachońska, K.; Doniec, R.J.; Sieciński, S.; Piaseczna, N.J.; Pachoński, M.; Tkacz, E.J. The Relationship between Stress Levels Measured by a Questionnaire and the Data Obtained by Smart Glasses and Finger Pulse Oximeters among Polish Dental Students. Appl. Sci. 2021, 11, 8648. [Google Scholar] [CrossRef]
- Wu, M.H.; Chang, T.C. Evaluation of Effect of Music on Human Nervous System by Heart Rate Variability Analysis Using ECG Sensor. Sens. Mater. 2021, 33, 739–753. [Google Scholar] [CrossRef]
- Ben Khelifa, M.M.; Lamti, H.A.; Hugel, V. A Muscular and Cerebral Physiological Indices Assessment for Stress Measuring during Virtual Wheelchair Guidance. Brain Sci. 2021, 11, 274. [Google Scholar] [CrossRef] [PubMed]
- Zhou, S.M.; Hill, R.A.; Morgan, K.; Stratton, G.; Gravenor, M.B.; Bijlsma, G.; Brophy, S. Classification of accelerometer wear and non-wear events in seconds for monitoring free-living physical activity. BMJ Open 2015, 5, e007447. [Google Scholar] [CrossRef]
- Castro-García, J.A.; Molina-Cantero, A.J.; Merino-Monge, M.; Gómez-González, I.M. An Open-Source Hardware Acquisition Platform for Physiological Measurements. IEEE Sens. J. 2019, 19, 11526–11534. [Google Scholar] [CrossRef]
- Boucsein, W. Electrodermal Activity; Springer: Boston, MA, USA, 2012. [Google Scholar] [CrossRef]
- Werner, J.; Heising, M.; Rautenberg, W.; Leimann, K. Dynamics and topography of human temperature regulation in response to thermal and work load. Eur. J. Appl. Physiol. Occup. Physiol. 1985, 53, 353–358. [Google Scholar] [CrossRef]
- Werner, J. Measurement of Temperatures of the Human Body. In Comprehensive Biomedical Physics; Elsevier: Amsterdam, The Netherlands, 2014; pp. 107–126. [Google Scholar] [CrossRef]
- Sawangjai, P.; Hompoonsup, S.; Leelaarporn, P.; Kongwudhikunakorn, S.; Wilaiprasitporn, T. Consumer Grade EEG Measuring Sensors as Research Tools: A Review. IEEE Sens. J. 2020, 20, 3996–4024. [Google Scholar] [CrossRef]
- Abbas, N.; Zhang, Y.; Taherkordi, A.; Skeie, T. Mobile edge computing: A survey. IEEE Internet Things J. 2017, 5, 450–465. [Google Scholar] [CrossRef] [Green Version]
- Pace, P.; Fortino, G.; Zhang, Y.; Liotta, A. Intelligence at the edge of complex networks: The case of cognitive transmission power control. IEEE Wirel. Commun. 2019, 26, 97–103. [Google Scholar] [CrossRef]
- Merino-Monge, M.; Molina-Cantero, A.J.; Castro-García, J.A.; Gómez-González, I.M. An Easy-to-use Multi-source Recording And Synchronization Software for Experimental Trials. IEEE Access 2020, 8, 200618–200634. [Google Scholar] [CrossRef]
- Kothe, C. Lab Streaming Layer (LSL). Available online: https://github.com/sccn/labstreaminglayer (accessed on 18 July 2018).
- Thielen, M.; Sigrist, L.; Magno, M.; Hierold, C.; Benini, L. Human body heat for powering wearable devices: From thermal energy to application. Energy Convers. Manag. 2017, 131, 44–54. [Google Scholar] [CrossRef] [Green Version]
- Dedovic, K.; Renwick, R.; Mahani, N.K.; Engert, V.; Lupien, S.J.; Pruessner, J.C. The Montreal Imaging Stress Task: Using functional imaging to investigate the effects of perceiving and processing psychosocial stress in the human brain. J. Psychiatry Neurosci. 2005, 30, 319–325. [Google Scholar]
- Merino, M.; Gómez, I.; Molina, A.J. EEG feature variations under stress situations. In Proceedings of the Annual International Conference of the IEEE Engineering in Medicine and Biology Society, EMBS, Milan, Italy, 25–29 August 2015; pp. 6700–6703. [Google Scholar] [CrossRef]
- Spielberger, C.D. State-Trait anxiety inventory. In The Corsini Encyclopedia of Psychology; John Wiley & Sons, Inc.: Hoboken, NJ, USA, 2010; p. 1. [Google Scholar]
- Pan, J.; Tompkins, W.J. A real-time QRS detection algorithm. IEEE Trans. Biomed. Eng. 1985, BME-32, 230–236. [Google Scholar] [CrossRef]
- Sörnmo, L.; Laguna, P. Bioelectrical Signal Processing in Cardiac and Neurological Applications; Academic Press: Cambridge, MA, USA, 2005. [Google Scholar]
- Rodríguez-Martín, D.; Pérez-López, C.; Samà, A.; Cabestany, J.; Català, A. A wearable inertial measurement unit for long-term monitoring in the dependency care area. Sensors 2013, 13, 14079–14104. [Google Scholar] [CrossRef]
- Qaim, W.B.; Ometov, A.; Molinaro, A.; Lener, I.; Campolo, C.; Lohan, E.S.; Nurmi, J. Towards Energy Efficiency in the Internet of Wearable Things: A Systematic Review. IEEE Access 2020, 8, 175412–175435. [Google Scholar] [CrossRef]
- Naha, R.K.; Garg, S.; Georgakopoulos, D.; Jayaraman, P.P.; Gao, L.; Xiang, Y.; Ranjan, R. Fog computing: Survey of trends, architectures, requirements, and research directions. IEEE Access 2018, 6, 47980–48009. [Google Scholar] [CrossRef]
- Starliper, N.; Mohammadzadeh, F.; Songkakul, T.; Hernandez, M.; Bozkurt, A.; Lobaton, E. Activity-aware wearable system for power-efficient prediction of physiological responses. Sensors 2019, 19, 441. [Google Scholar] [CrossRef] [PubMed] [Green Version]
- Barr, K.C.; Asanović, K. Energy-aware lossless data compression. ACM Trans. Comput. Syst. (TOCS) 2006, 24, 250–291. [Google Scholar] [CrossRef] [Green Version]
- Gawali, D.H.; Wadhai, V.M. Recent trends in energy management of wireless wearable bio sensor design. In Proceedings of the 2017 11th International Conference on Intelligent Systems and Control (ISCO), Coimbatore, India, 5–6 January 2017; pp. 408–412. [Google Scholar]
- Pushpalatha, S.; Shivaprakasha, K. Energy-efficient communication using data aggregation and data compression techniques in wireless sensor networks: A survey. In Proceedings of the Advances in Communication, Signal Processing, VLSI, and Embedded Systems, Nitte, India, 23–24 May 2020; pp. 161–179. [Google Scholar]
- Goldberger, A.L.; Amaral, L.A.; Glass, L.; Hausdorff, J.M.; Ivanov, P.C.; Mark, R.G.; Mietus, J.E.; Moody, G.B.; Peng, C.K.; Stanley, H.E. PhysioBank, PhysioToolkit, and PhysioNet: Components of a New Research Resource for Complex Physiologic Signals. Circulation 2000, 101, e215–e220. [Google Scholar] [CrossRef] [Green Version]
- Basak, D.; Nishanth, P.; Paily, R.P. A low noise preamplifier and switched capacitor filter for heart-rate detection. In Proceedings of the 2013 International Conference on Advanced Electronic Systems (ICAES), Pilani, India, 21–23 September 2013; pp. 184–188. [Google Scholar]
- Díaz-Suárez, R.A.; Pinzon-Parada, A.L.; Hernández-García, J.; Tirado-Romero, J.S.; Díaz-Meza, C.F. Development an active electrodes system for acquisition and wireless transmission of electrocardiography signal lead II. DYNA 2018, 85, 253–259. [Google Scholar] [CrossRef]
- da Silva, H.P.; Fred, A.; Martins, R. Biosignals for Everyone. IEEE Pervasive Comput. 2014, 13, 64–71. [Google Scholar] [CrossRef]
- Zangróniz, R.; Martínez-Rodrigo, A.; Pastor, J.M.; López, M.T.; Fernández-Caballero, A. Electrodermal Activity Sensor for Classification of Calm/Distress Condition. Sensors 2017, 17, 2324. [Google Scholar] [CrossRef] [PubMed] [Green Version]
- Konijnenburg, M.; Stanzione, S.; Yan, L.; Jee, D.W.; Pettine, J.; Wegberg, R.V.; Kim, H.; van Liempd, C.; Fish, R.; Schuessler, J.; et al. A Multi(bio)sensor Acquisition System With Integrated Processor, Power Management, 8 × 8 LED Drivers, and Simultaneously Synchronized ECG, BIO-Z, GSR, and Two PPG Readouts. IEEE J. Solid-State Circuits 2016, 51, 2584–2595. [Google Scholar] [CrossRef]
- Townsend, D.I.; Holtzman, M.; Goubran, R.; Frize, M.; Knoefel, F. Measurement of torso movement with delay mapping using an unobtrusive pressure-sensor array. IEEE Trans. Instrum. Meas. 2010, 60, 1751–1760. [Google Scholar] [CrossRef]
- Shukla, S.; Roy, V.; Prakash, A. Wavelet Based Empirical Approach to Mitigate the Effect of Motion Artifacts from EEG Signal. In Proceedings of the 2020 IEEE 9th International Conference on Communication Systems and Network Technologies (CSNT), Gwalior, India, 10–12 April 2020; pp. 323–326. [Google Scholar]
- Xiong, F.; Chen, D.; Huang, M. A wavelet adaptive cancellation algorithm based on multi-inertial sensors for the reduction of motion artifacts in ambulatory ECGs. Sensors 2020, 20, 970. [Google Scholar] [CrossRef] [PubMed] [Green Version]















| Ref. | #Activities | Devices and Placement | Metrics | Classification and comments |
|---|---|---|---|---|
| [25] | 6 (standing, sitting, lying, walking, and transitions: sit-to-stand and stand-to-sit) | 3 Acc at chest and both thighs | Sensitivity of 96.2% | DT |
| [26] | 7 (sitting, walking, standing, running, cycling, …) | 2 Acc at dominant wrist and ankle | Accuracy of 96% | k-NN classifier |
| [27] | 9 (walk, go upstairs, jump, run, stand, sit, …) | 1 IMU at the right hip | Accuracy of 96.1% | Compressed sensing to save energy. It uses sparse lineal combination to identify the training classes |
| [28] | 8 (lying, standing, cycling, running, walking, …) | 1 Acc at the back and at three different positions | Accuracy of 79.42% | Several classifiers tested. Best results with J48 when the Acc is at the upper back |
| [29] | 3 (standing up, walking, and running) | 5 Acc (head, 2 at the back, arm and forearm) | Accuracy of 80% | Methods based only on thresholds |
| [22] | 6 phases associated to drinking | Pressure sensors integrated in a ribbon placed around the arm | Accuracy of 92.3% | ELM classifier with sigmoid functions |
| [30,31] | 12 (stair descent/ascent, lying, standing, sitting, walking, …) | 3 Accs placed on chest, thigh and ankle | Accuracy of 96.6% | Best classifier based on k-NN |
| [20] | 8 (walking, running, standing, climbing up/down, sitting, jumping, and jogging) | 6 Smartphones around the body and a smartwatch | F-score of 89% | RF |
| [32] | 6 (sitting down, standing up, walking, going upstairs, resting, and running). | 1 Acc and ECG | Accuracy of 96.35% | The use of the ECG was crucial for detecting the activities and estimating the energy expenditure |
| [33] | 12 from the PAMAP2 dataset | 2 Acc at the wrist and chest | Accuracy of 80.6% (RF) | Two classifiers tested: RF and SVM. The dataset includes 13 sensors. With all of them the accuracy rises up to 91.1% with kNN |
| [23] | 33 from the REALDISP dataset | 9 Acc spread all over the body | 96.5% accuracy with 6 sensors | Deep believe network DBN for classification, and PART, RF and DT for feature selection |
| [34] | 5 (running, walking, standing, sitting, and dining) | 3 Acc: both wrists and waist | Accuracy of 81%. With 1 Acc at the wrist, the accuracy was of 80%. | Three classifiers tested: RF, DT, SVM |
| [14] | 4 exercises (biceps curls, lateral raises, contraction, and vertical raises) | EMG y Acc at the arm | Accuracy of 85.7% | Only 3 participants in the study. Authors used the k-NN classifier |
| [35] | 8 (standing, walking, running, climbing up stairs, downstairs, sit-up, vacuuming and brushing teeth) | 5 biomedical sensors (ECG, EMG, BR, force, and Acc | Accuracy OF 99.86% | The best of out of three classifiers was k-NN. |
| [19] | 13 (house activities, walking at different speeds, …) | Smartwatch and pressure sensor in the shoe sole | Accuracy of 89%. With only the pressure sensor the accuracy was of 81% | The study also includes free-living activities |
| Ref. | #Activities | Devices and Placement | Metrics | Classification and Comments |
|---|---|---|---|---|
| [21] | 6 (coughing, walking, standing, sitting, squatting or lying) | ECG, and Acc at the chest | Accuracy of 96.92% | Classifier based on DT |
| [24] | 24 ( running at differnt intensities, walking in different scenarios, standing, lying, …) | 1 Acc at the wrist | Accuracy of 92.7% (GMM) and 94.7% (HMM). The accuracy for free-living activities was of 80% | Temporal and frequency features obtained in laboratory to train GMM and HMM models |
| [15] | 11 sports + 10 ADL from a dataset | 2 IMUs at wrist and ankle | Accuracy of 98.23% (ADL) and 99.55% (sports) | Feature selection NWFE and PCA |
| [36] | 12 (sitting down, standing, lying, walking, running, going upstairs) with/without weight. | Smartphone in the left pocket of the pants and ECG | Accuracy of 94% | Uses a set of weighted classifiers |
| [37] | 13 (walking, jogging, squatting, …) | Elastic belt around the chest containing an Acc and that can measure BR | Accuracy of 97.22% | HHC combining DL and methods based on thresholds |
| [17] | 4 (walking, running, sitting down, and getting on a bus) | 3 Acc at hip, thigh and ankle. Other 3 Acc on clothes close to the other sensor placements | High correlation between the two datasets | Studies the reliability and performances of slack sensors |
| [16] | 11 sports + 10 ADL from a dataset | 1 IMU at the thigh | Accuracy of 95.16% | It detects activities involving cyclic movements in lower limbs. It uses HMM, GMM and Expectation-Maximization |
| [38] | Group 1 (eating, writing, and clapping) Group 2 (walking, sitting down, and running) | Smartphones and smartwatches | Accuracy of 94.9% (Group 1) and 92.1% (Group 2) | Several classifiers. Best results with RF |
| [18] | 4 (lying, sitting down, standing up, and walking) | 1 Acc | Accuracy of 93% | It uses the kNN classifier |
| [39] | Multiple benchmark datasets, namely UCI-HAR, OPPORTUNITY, UniMib-SHAR and PAMAP2 | UCI-HAR (smartphone), OPPORTUNITY (72 sensors distributed on body), PAMAP2 (3 IMUs and an ECG), UniMib-SHAR (smartphone) | UCI-HAR (accuracy of 96.98%), OPPORTUNITY (accuracy of 80.23%), PAMAP2 (accuracy of 91.93%), UniMib-SHAR (accuracy of 75.42%) | A shallow CNN that considers cross-channel communication |
| [40] | UCI HAR database (6 activities), USC HAR database (12 activities), SKODA database (11 activities) | Accelerometer, gyroscope, and magnetometer embedded on a smartphone placed on the waist | UCI dataset (accuracy of 99.29%), USC dataset (accuracy of 99.02%), SKODA dataset (accuracy of 97.21%) | Deep CNN architecture that is trained to extract features from different transformed spaces |
| Ref. | Purpose/Biosignals | Methodology/# Participants | Instruments | Results |
|---|---|---|---|---|
| [69] | Detecting stress in real-world driving with ECG, PPG and Acc | Driving for a minimum of 10min several times for the same route/21 | RELIEFF for feature reduction. LDA, DT, k-NN, and an Ensemble classifier with Hill-Climbing | Accuracy of 86.9% for binary detection of stress with physiological and driving features |
| [71] | Create a dataset for interactive and perceptive tasks collecting EDA, ECG and PPG | Tasks: math, logic problems, Stroop test and audio stimuli to evoke emotions in 4 quadrants/62 | SVM classifier | Accuracy of 78.2% for high/low concentration and 88.9% for high arousal/low valence in ECG + EDA. Arousal 798%. Valence (71.6%) |
| [60] | Assess the accuracy of a wearable sensor for stress detection based on EDA and PPG | Five lab conditions: rest, pace breathing, standing, Stroop, speech task and two ecological conditions (slow walking, keyboard typing)/40 | Correlation. Bland–Altman plot | Mean HR showed the best accuracy over all conditions |
| [61] | Propose a CNN for robust emotion recognition based on EDA | Play music videos/DEAP dataset | CNN for four emotional quadrants: high valence and arousal (HVHA), HVLA, LVLA, LVHA | Accuracy of 82% for person-independent classification |
| [72] | Stress monitoring using smart bands (ST, PPG, EDA and Acc) and contextual information | Exams with a jury/16 | Several classifiers. Feature reduction through PCA | Accuracy of 80% with MLP for two-class output. Improvement was obtained by including weather information |
| [70] | Recognize drivers’ stress patterns from EEG | Three virtual driving scenarios with different environmental variables/50 | Different classifiers SVM, NN, RF | Accuracy of 97.95% for SVM |
| [73] | Find relationship between PSS and physiological signals/EOG, HR, Acc, and Gyro. | Two phases: resting/stressful by performing a time-limited task/20 | Statistics. PSS | Only HR correlated with PSS |
| [66] | Detection of changes in GSR with pleasant and unpleasant stim-uli | Videos to elicit emotions/17 | EmpaticaE4 and Shimmer3GSR at different body places | Best places for measuring: left-hand fingers and right foot |
| [62] | Create indicators for cognitive markers based on EDA, HR, Acc | Tasks: Reaction time task Breathing exercises, Mental calculation, Affective memory task, etc./48 | Phsyco. tests: PANAS, SST, Physio: EP, ED, and CL | Accuracy of 89% |
| [74] | Study the effect of listening to music on the ECG | Play music of different rhythms: <40 BPM, 60–80 BPM and 120–140 BPM. 8 sessions/14 | TP, HF, LF, HFR and LFR | Fast music reduces activity in PSNS (LFR and TP ↑, HFR ↓; Intermediate music inhibits the activity (LFR ↓, HRF ↑; Slow music does not affect |
| [75] | Stress assessment during virtual wheelchair guidance using EMG and EEG | Participants drove a virtual wheelchair and filled in tests (SAM, NASA-TL)/10 paraplegics | Frequency bands from EEG and amplitude, PSD, Freq,.. from EMG. PCA, ANOVA | Time pressure stressors were the most influent. Thumb muscle, parietal, and frontal regions were the most correlated with stress |
| [63] | Detect phsychological stress in the presence of PA using wristband biosignals: PPG, EDA, Acc | Three levels: (1) non-stressful events; (2) Meetings, drivings,.. (3) Stroop, IQ, … tests /34 | STAI, feature reduction through PCA, Classifiers. PA level measured by MET | The best classifier was based on SVM with a 99.1% for PA and 92% for stress. Similar PA for all subjects |
| [64] | Analyze biosignal to evaluate a a car setup. EDA at both hands, ECG, ET | Three setting with a simulator: oversteering, normal and understeering/4 | Skin pulse response for EDA, HR and puils size. Statistical significance. SVM classifier | Accuracy of 72% on EDA. No significant changes on HR and pupil size |
| [65] | Detection of stress during user experience evaluations with EDA | EDA from the WESAD database, containing 3 affective states: neutral, stress and amusement/15 | TSST. The SCR is used to train several classifiers | Accuracy of 91.1% for SVM for stress/no-stress |
| [67] | Find features that reflect emotional and cognitive states from EDA signals | Three different stress tasks/20 | 47 features and three applications: LedaLAB, cvxEDA, snd sparsEDA. SVM with feature selection | Best consistent features over all participants were the number of response of driver function from ledalab and cvxEDA and TVSymp. Accuracy of 88.52% |
| Signal | Type 1 | Type 2 | Type 3 | OpenBCI |
|---|---|---|---|---|
| Accelerometer (3 axis) | 26 | 26 | 26 | 25 |
| Gyroscope (3 axis) | 26 | 26 | 26 | − |
| 13 | 13 | 13 | − | |
| Battery | 13 | 13 | 13 | − |
| EDA | − | 26 | − | − |
| ST | − | 13 | − | − |
| ECG | − | − | 208 | − |
| BR | − | − | 26 | − |
| EEG | − | − | − | 250 |
| Domain | Feature | Description |
|---|---|---|
| Time | HRV | Heart rate variability |
| SDNN | Standard deviation of NN intervals | |
| RMSSD | Root mean square of successive differences between normal heartbeats | |
| pNN50 | Percentage of successive RR intervals that differ by more than 50 ms | |
| Frequency | VLF | Very low frequency, 0.003–0.04 Hz |
| LF | Low frequency, 0.04–0.15 Hz | |
| HF | High frequency, 0.15–4 Hz |
| Device | Battery (h) | Lost Frames (%) |
|---|---|---|
| Type 1 | 15.68 | 0 |
| Type 2 | 16.06 | 0 |
| Type 3 | 15.56 | 0 |
| OpenBCI | 17.97 |
| Name | p-Value | Name | p-Value |
|---|---|---|---|
| ΔSDNN | 0.97 | ΔRMSSD | 0.25 |
| ΔpNN50 | <0.01 | ΔMrr | <0.01 |
| ΔVLF | 0.39 | ΔfmVLF | 0.51 |
| ΔLF | 0.65 | ΔfmLF | 0.69 |
| ΔHF | 0.80 | ΔfHF | 0.79 |
| Ref. | Autonomy/Consumption | Size (mm) | Weight (g) | Raw Data | Storage Unit | Wireless | Physio. Signals | IMU |
|---|---|---|---|---|---|---|---|---|
| Xsens MTW | 3.5 h | 34.5 × 58 × 4.5 | 27 | Yes | No | Yes | No | Yes |
| Xsens Mti-G | 660 mW | 57 × 42 × 23.5 | 58 | Yes | No | No | No | Yes |
| Xsens Mti-610 [31] | <1 W | 41 × 28 × 13 | 8.9 | Yes | No | No | No | Yes |
| Physilog 3 | 71 mA | 50 × 40 × 16 | 36 | Yes | Yes | No | No | Yes |
| UAV V3 | 420 mW | 38 × 70 × 25 | 34 | Yes | No | No | No | Yes |
| activPAL [19] | 7 days | 53 × 35 × 7 | 15 | No | No | No | No | Yes |
| Shimmer3 Ebio | 8 h † | 65 × 32 × 12 | 31 | Yes | Yes | Yes | Yes | Yes |
| Ours | 16 h/60 mA/222 mW | 57 × 39 × 18 | 45 | Yes | No | Yes | Yes | Yes |
| [26] | 12.2 mA/51 mW | 39 × 33 × 5 | – | Yes | Yes | Yes | No | Yes |
| [28] | – | 31.5 × 21.5 × 6 | 9 | Yes | Yes | No | No | Yes |
| [21] | 48 h/<5 mA | 43 × 43 × 6 ‡ | – | Yes | No | Yes | Yes | Yes |
| [15] | – | 56 × 37 × 15 | 16 | Yes | No | Yes | No | Yes |
| Feature | [101] | [102] | [77] | Ours |
|---|---|---|---|---|
| Bandwidth (Hz) | [0.05 100] | [0.5 40] | [0.1 30] | [4.5 30] |
| (Hz) | NA | 1000 | 256–1200 | 208 |
| (dB) | 5.77 | 7.01 | 11.96 | 9.78 |
| Feature | [103] | [102] | [104] | [77] | Ours |
|---|---|---|---|---|---|
| N° channels | 1 | 1 | 1 | 2 | 1 |
| Electrode | Dry | Wet | Dry | Dry/Wet | Dry/Wet |
| Bandwidth (Hz) | [0 1.5] | [0 2.8] | [0.5 4] | [0–] § | [0 13] |
| (Hz) | 10 | 1000 | 1000 | 32–256 | 26 |
| SNR (dB) | NA | 52.32 | NA | 50.45 † | 61.64 † |
Publisher’s Note: MDPI stays neutral with regard to jurisdictional claims in published maps and institutional affiliations. |
© 2022 by the authors. Licensee MDPI, Basel, Switzerland. This article is an open access article distributed under the terms and conditions of the Creative Commons Attribution (CC BY) license (https://creativecommons.org/licenses/by/4.0/).
Share and Cite
Castro-García, J.A.; Molina-Cantero, A.J.; Gómez-González, I.M.; Lafuente-Arroyo, S.; Merino-Monge, M. Towards Human Stress and Activity Recognition: A Review and a First Approach Based on Low-Cost Wearables. Electronics 2022, 11, 155. https://doi.org/10.3390/electronics11010155
Castro-García JA, Molina-Cantero AJ, Gómez-González IM, Lafuente-Arroyo S, Merino-Monge M. Towards Human Stress and Activity Recognition: A Review and a First Approach Based on Low-Cost Wearables. Electronics. 2022; 11(1):155. https://doi.org/10.3390/electronics11010155
Chicago/Turabian StyleCastro-García, Juan Antonio, Alberto Jesús Molina-Cantero, Isabel María Gómez-González, Sergio Lafuente-Arroyo, and Manuel Merino-Monge. 2022. "Towards Human Stress and Activity Recognition: A Review and a First Approach Based on Low-Cost Wearables" Electronics 11, no. 1: 155. https://doi.org/10.3390/electronics11010155
APA StyleCastro-García, J. A., Molina-Cantero, A. J., Gómez-González, I. M., Lafuente-Arroyo, S., & Merino-Monge, M. (2022). Towards Human Stress and Activity Recognition: A Review and a First Approach Based on Low-Cost Wearables. Electronics, 11(1), 155. https://doi.org/10.3390/electronics11010155

