HEVC Fast Intra-Mode Selection Using World War II Technique
Abstract
1. Introduction
- (i)
- Being the first algorithm to use GTP for early intra-mode decisions.
- (ii)
- Having not only a strong foundation, but also computational efficiency.
- (iii)
- Providing a satisfactory tradeoff between rate and distortion, and performing better than many existing algorithms.
2. Related Works
3. Motivation
4. Proposed Algorithm
4.1. Hadamard Cost vs. Probability
4.2. Trend of Proposed Early Estimator
4.3. Early Mode Decision Using Early Estimator
5. Experimental Results
5.1. Encoding Results of Proposed Model
5.2. Proposed Model vs Existing Algorithms
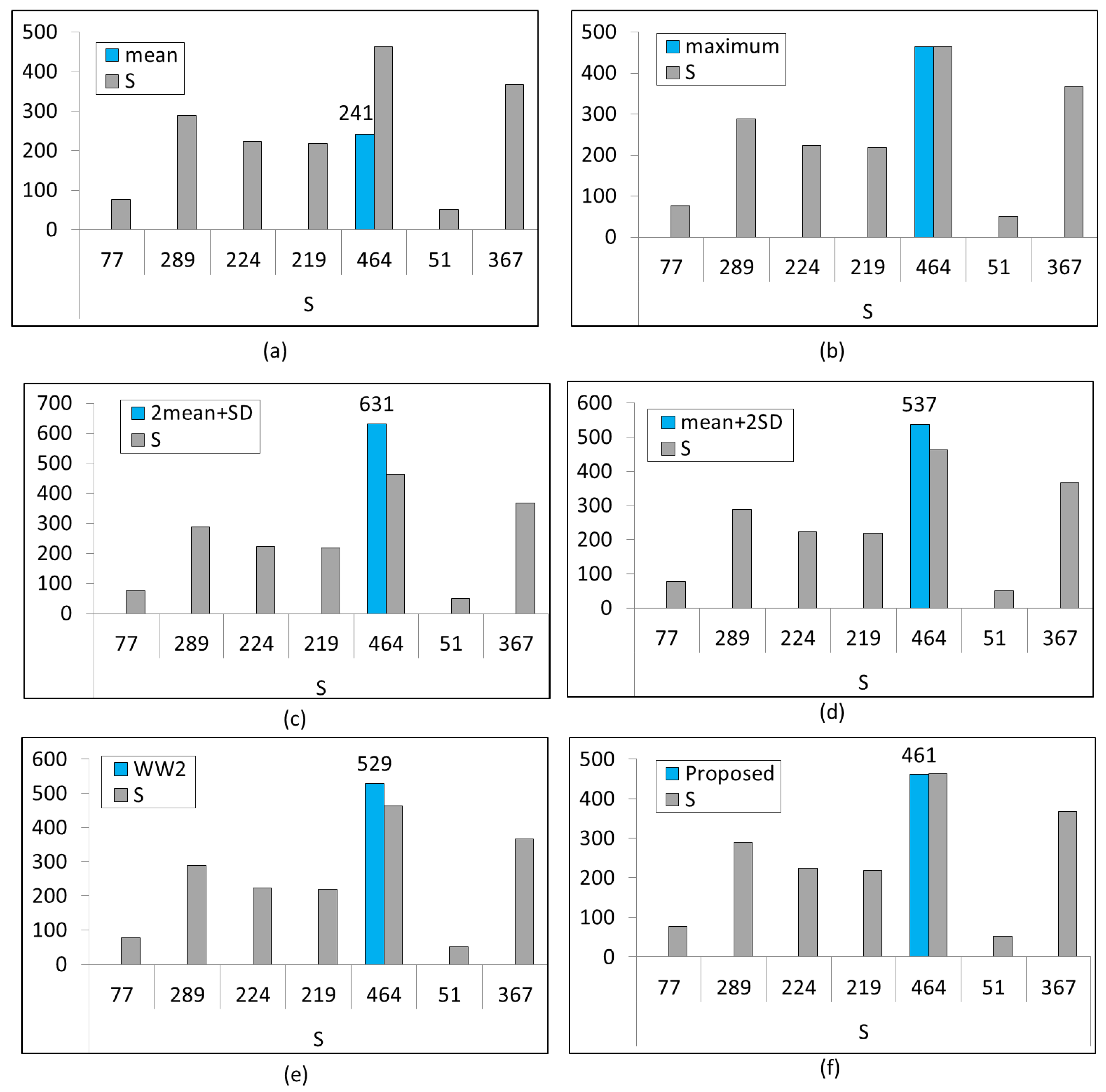
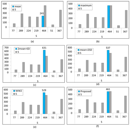
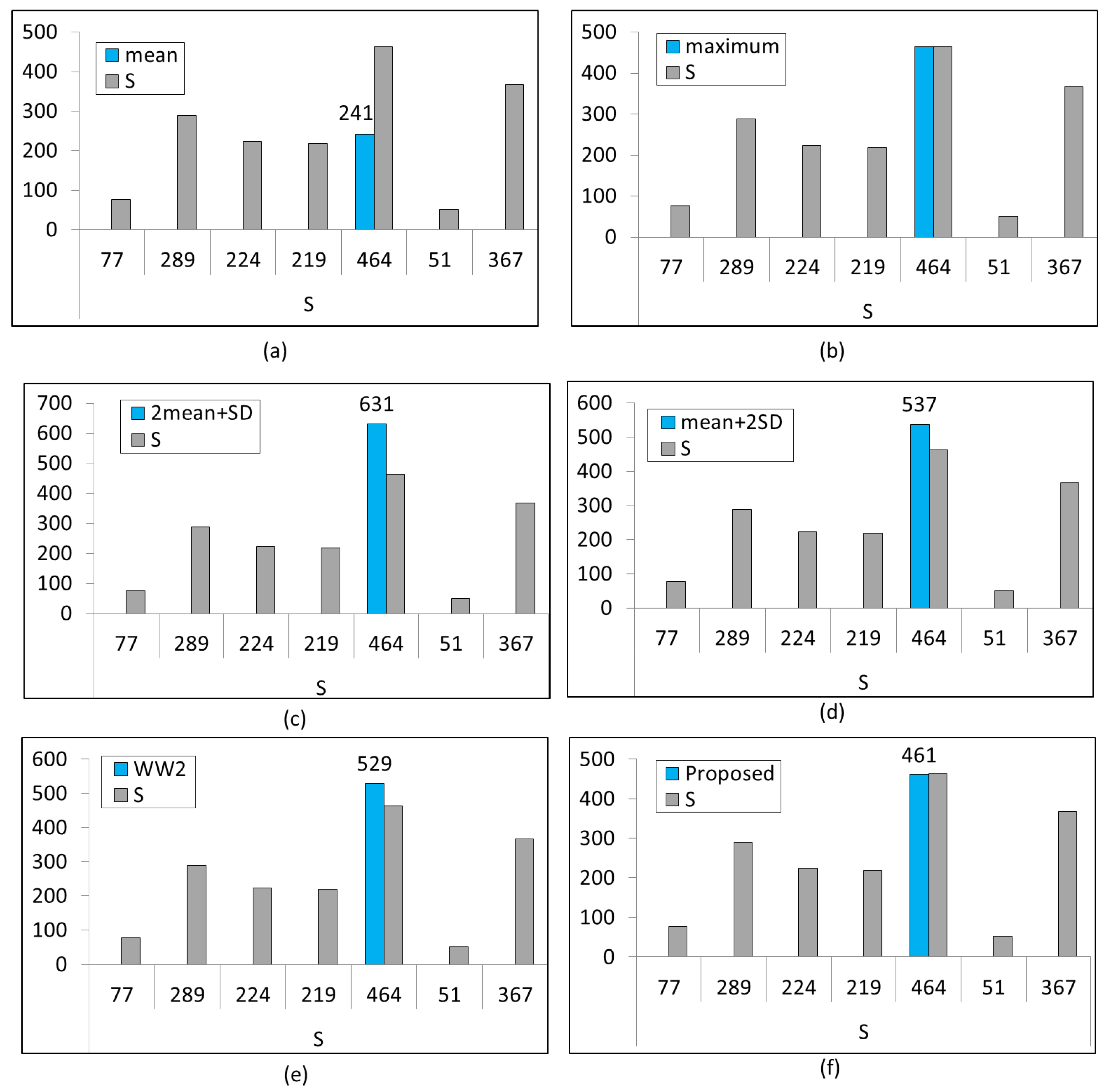
5.3. Analysis of Proposed Model
6. Conclusions
Author Contributions
Funding
Conflicts of Interest
References
- Biteable. Available online: https://biteable.com/blog/video-marketing-statistics/ (accessed on 1 May 2020).
- Biteable. Available online: https://www.cisco.com/c/en/us/solutions/collateral/executive-perspectives/annual-internet-report/white-paper-c11-741490.html (accessed on 1 February 2021).
- Ugur, K.; Kenneth, A.; Arild, F.; Gisle, B.; Lars, P.E.; Jani, L.; Antti, H. High performance, low complexity video coding and the emerging HEVC standard. IEEE Trans. Circuits Syst. Video Technol. 2010, 20, 1688–1697. [Google Scholar] [CrossRef]
- Ohm, J.R.; Gary, J.; Sullivan, H.S.; Thiow, K.T.; Thomas, W. Comparison of the coding efficiency of video coding standards including high efficiency video coding (HEVC). IEEE Trans. Circuits Syst. Video Technol. 2012, 22, 1669–1684. [Google Scholar] [CrossRef]
- HEVC Test Model. Available online: https://hevc.hhi.frauhofer.de/svn/svn_HEVCSoftware/ (accessed on 1 August 2016).
- Tariq, J.; Sam, K.; Hui, Y. HEVC intra mode selection based on rate distortion (RD) cost and sum of absolute difference (SAD). J. Vis. Commun. Image Represent. 2016, 35, 112–119. [Google Scholar] [CrossRef]
- Zhang, M.; Zhai, X.; Liu, Z. Fast and adaptive mode decision and CU partition early termination algorithm for intra-prediction in HEVC. EURASIP Jo. Image Video Process. 2017, 1, 1–11. [Google Scholar] [CrossRef]
- Ruggles, R.; Henry, B. An empirical approach to economic intelligence in World War II. J. Am. Stat. Assoc. 1947, 42, 72–91. [Google Scholar] [CrossRef]
- Tariq, J. Intra mode selection using classical secretary problem (CSP) in high efficiency video coding (HEVC). Multimedia Tools Appl. 2019, 78, 31533–31555. [Google Scholar] [CrossRef]
- Wang, L.-L.; Siu, W.-C. Novel adaptive algorithm for intra prediction with compromised modes skipping and signaling processes in HEVC. IEEE Trans. Circuits Syst. Video Technol. 2013, 23, 1686–1694. [Google Scholar] [CrossRef]
- Zhu, J.; Liu, Z.; Wang, D.; Han, Q.; Song, Y. Fast prediction mode decision with Hadamard transform based rate-distortion cost estimation for HEVC intra coding. In Proceedings of the 2013 IEEE International Conference on Image Processing, Melbourne, VIC, Australia, 15–18 September 2013; pp. 1977–1981. [Google Scholar]
- Zhao, L.; Zhang, L.; Ma, S.; Zhao, D. Fast mode decision algorithm for intra prediction in HEVC. In Proceedings of the Visual Communications and Image Processing (VCIP), Tainan, Taiwan, 6–9 November 2011; pp. 1–4. [Google Scholar]
- Zhang, H.; Zhan, M. Fast intra mode decision for high efficiency video coding (HEVC). IEEE Trans. Circuits Syst. Video Technol. 2014, 24, 660–668. [Google Scholar] [CrossRef]
- Liao, K.-Y.; Yang, J.-F.; Sun, M.-T. Rate-distortion cost estimation for H. 264/AVC. IEEE Trans. Circuits Syst. Video Technol. 2010, 20, 38–49. [Google Scholar] [CrossRef]
- Zhang, H.; Zhan, M. Fast intra prediction for high efficiency video coding. In Pacific-Rim Conference on Multimedia; Springer: Berlin/Heidelberg, Germany, 2012; pp. 568–577. [Google Scholar]
- Wang, P.; Cui, N.; Zhang, G.; Li, K. R-Lambda model based CTU-level rate control for intra frames in HEVC. Multimedia Tools Appl. 2019, 78, 125–139. [Google Scholar] [CrossRef]
- Yeh, C.-H.; Li, M.-F.; Chen, M.-F.; Chi, M.-C.; Huang, X.-X.; Chi, H.-W. Fast mode decision algorithm through inter-view rate-distortion prediction for multiview video coding system. IEEE Trans. Ind. Inform. 2014, 10, 594–603. [Google Scholar] [CrossRef]
- Sheng, Z.; Zhou, D.; Sun, H.; Goto, S. Low-complexity rate-distortion optimization algorithms for HEVC intra prediction. In International Conference on Multimedia Modeling; Springer: Cham, Switzerland, 2014; pp. 541–552. [Google Scholar]
- Zhang, T.; Sun, M.-T.; Zhao, D.; Gao, W. Fast Intra-Mode and CU Size Decision for HEVC. IEEE Trans. Circuits Syst. Video Technol. 2017, 27, 1714–1726. [Google Scholar] [CrossRef]
- Hu, Q.; Shi, Z.; Zhang, X.; Gao, Z. Fast HEVC intra mode decision based on logistic regression classification. In Proceedings of the 2016 IEEE International Symposium on Broadband Multimedia Systems and Broadcasting (BMSB), Nara, Japan, 1–3 June 2016; pp. 1–4. [Google Scholar]
- Tariq, J.; Sam, K. Adaptive stopping strategies for fast intra mode decision in HEVC. J. Vis. Commun. Image Represent. 2018, 51, 1–13. [Google Scholar] [CrossRef]
- Kuanar, S.K.R.; Rao, M.B.; Jonathan, B. Adaptive CU Mode Selection in HEVC Intra Prediction: A Deep Learning Approach. Circuits Syst. Signal Process. 2019, 1–22. [Google Scholar] [CrossRef]
- Huang, B.; Chen, Z.; Cai, Q.; Zheng, M.; Wu, D. Rate-Distortion-Complexity Optimized Coding Mode Decision for HEVC. IEEE Trans. Circuits Syst. Video Technol. 2019. [Google Scholar] [CrossRef]
- Yan, Z.; Cho, S.-Y.; Welsen, S. Fast Intra Prediction Mode Decision for HEVC Using Random Forest. In Proceedings of the 2019 International Conference on Image, Video and Signal Processing, Chongqing, China, 11–13 December 2019; pp. 45–49. [Google Scholar]
- Hosseini, E.; Farhad, P.; Mahmoud, R.H.; Mohammad, G. A computationally scalable fast intra coding scheme for HEVC video encoder. Multimedia Tools Appl. 2019, 78, 11607–11630. [Google Scholar] [CrossRef]
- Tian, R.; Zhang, Y.; Duan, M.; Li, X. Adaptive intra mode decision for HEVC based on texture characteristics and multiple reference lines. Multimedia Tools Appl. 2019, 78, 289–310. [Google Scholar] [CrossRef]
- Gwon, D.; Haechul, C. Relative SATD-based Minimum Risk Bayesian Framework for Fast Intra Decision of HEVC. KSII Trans. Internet Inform. Syst. 2019, 13, 385–405. [Google Scholar]
- Tariq, J. High-performance intra-mode accelerator for HEVC. Vis. Comput. 2019, 35, 1–15. [Google Scholar] [CrossRef]
- Munagala, V.; Kodati, S. Enhanced holoentropy-based encoding via whale optimization for highly efficient video coding. Vis. Comput. 2020. [Google Scholar] [CrossRef]
- Liu, H.; Tang, S.; Lei, D. Accurate estimation of feature points based on individual projective plane in video sequence. Vis. Comput. 2020, 36, 2091–2103. [Google Scholar] [CrossRef]
- Bahce, C.G.; Bayazit, U. Compression of geometry videos by 3D-SPECK wavelet coder. Vis. Comput. 2020. [Google Scholar] [CrossRef]
- Jridi, M.; Ayman, A.; Pramod, K.M. Efficient approximate core transform and its reconfigurable architectures for HEVC. J. Real-Time Image Process. 2020, 17, 329–339. [Google Scholar] [CrossRef]
- Jridi, M.; Ayman, A.; Pramod, K.M. A generalized algorithm and reconfigurable architecture for efficient and scalable orthogonal approximation of DCT. IEEE Trans. Circuits Syst. I 2014, 62, 449–457. [Google Scholar] [CrossRef]
- Tariq, J.; Amir, I. HEVC Intra Mode Selection Using Benford’s Law. Circuits Syst. Signal Process. 2021, 40, 418–437. [Google Scholar] [CrossRef]
- Tariq, J.; Ammar, A.; Amir, I.; Imran, A. Light weight model for intra mode selection in HEVC. Multimedia Tools Appl. 2021, 1–16. [Google Scholar] [CrossRef]
- Tariq, J.; Sam, K. Efficient intra and most probable mode (MPM) selection based on statistical texture features. In Proceedings of the 2015 IEEE International Conference on Systems, Man, and Cybernetics, Hong Kong, China, 9–12 October 2015; pp. 1776–1781. [Google Scholar]
- Tariq, J. RD-cost as statistical inference for early intra mode decision in HEVC. Multimedia Tools Appl. 2019, 78, 16783–16801. [Google Scholar] [CrossRef]
- Bossen, F. Common test conditions and software reference configurations. In Joint Collaborative Team on Video Coding (JCT-VC); JCTVC-F900; 2011; Available online: https://www.google.com/url?sa=t&rct=j&q=&esrc=s&source=web&cd=&ved=2ahUKEwjNpeCZmo7wAhXLb94KHficAIMQFjAAegQIBBAD&url=https%3A%2F%2Fwww.itu.int%2Fwftp3%2Fav-arch%2Fjctvc-site%2F2011_07_F_Torino%2FJCTVC-F_Notes_dH.doc&usg=AOvVaw17hNOdzJtQ1Totp2B3BjVP (accessed on 18 February 2021).
- Bjontegaard, G. Calculation of Average PSNR Differences between RD-Curves. VCEG-M33. 2001. Available online: https://www.google.com/url?sa=t&rct=j&q=&esrc=s&source=web&cd=&ved=2ahUKEwiXsurwm47wAhVK7GEKHRvNDLQQFjABegQIBBAD&url=https%3A%2F%2Fwww.itu.int%2Fwftp3%2Fav-arch%2Fvideo-site%2F0104_Aus%2FVCEG-M33.doc&usg=AOvVaw28nfdGxLOuM9xOYxBLc5wA (accessed on 2 March 2021).
- Tariq, J.; Ammar, A.; Amir, I.; Imran, A. Pure intra mode decision in HEVC using optimized firefly algorithm. J. Vis. Commun. Image Represent. 2020, 68, 102766. [Google Scholar] [CrossRef]
- Chen, Y.; Li, Y.; Wang, H.; Li, T.; Wang, S. A novel fast intra mode decision for versatile video coding. J. Vis. Commun. Image Represent. 2020, 71, 102849. [Google Scholar] [CrossRef]
- Yang, J.; Wei, A. Fast mode decision algorithm for intra prediction in HEVC. In Proceedings of the 2020 IEEE 4th Information Technology, Networking, Electronic and Automation Control Conference (ITNEC), Chongqing, China, 12–14 June 2020; Volume 1, pp. 1018–1022. [Google Scholar]
- Yang, H.; Shen, L.; Dong, X.; Ding, Q.; P An, P.; Jiang, G. Low-complexity CTU partition structure decision and fast intra mode decision for versatile video coding. IEEE Trans. Circuits Syst. Video Technol. 2019, 30, 1668–1682. [Google Scholar] [CrossRef]









| k | Serial No. | |
|---|---|---|
| 1 | 1 | 2 |
| 2 | 2 | 3.5 |
| 3 | 3 | 5 |
| k | S | Sum (S) | |
|---|---|---|---|
| 1 | 51 | 51 | 102 |
| 2 | 77 | 128 | 141 |
| 3 | 219 | 347 | 335 |
| 4 | 224 | 571 | 367 |
| 5 | 289 | 860 | 461 |
| 6 | 367 | 1227 | 572 |
| 7 | 464 | 1691 | 706 |
| Classes | Video | P | R | T |
|---|---|---|---|---|
| A | Nebuta | −0.08 | 1.05 | 25.95 |
| 2560 × 1600 | Traffic | −0.11 | 1.90 | 23.03 |
| PeopleOnStreet | −0.10 | 1.76 | 22.55 | |
| B | BQTerrace | −0.09 | 1.41 | 22.76 |
| 1920 × 1080 | Cactus | −0.07 | 1.89 | 26.25 |
| Kimono | −0.10 | 2.88 | 25.61 | |
| C | BasketballDrill | −0.09 | 1.72 | 25.20 |
| 832 × 480 | RaceHorses | −0.10 | 1.48 | 25.25 |
| PartyScene | −0.16 | 2.00 | 26.16 | |
| D | BlowingBubbles | −0.12 | 1.95 | 25.74 |
| 416 × 240 | BQSquare | −0.17 | 1.94 | 26.25 |
| BasketballPass | −0.09 | 1.48 | 24.55 | |
| E | KristenAndSara | −0.10 | 1.96 | 23.48 |
| 1280 × 720 | FourPeople | −0.12 | 2.06 | 21.45 |
| Johnny | −0.10 | 2.57 | 22.04 | |
| F | SlideShow | −0.23 | 0.99 | 23.12 |
| 1280 × 720 | ChinaSpeed | −0.17 | 1.94 | 21.84 |
| BasketballDrillText | −0.07 | 1.37 | 23.10 | |
| Avg. | −0.11 | 1.79 | 24.13 |
| Classes | Video | P | R | T |
|---|---|---|---|---|
| A | Nebuta | −0.08 | 1.14 | 28.44 |
| 2560 × 1600 | Traffic | −0.11 | 2.10 | 25.94 |
| PeopleOnStreet | −0.11 | 1.98 | 25.12 | |
| B | BQTerrace | −0.10 | 1.59 | 25.11 |
| 1920 × 1080 | Cactus | −0.08 | 2.08 | 29.05 |
| Kimono | −0.10 | 2.80 | 27.71 | |
| C | BasketballDrill | −0.10 | 1.99 | 28.69 |
| 832 × 480 | RaceHorses | −0.13 | 1.90 | 27.97 |
| PartyScene | −0.18 | 2.28 | 29.53 | |
| D | BlowingBubbles | −0.14 | 2.37 | 28.55 |
| 416 × 240 | BQSquare | −0.18 | 2.09 | 31.44 |
| BasketballPass | −0.11 | 1.68 | 27.82 | |
| E | KristenAndSara | −0.11 | 2.12 | 25.04 |
| 1280 × 720 | FourPeople | −0.13 | 2.21 | 23.88 |
| Johnny | −0.11 | 2.70 | 24.13 | |
| F | SlideShow | −0.19 | 0.85 | 25.35 |
| 1280 × 720 | ChinaSpeed | −0.18 | 2.09 | 24.19 |
| BasketballDrillText | −0.08 | 1.50 | 25.85 | |
| Avg. | −0.12 | 1.97 | 26.88 |
| Classes | Sequences | [41] (2020) | [42] (2020) | [43] (2019) | Proposed | ||||||||
|---|---|---|---|---|---|---|---|---|---|---|---|---|---|
| R | T | P | R | T | P | R | T | P | R | T | P | ||
| Nebuta | - | - | - | - | - | - | - | - | 1.14 | 28.44 | −0.08 | ||
| A | Traffic | - | - | - | 0.69 | 22.89 | −0.05 | - | - | - | 2.10 | 25.94 | −0.11 |
| 2560×1600 | PeopleOnStreet | - | - | - | 0.81 | 24.31 | −0.06 | - | - | - | 1.98 | 25.12 | −0.11 |
| BQTerrace | 0.10 | 22.03 | −0.01 | - | - | - | 0.44 | 28.98 | −0.02 | 1.59 | 25.11 | −0.10 | |
| B | Cactus | 0.10 | 10.52 | 0.00 | - | - | - | 0.54 | 28.05 | −0.02 | 2.08 | 29.05 | −0.08 |
| 1920×1080 | Kimono | 0.10 | 25.58 | 0.00 | 0.32 | 20.75 | −0.01 | 0.35 | 18.70 | −0.01 | 2.80 | 27.71 | −0.10 |
| BasketballDrill | 0.11 | 27.09 | −0.01 | 1.04 | 23.73 | −0.09 | 0.36 | 25.18 | −0.02 | 1.99 | 28.69 | −0.10 | |
| C | RaceHorses | 0.08 | 27.24 | −0.01 | - | - | - | 0.56 | 29.12 | −0.04 | 1.90 | 27.97 | −0.13 |
| 832×480 | PartyScene | 0.08 | 26.18 | −0.01 | - | - | - | 0.50 | 30.81 | −0.04 | 2.28 | 29.53 | −0.18 |
| BlowingBubbles | 0.13 | 10.11 | −0.01 | 0.92 | 22.91 | −0.09 | 0.70 | 30.60 | −0.04 | 2.37 | 28.55 | −0.14 | |
| D | BQSquare | 0.10 | 8.02 | −0.01 | - | - | - | 0.61 | 32.87 | −0.05 | 2.09 | 31.44 | −0.18 |
| 416×240 | BasketballPass | 0.01 | 10.34 | 0.00 | 0.77 | 23.66 | −0.07 | 0.49 | 25.05 | −0.03 | 1.68 | 27.82 | −0.11 |
| KristenAndSara | 0.10 | 11.93 | 0.00 | - | - | - | 0.59 | 24.56 | −0.03 | 2.12 | 25.04 | −0.11 | |
| E | FourPeople | 0.13 | 8.87 | −0.01 | 0.87 | 21.20 | -0.06 | 0.66 | 25.59 | −0.04 | 2.21 | 23.88 | −0.13 |
| 1280×720 | Johnny | 0.11 | 9.51 | 0.00 | 0.78 | 20.49 | −0.04 | 0.59 | 22.60 | −0.02 | 2.70 | 24.13 | −0.11 |
| SlideShow | 0.01 | 15.50 | 0.00 | - | - | - | 0.66 | 25.12 | −0.05 | 0.85 | 25.35 | −0.19 | |
| F | ChinaSpeed | 0.11 | 16.81 | −0.01 | - | - | - | 0.83 | 27.85 | −0.07 | 2.09 | 24.19 | −0.18 |
| 1280×720 | BasketballDrillText | 0.10 | 8.73 | −0.01 | - | - | - | 0.44 | 25.15 | −0.02 | 1.50 | 25.85 | −0.08 |
| Average | 0.09 | 15.90 | −0.01 | 0.78 | 22.49 | −0.06 | 0.55 | 26.75 | −0.03 | 1.97 | 26.88 | −0.12 | |
| Sequences | QP | Average | |||
|---|---|---|---|---|---|
| 22 | 27 | 32 | 37 | ||
| BlowingBubbles | 48.98% | 53.05% | 56.42% | 58.02% | 54.12% |
| BQSquare | 51.08% | 55.77% | 53.39% | 50.53% | 52.69% |
| BasketballPass | 48.10% | 51.38% | 51.37% | 47.21% | 49.52% |
| Average | 49.39% | 53.40% | 53.73% | 51.92% | 52.11% |
Publisher’s Note: MDPI stays neutral with regard to jurisdictional claims in published maps and institutional affiliations. |
© 2021 by the authors. Licensee MDPI, Basel, Switzerland. This article is an open access article distributed under the terms and conditions of the Creative Commons Attribution (CC BY) license (https://creativecommons.org/licenses/by/4.0/).
Share and Cite
Tariq, J.; Armghan, A.; Alenezi, F.; Ijaz, A.; Rehman, S.; Alfalou, A.; Ali Khan, J. HEVC Fast Intra-Mode Selection Using World War II Technique. Electronics 2021, 10, 985. https://doi.org/10.3390/electronics10090985
Tariq J, Armghan A, Alenezi F, Ijaz A, Rehman S, Alfalou A, Ali Khan J. HEVC Fast Intra-Mode Selection Using World War II Technique. Electronics. 2021; 10(9):985. https://doi.org/10.3390/electronics10090985
Chicago/Turabian StyleTariq, Junaid, Ammar Armghan, Fayadh Alenezi, Amir Ijaz, Saad Rehman, Ayman Alfalou, and Junaid Ali Khan. 2021. "HEVC Fast Intra-Mode Selection Using World War II Technique" Electronics 10, no. 9: 985. https://doi.org/10.3390/electronics10090985
APA StyleTariq, J., Armghan, A., Alenezi, F., Ijaz, A., Rehman, S., Alfalou, A., & Ali Khan, J. (2021). HEVC Fast Intra-Mode Selection Using World War II Technique. Electronics, 10(9), 985. https://doi.org/10.3390/electronics10090985

