A New Event-Triggered Type-3 Fuzzy Control System for Multi-Agent Systems: Optimal Economic Efficient Approach for Actuator Activating
Abstract
:1. Introduction
1.1. Literature Review
1.2. More Related Works
1.3. Motivations
- In most of existing controllers, the linear MASs are studied and the non-linear dynamics are neglected;
- In some few methods that non-linear MASs have been studied, the dynamics are commonly assumed to be known;
- For the best knowledge of authors, the type-3 FLS based controllers with better approximation capability has not been well studied for MASs;
- In the most of FLS based controllers, the effect of approximation errors is neglected;
- In the most of above investigated studies, the control actuators are updated at each sample times, that impose destructive effects on the lifetime of devices;
- In the most of existing studies, the controllers are designed for the special case of MASs;
- In the existing type-2 FLS based controllers, the secondary memberships are considered to be known and crisp values.
1.4. Novelettes
- A type-3 FLS with simple type-reduction is presented to cope with high level of uncertainties;
- The new sufficient conditions are presented to decrease the required number of sample times to activate the actuators;
- The stability is guaranteed such that all agents track the leader agent;
- New adaptive compensators are presented to ensure the robustness.
2. Problem Formulation
3. Type-3 FLS
- (1)
- The inputs of T3-FLS are the states of agents as , ;
- (2)
- As shown in Figure 3, each input has M MFs as . For the Gaussian MFs the memberships are computed as:where, is the center of MF and and are the standard divisions for UBs and LBs of MF . represent the value of horizontal slice. For more details about the computation of and , the readers are asked to see [34];
- (3)
- (4)
- (5)
- For the second type-reduction, one has:
- (6)
- The output is:
4. Control with No Limitation on Sampling Time
5. Event-Triggered Scheme
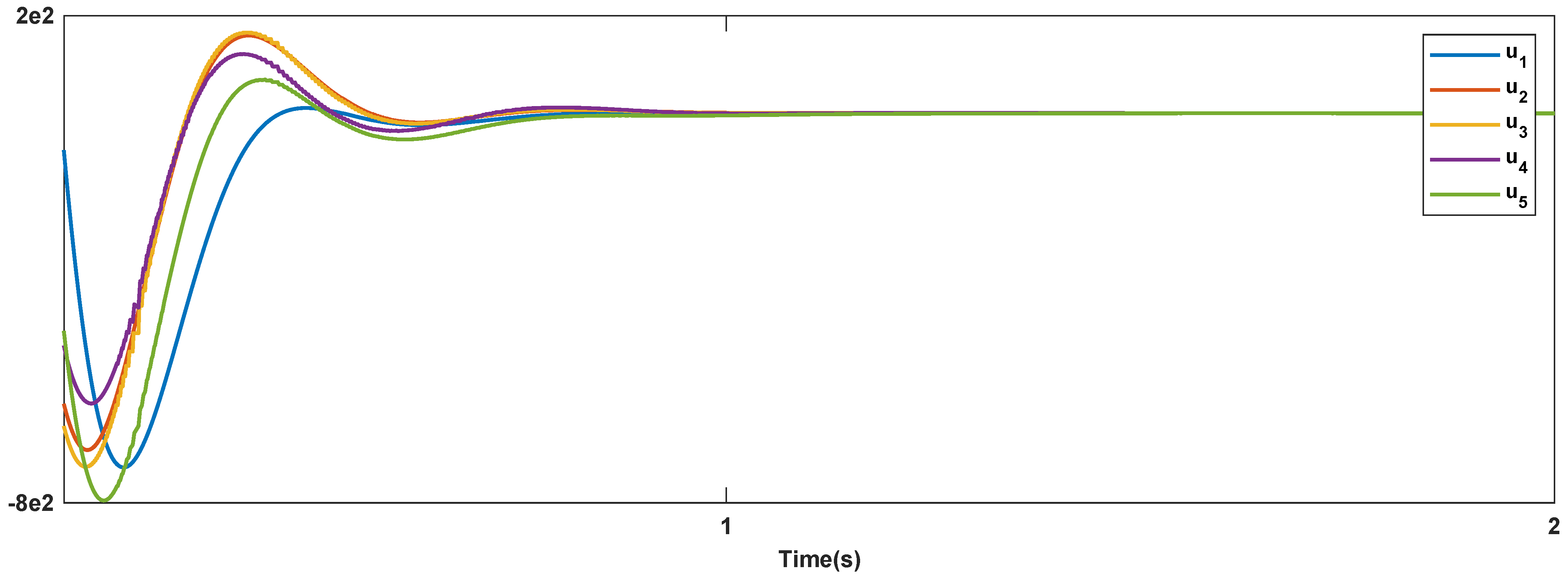
6. Simulations
- The whole dynamics of the agents and leaders are unknown. The designed controller do not depend on the mathematical dynamics of agents;
- The actuators are not activated at each sample time. However, an optimal activation scheme is presented that helps to increase the lifetime of devices;
- It is shown that in noisy condition, the suggested type-3 FLS-based scheme gives better accuracy.
7. Conclusions
Author Contributions
Funding
Acknowledgments
Conflicts of Interest
Appendix A. Proof of Theorem 2
References
- Lin, Y.; Lin, Z.; Sun, Z. Distributed Event-Triggered Approach for Multi-Agent Formation Based on Cooperative Localization with Mixed Measurements. Electronics 2021, 10, 2265. [Google Scholar] [CrossRef]
- Mnasri, S.; Alrashidi, M. A Comprehensive Modeling of the Discrete and Dynamic Problem of Berth Allocation in Maritime Terminals. Electronics 2021, 10, 2684. [Google Scholar] [CrossRef]
- Li, W.; Lin, Z.; Cai, K.; Yan, G. Distributed algorithm for a finite time horizon resource allocation over a directed network. IET Control Theory Appl. 2020, 14, 1170–1182. [Google Scholar] [CrossRef]
- Hwang, K.; Park, J.; Kim, H.; Kuc, T.Y.; Lim, S. Development of a Simple Robotic Driver System (SimRoDS) to Test Fuel Economy of Hybrid Electric and Plug-In Hybrid Electric Vehicles Using Fuzzy-PI Control. Electronics 2021, 10, 1444. [Google Scholar] [CrossRef]
- Li, X.; Yu, Z.; Li, Z.; Wu, N. Group consensus via pinning control for a class of heterogeneous multi-agent systems with input constraints. Inf. Sci. 2021, 542, 247–262. [Google Scholar] [CrossRef]
- Zhang, J.; Zhang, H.; Sun, S.; Gao, Z. Leader-follower consensus control for linear multi-agent systems by fully distributed edge-event-triggered adaptive strategies. Inf. Sci. 2021, 555, 314–338. [Google Scholar] [CrossRef]
- Gao, C.; Wang, Z.; He, X.; Han, Q.L. Consensus Control of Linear Multiagent Systems Under Actuator Imperfection: When Saturation Meets Fault. IEEE Trans. Syst. Man Cybern. Syst. 2021. [Google Scholar] [CrossRef]
- Wang, H.; Xue, B.; Xue, A. Leader-following consensus control for semi-Markov jump multi-agent systems: An adaptive event-triggered scheme. J. Frankl. Inst. 2021, 358, 428–447. [Google Scholar] [CrossRef]
- Xiong, T.; Gu, Z. Observer-based adaptive fixed-time formation control for multiagent systems with unknown uncertainties. Neurocomputing 2021, 423, 506–517. [Google Scholar] [CrossRef]
- Shao, J.; Shi, L.; Cheng, Y.; Li, T. Asynchronous tracking control of leader-follower multiagent systems with input uncertainties over switching signed digraphs. IEEE Trans. Cybern. 2021. [Google Scholar] [CrossRef]
- Wen, S.; Ni, X.; Wang, H.; Zhu, S.; Shi, K.; Huang, T. Observer-Based Adaptive Synchronization of Multiagent Systems With Unknown Parameters Under Attacks. IEEE Trans. Neural Netw. Learn. Syst. 2021. [Google Scholar] [CrossRef]
- Jing, G.; Bai, H.; George, J.; Chakrabortty, A. Model-free optimal control of linear multi-agent systems via decomposition and hierarchical approximation. IEEE Trans. Control Netw. Syst. 2021. [Google Scholar] [CrossRef]
- Zhang, A.; Lin, Z.; Wang, B.; Han, Z. Nonlinear Model Predictive Control of Single-Link Flexible-Joint Robot Using Recurrent Neural Network and Differential Evolution Optimization. Electronics 2021, 10, 2426. [Google Scholar] [CrossRef]
- Tian, M.; Yan, S.; Tian, X. Discrete approximate iterative method for fuzzy investment portfolio based on transaction cost threshold constraint. Open Phys. 2019, 17, 41–47. [Google Scholar] [CrossRef]
- Mnasri, S.; Nasri, N.; Van den Bossche, A.; Val, T. A new multi-agent particle swarm algorithm based on birds accents for the 3D indoor deployment problem. ISA Trans. 2019, 91, 262–280. [Google Scholar] [CrossRef] [PubMed] [Green Version]
- Oh, G.; Ryu, J.; Jeong, E.; Yang, J.H.; Hwang, S.; Lee, S.; Lim, S. DRER: Deep Learning–Based Driver’s Real Emotion Recognizer. Sensors 2021, 21, 2166. [Google Scholar] [CrossRef]
- Rakkiyappan, R.; Sivasamy, R.; Li, X. Synchronization of identical and nonidentical memristor-based chaotic systems via active backstepping control technique. Circuits Syst. Signal Process. 2015, 34, 763–778. [Google Scholar] [CrossRef]
- Guo, Z.; Xue, H.; Pan, Y. Neural networks-based adaptive tracking control of multi-agent systems with output-constrained and unknown hysteresis. Neurocomputing 2021, 458, 24–32. [Google Scholar] [CrossRef]
- Zhang, J.X.; Yang, G.H. Distributed Fuzzy Adaptive Output-Feedback Control of Unknown Nonlinear Multiagent Systems in Strict-Feedback Form. IEEE Trans. Cybern. 2021. [Google Scholar] [CrossRef]
- Lin, Z.; Liu, Z.; Zhang, Y.; Chen, C.P. Adaptive neural consensus tracking control for multi-agent systems with unknown state and input hysteresis. Nonlinear Dyn. 2021, 105, 1625–1641. [Google Scholar] [CrossRef]
- Ren, C.E.; Fu, Q.; Zhang, J.; Zhao, J. Adaptive event-triggered control for nonlinear multi-agent systems with unknown control directions and actuator failures. Nonlinear Dyn. 2021, 105, 1657–1672. [Google Scholar] [CrossRef]
- Lin, Z.; Liu, Z.; Zhang, Y.; Chen, C.P. Command filtered neural control of multi-agent systems with input quantization and unknown control direction. Neurocomputing 2021, 430, 47–57. [Google Scholar] [CrossRef]
- Zhang, L.; Chen, B.; Lin, C.; Shang, Y. Fuzzy adaptive finite-time consensus tracking control for nonlinear multi-agent systems. Int. J. Syst. Sci. 2021, 52, 1346–1358. [Google Scholar] [CrossRef]
- Lan, J.; Xu, T. Adaptive Fuzzy Consensus Tracking Control for Nonlinear Multiagent Systems with Time-Varying Delays and Constraints. Complexity 2021, 2021, 9940257. [Google Scholar] [CrossRef]
- Cui, Y.; Liu, X.; Deng, X.; Wang, Q. Observer-based adaptive fuzzy formation control of nonlinear multi-agent systems with nonstrict-feedback form. Int. J. Fuzzy Syst. 2021, 23, 680–691. [Google Scholar] [CrossRef]
- Lin, C.J.; Lin, C.H.; Wang, S.H. Using a Hybrid of Interval Type-2 RFCMAC and Bilateral Filter for Satellite Image Dehazing. Electronics 2020, 9, 710. [Google Scholar] [CrossRef]
- Lin, C.J.; Lin, C.H.; Wang, S.H. Using Fuzzy Control for Feed Rate Scheduling of Computer Numerical Control Machine Tools. Appl. Sci. 2021, 11, 4701. [Google Scholar] [CrossRef]
- Qin, B.; Fan, Y.; Xiao, T.; Li, Z. Distributed type-2 fuzzy adaptive control for heterogeneous nonlinear multiagent systems. Asian J. Control 2021. [Google Scholar] [CrossRef]
- Afaghi, A.; Ghaemi, S.; Ghiasi, A.R.; Badamchizadeh, A.M. Type-2 fuzzy consensus control of nonlinear multi-agent systems: An LMI approach. J. Frankl. Inst. 2021, 358, 4326–4347. [Google Scholar] [CrossRef]
- Zhang, Z.; Dong, J. Fault-Tolerant Containment Control for IT2 Fuzzy Networked Multiagent Systems Against Denial-of-Service Attacks and Actuator Faults. IEEE Trans. Syst. Man Cybern. Syst. 2021. [Google Scholar] [CrossRef]
- Afaghi, A.; Ghaemi, S.; Ghiasi, A.R.; Badamchizadeh, A.M. Adaptive fuzzy observer-based cooperative control of unknown fractional-order multi-agent systems with uncertain dynamics. Soft Comput. 2020, 24, 3737–3752. [Google Scholar] [CrossRef]
- Calegari, R.; Ciatto, G.; Mascardi, V.; Omicini, A. Logic-based technologies for multi-agent systems: A systematic literature review. Auton. Agents Multi-Agent Syst. 2021, 35, 1–67. [Google Scholar] [CrossRef]
- Qasem, S.N.; Ahmadian, A.; Mohammadzadeh, A.; Rathinasamy, S.; Pahlevanzadeh, B. A type-3 logic fuzzy system: Optimized by a correntropy based Kalman filter with adaptive fuzzy kernel size. Inf. Sci. 2021, 572, 424–443. [Google Scholar] [CrossRef]
- Mohammadzadeh, A.; Sabzalian, M.H.; Zhang, W. An interval type-3 fuzzy system and a new online fractional-order learning algorithm: Theory and practice. IEEE Trans. Fuzzy Syst. 2019, 28, 1940–1950. [Google Scholar] [CrossRef]
- Nie, M.; Tan, W.W. Towards an efficient type-reduction method for interval type-2 fuzzy logic systems. In Proceedings of the 2008 IEEE International Conference on Fuzzy Systems (IEEE World Congress on Computational Intelligence), Hong Kong, China, 1–6 June 2008; pp. 1425–1432. [Google Scholar]
















| Parameter | Equation |
|---|---|
| (42) | |
| K | (43) |
| (44) | |
| (44) | |
| (44) | |
| (45) | |
| (43) | |
| (3)–(6) | |
| (3)–(6) | |
| (3)–(6) |
| T1-FLS | 0.3712 | 0.4048 | 0.1071 | 0.2012 | 1.4807 |
| T2-FLS | 0.2014 | 0.1241 | 0.0894 | 0.1387 | 0.1079 |
| T3-FLS | 0.1315 | 0.0857 | 0.0897 | 0.1494 | 0.0954 |
| T1-FLS | 0.7231 | 0.2317 | 0.2479 | 0.3472 | 1.2180 |
| T2-FLS | 0.4274 | 0.1247 | 0.2017 | 0.1047 | 0.8713 |
| T3-FLS | 0.3952 | 0.0649 | 0.0625 | 0.0626 | 0.5568 |
Publisher’s Note: MDPI stays neutral with regard to jurisdictional claims in published maps and institutional affiliations. |
© 2021 by the authors. Licensee MDPI, Basel, Switzerland. This article is an open access article distributed under the terms and conditions of the Creative Commons Attribution (CC BY) license (https://creativecommons.org/licenses/by/4.0/).
Share and Cite
Yan, S.; Aly, A.A.; Felemban, B.F.; Gheisarnejad, M.; Tian, M.; Khooban, M.H.; Mohammadzadeh, A.; Mobayen, S. A New Event-Triggered Type-3 Fuzzy Control System for Multi-Agent Systems: Optimal Economic Efficient Approach for Actuator Activating. Electronics 2021, 10, 3122. https://doi.org/10.3390/electronics10243122
Yan S, Aly AA, Felemban BF, Gheisarnejad M, Tian M, Khooban MH, Mohammadzadeh A, Mobayen S. A New Event-Triggered Type-3 Fuzzy Control System for Multi-Agent Systems: Optimal Economic Efficient Approach for Actuator Activating. Electronics. 2021; 10(24):3122. https://doi.org/10.3390/electronics10243122
Chicago/Turabian StyleYan, Shurong, Ayman A. Aly, Bassem F. Felemban, Meysam Gheisarnejad, Manwen Tian, Mohammad Hassan Khooban, Ardashir Mohammadzadeh, and Saleh Mobayen. 2021. "A New Event-Triggered Type-3 Fuzzy Control System for Multi-Agent Systems: Optimal Economic Efficient Approach for Actuator Activating" Electronics 10, no. 24: 3122. https://doi.org/10.3390/electronics10243122
APA StyleYan, S., Aly, A. A., Felemban, B. F., Gheisarnejad, M., Tian, M., Khooban, M. H., Mohammadzadeh, A., & Mobayen, S. (2021). A New Event-Triggered Type-3 Fuzzy Control System for Multi-Agent Systems: Optimal Economic Efficient Approach for Actuator Activating. Electronics, 10(24), 3122. https://doi.org/10.3390/electronics10243122

