A Low Power 1024-Channels Spike Detector Using Latch-Based RAM for Real-Time Brain Silicon Interfaces
Abstract
:1. Introduction
2. Materials and Methods
2.1. Evaluation Metrics
2.2. Dataset
2.3. Algorithm Design
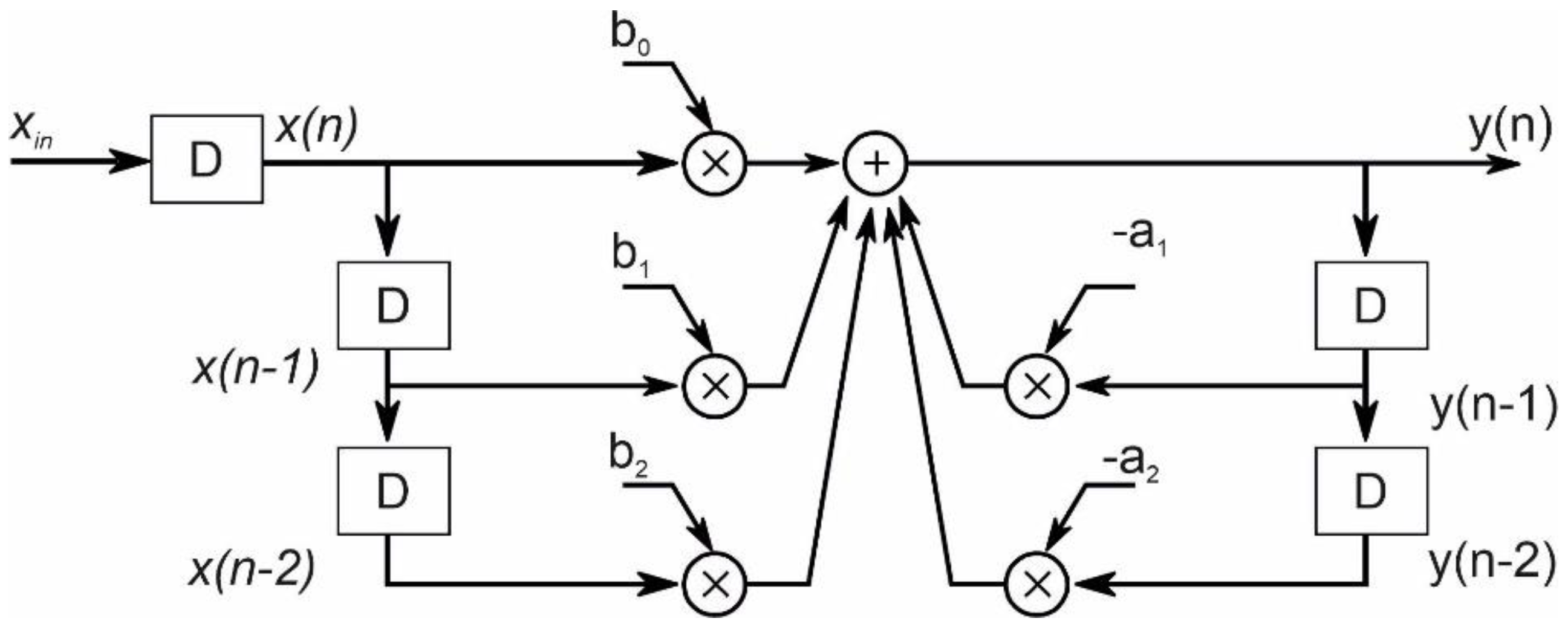
2.3.1. Band-Pass Filter
2.3.2. Enhancing Block: ASO
2.3.3. Threshold: WA
- a preliminary evaluation of standard deviation is performed. It can be done by using average or root mean square. We used the one referred as AA in [19].
- the clipping procedure consists of comparing the previous calculated standard deviation with the absolute value of the new incoming sample and replacing this latter if it is higher than the standard deviation.
- finally, the clipped signal is used to update the threshold. The new estimate is then used for the clipping. The evaluation of the threshold is described in Equation (7).
2.4. Algortihm Implementation
2.4.1. Filters: BPF and Smoothing
2.4.2. Latch-Based RAM
2.4.3. Others
3. Results
3.1. Software Evaluation
3.2. Hardware Evalution
- proposed1: an architecture based on flip-flops as storage elements (without latch-based RAM) and with Hamming smoothing windows.
- proposed2: like proposed1 but using latch-based RAM as a storage element.
- proposed3: like proposed2, replacing the Hamming window with the equivalent IIR filter.
4. Discussion
5. Conclusions
Author Contributions
Funding
Data Availability Statement
Acknowledgments
Conflicts of Interest
References
- You, A.; Zippi, E.L.; Carmena, J.M. Large-Scale Neural Consolidation in BMI Learning. In Proceedings of the 2019 9th International IEEE/EMBS Conference on Neural Engineering (NER), San Francisco, CA, USA, 20–23 March 2019; pp. 603–606. [Google Scholar] [CrossRef]
- Vaidya, M.; Flint, R.D.; Wang, P.T.; Barry, A.; Li, Y.; Ghassemi, M.; Tomic, G.; Yao, J.; Carmona, C.; Mugler, E.M.; et al. Hemicraniectomy in Traumatic Brain Injury: A Noninvasive Platform to Investigate High Gamma Activity for Brain Machine Interfaces. IEEE Trans. Neural Syst. Rehabil. Eng. 2019, 27, 1467–1472. [Google Scholar] [CrossRef] [PubMed]
- Barzan, H.; Ichim, A.M.; Muresan, R.C. Machine Learning-Assisted Detection of Action Potentials in Extracellular Multi-Unit Recordings. In Proceedings of the 2020 IEEE International Conference on Automation, Quality and Testing, Robotics (AQTR), Cluj-Napoca, Romania, 21–23 May 2020. [Google Scholar] [CrossRef]
- Musk, E. An Integrated Brain-Machine Interface Platform With Thousands of Channels. J. Med. Internet Res. 2019, 21, e16194. [Google Scholar] [CrossRef] [PubMed]
- Soontornpipit, P. Design and Delevopment of a Dual-band PIFA Antenna for Brain Interface Applications. In Proceedings of the 2019 7th International Electrical Engineering Congress (iEECON), Hua Hin, Thailand, 6–8 March 2019; pp. 1–4. [Google Scholar]
- Tambaro, M.; Vallicelli, E.A.; Saggese, G.; Strollo, A.; Baschirotto, A.; Vassanelli, S. Evaluation of In Vivo Spike Detection Algorithms for Implantable MTA Brain—Silicon Interfaces. J. Low Power Electron. Appl. 2020, 10, 26. [Google Scholar] [CrossRef]
- Semmaoui, H.; Drolet, J.; Lakhssassi, A.; Sawan, M.; Zhou, Y.; Wu, T.; Rastegarnia, A.; Guan, C.; Keefer, E.; Yang, Z.; et al. Setting adaptive spike detection threshold for smoothed TEO based on robust statistics theory. IEEE Trans. Biomed. Eng. 2012, 59, 474–482. [Google Scholar] [CrossRef] [PubMed]
- Dwivedi, S.; Gogoi, A.K. A novel adaptive real-time detection algorithm for an area-efficient CMOS spike detector circuit. AEU-Int. J. Electron. Commun. 2018, 88, 87–97. [Google Scholar] [CrossRef]
- Wang, Z.; Wu, D.; Dong, F.; Cao, J.; Jiang, T.; Liu, J. A Novel Spike Detection Algorithm Based on Multi-Channel of BECT EEG Signals. IEEE Trans. Circuits Syst. II Express Briefs 2020, 67, 3592–3596. [Google Scholar] [CrossRef]
- Mirzaei, S.; Hosseini-Nejad, H.; Sodagar, A.M. Spike Detection Technique Based on Spike Augmentation with Low Computational and Hardware Complexity. In Proceedings of the 2020 42nd Annual International Conference of the IEEE Engineering in Medicine & Biology Society (EMBC), Montreal, QC, Canada, 20–24 July 2020; pp. 894–897. [Google Scholar] [CrossRef]
- Jiang, T.; Wu, D.; Gao, F.; Cao, J.; Dai, S.; Liu, J.; Li, Y. Improved Spike Detection Algorithm Based on Multi-Template Matching and Feature Extraction. IEEE Trans. Circuits Syst. II Express Briefs 2021, 7747. [Google Scholar] [CrossRef]
- Huang, L.; Ling, B.W.K.; Cai, R.; Zeng, Y.; He, J.; Chen, Y. WMsorting: Wavelet Packets’ Decomposition and Mutual Information-Based Spike Sorting Method. IEEE Trans. Nanobiosci. 2019, 18, 283–295. [Google Scholar] [CrossRef] [PubMed]
- Schaffer, L.; Nagy, Z.; Kineses, Z.; Fiath, R. FPGA-based neural probe positioning to improve spike sorting with OSort algorithm. In Proceedings of the 2017 IEEE International Symposium on Circuits and Systems (ISCAS), Baltimore, MD, USA, 28–31 May 2017; pp. 12–15. [Google Scholar] [CrossRef] [Green Version]
- Katona, J.; Ujbanyi, T.; Sziladi, G.; Kovari, A. Speed control of Festo Robotino mobile robot using NeuroSky MindWave EEG headset based brain-computer interface. In Proceedings of the 2016 7th IEEE International Conference on Cognitive Infocommunications (CogInfoCom), Wroclaw, Poland, 16–18 October 2016; pp. 251–256. [Google Scholar]
- Katona, J.; Ujbanyi, T.; Sziladi, G.; Kovari, A. Electroencephalogram-Based Brain-Computer Interface for Internet of Robotic Things. In Cognitive Infocommunications, Theory and Applications; Klempous, R., Nikodem, J., Baranyi, P.Z., Eds.; Springer International Publishing: Cham, Switzerland, 2019; pp. 253–275. ISBN 978-3-319-95996-2. [Google Scholar]
- Tariq, T.; Satti, M.H.; Saeed, M.; Kamboh, A.M. Low SNR neural spike detection using scaled energy operators for implantable brain circuits. In Proceedings of the 2017 39th Annual International Conference of the IEEE Engineering in Medicine and Biology Society (EMBC), Jeju, Korea, 11–15 July 2017; pp. 1074–1077. [Google Scholar]
- Mukhopadhyay, S.; Ray, G.C. A new interpretation of nonlinear energy operator and its efficacy in spike detection. IEEE Trans. Biomed. Eng. 1998, 45, 180–187. [Google Scholar] [CrossRef] [PubMed]
- Abd El-Samie, F.E.; Alotaiby, T.N.; Khalid, M.I.; Alshebeili, S.A.; Aldosari, S.A. A Review of EEG and MEG Epileptic Spike Detection Algorithms. IEEE Access 2018, 6, 60673–60688. [Google Scholar] [CrossRef]
- Saggese, G.; Tambaro, M.; Vallicelli, E.A.; Strollo, A.G.M.; Vassanelli, S.; Baschirotto, A.; Matteis, M. De Comparison of Sneo-Based Neural Spike Detection Algorithms for Implantable Multi-Transistor Array Biosensors. Electronics 2021, 10, 410. [Google Scholar] [CrossRef]
- Zhang, Z.; Constandinou, T.G. Adaptive spike detection and hardware optimization towards autonomous, high-channel-count BMIs. J. Neurosci. Methods 2021, 354, 109103. [Google Scholar] [CrossRef] [PubMed]
- Esposito, D.; Strollo, A.G.M.M.; Alioto, M. Power-precision scalable latch memories. In Proceedings of the 2017 IEEE International Symposium on Circuits and Systems (ISCAS), Baltimore, MD, USA, 28–31 May 2017; pp. 7–10. [Google Scholar] [CrossRef]
- Di Meo, G.; De Caro, D.; Saggese, G.; Napoli, E.; Petra, N.; Strollo, A.G. A Novel Module-Sign Low-Power Implementation for the DLMS Adaptive Filter With Low Steady-State Error. IEEE Trans. Circuits Syst. I Regul. Pap. 2021, 1–12. [Google Scholar] [CrossRef]
- Camuñas-Mesa, L.A.; Quiroga, R.Q. A Detailed and Fast Model of Extracellular Recordings. Neural Comput. 2013, 25, 1191–1212. [Google Scholar] [CrossRef]
- Mondragón-González, S.L.; Burguière, E. Bio-inspired benchmark generator for extracellular multi-unit recordings. Sci. Rep. 2017, 7, 43253. [Google Scholar] [CrossRef] [PubMed] [Green Version]
- Mizuseki, K.; Sirota, A.; Pastalkova, E.; Buzsáki, G. Theta Oscillations Provide Temporal Windows for Local Circuit Computation in the Entorhinal-Hippocampal Loop. Neuron 2009, 64, 267–280. [Google Scholar] [CrossRef] [PubMed] [Green Version]
- Hazan, L.; Zugaro, M.; Buzsáki, G. Klusters, NeuroScope, NDManager: A free software suite for neurophysiological data processing and visualization. J. Neurosci. Methods 2006, 155, 207–216. [Google Scholar] [CrossRef] [PubMed]
- Even-Chen, N.; Muratore, D.G.; Stavisky, S.D.; Hochberg, L.R.; Henderson, J.M.; Murmann, B.; Shenoy, K.V. Power-saving design opportunities for wireless intracortical brain–computer interfaces. Nat. Biomed. Eng. 2020, 4, 984–996. [Google Scholar] [CrossRef] [PubMed]
- Jabloun, M. A new generalization of the discrete Teager-Kaiser energy operator-application to biomedical signals. In Proceedings of the 2017 IEEE International Conference on Acoustics, Speech and Signal Processing (ICASSP), New Orleans, LA, USA, 5–9 March 2017; pp. 4153–4157. [Google Scholar]
- Schaffer, L.; Pletl, S.; Kincses, Z. Spike Detection Using Cross-Correlation Based Method. In Proceedings of the 2019 IEEE 23rd International Conference on Intelligent Engineering Systems (INES), Gödöllő, Hungary, 25–27 April 2019; pp. 000175–000178. [Google Scholar]
- Yang, Y.; Boling, S.; Mason, A.J. A Hardware-Efficient Scalable Spike Sorting Neural Signal Processor Module for Implantable High-Channel-Count Brain Machine Interfaces. IEEE Trans. Biomed. Circuits Syst. 2017, 11, 743–754. [Google Scholar] [CrossRef] [PubMed]
- Osipov, D.; Paul, S.; Stemmann, H.; Kreiter, A.K. Energy-Efficient Architecture for Neural Spikes Acquisition. In Proceedings of the 2018 IEEE Biomedical Circuits and Systems Conference (BioCAS), Cleveland, OH, USA, 17–19 October 2018; pp. 4–7. [Google Scholar] [CrossRef]
- Xu, J.; Nguyen, A.T.; Wu, T.; Zhao, W.; Luu, D.K.; Yang, Z. A Wide Dynamic Range Neural Data Acquisition System With High-Precision Delta-Sigma ADC and On-Chip EC-PC Spike Processor. IEEE Trans. Biomed. Circuits Syst. 2020, 14, 425–440. [Google Scholar] [CrossRef]
- Ballo, A.; Grasso, A.D.; Privitera, M. An Efficient AC-DC Converter in 28nm Si-Bulk CMOS Technology for Piezo-Powered Medical Implanted Devices. In Proceedings of the 2021 IEEE International Midwest Symposium on Circuits and Systems (MWSCAS), Lansing, MI, USA, 9–11 August 2021; pp. 344–347. [Google Scholar]
- Liu, J.; Isufi, E.; Leus, G. Filter Design for Autoregressive Moving Average Graph Filters. IEEE Trans. Signal Inf. Process. Networks 2019, 5, 47–60. [Google Scholar] [CrossRef] [Green Version]
- Wang, P.K.; Pun, S.H.; Chen, C.H.; McCullagh, E.A.; Klug, A.; Li, A.; Vai, M.I.; Mak, P.U.; Lei, T.C. Low-latency single channel real-time neural spike sorting system based on template matching. PLoS ONE 2019, 14, e0225138. [Google Scholar] [CrossRef] [PubMed]
- Seese, T.M.; Harasaki, H.; Saidel, G.M.; Davies, C.R. Characterization of tissue morphology, angiogenesis, and temperature in the adaptive response of muscle tissue to chronic heating. Lab. Investig. 1998, 78, 1553–1562. [Google Scholar] [PubMed]
- Karkare, V.; Gibson, S.; Marković, D. A 130-μW, 64-Channel Neural Spike-Sorting DSP Chip. IEEE J. Solid-State Circuits 2011, 46, 1214–1222. [Google Scholar] [CrossRef]











| Coefficients | Rounding Error (%) | |||||
|---|---|---|---|---|---|---|
| 0 | 1 | 2 | 0 | 1 | 2 | |
| a | 1 | −0.720 | −0.125 | 0 | 0.061 | 0.414 |
| b | 0.291 | 0 | −0.291 | 0.027 | 0 | 0.027 |
| Coefficients | Rounding Error (%) | |||||||||
|---|---|---|---|---|---|---|---|---|---|---|
| 0 | 1 | 2 | 3 | 4 | 0 | 1 | 2 | 3 | 4 | |
| a | 1 | −1.839 | 0.492 | 0.812 | −0.437 | 0 | 0.195 | 0.013 | −0.189 | −0.049 |
| b | 0.007 | −0.003 | −0.003 | 0.001 | 0.003 | 0.172 | 0.008 | 0.118 | −0.089 | 0.026 |
| Consumption | Proposed1 | Proposed2 | Proposed3 |
|---|---|---|---|
| Power (mW) | 8.3 | 6.4 | 3.6 |
| Area (mm2) | 7.5 | 5.4 | 2.3 |
| This Work | [35] | [20] | [8] | |
|---|---|---|---|---|
| N. of channels | 1024 | 1 | 1 | 1 |
| Sensibility (TPR %) 1 | >80% | 70–95% | >80% | >80% |
| Adaptive Threshold | Y | N | Y | Y |
| Feature | ASO | NEO-ED/CM 2 | ASO | ED |
| Domain | Digital | Digital | Digital | Analog |
| Technology | CMOS 28 nm | FPGA-28 nm | Embedded | CMOS 180 nm |
| Power Density (µW/channel) | 3.6 | 460 × 103 | 120 | 5.1 |
| Area Density (mm2/channel) | 0.0022 | N. A | N. A | 0.0018 |
Publisher’s Note: MDPI stays neutral with regard to jurisdictional claims in published maps and institutional affiliations. |
© 2021 by the authors. Licensee MDPI, Basel, Switzerland. This article is an open access article distributed under the terms and conditions of the Creative Commons Attribution (CC BY) license (https://creativecommons.org/licenses/by/4.0/).
Share and Cite
Saggese, G.; Strollo, A.G.M. A Low Power 1024-Channels Spike Detector Using Latch-Based RAM for Real-Time Brain Silicon Interfaces. Electronics 2021, 10, 3068. https://doi.org/10.3390/electronics10243068
Saggese G, Strollo AGM. A Low Power 1024-Channels Spike Detector Using Latch-Based RAM for Real-Time Brain Silicon Interfaces. Electronics. 2021; 10(24):3068. https://doi.org/10.3390/electronics10243068
Chicago/Turabian StyleSaggese, Gerardo, and Antonio Giuseppe Maria Strollo. 2021. "A Low Power 1024-Channels Spike Detector Using Latch-Based RAM for Real-Time Brain Silicon Interfaces" Electronics 10, no. 24: 3068. https://doi.org/10.3390/electronics10243068
APA StyleSaggese, G., & Strollo, A. G. M. (2021). A Low Power 1024-Channels Spike Detector Using Latch-Based RAM for Real-Time Brain Silicon Interfaces. Electronics, 10(24), 3068. https://doi.org/10.3390/electronics10243068

