Enhancement of Radar Detection Accuracy Using H-Beam Wave Polarization in Random Media
Abstract
1. Introduction
2. Formulation
3. Numerical Results
3.1. RCS Using E-Plane Wave Incidence
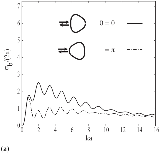
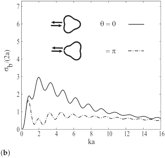
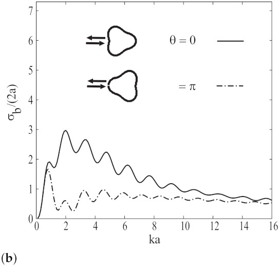
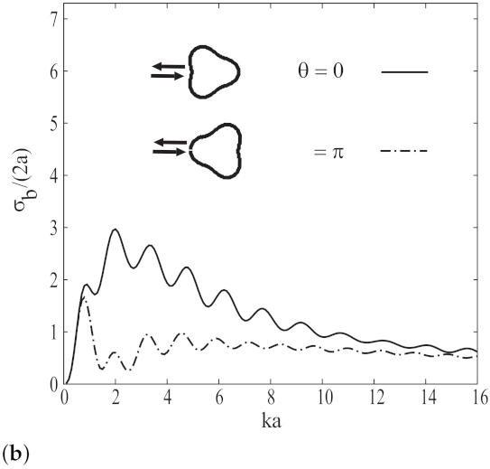
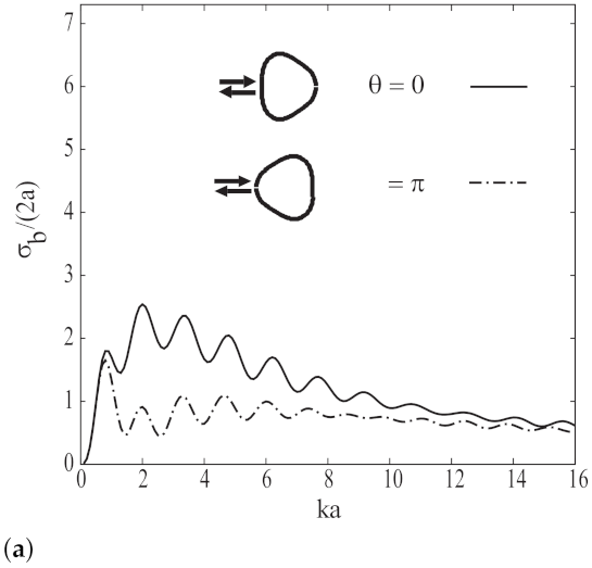
3.2. LRCS in Free Space
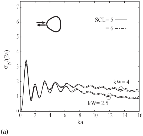
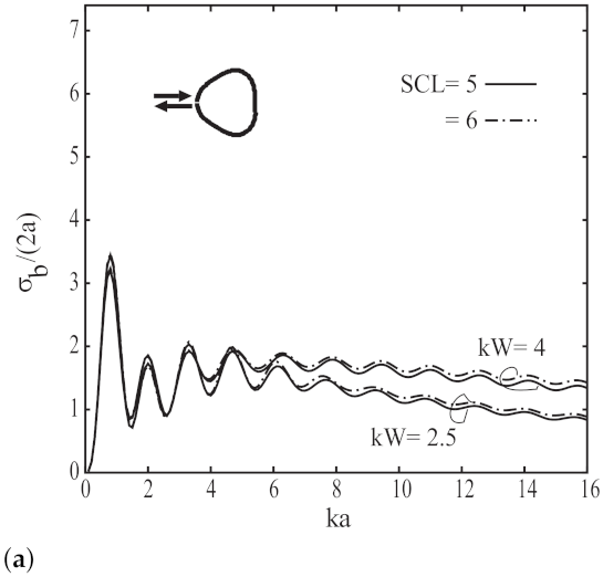
3.3. LRCS in a Random Medium
4. Conclusions
Funding
Conflicts of Interest
References
- Wang, Z.L.; Xu, F.; Jin, Y.Q.; Ogura, H. A double Kirchhoff approximation for very rough surface scattering using the stochastic functional approach. Radio Sci. 2005, 40, 1–10. [Google Scholar] [CrossRef]
- Xu, Z.-W.; Wu, J.; Wu, Z.-S.; Li, Q. Solution for the Fourth Moment Equation of Waves in Random Continuum Under Strong Fluctuations: General Theory and Plane Wave Solution. IEEE Trans. Antennas Propag. 2007, 6, 1613–1621. [Google Scholar] [CrossRef]
- Voronovich, A.G. A Method of a Tangent Cylinder in the Theory of Wave Scattering by Convex Surfaces. IEEE Trans. Antennas Propag. 2018, 66, 7515–7518. [Google Scholar] [CrossRef]
- Tateiba, M.; Meng, Z.Q. Wave scattering from conducting bodies in random media—Theory and numerical results. PIER 1996, 14, 317–361. [Google Scholar]
- Meng, Z.Q.; Tateiba, M. Radar cross sections of conducting elliptic cylinders embedded in strong continuous random media. Waves Random Media 1996, 6, 335–345. [Google Scholar] [CrossRef]
- El-Ocla, H.; Tateiba, M. An indirect estimate of RCS of conducting cylinder in random medium. IEEE Antennas Wirel. Propag. Lett. 2003, 2, 173–176. [Google Scholar] [CrossRef]
- Kravtsov, Y.A.; Saishev, A.I. Effects of double passage of waves in randomly inhomogeneous media. Sov. Phys. Usp. 1982, 25, 494–508. [Google Scholar] [CrossRef]
- Kerker, M. The Scattering of Light and Other Electromagnetic Radiation; Academic Press: New York, NY, USA, 1969. [Google Scholar]
- Sharkawy, M.A.; El-Ocla, H. Electromagnetic Scattering from 3D Targets in a Random Medium Using Finite Difference Frequency Domain. IEEE Trans. Antenna Propag. 2013, 61, 5621–5626. [Google Scholar] [CrossRef]
- El-Ocla, H.; Sharkawy, M.A. Using CGM and FDFD Techniques to Investigate the Radar Detection of Two-Dimensional Airplanes in Random Media for Beam Wave Incidence. IEEE Antenna Propag. Mag. 2014, 56, 91–100. [Google Scholar] [CrossRef]
- El-Ocla, H. Effect of illumination region of targets on waves scattering in random media with H-polarization. Waves Random Complex Media 2009, 19, 637–653. [Google Scholar] [CrossRef]
- Wyman, P.W. Definition of Laser Radar Cross Section. Appl. Opt. 1968, 7, 207. [Google Scholar] [CrossRef] [PubMed]
- Ishimaru, A. Backscattering enhancement: From radar cross sections to electron and light localizations to rough surface scattering. IEEE Antennas Propag. Mag. 1991, 33, 7–11. [Google Scholar] [CrossRef]
- Rumsey, V.H. Reaction concept in electromagnetic theory. Phys. Rev. 1954, 94, 1483–1491. [Google Scholar] [CrossRef]
- El-Ocla, H.; Tateiba, M. Backscattering enhancement for partially convex targets of large sizes in continuous random media for E-wave incidence. Waves Random Media 2002, 12, 387. [Google Scholar] [CrossRef][Green Version]
- El-Ocla, H. Calculation of Targets Laser RCS in Random Media for H-Wave Polarization. In Proceedings of the 2017 XXXIInd General Assembly and Scientific Symposium of the International Union of Radio Science (URSI GASS) 2017, Montreal, QC, Canada, 19–26 August 2017. [Google Scholar]
- Harbold, M.L.; Steinberg, B.N. Direct experimental verification of creeping waves. J. Acoust. Soc. Am. 1969, 45, 592–603. [Google Scholar] [CrossRef]
- El-Ocla, H. Targets Illumination Region Effect on Laser RCS in Random Media for H-Wave Polarization. In Proceedings of the IEEE Canadian Conference of Electrical and Computer Engineering, Edmonton, AB, Canada, 5–8 May 2019. [Google Scholar]
- Ikuno, H.; Felsen, L.B. Complex ray interpretation of reflection from concave-convex surface. IEEE Trans. Antennas Propag. 1988, 36, 1260–1271. [Google Scholar] [CrossRef]
- Ikuno, H.; Felsen, L.B. Complex rays in transient scattering from smooth targets with inflection points. IEEE Trans. Antennas Propag. 1988, 36, 1272–1280. [Google Scholar] [CrossRef]
- El-Ocla, H. Effect of H-wave Polarization on Laser Radar Detection of Partially Convex Targets in Random Media. J. Opt. Soc. Am. A 2010, 27, 1716–1722. [Google Scholar] [CrossRef] [PubMed]
- El-Ocla, H. Frequency Selection to Avoid Medium Effects on RCS of Conducting Objects with Plane E-Wave Polarization. Radio Sci. 2020, 55, 1–11. [Google Scholar] [CrossRef]









Publisher’s Note: MDPI stays neutral with regard to jurisdictional claims in published maps and institutional affiliations. |
© 2021 by the author. Licensee MDPI, Basel, Switzerland. This article is an open access article distributed under the terms and conditions of the Creative Commons Attribution (CC BY) license (https://creativecommons.org/licenses/by/4.0/).
Share and Cite
El-Ocla, H. Enhancement of Radar Detection Accuracy Using H-Beam Wave Polarization in Random Media. Electronics 2021, 10, 2804. https://doi.org/10.3390/electronics10222804
El-Ocla H. Enhancement of Radar Detection Accuracy Using H-Beam Wave Polarization in Random Media. Electronics. 2021; 10(22):2804. https://doi.org/10.3390/electronics10222804
Chicago/Turabian StyleEl-Ocla, Hosam. 2021. "Enhancement of Radar Detection Accuracy Using H-Beam Wave Polarization in Random Media" Electronics 10, no. 22: 2804. https://doi.org/10.3390/electronics10222804
APA StyleEl-Ocla, H. (2021). Enhancement of Radar Detection Accuracy Using H-Beam Wave Polarization in Random Media. Electronics, 10(22), 2804. https://doi.org/10.3390/electronics10222804