Epoxy-Based/BaMnO4 Nanodielectrics: Dielectric Response and Energy Storage Efficiency
Abstract
:1. Introduction
2. Materials and Methods
3. Results
3.1. Dielectric Characterization of BaMnO4 Nanocomposites
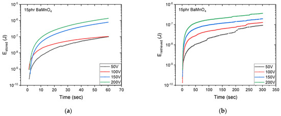
3.2. Energy Storage and Harvesting/Coefficient of Energy Efficiency
4. Discussion
5. Conclusions
Author Contributions
Funding
Data Availability Statement
Conflicts of Interest
References
- Chen, S.; Skordos, A.; Thakur, V. Functional nanocomposites for energy storage: Chemistry and new horizons. Mater. Today Chem. 2020, 17, 100304. [Google Scholar] [CrossRef]
- Simon, P.; Gogotsi, Y. Materials for electrochemical capacitors. Nanosci. Technol. 2009, 7, 320–329. [Google Scholar] [CrossRef] [Green Version]
- Cook, T.R.; Dogutan, D.K.; Reece, S.Y.; Surendranath, Y.; Teets, T.S.; Nocera, D.G. Solar Energy Supply and Storage for the Legacy and Nonlegacy Worlds. Chem. Rev. 2010, 110, 6474–6502. [Google Scholar] [CrossRef]
- Wang, G.; Zhang, L.; Zhang, J. A review of electrode materials for electrochemical supercapacitors. Chem. Soc. Rev. 2012, 41, 797–828. [Google Scholar] [CrossRef] [PubMed] [Green Version]
- Das, T.; Krishnan, V.K.; McCalley, J.D. Assessing the benefits and economics of bulk energy storage technologies in the power grid. Appl. Energy 2015, 139, 104–118. [Google Scholar] [CrossRef]
- Yang, C.; Wei, H.; Guan, L.; Guo, J.; Wang, Y.; Yan, X.; Zhang, X.; Wei, S.; Guo, Z. Polymer nanocomposites for energy storage, energy saving, and anticorrosion. J. Mater. Chem. A 2015, 3, 14929–14941. [Google Scholar] [CrossRef]
- Wang, Q.; Zhu, L. Polymer nanocomposites for electrical energy storage. J. Polym. Sci. Part B Polym. Phys. 2011, 49, 1421–1429. [Google Scholar] [CrossRef]
- Riggs, B.; Adireddy, S.; Rehm, C.H.; Puli, V.S.; Elupula, R.; Chrisey, D.B. Polymer Nanocomposites for Energy Storage Applications. Mater. Today Proc. 2015, 2, 3853–3863. [Google Scholar] [CrossRef]
- Manika, G.C.; Psarras, G. Barium titanate/epoxy resin composite nanodielectrics as compact capacitive energy storing systems. Express Polym. Lett. 2019, 13, 749–758. [Google Scholar] [CrossRef]
- Drakopoulos, S.X.; Patsidis, A.C.; Psarras, G.C. Epoxy-based/BaTiO3 nanodielectrics: Relaxation dynamics, charge transport and energy storage. Mater. Res. Bull. 2022, 145, 111537. [Google Scholar] [CrossRef]
- Patsidis, A.C. Barium titanate/polydimethylsiloxane nano/microcomposites fabrication, morphology, dielectric response and functionality. IET Nanodielectr. 2020, 3, 14–19. [Google Scholar] [CrossRef]
- Manika, G.C.; Psarras, G.C. SrTiO3/Epoxy Nanodielectrics as Bulk Energy Storage and Harvesting Systems: The Role of Conductivity. ACS Appl. Energy Mater. 2020, 3, 831–842. [Google Scholar] [CrossRef] [Green Version]
- Xie, Y.; Jiang, W.; Fu, T.; Liu, J.; Zhang, Z.; Wang, S. Achieving High Energy Density and Low Loss in PVDF/BST Nanodielectrics with Enhanced Structural Homogeneity. ACS Appl. Mater. Interfaces 2018, 10, 29038–29047. [Google Scholar] [CrossRef] [PubMed]
- Li, Q.; Chen, L.; Gadinski, M.R.; Zhang, S.; Zhang, G.; Li, H.U.; Iagodkine, E.; Haque, A.; Chen, L.-Q.; Jackson, T.N.; et al. Flexible high-temperature dielectric materials from polymer nanocomposites. Nat. Cell Biol. 2015, 523, 576–579. [Google Scholar] [CrossRef] [PubMed]
- Li, Q.; Zhang, G.; Liu, F.; Han, K.; Gadinski, M.R.; Xiong, C.; Wang, Q. Solution-processed ferroelectric terpolymer nanocomposites with high breakdown strength and energy density utilizing boron nitride nanosheets. Energy Environ. Sci. 2015, 8, 922–931. [Google Scholar] [CrossRef]
- Georgakilas, V.; Tiwari, J.N.; Kemp, K.; Perrnan, J.A.; Bourlinos, A.B.; Kim, K.S.; Zboril, R. Noncovalent Functionalization of Graphene and Graphene Oxide for Energy Materials, Biosensing, Catalytic, and Biomedical Applications. Chem. Rev. 2016, 116, 5464–5519. [Google Scholar] [CrossRef] [Green Version]
- Stavropoulos, S.; Sanida, A.; Psarras, G. Carbon Allotropes/Epoxy Nanocomposites as Capacitive Energy Storage/Harvesting Systems. Appl. Sci. 2021, 11, 7059. [Google Scholar] [CrossRef]
- Psarras, G.C. Nanodielectrics: An emerging sector of polymer nanocomposites. Express Polym. Lett. 2008, 2, 460–467. [Google Scholar] [CrossRef]
- Gibson, G. Epoxy Resins, Brydson’s Plastics Materials; Elsevier: Amsterdam, The Netherlands, 2017; pp. 773–797. [Google Scholar]
- Kavouras, P.; Dragatogiannis, D.A.; Batsouli, D.I.; Charitidis, C.A. Effect of local microstructure on the indentation induced damage of a fiber reinforced composite. Polym. Test. 2017, 61, 197–204. [Google Scholar] [CrossRef]
- Patsidis, A.C.; Psarras, G.C. Dielectric and Conductivity Studies of Epoxy Composites. In Epoxy Composites: Fabrication, Characterization and Applications, 1st ed.; Parameswaranpillai, J., Pulikkalparambil, H., Rangappa, S.M., Siengchin, S., Eds.; WILEY-VCH GmbH: Weinheim, Germany, 2021; pp. 299–348. ISBN 9783527824083. [Google Scholar]
- Fiedler, D.A.; Albering, J.H.; Besenhard, J.O. Characterization of strontium and barium manganates by abrasive stripping voltammetry. J. Solid State Electrochem. 1998, 2, 413–419. [Google Scholar] [CrossRef]
- Fatiadi, A.J. The classical permanganate ion: Still a novel oxidant in organic chemistry. Synthesis 1987, 2, 85–127. [Google Scholar] [CrossRef]
- Firouzabadi, H.; Mostafavi-Pour, Z. Barium Manganate. A Versatile Oxidant in Organic Synthesis. Bull. Chem. Soc. Jpn. 1983, 56, 914–917. [Google Scholar] [CrossRef] [Green Version]
- Licht, S.; Naschitz, V.; Ghosh, S. Silver Mediation of Fe(VI) Charge Transfer: Activation of the K2FeO4 Super-Iron Cathode. J. Phys. Chem. B 2002, 106, 5947–5955. [Google Scholar] [CrossRef]
- Licht, S. Chemistry of the Fe6+/B2− Super-Iron Boride Battery: An Overview of Primary Alkaline Fe6+ Cathodic Charge Storage Including the New B2− Anode. ECS Trans. 2007, 11, 187–214. [Google Scholar] [CrossRef]
- Stani, A.; Taucher-Mautner, W.; Kordesch, K.; Daniel-Ivad, J. Development of flat plate rechargeable alkaline manganese dioxide–zinc cells. J. Power Source 2006, 153, 405–412. [Google Scholar] [CrossRef]
- Manika, G.C.; Psarras, G.C. Energy storage and harvesting in BaTiO3/epoxy nanodielectrics. High Volt. 2016, 1, 151–157. [Google Scholar] [CrossRef]
- Manika, G.C. Polymer Matrix Composite Nanodielectrics as Compact Capacitive Energy Storage Systems. Ph.D. Thesis, University of Patras, Patras, Greece, 2019. [Google Scholar]
- Psarras, G.C.; Siengchin, S.; Karahaliou, P.K.; Georga, S.N.; Krontiras, C.A.; Karger-Kocsis, J. Dielectric relaxation phenomena and dynamics in polyoxymethylene/polyurethane/alumina hybrid nanocomposites. Polym. Int. 2011, 60, 1715–1721. [Google Scholar] [CrossRef]
- Von Hippel, A.R. Dielectrics and Waves; Artech House: Boston, MA, USA, 1995; p. 5. [Google Scholar]
- Psarras, G.C. Conductivity and Dielectric Characterization of Polymer Nanocomposites. In Polymer Nanocomposites: Physical Properties and Applications, 1st ed.; Tjong, S.C., Mai, Y.W., Eds.; Woodhead Publishing Limited: Cambridge, UK, 2010; pp. 31–69. ISBN 978-184569-672-6. [Google Scholar]
- Jonscher, A.K. Universal Relaxation Law, 1st ed.; Chelsea Dielectric Press: London, UK, 1992; pp. 254–257. [Google Scholar]
- Psarras, G.C. Dielectric polymer materials for high-density energy storage. In Fundamentals of Dielectric Theories, 1st ed.; Dang, Z.M., Ed.; Elsevier Inc.: Cambridge, UK, 2018; p. 11. ISBN 978-0-12-813215-9. [Google Scholar]
- Hao, X. A review on the dielectric materials for high energy-storage application. J. Adv. Dielectr. 2013, 3, 1330001. [Google Scholar] [CrossRef]
- Imanaka, Y.; Amada, H.; Kumasaka, F. Microstructure and Dielectric Properties of Composite Films for Embedded Capacitor Applications. Int. J. Appl. Ceram. Technol. 2011, 8, 653–657. [Google Scholar] [CrossRef]
- Sanida, A.; Stavropoulos, S.; Speliotis, T.; Psarras, G. Probing the magnetoelectric response and energy efficiency in Fe3O4/epoxy nanocomposites. Polym. Test. 2020, 88, 106560. [Google Scholar] [CrossRef]
- Vryonis, O.; Virtanen, S.T.H.; Andritsch, T.; Vaughan, A.S.; Lewin, P.L. Understanding the cross-linking reactions in highly oxidized graphene/epoxy nanocomposite systems. J. Mater. Sci. 2018, 54, 3035–3051. [Google Scholar] [CrossRef] [Green Version]
- Li, S.; Yin, G.; Bai, S.; Li, J. A new potential barrier model in epoxy resin nanodielectrics. IEEE Trans. Dielectr. Electr. Insul. 2011, 18, 1535–1543. [Google Scholar] [CrossRef]
- Drakopoulos, S.X.; Manika, G.C.; Nogales, A.; Kim, T.; Robbins, A.B.; Claudio, G.; Minnich, A.J.; Ezquerra, T.A.; Psarras, G.C.; Martin-Fabiani, I.; et al. Gold/ultra-high molecular weight polyethylene nanocomposites for electrical energy storage: Enhanced recovery efficiency upon uniaxial deformation. J. Appl. Polym. Sci. 2021, 138, 51232. [Google Scholar] [CrossRef]
- Dang, Z.-M.; Yuan, J.-K.; Yao, S.-H.; Liao, R.-J. Flexible Nanodielectric Materials with High Permittivity for Power Energy Storage. Adv. Mater. 2013, 25, 6334–6365. [Google Scholar] [CrossRef]
- Song, H.J.; Choi, Y.T.; Wereley, N.M. Energy harvesting devices using macro-fiber composite materials. J. Intell. Mater. Syst. Struct. 2010, 21, 647–658. [Google Scholar] [CrossRef]
- Dennison, J.; Brunson, J. Temperature and Electric Field Dependence of Conduction in Low-Density Polyethylene. IEEE Trans. Plasma Sci. 2008, 36, 2246–2252. [Google Scholar] [CrossRef] [Green Version]






| BaMnO4 Nanocomposites | Applied Voltage | |||
|---|---|---|---|---|
| 50 V | 100 V | 150 V (neff (rel)) | 200 V (neff (rel)) | |
| Neat | 0.512 | 0.241 | 0.206 (1.000) | 0.303 (1.000) |
| 1 phr | 0.434 | 0.380 | 0.724 (1.110 | 0.390 (0.613) |
| 3 phr | 0.480 | 0.984 | 0.238 (0.612) | 0.238 (0.650) |
| 5 phr | 0.991 | 0.397 | 0.640 (0.519) | 0.323 (0.566) |
| 7 phr | 0.338 | 0.277 | 0.325 (0.507) | 0.253 (0.839) |
| 10 phr | 0.375 | 0.362 | 0.319 (0.827) | 0.317 (0.884) |
| 15 phr | 0.417 | 0.429 | 0.347 (0.865) | 0.340 (0.921) |
Publisher’s Note: MDPI stays neutral with regard to jurisdictional claims in published maps and institutional affiliations. |
© 2021 by the authors. Licensee MDPI, Basel, Switzerland. This article is an open access article distributed under the terms and conditions of the Creative Commons Attribution (CC BY) license (https://creativecommons.org/licenses/by/4.0/).
Share and Cite
Batsouli, D.I.; Patsidis, A.C.; Psarras, G.C. Epoxy-Based/BaMnO4 Nanodielectrics: Dielectric Response and Energy Storage Efficiency. Electronics 2021, 10, 2803. https://doi.org/10.3390/electronics10222803
Batsouli DI, Patsidis AC, Psarras GC. Epoxy-Based/BaMnO4 Nanodielectrics: Dielectric Response and Energy Storage Efficiency. Electronics. 2021; 10(22):2803. https://doi.org/10.3390/electronics10222803
Chicago/Turabian StyleBatsouli, Despoina I., Anastasios C. Patsidis, and Georgios C. Psarras. 2021. "Epoxy-Based/BaMnO4 Nanodielectrics: Dielectric Response and Energy Storage Efficiency" Electronics 10, no. 22: 2803. https://doi.org/10.3390/electronics10222803
APA StyleBatsouli, D. I., Patsidis, A. C., & Psarras, G. C. (2021). Epoxy-Based/BaMnO4 Nanodielectrics: Dielectric Response and Energy Storage Efficiency. Electronics, 10(22), 2803. https://doi.org/10.3390/electronics10222803

