Use of Different Metal Oxide Coatings in Stainless Steel Based ECDs for Smart Textiles
Abstract
:1. Introduction
2. Materials and Methods
2.1. Coating and Electrolye Solutions
- The WO3 coating solution was prepared from 9.03 g of tungsten powder and 60 mL of 30% hydrogen peroxide. To this mixture, 2 mL of ethanol and 2 mL of acetone were added. After mixing for 5 min with a magnetic stirrer, 20 mL of distilled water and 240 mL of ethanol were added. After the mixture had cleared, 0.891 g of Pluronic-P123 was added and mixed until everything had dissolved [21].
- The V2O5 coating solution was prepared from 0.2998 g of NH4VO3, 0.6117 g citric acid and 10 mL distilled water. The solution was vigorously stirred for 2 h. Then, 40 mL of ethanol was added and stirred for an additional 2 h [22].
- The TiO2 coating solution was prepared by mixing 0.420 mL of acetic acid and 4 mL of isopropanol, which was stirred for 30 min. Then, 0.500 mL of titanium butoxide was added and mixed for 1 h. Finally, 0.4985 g of Pluronic-P123 was added and mixed for an additional 2 h [23].
- LiClO4 solution was prepared from 17.13 g of anhydrous LiClO4 powder dissolved in 50 mL of dimethyl sulfoxide. The solution was stirred with a magnetic stirrer at room temperature for 4 h [24].
2.2. Working Electrode Preparation
2.3. Counter-Electrode Preparation
2.4. Device Assembly
2.5. Characterization Methods
2.5.1. Chronoamperometry
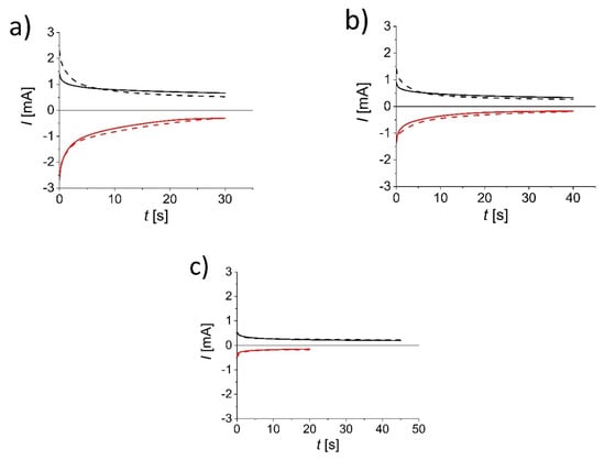
- WO3 device: +3.25 V for tinting and −3.5 V for bleaching, with each pulse lasting for 30 s.
- V2O5 device: +3.5 V for tinting and −3. 5 V for bleaching, with each pulse lasting for 40 s.
- TiO2 device: +3.25 V for tinting and −3.25 V for bleaching, with each tinting pulse lasting for 45 s and each bleaching pulse lasting for 20 s.
2.5.2. UV–Vis Reflectance Spectrophotometry
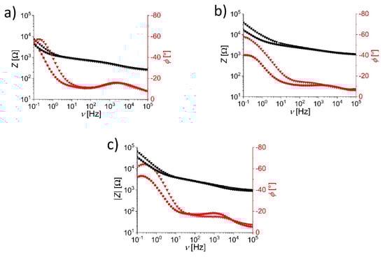
2.5.3. Electrochemical Impedance Spectroscopy (EIS)
2.5.4. Scanning Electron Microscopy (SEM)
3. Results and Discussion
3.1. SEM Investigation of Metal Oxide Thin Film–Stainless Steel Electrodes
3.2. Optical Characterization of ECDs
3.3. Electrochemical Characterization of ECDs
3.4. Chronoamperometry
4. Conclusions
Author Contributions
Funding
Data Availability Statement
Acknowledgments
Conflicts of Interest
References
- Monk, P.; Mortimer, R.; Rosseinsky, D. Electrochromism and Electrochromic Devices; Cambridge University Press (CUP): Cambridge, UK, 2007. [Google Scholar]
- Sakamoto, R.; Nishihara, H. Electrochromic and photochromic properties. In Comprehensive Inorganic Chemistry II, 2nd ed.; Reedijk, J., Poeppelmeier, K., Eds.; Elsevier: Amsterdam, The Netherlands, 2013; pp. 919–967. [Google Scholar]
- Monk, P.M.S. Electrochromism and electrochromic materials for displays. In Handbook of Advanced Electronic and Photonic Materials and Devices; Singh Nalwa, H., Ed.; Academic Press: Burlington, NJ, USA, 2001; pp. 105–159. [Google Scholar]
- Gélinas, B.; Das, D.; Rochefort, D. Air-Stable, Self-Bleaching Electrochromic Device Based on Viologen- and Ferrocene-Containing Triflimide Redox Ionic Liquids. ACS Appl. Mater. Interfaces 2017, 9, 28726–28736. [Google Scholar] [CrossRef]
- Wang, K.; Tao, K.; Jiang, R.; Zhang, H.; Liang, L.; Gao, J.; Cao, H. A Self-Bleaching Electrochromic Mirror Based on Metal Organic Frameworks. Materials 2021, 14, 2771. [Google Scholar] [CrossRef]
- Ming, S.; Lin, K.; Zhang, H.; Jiang, F.; Liu, P.; Xu, J.; Nie, G.; Duan, X. Electrochromic polymers with multiple redox couples applied to monitor energy storage states of supercapacitors. Chem. Commun. 2020, 56, 5275–5278. [Google Scholar] [CrossRef]
- Roy, S.; Chakraborty, C. Sub-second electrochromic switching and ultra-high coloration efficiency in halloysite nanoclay incorporated metallo-supramolecular polymer nano-hybrid based electrochromic device. Sol. Energy Mater. Sol. Cells 2020, 208, 110392. [Google Scholar] [CrossRef]
- Lv, X.; Zha, L.; Qian, L.; Xu, X.; Bi, Q.; Xu, Z.; Wright, D.S.; Zhang, C. Controllable fabrication of perylene bisimide self-assembled film and patterned all-solid-state electrochromic device. Chem. Eng. J. 2020, 386, 123939. [Google Scholar] [CrossRef]
- Svensson, J.; Granqvist, C. Electrochromic tungsten oxide films for energy efficient windows. Sol. Energy Mater. 1984, 11, 29–34. [Google Scholar] [CrossRef]
- Passerini, S.; Scrosati, B.; Gorenstein, A. The Intercalation of Lithium in Nickel Oxide and Its Electrochromic Properties. J. Electrochem. Soc. 1990, 137, 3297–3300. [Google Scholar] [CrossRef] [Green Version]
- Ghicov, A.; Tsuchiya, H.; Hahn, R.; Macak, J.; Muñoz, A.G.; Schmuki, P. TiO2 nanotubes: H+ insertion and strong electrochromic effects. Electrochem. Commun. 2006, 8, 528–532. [Google Scholar] [CrossRef]
- Dini, D.; Decker, F.; Masetti, E. A comparison of the electrochromic properties of WO3 films intercalated with H+, Li+ and Na+. J. Appl. Electrochem. 1996, 26, 647–653. [Google Scholar] [CrossRef]
- Rozman, M.; Gaberšček, M.; Marolt, G.; Bren, U.; Luksic, M. An inverted sandwich electrochromic device architecture does not require optically transparent electrodes. Adv. Mater. Technol. 2019, 4, 1900389. [Google Scholar] [CrossRef]
- Park, S.-I.; Quan, Y.-J.; Kim, S.-H.; Kim, H.; Kim, S.; Chun, D.-M.; Lee, C.S.; Taya, M.; Chu, W.-S.; Ahn, S.-H. A review on fabrication processes for electrochromic devices. Int. J. Precis. Eng. Manuf. Technol. 2016, 3, 397–421. [Google Scholar] [CrossRef]
- Kundu, S. Electrochromic Materials Used to Make Smart Glass in Airplane Windows Could Have Widespread Uses. Available online: https://www.forbes.com/sites/forbes-personal-shopper/2020/06/12/best-thermometers-available-for-purchase-online-right-now (accessed on 31 August 2016).
- Yang, P.; Sun, P.; Mai, W. Electrochromic energy storage devices. Mater. Today 2016, 19, 394–402. [Google Scholar] [CrossRef]
- Christie, R. Chromic materials for technical textile applications. In Advances in the Dyeing and Finishing of Technical Textiles; Elsevier: Amsterdam, The Netherlands, 2013; pp. 3–36. [Google Scholar]
- Rozman, M. Izdelava in Karakterizacija Elektrokemijskih Sistemov za Elektrokromne in Fotovoltaične Aplikacije Doc; Lukšič, M., Ed.; Univerza v Ljubljani: Ljubljana, Slovenia, 2017; p. 66. [Google Scholar]
- Rozman, M.; Žener, B.; Matoh, L.; Godec, R.F.; Mourtzikou, A.; Stathatos, E.; Bren, U.; Lukšič, M. Flexible electrochromic tape using steel foil with WO3 thin film. Electrochim. Acta 2020, 330, 135329. [Google Scholar] [CrossRef]
- Rozman, M.L.; Gaberšček, P.M. Jovanovič Elektrokromna Celica, Sestavljena iz Dveh Neprosojnih Elektrod ter Nosilca Elektrolita z Dodanim Elektrokromnim Barvilom. Patent SI 25127 a, 31 July 2017. [Google Scholar]
- Krašovec, U.O.; Orel, B.; Georg, A.; Wittwer, V. The gasochromic properties of sol–gel WO3 films with sputtered Pt catalyst. Sol. Energy 2000, 68, 541–551. [Google Scholar] [CrossRef]
- Livage, J.; Guzman, G.; Beteille, F.; Davidson, P. Optical properties of sol-gel derived vanadium oxide films. J. Sol.-Gel. Sci. Technol. 1997, 8, 857–865. [Google Scholar] [CrossRef]
- Stathatos, E.; Lianos, P.; Lavrencic-Stangar, U.; Orel, B. A High-Performance Solid-State Dye-Sensitized Photoelectrochemical Cell Employing a Nanocomposite Gel Electrolyte Made by the Sol–Gel Route. Adv. Mater. 2002, 14, 354–357. [Google Scholar] [CrossRef]
- Shibata, M.; Kawashita, K.-I.; Yosomiya, R.; Gongzheng, Z. Electrochromic properties of polypyrrole composite films in solid polymer electrolyte. Eur. Polym. J. 2001, 37, 915–919. [Google Scholar] [CrossRef]
- Puetz, J.; Aegerter, M.A. Dip coating technique. In Sol-Gel Technologies for Glass Producers and Users; Aegerter, M.A., Mennig, M., Eds.; Springer US: Boston, MA, USA, 2004; pp. 37–48. [Google Scholar]
- Greenwood, O.; Moulzolf, S.; Blau, P.; Lad, R. The influence of microstructure on tribological properties of WO3 thin films. Wear 1999, 232, 84–90. [Google Scholar] [CrossRef]
- Liu, Y.; Li, J.; Zhang, Q.; Zhou, N.; Uchaker, E.; Cao, G. Porous nanostructured V2O5 film electrode with excellent Li-ion intercalation properties. Electrochem. Commun. 2011, 13, 1276–1279. [Google Scholar] [CrossRef]
- Stathatos, E.; Choi, H.; Dionysiou, D.D. Simple Procedure of Making Room Temperature Mesoporous TiO2 Films with High Purity and Enhanced Photocatalytic Activity. Environ. Eng. Sci. 2007, 24, 13–20. [Google Scholar] [CrossRef]
- Rozman, M.; Cerar, J.; Lukšič, M.; Uršič, M.; Mourtzikou, A.; Spreizer, H.; Škofic, I.K.; Stathatos, E. Electrochromic properties of thin nanocrystalline TiO 2 films coated electrodes with adsorbed Co(II) or Fe(II) 2,2′-bipyridine complexes. Electrochim. Acta 2017, 238, 278–287. [Google Scholar] [CrossRef]
- Costa, C.; Pinheiro, C.; Henriques, I.; Laia, C. Electrochromic Properties of Inkjet Printed Vanadium Oxide Gel on Flexible Polyethylene Terephthalate/Indium Tin Oxide Electrodes. ACS Appl. Mater. Interfaces 2012, 4, 5266–5275. [Google Scholar] [CrossRef] [PubMed]
- Bernacka-Wojcik, I.; Wojcik, P.; Aguas, H.; Fortunato, E.; Martins, R. Inkjet printed highly porous TiO2 films for improved electrical properties of photoanode. J. Colloid Interface Sci. 2016, 465, 208–214. [Google Scholar] [CrossRef] [PubMed]
- Castro, Y.; Mosa, J.; Aparicio, M.; Pérez-Carrillo, L.A.; Vílchez, S.; Esquena, J.; Durán, A. Sol–gel hybrid membranes loaded with meso/macroporous SiO2, TiO2–P2O5 and SiO2–TiO2–P2O5 materials with high proton conductivity. Mater. Chem. Phys. 2015, 149, 686–694. [Google Scholar] [CrossRef]




Publisher’s Note: MDPI stays neutral with regard to jurisdictional claims in published maps and institutional affiliations. |
© 2021 by the authors. Licensee MDPI, Basel, Switzerland. This article is an open access article distributed under the terms and conditions of the Creative Commons Attribution (CC BY) license (https://creativecommons.org/licenses/by/4.0/).
Share and Cite
Rozman, M.; Cetin, N.; Bren, U.; Lukšič, M. Use of Different Metal Oxide Coatings in Stainless Steel Based ECDs for Smart Textiles. Electronics 2021, 10, 2529. https://doi.org/10.3390/electronics10202529
Rozman M, Cetin N, Bren U, Lukšič M. Use of Different Metal Oxide Coatings in Stainless Steel Based ECDs for Smart Textiles. Electronics. 2021; 10(20):2529. https://doi.org/10.3390/electronics10202529
Chicago/Turabian StyleRozman, Martin, Nikolina Cetin, Urban Bren, and Miha Lukšič. 2021. "Use of Different Metal Oxide Coatings in Stainless Steel Based ECDs for Smart Textiles" Electronics 10, no. 20: 2529. https://doi.org/10.3390/electronics10202529
APA StyleRozman, M., Cetin, N., Bren, U., & Lukšič, M. (2021). Use of Different Metal Oxide Coatings in Stainless Steel Based ECDs for Smart Textiles. Electronics, 10(20), 2529. https://doi.org/10.3390/electronics10202529

