Data-Driven Trajectory Prediction of Grid Power Frequency Based on Neural Models
Abstract
1. Introduction
2. Frequency Response Preliminaries
2.1. Frequency Response Preliminaries
2.2. Performance Metrics
- Nadir is the maximum dynamic frequency deviation following an active power disturbance/contingency [51].
- Nadir time is the associated time to the nadir occurrence.
2.3. Measurement Metrics
3. Test Systems
3.1. Nordic Test System
3.2. PMU Measurements
4. Neural Models
4.1. Nonlinear Auto-Regressive Model
4.2. Long Short Term Memory Model
5. Methodology
5.1. Horizon-Window Approach
5.2. Models Training
- (i)
- window size, according to the proportion employed for training,
- (ii)
- order of the model, represented by the number of lags or inputs in the model, and
- (iii)
- number of units or neurons in the hidden layer.
5.3. Prediction Validation
6. Results and Analysis
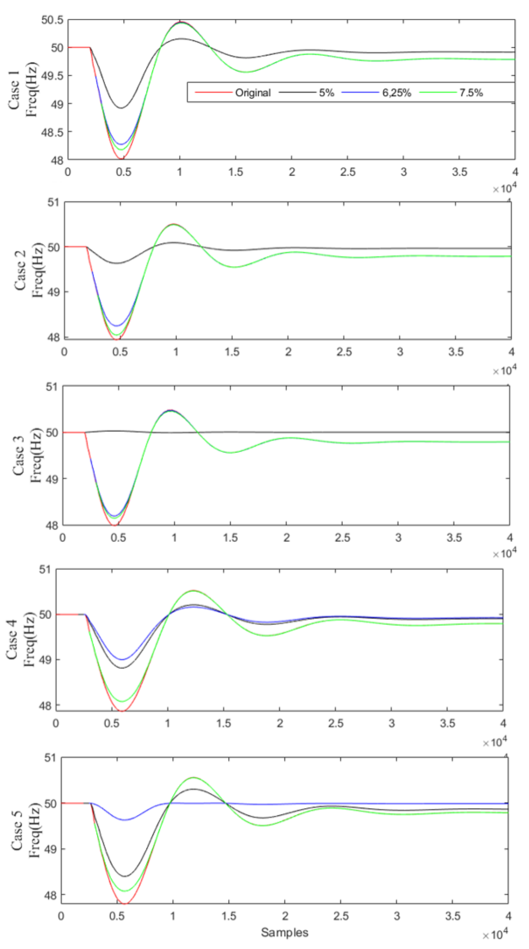
6.1. Non-Synchronous Generation Integration Cases
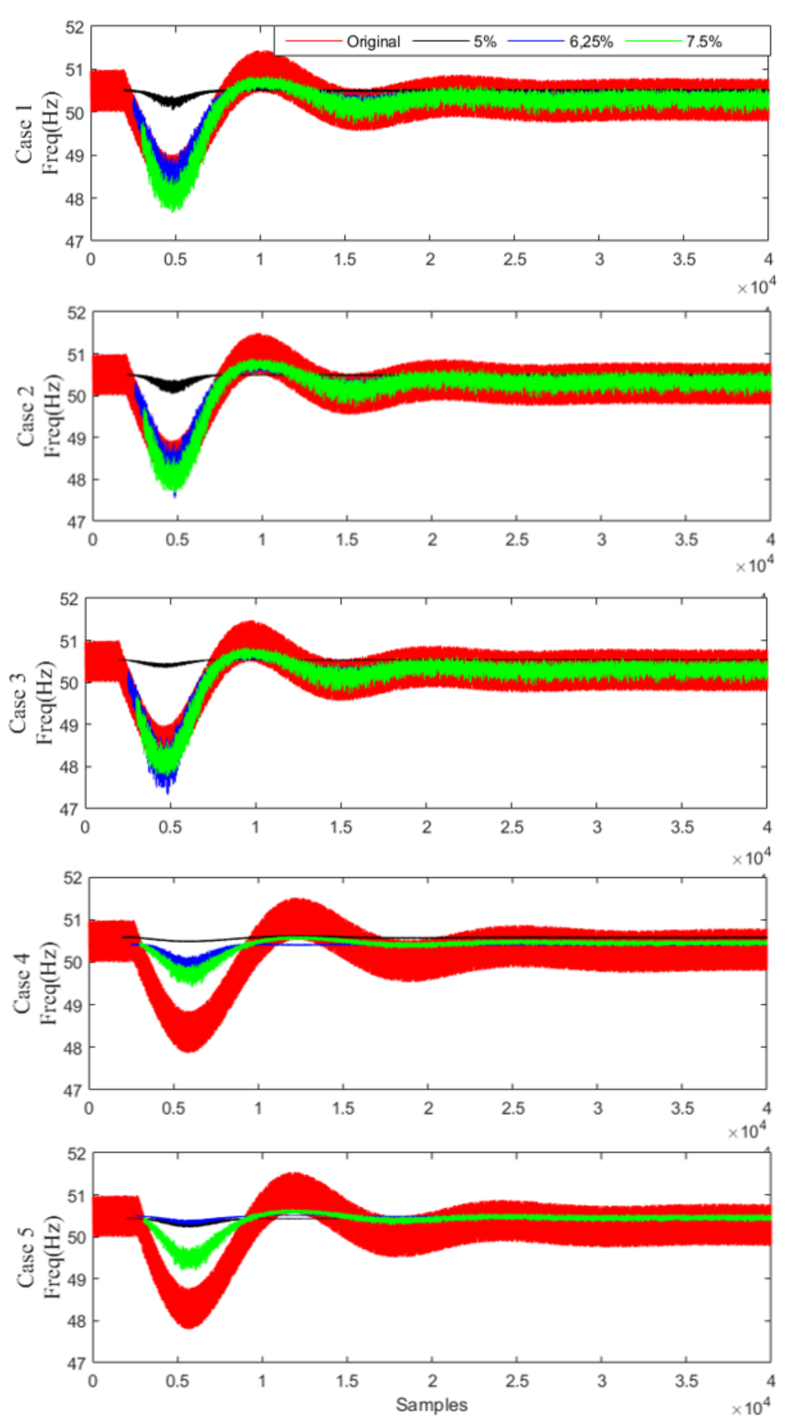
6.2. Non-Synchronous Generation Integration Cases: Noise Addition
6.3. PMU Measurement Cases
7. Discussion
8. Conclusions
Author Contributions
Funding
Conflicts of Interest
References
- Frankl, P. Energy System Debate: What Lies Ahead for the Future [In My View]. IEEE Power Energy Mag. 2018, 17, 100–198. [Google Scholar] [CrossRef]
- Miettinen, J.; Holttinen, H.; Ämmälä, J.; Piironen, M. Wind power forecasting at Transmission System Operator’s control room. In Proceedings of the 2015 IEEE Power Energy Society General Meeting, Denver, CO, USA, 26–30 July 2015; pp. 1–5. [Google Scholar]
- Gonzalez-Longatt, F.; Acosta, M.N.; Chamorro, H.R.; Topic, D. Short-term Kinetic Energy Forecast using a Structural Time Series Model: Study Case of Nordic Power System. In Proceedings of the 2020 International Conference on Smart Systems and Technologies (SST), Osijek, Croatia, 14–16 October 2020; pp. 173–178. [Google Scholar] [CrossRef]
- Kayedpour, N.; Samani, A.E.; De Kooning, J.D.M.; Vandevelde, L.; Crevecoeur, G. A Data-Driven Approach Using Deep Learning Time Series Prediction for Forecasting Power System Variables. In Proceedings of the 2019 IEEE 2nd International Conference on Renewable Energy and Power Engineering (REPE), Toronto, ON, Canada, 2–4 November 2019; pp. 43–47. [Google Scholar]
- van Waes, J.B.M.; van de Ploeg, P.J.; Fadriansyah, T.; de Graaff, S.A. Development of grid security forecasting processes at TenneT TSO B.V. In Proceedings of the 2015 IEEE Eindhoven PowerTech, Eindhoven, The Netherlands, 29 June–2 July 2015; pp. 1–6. [Google Scholar]
- Wang, Q.; Li, F.; Tang, Y.; Xu, Y. Integrating Model-Driven and Data-Driven Methods for Power System Frequency Stability Assessment and Control. IEEE Trans. Power Syst. 2019, 34, 4557–4568. [Google Scholar] [CrossRef]
- Raak, F.; Susuki, Y.; Hikihara, T.; Chamorro, H.R.; Ghandhari, M. Partitioning power grids via nonlinear Koopman Mode Analysis. In Proceedings of the ISGT 2014, Washington, DC, USA, 19–22 February 2014; pp. 1–5. [Google Scholar]
- Sharma, P.; Huang, B.; Ajjarapu, V.; Vaidya, U. Data-driven Identification and Prediction of Power System Dynamics Using Linear Operators. In Proceedings of the 2019 IEEE Power Energy Society General Meeting (PESGM), Atlanta, GA, USA, 4–8 August 2019; pp. 1–5. [Google Scholar]
- Kusiak, A.; Zhang, Z. Short-Horizon Prediction of Wind Power: A Data-Driven Approach. IEEE Trans. Energy Convers. 2010, 25, 1112–1122. [Google Scholar] [CrossRef]
- Yi, J.; Lin, W.; Hu, J.; Dai, J.; Zhou, X.; Tang, Y. An Integrated Model-Driven and Data-Driven Method for On-Line Prediction of Transient Stability of Power System With Wind Power Generation. IEEE Access 2020, 8, 83472–83482. [Google Scholar] [CrossRef]
- Oneto, L.; Laureri, F.; Robba, M.; Delfino, F.; Anguita, D. Data-Driven Photovoltaic Power Production Nowcasting and Forecasting for Polygeneration Microgrids. IEEE Syst. J. 2018, 12, 2842–2853. [Google Scholar] [CrossRef]
- Ma, J.; Tang, J.; Yan, Z.; Jiang, F.; Zeng, H.; Fang, C. Data-driven Power System Collapse Predicting Using Critical Slowing Down Indicators. In Proceedings of the 2018 International Conference on Power System Technology (POWERCON), Guangzhou, China, 6–8 November 2018; pp. 1879–1884. [Google Scholar]
- Xu, Y.; Qu, Z.; Harvey, R.; Namerikawa, T. Data-Driven Wide-Area Control Design of Power System Using the Passivity Shortage Framework. IEEE Trans. Power Syst. 2020, 1. Available online: https://ieeexplore.ieee.org/document/9141445 (accessed on 11 January 2021).
- Yan, Z.; Xu, Y. Data-Driven Load Frequency Control for Stochastic Power Systems: A Deep Reinforcement Learning Method With Continuous Action Search. IEEE Trans. Power Syst. 2019, 34, 1653–1656. [Google Scholar] [CrossRef]
- Hou, Q.; Du, E.; Zhang, N.; Kang, C. Impact of High Renewable Penetration on the Power System Operation Mode: A Data-Driven Approach. IEEE Trans. Power Syst. 2020, 35, 731–741. [Google Scholar] [CrossRef]
- Aggarwal, R.; Yonghua Song. Artificial neural networks in power systems. III. Examples of applications in power systems. Power Eng. J. 1998, 12, 279–287. [Google Scholar] [CrossRef]
- Sun, Y.; Li, Z.; Yu, X.; Li, B.; Yang, M. Research on Ultra-Short-Term Wind Power Prediction Considering Source Relevance. IEEE Access 2020, 8, 147703–147710. [Google Scholar] [CrossRef]
- Raza, M.Q.; Mithulananthan, N.; Li, J.; Lee, K.Y.; Gooi, H.B. An Ensemble Framework for Day-Ahead Forecast of PV Output Power in Smart Grids. IEEE Trans. Ind. Inform. 2019, 15, 4624–4634. [Google Scholar] [CrossRef]
- Baltas, G.N.; Chamorro, H.R.; Gonzalez-Longatt, F.; Rodriguez, P. Coherency Groups Analysis based on Self Organizing Maps. In Proceedings of the 2019 IEEE Power Energy Society General Meeting (PESGM), Atlanta, GA, USA, 4–8 August 2019; pp. 1–5. [Google Scholar]
- Schmitt, A.; Lee, B. Steady-state inertia estimation using a neural network approach with modal information. In Proceedings of the 2017 IEEE Power Energy Society General Meeting, Chicago, IL, USA, 16–20 July 2017; pp. 1–5. [Google Scholar]
- Zhang, L.; Wang, G.; Giannakis, G.B. Real-Time Power System State Estimation and Forecasting via Deep Unrolled Neural Networks. IEEE Trans. Signal Process. 2019, 67, 4069–4077. [Google Scholar] [CrossRef]
- Rivero, C.R.; Pucheta, J.; Otaño, P.; Orjuela-Cañon, A.D.; Patiño, D.; Franco, L.; Gorrostieta, E.; Puglisi, J.L.; Juarez, G. Time Series Forecasting using Recurrent Neural Networks modified by Bayesian Inference in the Learning Process. In Proceedings of the 2019 IEEE Colombian Conference on Applications in Computational Intelligence (ColCACI), Barranquilla, Colombia, 5–7 June 2019; pp. 1–6. [Google Scholar]
- Qi, M.; Zhang, G.P. Trend Time–Series Modeling and Forecasting With Neural Networks. IEEE Trans. Neural Netw. 2008, 19, 808–816. [Google Scholar] [PubMed]
- Yu, Z.; Niu, Z.; Tang, W.; Wu, Q. Deep Learning for Daily Peak Load Forecasting—A Novel Gated Recurrent Neural Network Combining Dynamic Time Warping. IEEE Access 2019, 7, 17184–17194. [Google Scholar] [CrossRef]
- Vaitheeswaran, S.S.; Ventrapragada, V.R. Wind Power Pattern Prediction in time series measuremnt data for wind energy prediction modelling using LSTM-GA networks. In Proceedings of the 2019 10th International Conference on Computing, Communication and Networking Technologies (ICCCNT), Kanpur, India, 6–8 July 2019; pp. 1–5. [Google Scholar]
- Orjuela-Cañón, A.D.; Hernández, J.; Rivero, C.R. Very short term forecasting in global solar irradiance using linear and nonlinear models. In Proceedings of the 2017 IEEE Workshop on Power Electronics and Power Quality Applications (PEPQA), Bogota, Colombia, 31 May–2 June 2017; pp. 1–5. [Google Scholar]
- Zhuang, L.; Liu, H.; Zhu, J.; Wang, S.; Song, Y. Comparison of forecasting methods for power system short-term load forecasting based on neural networks. In Proceedings of the 2016 IEEE International Conference on Information and Automation (ICIA), Ningbo, China, 1–3 August 2016; pp. 114–119. [Google Scholar]
- Nespoli, A.; Ogliari, E.; Leva, S.; Massi Pavan, A.; Mellit, A.; Lughi, V.; Dolara, A. Day-ahead photovoltaic forecasting: A comparison of the most effective techniques. Energies 2019, 12, 1621. [Google Scholar] [CrossRef]
- Mujcinagic, A.; Kusljugic, M.; Osmic, J. Frequency Response Metrics of an Interconnected Power System. In Proceedings of the 2019 54th International Universities Power Engineering Conference (UPEC), Bucharest, Romania, 3–6 September 2019; pp. 1–5. [Google Scholar]
- Quiroz, J.; Chavez, H. Towards On-line PMU-based Model Calibration for Look-ahead Frequency Analysis. In Proceedings of the 2019 IEEE Milan PowerTech, Milan, Italy, 23–27 June 2019; pp. 1–5. [Google Scholar]
- Schäfer, B.; Beck, C.; Aihara, K.; Witthaut, D.; Timme, M. Non-Gaussian Power Grid Frequency Fluctuations Characterized by Lévy-Stable Laws and Superstatistics. Nat. Energy 2018, 3, 119–126. [Google Scholar] [CrossRef]
- Rudez, U.; Mihalic, R. A novel approach to underfrequency load shedding. Electr. Power Syst. Res. 2011, 81, 636–643. [Google Scholar] [CrossRef]
- Wang, W.; Yao, W.; Chen, C.; Deng, X.; Liu, Y. Fast and Accurate Frequency Response Estimation for Large Power System Disturbances Using Second Derivative of Frequency Data. IEEE Trans. Power Syst. 2020, 35, 2483–2486. [Google Scholar] [CrossRef]
- Bolzoni, A.; Todd, R.; Forsyth, A.; Perini, R. Real-time Auto-regressive Modelling of Electric Power Network Frequency. In Proceedings of the IECON 2019—45th Annual Conference of the IEEE Industrial Electronics Society, Lisbon, Portugal, 14–17 October 2019; Volume 1, pp. 515–520. [Google Scholar]
- Lin, J.; Zhang, Y.; Liu, J.; Wang, X.; Tian, F.; Shi, D. A Physical-Data Combined Power Grid Dynamic Frequency Prediction Methodology Based on Adaptive Neuro-Fuzzy Inference System. In Proceedings of the 2018 International Conference on Power System Technology (POWERCON), Guangzhou, China, 6–8 November 2018; pp. 4390–4397. [Google Scholar]
- Liu, L.; Li, W.; Ba, Y.; Shen, J.; Jin, C.; Wen, K. An Analytical Model for Frequency Nadir Prediction Following a Major Disturbance. IEEE Trans. Power Syst. 2020, 35, 2527–2536. [Google Scholar] [CrossRef]
- Djukanovic, M.B.; Popovic, D.P.; Sobajic, D.J.; Pao, Y. Prediction of power system frequency response after generator outages using neural nets. IEE Proc. C Gener. Transm. Distrib. 1993, 140, 389–398. [Google Scholar] [CrossRef]
- Mitchell, M.A.; Lopes, J.A.P.; Fidalgo, J.N.; McCalley, J.D. Using a neural network to predict the dynamic frequency response of a power system to an under-frequency load shedding scenario. In Proceedings of the 2000 Power Engineering Society Summer Meeting (Cat. No. 00CH37134), Seattle, WA, USA, 16–20 July 2000; Volume 1, pp. 346–351. [Google Scholar]
- Gupta, M.; Srivastava, S.; Gupta, J.R.P. Power System Frequency Estimation Using Neural Network and Genetic Algorithm. In Proceedings of the 2008 Joint International Conference on Power System Technology and IEEE Power India Conference, New Delhi, India, 12–15 October 2008; pp. 1–5. [Google Scholar]
- Chassin, D.P.; Huang, Z.; Donnelly, M.K.; Hassler, C.; Ramirez, E.; Ray, C. Estimation of WECC system inertia using observed frequency transients. IEEE Trans. Power Syst. 2005, 20, 1190–1192. [Google Scholar] [CrossRef]
- Porretta, B.; Porretta, S. Calculation of power systems inertia and frequency response. In Proceedings of the 2018 IEEE Texas Power and Energy Conference (TPEC), College Station, TX, USA, 8–9 February 2018; pp. 1–6. [Google Scholar] [CrossRef]
- Nilsson, M.; Söder, L.; Yuan, Z. Estimation of Power system frequency response based on measured simulated frequencies. In Proceedings of the 2016 IEEE Power and Energy Society General Meeting (PESGM), Boston, MA, USA, 17–21 July 2016; pp. 1–5. [Google Scholar]
- Tripathi, S.; De, S. Dynamic Prediction of Powerline Frequency for Wide Area Monitoring and Control. IEEE Trans. Ind. Inform. 2018, 14, 2837–2846. [Google Scholar] [CrossRef]
- Ashton, P.M.; Taylor, G.A.; Carter, A.M.; Bradley, M.E.; Hung, W. Application of phasor measurement units to estimate power system inertial frequency response. In Proceedings of the 2013 IEEE Power Energy Society General Meeting, Vancouver, BC, Canada, 21–25 July 2013; pp. 1–5. [Google Scholar]
- Xiao, Y.; Zhao, R.; Wen, Y. Deep Learning for Predicting the Operation of Under-Frequency Load Shedding Systems. In Proceedings of the 2019 IEEE Innovative Smart Grid Technologies—Asia (ISGT Asia), Chengdu, China, 21–24 May 2019; pp. 4142–4147. [Google Scholar]
- Zhao, J.; Mili, L.; Milano, F. Robust Frequency Divider for Power System Online Monitoring and Control. IEEE Trans. Power Syst. 2018, 33, 4414–4423. [Google Scholar] [CrossRef]
- Wu, X.; Lan, Q.; Li, Z.; Zhuang, K.; Miao, Y.; Li, W. Frequency characteristics of East China Power Grid after bipolar locking of ultra-high voltage direct current (UHVDC). J. Eng. 2017, 2017, 1237–1241. [Google Scholar] [CrossRef]
- Ganger, D.; Zhang, J.; Vittal, V. Forecast-Based Anticipatory Frequency Control in Power Systems. IEEE Trans. Power Syst. 2018, 33, 1004–1012. [Google Scholar] [CrossRef]
- Polajžer, B.; Dolinar, D.; Ritonja, J. Correlation-based estimation of area’s frequency response characteristic during large disturbances. In Proceedings of the 2016 IEEE International Energy Conference (ENERGYCON), Leuven, Belgium, 4–8 April 2016; pp. 1–5. [Google Scholar] [CrossRef]
- Chamorro, H.R.; Orjuela-Cañón, A.D.; Ganger, D.; Persson, M.; Gonzalez-Longatt, F.; Sood, V.K.; Martinez, W. Nadir Frequency Estimation in Low-Inertia Power Systems. In Proceedings of the 2020 IEEE 29th International Symposium on Industrial Electronics (ISIE), Delft, The Netherlands, 17–19 June 2020; pp. 918–922. [Google Scholar]
- Farrokhseresht, N.; Chávez, H.; Hesamzadeh, M.R. Economic impact of wind integration on Primary Frequency Response. In Proceedings of the 2015 IEEE Eindhoven PowerTech, Eindhoven, The The Netherlands, 29 June–2 July 2015; pp. 1–6. [Google Scholar]
- Chamorro, H.R.; Ordonez, C.A.; Peng, J.C.; Ghandhari, M. Non-synchronous generation impact on power systems coherency. IET Gener. Transm. Distrib. 2016, 10, 2443–2453. [Google Scholar] [CrossRef]
- Persson, M.; Chen, P. Frequency evaluation of the Nordic power system using PMU measurements. IET Gener. Transm. Distrib. 2017, 11, 2879–2887. [Google Scholar] [CrossRef]
- IEEE Standard Association. IEEE Standard for Synchrophasor Measurements for Power Systems. 2011. Available online: https://ieeexplore.ieee.org/document/6111219 (accessed on 11 January 2021).
- Haykin, S. Neural Networks and Learning Machines; Number v. 10 in Neural networks and Learning Machines; Prentice Hall: Upper Saddle River, NJ, USA, 2009. [Google Scholar]
- Triebe, O.; Laptev, N.; Rajagopal, R. AR-Net: A simple Auto-Regressive Neural Network for time-series. arXiv 2019, arXiv:1911.12436. [Google Scholar]
- Zhao, Y.; Ye, L.; Pinson, P.; Tang, Y.; Lu, P. Correlation-constrained and sparsity-controlled vector autoregressive model for spatio-temporal wind power forecasting. IEEE Trans. Power Syst. 2018, 33, 5029–5040. [Google Scholar] [CrossRef]
- Hewamalage, H.; Bergmeir, C.; Bandara, K. Recurrent neural networks for time series forecasting: Current status and future directions. Int. J. Forecast. 2021, 37, 388–427. [Google Scholar] [CrossRef]
- Hua, Y.; Zhao, Z.; Li, R.; Chen, X.; Liu, Z.; Zhang, H. Deep Learning with Long Short-Term Memory for Time Series Prediction. IEEE Commun. Mag. 2019, 57, 114–119. [Google Scholar] [CrossRef]
- Greff, K.; Srivastava, R.K.; Koutník, J.; Steunebrink, B.R.; Schmidhuber, J. LSTM: A search space odyssey. IEEE Trans. Neural Netw. Learn. Syst. 2016, 28, 2222–2232. [Google Scholar] [CrossRef] [PubMed]
- Li, J.; Chen, H.; Zhou, T.; Li, X. Tailings Pond Risk Prediction Using Long Short-Term Memory Networks. IEEE Access 2019, 7, 182527–182537. [Google Scholar] [CrossRef]
- Zhang, Y.; Xin, D. Dynamic Optimization Long Short-Term Memory Model Based on Data Preprocessing for Short-Term Traffic Flow Prediction. IEEE Access 2020, 8, 91510–91520. [Google Scholar] [CrossRef]
- Zaytar, M.A.; El Amrani, C. Sequence to sequence weather forecasting with long short-term memory recurrent neural networks. Int. J. Comput. Appl. 2016, 143, 7–11. [Google Scholar]
- Bergmeir, C.; Hyndman, R.J.; Koo, B. A note on the validity of cross-validation for evaluating autoregressive time series prediction. Comput. Stat. Data Anal. 2018, 120, 70–83. [Google Scholar] [CrossRef]
- Farrokhseresht, N.; Oréstica, H.C.; Hesamzadeh, M.R. Determination of acceptable inertia limit for ensuring adequacy under high levels of wind integration. In Proceedings of the 11th International Conference on the European Energy Market (EEM14), Krakow, Poland, 28–30 May 2014; pp. 1–5. [Google Scholar]
- Sánchez, F.; Gonzalez-Longatt, F.; Rueda, J.L. Security Assessment of System Frequency Response. In Proceedings of the 2019 IEEE Power Energy Society General Meeting (PESGM), Atlanta, GA, USA, 4–8 August 2019; pp. 1–5. [Google Scholar]
- Zhou, M.; Yan, J.; Feng, D. Digital twin framework and its application to power grid online analysis. CSEE J. Power Energy Syst. 2019, 5, 391–398. [Google Scholar]
- Xie, X.; Parlikad, A.K.; Puri, R.S. A Neural Ordinary Differential Equations Based Approach for Demand Forecasting within Power Grid Digital Twins. In Proceedings of the 2019 IEEE International Conference on Communications, Control, and Computing Technologies for Smart Grids (SmartGridComm), Beijing, China, 21–23 October 2019; pp. 1–6. [Google Scholar]
- Carvalho, T.P.; Soares, F.A.; Vita, R.; Francisco, R.d.P.; Basto, J.P.; Alcalá, S.G. A systematic literature review of machine learning methods applied to predictive maintenance. Comput. Ind. Eng. 2019, 137, 106024. [Google Scholar] [CrossRef]
- Cheng, L.; Yu, T. A new generation of AI: A review and perspective on machine learning technologies applied to smart energy and electric power systems. Int. J. Energy Res. 2019, 43, 1928–1973. [Google Scholar] [CrossRef]
- Siami-Namini, S.; Tavakoli, N.; Namin, A.S. A comparison of ARIMA and LSTM in forecasting time series. In Proceedings of the 2018 17th IEEE International Conference on Machine Learning and Applications (ICMLA), Orlando, FL, USA, 17–20 December 2018; pp. 1394–1401. [Google Scholar]
- Temür, A.S.; Akgün, M.; Temür, G. Predicting housing sales in Turkey using ARIMA, LSTM and hybrid models. J. Bus. Econ. Manag. 2019, 20, 920–938. [Google Scholar] [CrossRef]
- Mpawenimana, I.; Pegatoquet, A.; Roy, V.; Rodriguez, L.; Belleudy, C. A comparative study of LSTM and ARIMA for energy load prediction with enhanced data preprocessing. In Proceedings of the 2020 IEEE Sensors Applications Symposium (SAS), Kuala Lumpur, Malaysia, 9–11 March 2020; pp. 1–6. [Google Scholar]
- Babich, L.; Svalov, D.; Smirnov, A.; Babich, M. Industrial power consumption forecasting methods comparison. In Proceedings of the 2019 Ural Symposium on Biomedical Engineering, Radioelectronics and Information Technology (USBEREIT), Yekaterinburg, Russia, 25–26 April 2019; pp. 307–309. [Google Scholar]
- Dougan, E. Analysis and Comparison of LSTM Short-Term Traffic Prediction Performance. Available online: https://trid.trb.org/view/1736396 (accessed on 11 January 2021).
- Roman, R.C.; Precup, R.E.; Petriu, E.M. Hybrid data-driven fuzzy active disturbance rejection control for tower crane systems. Eur. J. Control. 2020. Available online: https://www.sciencedirect.com/science/article/abs/pii/S0947358020301667 (accessed on 11 January 2021). [CrossRef]
- Zhu, Z.; Pan, Y.; Zhou, Q.; Lu, C. Event-Triggered Adaptive Fuzzy Control for Stochastic Nonlinear Systems with Unmeasured States and Unknown Backlash-Like Hysteresis. IEEE Trans. Fuzzy Syst. 2020, p. 1. Available online: https://ieeexplore.ieee.org/abstract/document/8998163 (accessed on 11 January 2021). [CrossRef]
- Sayghe, A.; Hu, Y.; Zografopoulos, I.; Liu, X.; Dutta, R.G.; Jin, Y.; Konstantinou, C. Survey of machine learning methods for detecting false data injection attacks in power systems. IET Smart Grid 2020, 3, 581–595. [Google Scholar] [CrossRef]
- Wang, L.; Yang, D.; Cai, G.; Ma, J.; Tian, J.; Wang, B. Synchronised ambient data-driven electromechanical oscillation modes extraction for interconnected power systems using the output-only observer/Kalman filter identification method. IET Gener. Transm. Distrib. 2020, 14, 4000–4009. [Google Scholar] [CrossRef]
- Chamorro, H.R.; Ordonez, C.A.; Peng, J.C.; Gonzalez-Longatt, F.; Sood, V.K.; Sharaf, A.M. Impact of non-synchronous generation on transmission oscillations paths. In Proceedings of the 2018 IEEE Texas Power and Energy Conference (TPEC), College Station, TX, USA, 8–9 February 2018; pp. 1–6. [Google Scholar] [CrossRef]
















| Case | |||||
| Generator | |||||
| Bus | 1043 | 4051 | 4062 | 4042 | 1042 |
| Power (MW)% | 9 | 13 | 15 |
| Proportions | Simulated Cases | PMU Data |
|---|---|---|
| 1 | 5% | 18% |
| 2 | 6.25% | 20% |
| 3 | 7.5% | 22% |
Publisher’s Note: MDPI stays neutral with regard to jurisdictional claims in published maps and institutional affiliations. |
© 2021 by the authors. Licensee MDPI, Basel, Switzerland. This article is an open access article distributed under the terms and conditions of the Creative Commons Attribution (CC BY) license (http://creativecommons.org/licenses/by/4.0/).
Share and Cite
Chamorro, H.R.; Orjuela-Cañón, A.D.; Ganger, D.; Persson, M.; Gonzalez-Longatt, F.; Alvarado-Barrios, L.; Sood, V.K.; Martinez, W. Data-Driven Trajectory Prediction of Grid Power Frequency Based on Neural Models. Electronics 2021, 10, 151. https://doi.org/10.3390/electronics10020151
Chamorro HR, Orjuela-Cañón AD, Ganger D, Persson M, Gonzalez-Longatt F, Alvarado-Barrios L, Sood VK, Martinez W. Data-Driven Trajectory Prediction of Grid Power Frequency Based on Neural Models. Electronics. 2021; 10(2):151. https://doi.org/10.3390/electronics10020151
Chicago/Turabian StyleChamorro, Harold R., Alvaro D. Orjuela-Cañón, David Ganger, Mattias Persson, Francisco Gonzalez-Longatt, Lazaro Alvarado-Barrios, Vijay K. Sood, and Wilmar Martinez. 2021. "Data-Driven Trajectory Prediction of Grid Power Frequency Based on Neural Models" Electronics 10, no. 2: 151. https://doi.org/10.3390/electronics10020151
APA StyleChamorro, H. R., Orjuela-Cañón, A. D., Ganger, D., Persson, M., Gonzalez-Longatt, F., Alvarado-Barrios, L., Sood, V. K., & Martinez, W. (2021). Data-Driven Trajectory Prediction of Grid Power Frequency Based on Neural Models. Electronics, 10(2), 151. https://doi.org/10.3390/electronics10020151

