Design and Performance Analysis of a Multi-Carrier M-Ary DCSK System with Multilevel Code-Shifted Modulation Based on Fractional-Order Chaos
Abstract
:1. Introduction
2. System Model of MC-MDCSK-MCS
2.1. Generator of Fractional-Order Chaotic Signals
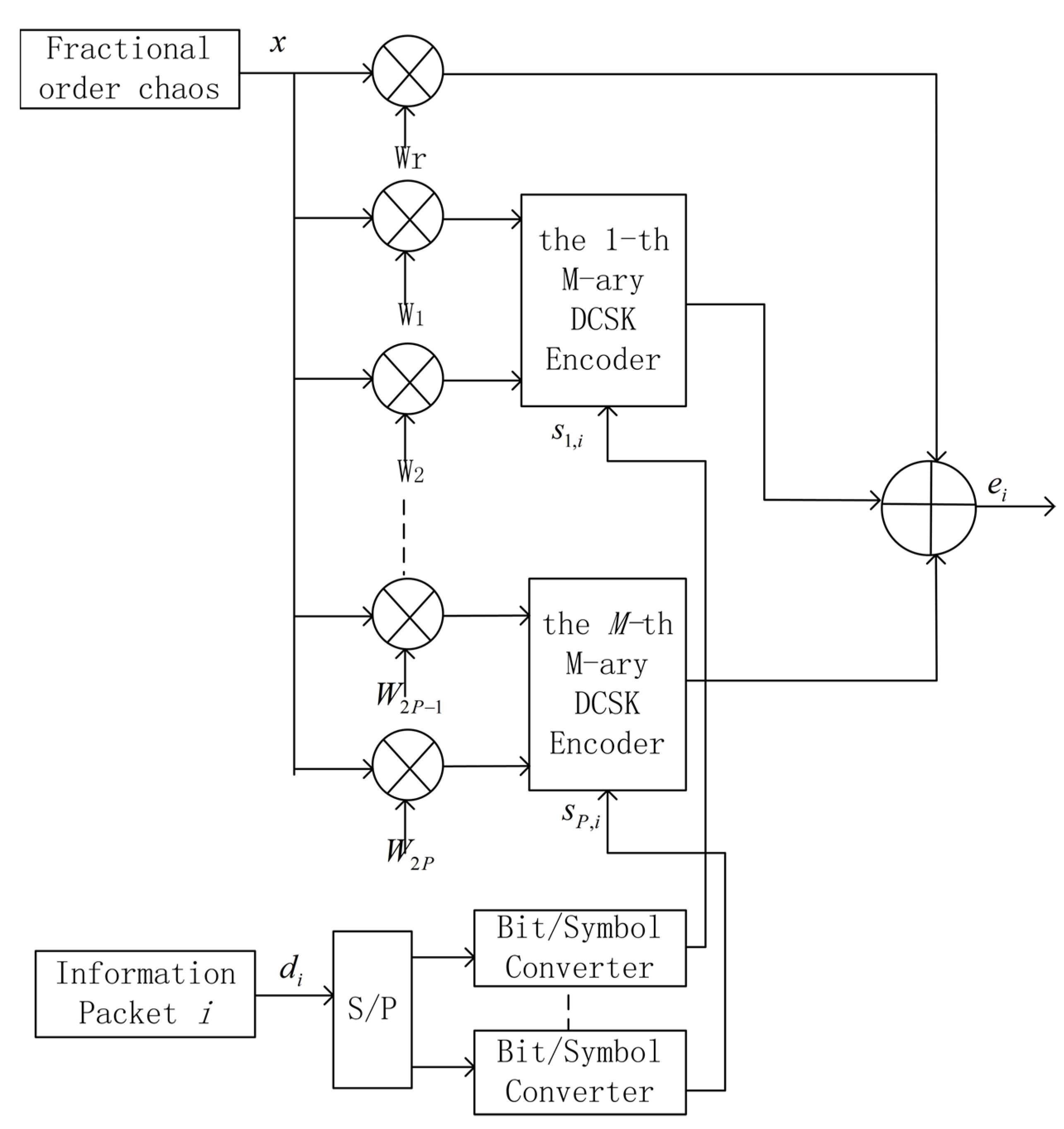
2.2. Transmitter
2.3. Receiver
3. Performance Analysis
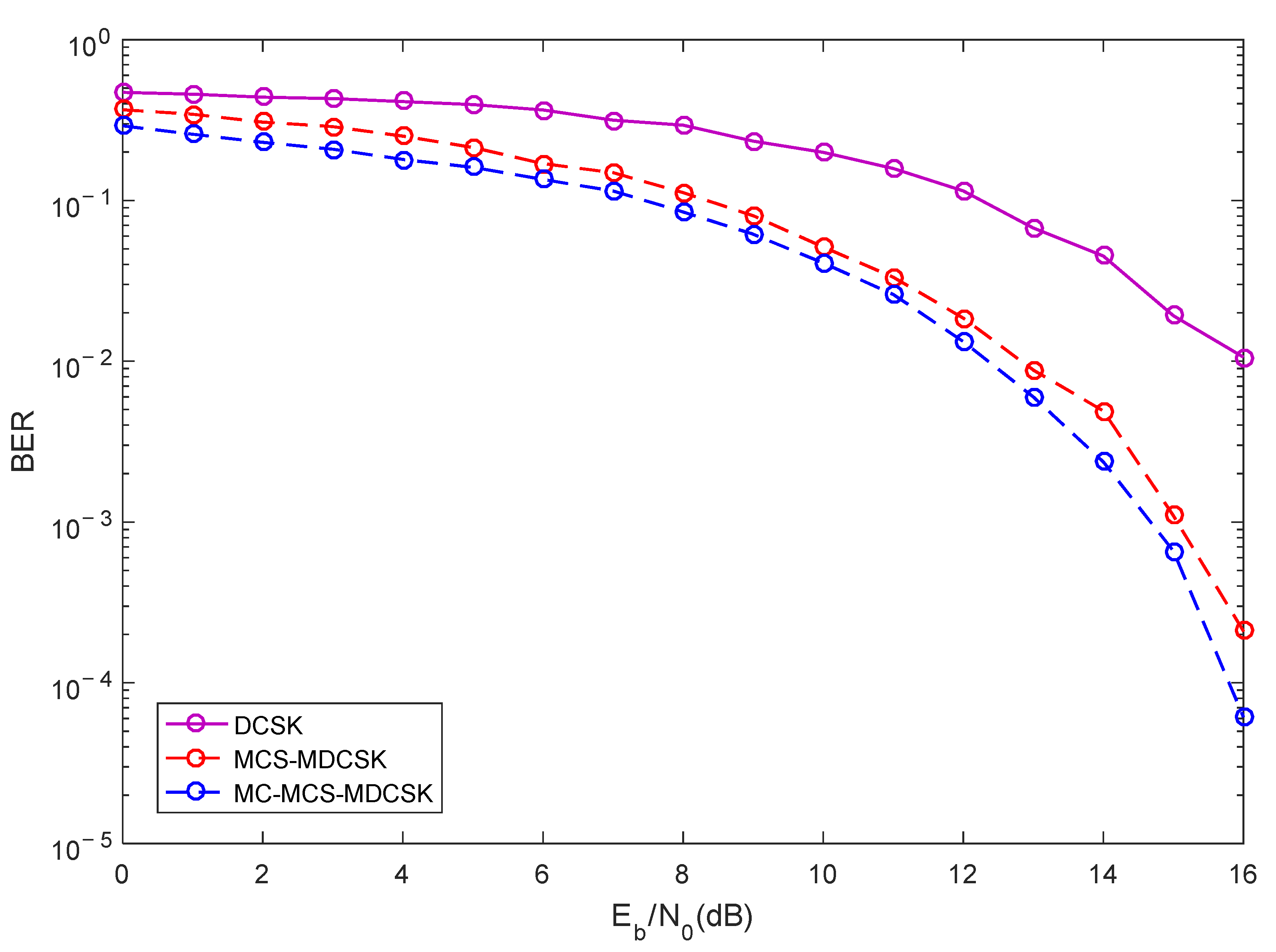
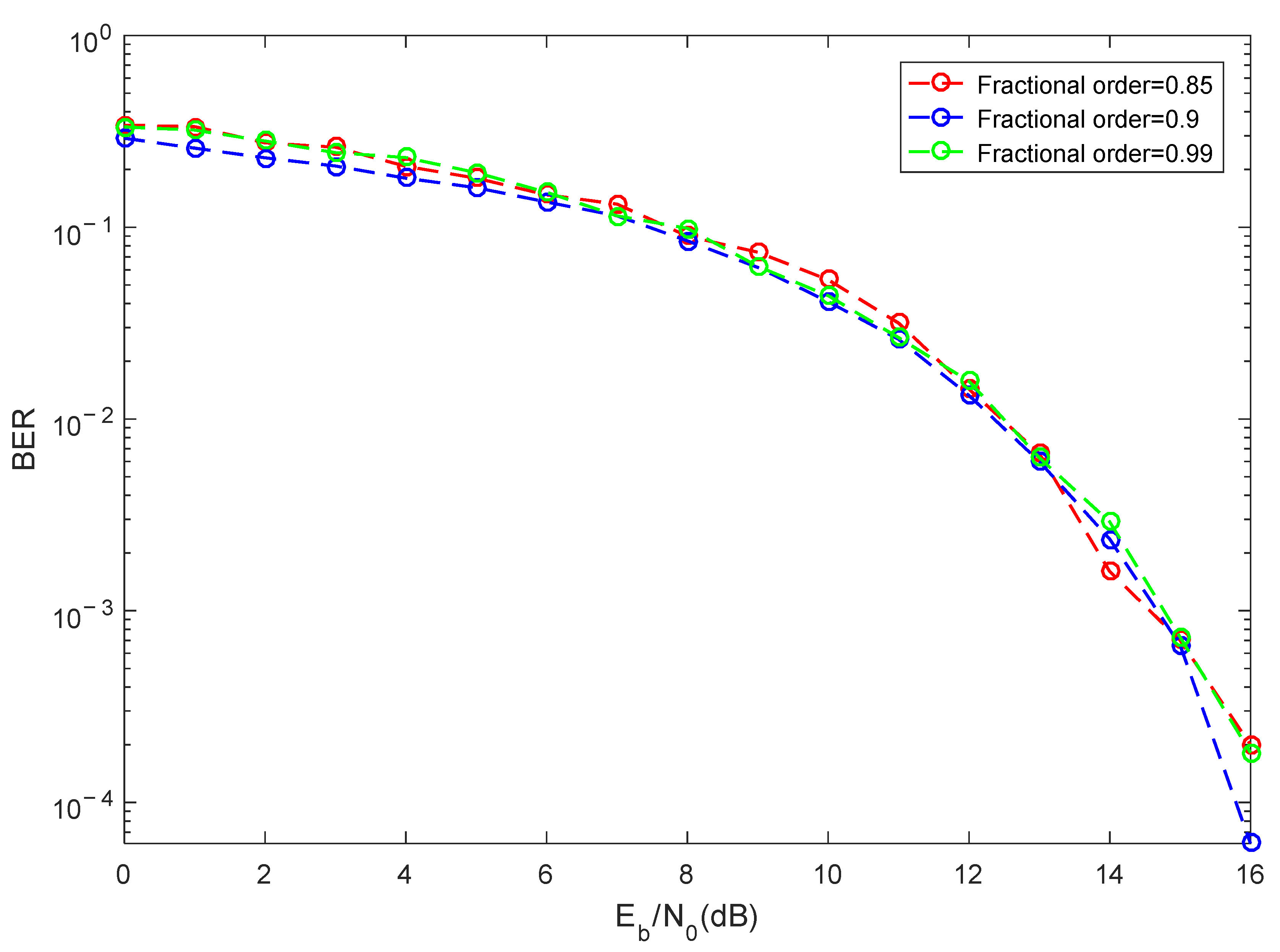
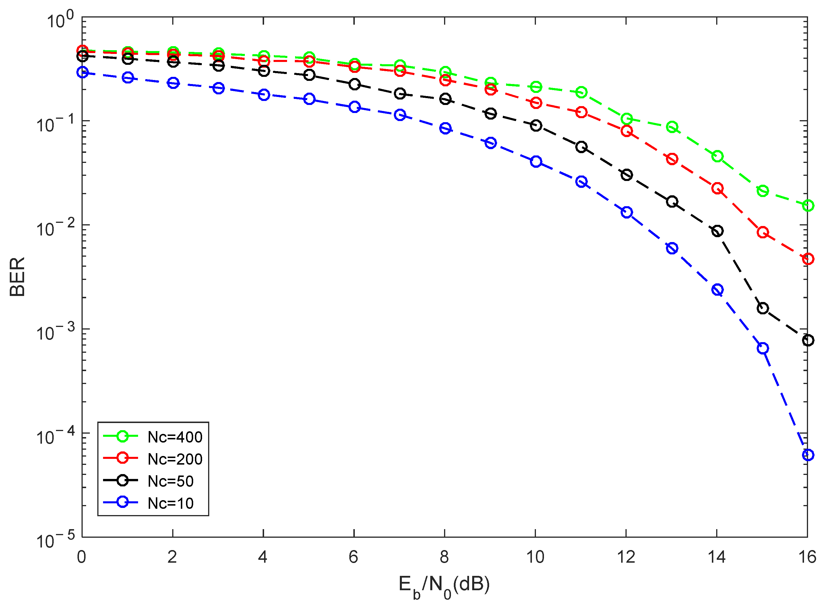
4. Simulation Results
5. Discussions
6. Conclusions
Author Contributions
Funding
Conflicts of Interest
References
- Karimov, T.; Rybin, V.; Kolev, G.; Rodionova, E.; Butusov, D. Chaotic Communication System with Symmetry-Based Modulation. Appl. Sci. 2021, 11, 3698. [Google Scholar] [CrossRef]
- Kaddoum, G.; Soujeri, E.; Nijsure, Y. Design of a Short Reference Noncoherent Chaos-Based Communication Systems. IEEE Trans. Commun. 2016, 64, 680–689. [Google Scholar] [CrossRef] [Green Version]
- Mushenko, A.; Dzuba, J.; Nekrasov, A.; Fidge, C. A Data Secured Communication System Design Procedure with a Chaotic Carrier and Synergetic Observer. Electronics 2020, 9, 497. [Google Scholar] [CrossRef] [Green Version]
- Kolumbán, G.; Vizvári, B.; Schwarz, W.; Abel, A. Differential chaos shift keying: A robust coding for chaotic communication. In Proceedings of the Nonlinear Dynamics of Electronic Systems, Seville, Spain, 27–28 June 1996; pp. 87–92. [Google Scholar]
- Kaddoum, G.; Soujeri, E. NR-DCSK: A Noise Reduction Differential Chaos Shift Keying System. IEEE Trans. Circuits Syst. II 2016, 63, 648–652. [Google Scholar] [CrossRef] [Green Version]
- Kaddoum, G.; Tran, H.; Kong, L. Design of Simultaneous Wireless Information and Power Transfer Scheme for Short Reference DCSK Communication Systems. IEEE Trans. Commun. 2016, 65, 431–443. [Google Scholar] [CrossRef]
- Tan, Y.; Xu, W.; Wang, L. A Multilevel Code Shifted Differential Chaos Shift Keying Scheme With Code Index Modulation. IEEE Trans. Circuits Syst. II 2017, 65, 1743–1747. [Google Scholar] [CrossRef]
- Galias, Z.; Maggio, G. Quadrature chaos-shift keying: Theory and performance analysis. IEEE Trans. Circuits Syst. I Fundam. Theory Appl. 2002, 48, 1510–1519. [Google Scholar] [CrossRef]
- Yang, H. High-Efficiency Differential-Chaos-Shift-Keying Scheme for Chaos-Based Noncoherent Communication. IEEE Trans. Circuits Syst. II 2012, 59, 312–316. [Google Scholar] [CrossRef]
- Wang, L.; Cai, G.; Chen, G. Design and Performance Analysis of a New Multiresolution M-Ary Differential Chaos Shift Keying Communication System. IEEE Trans. Wirel. Commun. 2015, 14, 5197–5208. [Google Scholar] [CrossRef]
- Xu, W.; Wang, L.; Kolumbán, G. A New Data Rate Adaption Communications Scheme for Code-shifted Differential Chaos Shift Keying Modulation. Int. J. Bifurc. Chaos 2012, 22, 1250201. [Google Scholar] [CrossRef]
- Xu, W.; Wang, L.; Chi, C. A Simplified GCS-DCSK Modulation and Its Performance Optimization. Int. J. Bifurc. Chaos 2016, 26, 537–549. [Google Scholar] [CrossRef]
- Huang, T.; Wang, L.; Xu, W. Multilevel code-shifted differential-chaos shift-keying system. IET Commun. 2016, 10, 1189–1195. [Google Scholar] [CrossRef] [Green Version]
- Cai, X.; Xu, W.; Zhang, R. A Multilevel Code Shifted Differential Chaos Shift Keying System with M-ary Modulation. IEEE Trans. Circuits Syst. II 2018, 66, 1451–1455. [Google Scholar] [CrossRef]
- Huang, T.; Wang, L.; Xu, W. A Multi-Carrier M-ary Differential Chaos Shift Keying System with Low PAPR. IEEE Access 2017, 5, 18793–18803. [Google Scholar] [CrossRef]
- Kaddoum, G.; Richardson, F.; Gagnon, F. Design and Analysis of a Multi-Carrier Differential Chaos Shift Keying Communication System. IEEE Trans. Commun. 2013, 61, 3281–3291. [Google Scholar] [CrossRef] [Green Version]
- Yang, H.; Tang, W.; Chen, G.; Jiang, G.P. Multi-Carrier Chaos Shift Keying: System Design and Performance Analysis. IEEE Trans. Circuits Syst. I 2017, 64, 2182–2194. [Google Scholar] [CrossRef]
- Yang, H.; Jiang, G.P.; Tang, W. Multi-Carrier Differential Chaos Shift Keying System with Subcarriers Allocation for Noise Reduction. IEEE Trans. Circuits Syst. II 2017, 65, 1733–1737. [Google Scholar] [CrossRef]
- Cai, G.; Fang, Y.; Wen, J. Multi-Carrier M-ary DCSK System With Code Index Modulation: An Efficient Solution for Chaotic Communications. IEEE J. Sel. Top. Signal Process. 2019, 13, 1375–1386. [Google Scholar] [CrossRef]
- Nandal, A.; Gamboa-Rosales, H.; Dhaka, A. Image Edge Detection Using Fractional Calculus with Feature and Contrast Enhancement. Circuits Syst. Signal Process. 2018, 19, 1–28. [Google Scholar] [CrossRef]
- Gómez, F.; Bernal, J.; Rosales, J.; Cordova, T. Modeling and simulation of equivalent circuits in description of biological systems—A fractional calculus approach. J. Electr. Bioimpedance 2012, 3, 2–11. [Google Scholar] [CrossRef] [Green Version]
- Guy, J. Further Results on Fractional Calculus for Non-differentiable Functions Applications to Z-Transform and Generalized Functions. Int. J. Math. Game Theory Algebra 2015, 24, 297–334. [Google Scholar]
- Liu, J. A novel study on the impulsive synchronization of fractional-order chaotic systems. Chin. Phys. B 2013, 22, 060510. [Google Scholar] [CrossRef]
- Chen, M.; Shao, S.; Peng, S. Disturbance-Observer-Based Robust Synchronization Control for a Class of Fractional-Order Chaotic Systems. IEEE Trans. Circuits Syst. II 2017, 64, 417–421. [Google Scholar] [CrossRef]
- Yin, C.; Zhong, S.; Chen, W. Design of sliding mode controller for a class of fractional-order chaotic systems. Commun. Nonlinear Sci. Numer. Simul. 2012, 17, 356–366. [Google Scholar] [CrossRef]
- Kiani-B, A.; Fallahi, K.; Pariz, N. A chaotic secure communication scheme using fractional chaotic systems based on an extended fractional Kalman filter. Commun. Nonlinear Sci. Numer. Simul. 2009, 14, 863–879. [Google Scholar] [CrossRef]
- Li, R.G.; Wu, H. Adaptive synchronization control with optimization policy for fractional-order chaotic systems between 0 and 1 and its application in secret communication. ISA Trans. 2019, 9, 35–48. [Google Scholar] [CrossRef]
- Wen, T.; Jiang, F.; Liu, X. Synchronization of Fractional-Order Chaotic System with Application to Communication. In Informatics in Control, Automation and Robotics; Springer: Berlin, Germany, 2011; Volume 31, pp. 227–234. [Google Scholar]
- Radwan, A.; Sayed, W.; Abd-El-Hafiz, S. Control and Synchronization of Fractional-Order Chaotic Systems; Springer: Berlin/Heidelberg, Germany, 2017; pp. 325–355. [Google Scholar]
- Kolumbán, G.; Kennedy, M.; Jákó, Z.; Kis, G. Chaotic Communications with Correlator Receiver: Theory and Performance Limit. Proc. IEEE 2002, 90, 711–732. [Google Scholar] [CrossRef] [Green Version]
- Kaddoum, G.; Olivain, J.; Samson, G.; Giard, P.; Gagnon, F. Implementation of a Differential Chaos Shift Keying Communication system in GNU Radio. In Proceedings of the 2012 International Symposium on Wireless Communication Systems, Paris, France, 28–31 August 2012; pp. 934–938. [Google Scholar]
- Dai, W.; Yang, H.; Song, Y.; Jiang, G.P. Two-Layer Carrier Index Modulation Scheme Based on Differential Chaos Shift Keying. IEEE Access 2018, 6, 56433–56444. [Google Scholar] [CrossRef]
- Cai, X.; Xu, W.; Hong, S.; Wang, L. Dual-Mode Differential Chaos Shift Keying With Index Modulation. IEEE Trans. Commun. 2019, 67, 6099–6111. [Google Scholar] [CrossRef]
- Kaddoum, G.; Gagnon, F.; Richardson, F. Design of a secure Multi-Carrier DCSK system. In Proceedings of the International Symposium on Wireless Communication Systems, Paris, France, 28–31 August 2012; pp. 964–968. [Google Scholar]
- Lau, F.; Cheong, K.; Tse, C. Permutation-based DCSK and multipleaccess DCSK systems. IEEE Trans. Circuits Syst. I Fundam. Theory Appl. 2003, 50, 733–742. [Google Scholar] [CrossRef] [Green Version]
- Zhang, G.; Li, X.; Chen, X. Multi-user High Rate Security Differential Chaos Shift Keying. In Proceedings of the 2020 IEEE 20th International Conference on Communication Technology (ICCT), Nanning, China, 28–31 October 2020. [Google Scholar]








| Modulation | DBR |
|---|---|
| MC-MDCSK-MCS | |
| MC-DCSK | |
| MCS-DCSK | |
| CS-DCSK |
Publisher’s Note: MDPI stays neutral with regard to jurisdictional claims in published maps and institutional affiliations. |
© 2021 by the authors. Licensee MDPI, Basel, Switzerland. This article is an open access article distributed under the terms and conditions of the Creative Commons Attribution (CC BY) license (https://creativecommons.org/licenses/by/4.0/).
Share and Cite
Jia, Y.-Q.; Jiang, G.-P.; Yang, H.; Yu, B.; Du, M.-D. Design and Performance Analysis of a Multi-Carrier M-Ary DCSK System with Multilevel Code-Shifted Modulation Based on Fractional-Order Chaos. Electronics 2021, 10, 2343. https://doi.org/10.3390/electronics10192343
Jia Y-Q, Jiang G-P, Yang H, Yu B, Du M-D. Design and Performance Analysis of a Multi-Carrier M-Ary DCSK System with Multilevel Code-Shifted Modulation Based on Fractional-Order Chaos. Electronics. 2021; 10(19):2343. https://doi.org/10.3390/electronics10192343
Chicago/Turabian StyleJia, Ya-Qiong, Guo-Ping Jiang, Hua Yang, Bin Yu, and Ming-Di Du. 2021. "Design and Performance Analysis of a Multi-Carrier M-Ary DCSK System with Multilevel Code-Shifted Modulation Based on Fractional-Order Chaos" Electronics 10, no. 19: 2343. https://doi.org/10.3390/electronics10192343
APA StyleJia, Y.-Q., Jiang, G.-P., Yang, H., Yu, B., & Du, M.-D. (2021). Design and Performance Analysis of a Multi-Carrier M-Ary DCSK System with Multilevel Code-Shifted Modulation Based on Fractional-Order Chaos. Electronics, 10(19), 2343. https://doi.org/10.3390/electronics10192343
