Development of a High-Power-Factor Power Supply for an Atmospheric-Pressure Plasma Jet
Abstract
:1. Introduction
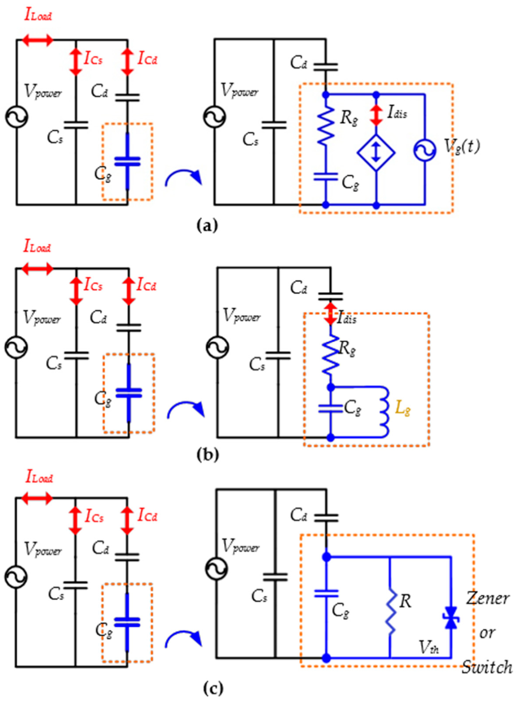
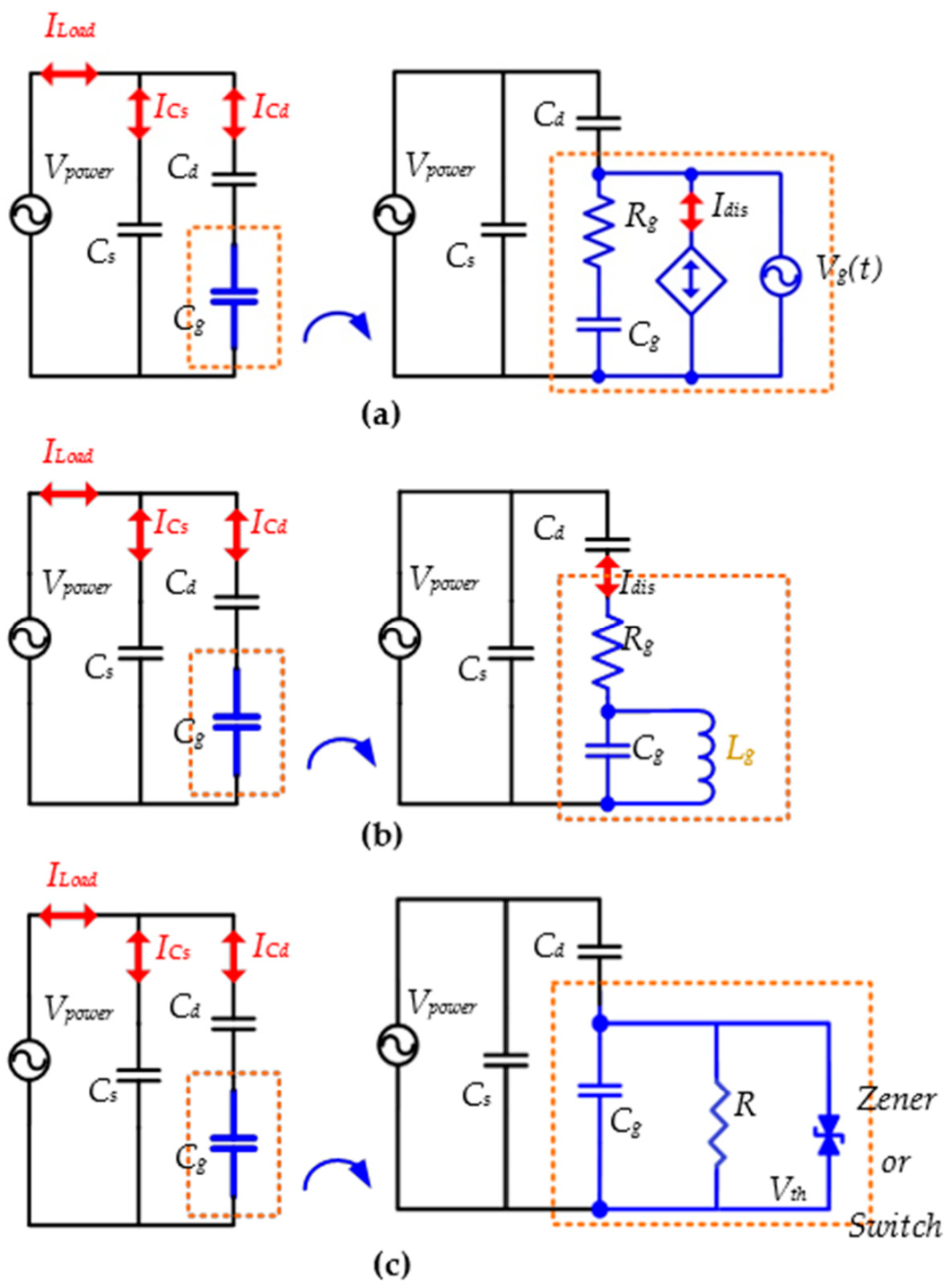
2. Equivalent Electric Circuit Model of Plasma Jet
3. Power Supply System
- For the high-voltage transformer: The volume of the high-voltage transformer can be reduced by redesigning the output characteristics of the inverter. By limiting the frequency range and making the frequency range well below the maximum resonance point, the inductance and winding current are reduced so that the size of the transformer can be smaller.
- For the autotransformer: An adjustable AC/DC converter can replace the autotransformer, and the resulting volume can be significantly reduced. The design of PVM500 uses a bridge rectifier with filter capacitors to convert AC to DC; such a rectifier circuit turns the input current into a pulse surge, and the peak value of the current is three to five times larger than the ideal average current, as shown in Figure 3a. This current distortion results in a lower power factor value and decreases the regional power network efficiency and quality. If it can be changed to an active PFC converter to improve the plasma device input current distortion, then the corrected current waveform is illustrated in Figure 3b.
3.1. Transformer of High-Voltage Power Supply
3.2. PFC Converter
3.2.1. Power Switch S1: Turn On → Turn Off
3.2.2. Power Switch S1: Turn Off → Turn On
4. Test Results
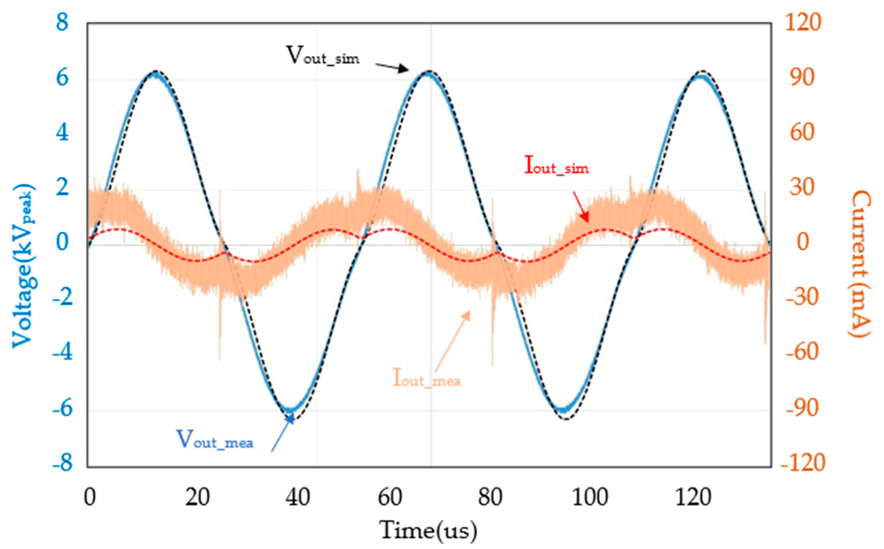
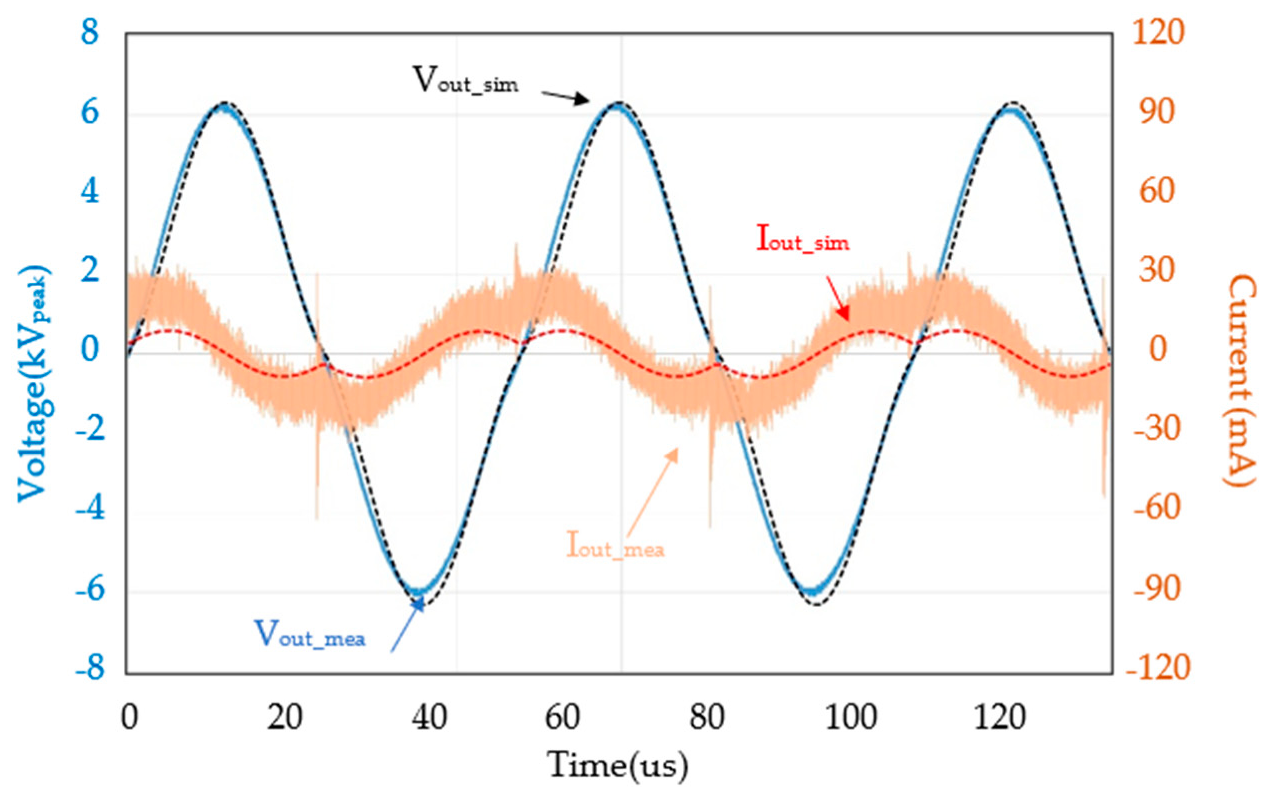
4.1. Measurement and Simulation Verification
4.2. PFC and Output Ripple
4.3. OES Test
5. Conclusions
Author Contributions
Funding
Data Availability Statement
Conflicts of Interest
References
- Kang, H.R.; Chung, T.H.; Joh, H.M.; Kim, S.J. Effects of Dielectric Tube Shape and Pin-Electrode Diameter on the Plasma Plume in Atmospheric Pressure Helium Plasma Jet. IEEE Trans. Plasma Sci. 2017, 45, 691–697. [Google Scholar] [CrossRef]
- Das, S.C.; Majumdar, A.; Mukherjee, S.; Katiyal, S.; Shripathi, T. Development of power supply for atmospheric pressure plasma jet at room temperature for bio-medical applications. In Proceedings of the 3rd International Conference on Computing for Sustainable Global Development (INDIACom), New Delhi, India, 16–18 March 2016; pp. 1207–1209. [Google Scholar]
- Liu, C.-T.; Wu, C.-J.; Lin, Z.-H.; Wu, J.-Y.; Wu, J.-S. Production Enhancement of Reactive Oxygen and Nitrogen Species at Interface of Helium Plasma Jet and Agar. IEEE Trans. Plasma Sci. 2016, 44, 3112–3116. [Google Scholar] [CrossRef]
- Kim, G.C.; Han, M.S.; Nam, S.H. Evaluation of tooth staining with red wine after tooth bleaching with nonthermal atmospheric pressure plasma. Biomed. Res. 2018, 29, 396–400. [Google Scholar]
- Bernhardt, T.; Semmler, M.L.; Schäfer, M.; Bekeschus, S.; Emmert, S.; Boeckmann, L. Plasma Medicine: Applications of Cold Atmospheric Pressure Plasma in Dermatology. Oxidative Med. Cell. Longev. 2019, 4, 1–10. [Google Scholar] [CrossRef] [PubMed] [Green Version]
- 1–40 kV 20–70 kHz 10–300 W Adjustable Power Supply. 1–40 kV 20–70 kHz 10–300 W Adjustable Power Supply (<50 pfd loads)—Information Unlimited. Available online: amazing1.com (accessed on 4 August 2021).
- Fuentes, A.F.; Eguiluz, R.P.; Callejas, R.L.; Cabrera, A.M.; Alvarado, R.V.; Delgado, S.B.; de la Piedad-Beneitez, A. Electrical Model of an Atmospheric Pressure Dielectric Barrier Discharge Cell. IEEE Trans. Plasma Sci. 2009, 37, 128–134. [Google Scholar] [CrossRef]
- Judée, F.; Vaquero, J.; Guégan, S.; Fouassier, L.; Dufour, T. Atmospheric pressure plasma jets applied to cancerology: Correlating electrical configurations with in vivo toxicity and therapeutic efficiency. J. Phys. D Appl. Phys. 2019, 52, 1–16. [Google Scholar] [CrossRef] [Green Version]
- Wang, R.; Yang, Y.; Chen, S.; Jiang, H.; Martin, P. Martin. Power Calculation of Pulse Power-Driven DBD Plasma. IEEE Trans. Plasma Sci. 2021, 49, 2210–2216. [Google Scholar] [CrossRef]
- Florez, D.; Diez, R.; Piquet, H. DCM-Operated Series-Resonant Inverter for the Supply of DBD Excimer Lamps. IEEE Trans. Ind. Appl. 2014, 50, 86–93. [Google Scholar] [CrossRef] [Green Version]
- Joh, H.M.; Kang, H.R.; Chung, T.H.; Kim, S.J. Electrical and Optical Characterization of Atmospheric-Pressure Helium Plasma Jets Generated With a Pin Electrode: Effects of the Electrode Material, Ground Ring Electrode, and Nozzle Shape. IEEE Trans. Plasma Sci. 2014, 42, 3656–3667. [Google Scholar] [CrossRef]
- Bonnin, X.; Brandelero, J.; Videau, N.; Piquet, H.; Meynard, T. A High Voltage High Frequency Resonant Inverter for Supplying DBD Devices with Short Discharge Current Pulses. IEEE Trans. Plasma Sci. 2014, 29, 4261–4269. [Google Scholar] [CrossRef] [Green Version]
- Nong, C.Y.; Ming, K.C. Design of Plasma Generator Driven by High-frequency High-voltage Power Supply. J. Appl. Res. Technol. 2013, 11, 225–234. [Google Scholar] [CrossRef]
- Diaz, F.J.; Azcondo, F.J.; Casanueva, R.; Brañas, C. Power Source Electronic Ballast for Electrodeless Fluorescent Lamps. Electronics 2020, 9, 34. [Google Scholar] [CrossRef] [Green Version]
- Cheng, C.A.; Cheng, H.L.; Ku, C.W.; Chung, T.Y. Design and Implementation of a Single-Stage Acoustic-Resonance-Free HID Lamp Ballast with PFC. IEEE Trans. Power Electron. 2014, 29, 1966–1976. [Google Scholar] [CrossRef]
- Rabkowski, J.; Lasica, A.; Zdanowski, M.; Wrona, G.; Starzynski, J. Portable DC Supply Based on SiC Power Devices for High-Voltage Marx Generator. Electronics 2021, 10, 313. [Google Scholar] [CrossRef]
- Taherian, M.; Allahbakhshi, M.; Farjah, E.; Givi, H. An Efficient Structure of Marx Generator Using Buck–Boost Converter. IEEE Trans. Plasma Sci. 2018, 46, 117–126. [Google Scholar] [CrossRef]
- Nara, K.; Channegowda, J. Single Stage PFC Flyback AC-DC Converter Design. In Proceedings of the IEEE International Conference on Electronics, Computing and Communication Technologies (CONECCT), Bangalore, India, 2–4 July 2020; Volume 46, pp. 1–6. [Google Scholar]
- Das, S.; Sudhakar, P. Power Factor Correction & Harmonic Distortion Control for AC-DC Fault Tolerant Power Distribution System & Power Quality Qualification Test Results as per IEC 61000-3-2. BARC Newsl. 2017, 356, 5–13. [Google Scholar]
- Liu, C.T.; Kumakura, T.; Ishikawa, K.; Hashizume, H.; Takeda, K.; Ito, M.; Hori, M.; Wu, J.S. Effects of Assisted Magnetic Field to An Atmospheric-Pressure Plasma Jet on Radical Generation at The Plasma-Surface Interface and Bactericidal Function. Plasma Sources Sci. Technol. 2016, 25, 065005. [Google Scholar] [CrossRef]
- Kostov, K.G.; Nishime, T.M.C.; Castro, A.H.R.; Toth, A.; Hein, L.R.O. Surface Modification of Polymeric Materials by Cold Atmospheric Plasma Jet. Appl. Surf. Sci. 2014, 314, 367–375. [Google Scholar] [CrossRef] [Green Version]
- Witte, M.B.; Kiyama, T.; Barbul, A. Nitric Oxide Enhances Experimental Wound Healing in Diabetes. Br. J. Surg. 2002, 89, 1594–1601. [Google Scholar] [CrossRef] [Green Version]
- Kwon, J.; Kim, R.-Y. High Power Density, High-Voltage Parallel Resonant Converter Using Parasitic Capacitance on the Secondary Side of a Transformer. Electronics 2021, 10, 1736. [Google Scholar] [CrossRef]























| Resonance Frequency (fr) | Lm | Llea | L1 | Cstr |
|---|---|---|---|---|
| 30 kHz | 4.25 mH | 750 μH | 638 μH | 44.2 nF |
| 35 kHz | 32.5 nF | |||
| 40 kHz | 24.9 nF | |||
| 45 kHz | 19.6 nF |
| Primary Side Resonance Frequency | Primary Side Resonant Capacitor (Cstr) | Secondary Side Total Capacitance |
|---|---|---|
| 29.8 kHz | 44 nF | 110 pF |
| 40.3 kHz | 24.1 nF | 35 pF |
| Input Side (AC_rms) | DC Bus (DC_avg) | Output Side (AC_rms) | ||
|---|---|---|---|---|
| Voltage | 110 V | 164 V | 3.08 kV | |
| Current | 0.16 A | 93.4mA | 4.02 mA | |
| Watt | 17.2 W | 15.31 W | 10.89 W | |
| - | PFC Converter | High-Voltage Inverter | ||
| Efficiency | 89% | 71% | ||
| Specification Item | PVM500 | Our Design |
|---|---|---|
| Input voltage (Vac) | 115 (only) | 85~264 |
| Output voltage | ±15 kVpeak (Max) | 0~±10 kVpeak |
| Output load capacitance | <50 pf | <40 pf |
| Output frequency (kHz) | 20~100 | 16~24 |
| Burst frequency (Hz) | - | 400 |
| Burst ratio (%) | 25~100 | 10~100 |
| PFC Function | NO | YES (>0.95, 60 W) |
| Output voltage ripple (Vp-p) | - | <50 (at 4 kVpeak) |
| Weight (kg) | <2.2 | <2 |
| Dimensions (cm) | 10 × 17.5 × 25 (4375 cm3) | 8 × 18 × 12 (1728 cm3) |
Publisher’s Note: MDPI stays neutral with regard to jurisdictional claims in published maps and institutional affiliations. |
© 2021 by the authors. Licensee MDPI, Basel, Switzerland. This article is an open access article distributed under the terms and conditions of the Creative Commons Attribution (CC BY) license (https://creativecommons.org/licenses/by/4.0/).
Share and Cite
Su, C.-F.; Liu, C.-T.; Wu, J.-S.; Ho, M.-T. Development of a High-Power-Factor Power Supply for an Atmospheric-Pressure Plasma Jet. Electronics 2021, 10, 2119. https://doi.org/10.3390/electronics10172119
Su C-F, Liu C-T, Wu J-S, Ho M-T. Development of a High-Power-Factor Power Supply for an Atmospheric-Pressure Plasma Jet. Electronics. 2021; 10(17):2119. https://doi.org/10.3390/electronics10172119
Chicago/Turabian StyleSu, Chi-Feng, Chih-Tung Liu, Jong-Shinn Wu, and Ming-Tzu Ho. 2021. "Development of a High-Power-Factor Power Supply for an Atmospheric-Pressure Plasma Jet" Electronics 10, no. 17: 2119. https://doi.org/10.3390/electronics10172119
APA StyleSu, C.-F., Liu, C.-T., Wu, J.-S., & Ho, M.-T. (2021). Development of a High-Power-Factor Power Supply for an Atmospheric-Pressure Plasma Jet. Electronics, 10(17), 2119. https://doi.org/10.3390/electronics10172119

