Next Article in Journal
Edge Devices for Internet of Medical Things: Technologies, Techniques, and Implementation
Next Article in Special Issue
Forward-Reverse Orthogonal Matching Pursuit-Union-Subspace Pursuit-Based Multiuser Detector for Uplink Grant-Free NOMA Networks
Previous Article in Journal
A Wavenet-Based Virtual Sensor for PM10 Monitoring
Previous Article in Special Issue
autoCoin: Secure Content Sharing Based on Blockchain for Vehicular Cloud
 
 
Font Type:
Arial Georgia Verdana
Font Size:
Aa Aa Aa
Line Spacing:
Column Width:
Background:
Article

SCMA Codebook Design Based on Decomposition of the Superposed Constellation for AWGN Channel

School of Telecommunications Engineering, Xidian University, Xi’an 710071, China
*
Author to whom correspondence should be addressed.
These authors contributed equally to this work.
Electronics 2021, 10(17), 2112; https://doi.org/10.3390/electronics10172112
Submission received: 22 July 2021 / Revised: 20 August 2021 / Accepted: 27 August 2021 / Published: 30 August 2021
(This article belongs to the Special Issue Access Technology in 5G and Mobile Communication Networks)

Abstract

:
In this study, we propose a method named decomposition of the superposed constellation (DCSC) to design sparse code multiple access (SCMA) codebooks for the additive white Gaussian noise (AWGN) channel. We prove that the power of the user symbols (USs) is accurately determined by the power of the superposed constellation (SC). Thus, we select quadrature amplitude modulation (QAM) constellations as the SC and decompose the SC into several groups of USs with power diversity. The minimum Euclidean distance (MED) between superposed symbols (SS-MED) in the receiver is determined by the selected QAM and MED between the multi-dimensional codewords (CW-MED) is optimized by matching the symbols on different dimensions. We propose a simplified DCSC (S-DCSC) by modifying the factor graph and avoiding the transmission of USs with low power, which greatly reduces the complexity of the message passing algorithm (MPA). The simulations show that the SS-MEDs of DCSC and S-DCSC are larger than those in previous papers and the BER performance of the proposed codebooks is better than others.

1. Introduction

Compared with the 4G system, the spectrum efficiency of the 5G system in the future is increased by 5∼15 times [1]. Driven by the urgent demand, non-orthogonal multiple access technologies have become a research hotspot in recent years. Sparse code multiple access (SCMA) proposed in [2] is a promising candidate technology which can achieve massive capacity and connectivity [3].
In general, a constellation with a larger minimum Euclidean distance (MED) can achieve better performance when no collisions occur among users or layers over a tone in [4]. As a result, the codebook design is the key to the SCMA system, which can improve the system capacity and bit error rate (BER) performance. In [4], the unitary rotation was applied on the mother constellation (MC) to control dimension dependency and power variation. In addition, this scheme separated the MC from the operator. However, the MED between the superposed symbols (SS-MED) in the superposed constellation (SC) is small. A novel SCMA codebook design scheme to maximize the sum-rate was proposed in [5] by rotating the symbols on a 1-dimension complex constellation. A 1-dimension searching algorithm to minimize the upper bound of pairwise error probability (PEP) under amplitude and phase rotation setting was proposed in [6]. Ref. [7] presented a method to design codebooks for downlink SCMA systems based on constellation rotation. Constellation rotation and coordinate interleaving were also used to a design multi-dimension SCMA (MD-SCMA) codebook in [8]. Based on [8], Mheich et al. optimized the SCMA codebook design process by optimizing the initial phase of the golden angle modulation (GAM) constellation in [9]. In order to satisfy the criteria of PEP, Yu et al. designed SCMA codebooks to achieve large MED by rotating the star-QAM and optimizing the ratio between the phase shift keying (PSK) rings in [10]. By rotating the quadrature amplitude modulation (QAM) or pulse amplitude modulation (PAM) constellation employed by the colliding user on each resource, Ref. [11] optimized the SC to minimize the metric obtained from the upper bounded error probability in the additive white Gaussian noise (AWGN) channel.
A 1-dimension searching algorithm to minimize the upper bound of pairwise error probability (PEP) under amplitude and phase rotation setting was proposed in [6]. Ref. [7] presented a method to design codebooks for downlink SCMA systems based on constellation rotation. Constellation rotation and coordinate interleaving were also used to a design multi-dimension SCMA (MD-SCMA) codebook in [8]. Based on [8], Mheich et al. optimized the SCMA codebook design process by optimizing the initial phase of the golden angle modulation (GAM) constellation in [9]. In order to satisfy the criteria of PEP, Yu et al. designed SCMA codebooks to achieve large MED by rotating the star-QAM and optimizing the ratio between the phase shift keying (PSK) rings in [10]. By rotating the quadrature amplitude modulation (QAM) or pulse amplitude modulation (PAM) constellation employed by the colliding user on each resource, [11] optimized the SC to minimize the metric obtained from the upper bounded error probability in the additive white Gaussian noise (AWGN) channel. Wang et al. maximized of MED between symbols of conflicting users on each resource node and proposed an efficient sub-optimal SCMA codebook design method for large scale codebooks in [12]. Huang et al. in [13] proposed an optimization problem to maximize MED of superimposed codewords under power constraints. Zhang et al. in [14] pointed out that several small constellations can be superimposed to form a large constellation, namely, the SC. If each point in the SC can be distinguished uniquely, the transmitted codewords can be inferred. In [15], a novel multiplexing and multiple access scheme named as SCMA based on OFDM-IM (SCMA-IM) was proposed. The SCMA-IM can be implemented in uplink system in an efficient way with similar computational complexity as SCMA.
Since SCMA is a self interference system, these codebook design methods do not aim to reduce the interference between users. However, those schemes adopting the phase rotation are inefficient and the distribution of symbols in the SC is non-uniform which makes it difficult to distinguish some adjacent symbols. In this study, we propose a novel SCMA codebooks design method named decomposition of the superposed constellation (DCSC). First, we decompose the superposed QAM constellation with a large MED and small power into several sets of user symbols (USs) which form QAM or PAM constellations. Second, a few of the sets are assigned to different dimensions to balance the power of the MC. Third, the USs on different dimensions are paired to increase the MED between the codewords (CW-MED).
The rest of this paper is arranged as follows. Section 2 reviews preliminary backgrounds of the SCMA. Section 3 describes the SCMA codebook design method. Section 4 implements several simulations to verify the effectiveness of the DCSC. Section 5 concludes this letter.
In order to make it clear for readers to understand this letter, we stipulate the following definitions in advance. A codebook is a complex matrix and is formed by several codewords. A codeword is a complex column vector and is formed by several symbols or constellation points. Unless otherwise specified, user is equivalent to user node (UN) and resource is equivalent to resource node (RN).

2. Preliminary Backgrounds

Considering the uplink SCMA system for the AWGN channel, as shown in Figure 1, it consists of J user nodes (UNs) and K resource nodes (RNs), e.g., K OFDMA tones, K time slots, ⋯. Each UN is able to access N RNs (N < K), while each RN is shared by d f = J N K UNs ( d f < J). SCMA encoder maps the incoming log 2 M bits binary data stream directly to K-dimension complex codewords, which can be defined as [2,3]:
f j : B ( log 2 M ) × 1 X ( j ) , x = f j ( b ) , x X ( j ) ,
where M is the modulation order and X ( j ) is the codebook of j-th user. b = { b 1 , b 2 , , b log 2 M } represents the incoming data streams. x = { x 1 , x 2 , , x K } T is the transmitted codeword. X ( j ) C K × M is the codebook employed by the j-th user. Each complex codeword x is a sparse vector with N < K non-zero symbols. The sparsity of the codewords limits the number of UN colliding over the same resource, which, in turn, reduces the complexity of multi-user detection. By removing all of the zero elements from X ( j ) , we get an N-dimension constellation C ( j ) C N × M . The mapping from log 2 M binary bits to C ( j ) is defined as [2,3]:
g j : B ( log 2 M ) × 1 C ( j ) , c = g j ( b ) , c C ( j ) ,
where c = { c 1 , c 2 , , c N } T represents a column vector. Thus, the encoder in (1) can be rewritten as f j = V ( j ) g j , where V ( j ) B K × N represents the binary low density spreading matrix for the j-th user or layer and maps the N-dimension constellation points to a K-dimension SCMA codeword.
The whole structure of the SCMA code can be represented by a factor graph matrix
F = [ f 1 , , f J ] B K × J .
where f j = diag ( V j V j H ) , and k-RN is used by j-UN if, and only if, F k , j = 1 . Then, the factor graph matrix is equivalent to the factor graph as shown in Figure 2. For the case where K = 4 , J = 6 , and N = 2 , one of the possible factor graph matrices can be expressed as follows [2,3]:
F = 1 0 0 1 1 0 1 1 0 0 0 1 0 1 1 0 1 0 0 0 1 1 0 1 .

3. SCMA Codebooks Design

3.1. The Motivation and Decomposition of Superposed Constellation (DCSC)

As we all know, the message passing algorithm (MPA) is an iterative algorithm, which can demodulate the transmitted codewords with high accuracy by eliminating the user interference. MPA first calculates the probability of USs and then calculates the joint probability of the codewords based on the probability of USs. It can be concluded that the distinguishability of the superposed symbol (SS) on each resource directly affects the correctness of the demodulation results. Since each SS in SC represents a combination of the USs, SS-MED represents the ability to suppress the interference between users. If the SS can be distinguished, the user interference is then eliminated. However, the existing work often ignores this problem but only increases CW-MED in [2,3,4,5] by symbol phase rotation and interleaving. Moreover, the previous study usually assumes that the symbols are distributed on a straight line [4,5,6,7,8], which also limits the increment of SS-MED and CW-MED.
Figure 1 shows that there are d f users in conflict with each other on a resource and each user uses M symbols to transmit information. Here, we use S ( 1 ) , S ( 2 ) , , S ( d f ) to represent the sets of USs. We make the following assumptions on S ( 1 ) , S ( 2 ) , , S ( d f ) .
  • The symbols in each S ( n ) , n = { 1 , 2 , , d f } are selected from a centrosymmetric constellation such as the QAM and PAM constellations;
  • The average power ( A P ) of S ( n ) , n = { 1 , 2 , , d f } varies with each other and assume A P ( S ( 1 ) ) < A P ( S ( 2 ) ) < < A P ( S ( d f ) ) .
The codewords matrix ( CM ) given below will help to describe our design process.
CM = S ( 3 ) 0 0 S ( 1 ) S ( 2 ) 0 S ( 1 ) S ( 3 ) 0 0 0 S ( 2 ) 0 S ( 1 ) S ( 3 ) 0 S ( 2 ) 0 0 0 S ( 1 ) S ( 3 ) 0 S ( 2 ) .
Here , S ( 3 ) and S ( 1 ) are assigned to a user on different resources to equalize the average power of the codebook. Combining (2) and (5), we get C ( 1 ) = C ( 2 ) = C ( 3 ) = C ( 4 ) = { S ( 3 ) , S ( 1 ) } T and C ( 5 ) = C ( 6 ) = { S ( 2 ) , S ( 2 ) } T . Since the symbols in S ( n ) , n = { 1 , 2 , , d f } are selected from a centrosymmetric constellation, SC is also a QAM constellation with M d f points which can be distributed uniformly in the I-Q plane by designing S ( n ) carefully. We abandon the phase rotation and coordinate interleaving because the SC can be selected with a larger SS-MED. The power of SC can be written as:
P S C = m = 1 M n = 1 M k = 1 M S m ( 1 ) + S n ( 2 ) + + S k ( d f ) 2 = M d f 1 n = 1 d f m = 1 M S m ( n ) 2 + D = M d f 1 n = 1 d f m = 1 M S m ( n ) 2 = M d f 1 P U S ,
where S m ( 1 ) is the m-th elements of S ( 1 ) . Since the symbols in S ( n ) , n = { 1 , 2 , , d f } are centrosymmetric, for a signal point S k ( a ) , we can always find S k ( a ) S ( a ) , such that S k ( a ) = S k ( a ) . Consequently,
D = 2 a = 1 d f b = 1 b a d f k = 1 M l = 1 M R S k ( a ) R S l ( b ) + I S k ( a ) I S l ( b ) = 0 ,
where R ( · ) and I ( · ) , respectively, represent the real part and the imaginary part of a complex number. (6) indicates we can control the power of USs by controlling the power of SC. Obviously, a QAM constellation that maintains a maximum MED and contains M J points can be obtained easily under the minimum power constraint.
Figure 3 shows the decomposition process of the superposed QAM constellation. The 64-QAM constellation marked with circles is superposed by S ( 1 ) , S ( 2 ) , and S ( 3 ) . The 16-QAM constellation marked with squares is superposed by S ( 2 ) and S ( 3 ) . In Figure 3a, the square can be moved to the circles marked in green, yellow, black, and blue which form the 64-QAM. The moving vectors, respectively, are 1 2 + 1 2 j , 1 2 1 2 j , 1 2 + 1 2 j , and 1 2 1 2 j which form S ( 1 ) . In Figure 3b, we can move the 4-QAM marked with red to the 16-QMA marked with green, black, blue, and yellow. The moving vectors are { 1 + j , 1 j , 1 + j , 1 j } , respectively, which form S ( 2 ) . The points in 4-QAM marked with red form S ( 3 ) = { 2 + 2 j , 2 2 j , 2 + 2 j , 2 2 j } . Algorithm 1 generalizes the decomposition process of SC. (8) gives the method of codebook energy normalization.
S ( n ) = S ( n ) P , n { 1 , 2 , , d f } , P = 1 J k = 1 K m = 1 M * J CM k , m 2 ,
where P is the average power of a codebook and CM k , m is the element in k-th row and m-th column of CM . It is noticed that there are several compositions of A and B in step 5 of Algorithm 1. Thus, the solution of S ( n ) , n { 1 , 2 , , d f } is not unique. The best solution can be decided considering the metric in (9).
Algorithm 1 Decomposition of the superposed constellation
Input:
M , d f
1:
Define integer A and B satisfying A M d f B , A B = M d f , and B A { 1 , 2 } .
2:
Generate PAM constellation p a m R = P A M R ( A ) and p a m I = P A M I ( B ) 1 : P A M R ( A ) and P A M I ( A ) represent the PAM constellation with A points on the real and imaginary axes, respectively..
3:
Let m e d R and m e d I respectively denote the MED of pamR and pamI. Let m e d represent the MED of SC.
4:
for n = 1 : d f 1 do
5:
Define integer A and B satisfying A A , B B , and A B = M d f n .
6:
Generate PAM constellation p a m R = P A M R ( A ) A A and p a m I = p a m I ( B ) B B .
7:
Let m e d R and m e d I respectively denote the MED of p a m R and p a m I .
8:
p a m R s ( n ) = P A M R ( A A ) m e d R m e d .
9:
p a m I s ( n ) = P A M I ( B B ) m e d I m e d .
10:
A = A , B = B , m e d R = m e d R , m e d I = m e d I .
11:
end for
12:
p a m R s ( d f ) = p a m R , p a m I s ( d f ) = p a m I .
13:
for n = 1 : d f do
14:
S ( n ) = { a + b j | a p a m R s ( n ) , b p a m I s ( n ) } .
15:
Normalize S ( n ) , n { 1 , 2 , , d f } according to (8).
16:
end for
Output:
S ( 1 ) , S ( 2 ) , , S ( d f )

3.2. Symbol Matching in Different Dimensions of the Codebook

So far, we get all of the USs. However, it is still a problem how to pair these symbols on different dimensions in codewords. For an N-dimension constellation with M codewords, the symbols on the first dimension can be chosen randomly from the elements of S ( d f ) . There will be M ! matching methods for the symbols in the second dimension [11]. Consequently, the total number of possible combinations is T = ( M ! ) N 1 . For the j-th user, we let C ( j , t ) , t { 1 , 2 , , T } denote the candidate combinations. The following metric which is derived from the upper bounded error probability in the AWGN channels is used to select the optimal C ( j , * ) .
C ( j , * ) = arg min t { 1 , 2 , , T } a = 1 M 1 b = a + 1 M exp C : , a ( j , t ) C : , b ( j , t ) 2 ,
where C : , a ( j , t ) represents the a-th column of C ( j , t ) . In practice, (9) is effective because it tries to search all of the possible combinations. However, when M 16 , (9) is so computationally expensive that it cannot be realized. For a high modulation order, we use the following steps to search the optimized combination with the complexity of M 8 ! 8 ! N 1 . (1) The symbols in each US are divided into several groups which contain 8 symbols. (2) The groups from different resources are matched one by one. (3) The symbols in the matched groups are paired according to (9).

3.3. SCMA Codebook Design Based on Simplified DCSC

In practice, the power of S ( d f ) is much greater than that of S ( 1 ) . CW-MED is determined by S ( d f ) for some users, so S ( 1 ) can be ignored. By removing S ( 1 ) from CM , we rewrite (5) as follows:
CM = S ( 3 ) 0 0 0 S ( 2 ) 0 0 S ( 3 ) 0 0 0 S ( 2 ) 0 0 S ( 3 ) 0 S ( 2 ) 0 0 0 0 S ( 3 ) 0 S ( 2 ) .
Here, users 1, 2, 3, and 4 occupy a resource. Users 5 and 6 occupy two resources. Each resource is occupied by two users. Similar to (5), the SC with M d f points on each resource is the same. Consequently, we can also decompose the SC into d f constellations according to Algorithm 1. The graph factor corresponding to (10) should also be adjusted by removing the red lines in Figure 2. Due to the number of users occupying a resource in S-DCSC is reduced compared to DCSC, the complexity of MPA can also be simplified. Compared with the original MPA with a complexity of O ( d f K M d f ) , the complexity of the simplified MPA (S-MPA) is O d f K M d f where d f is the number of conflicting users. In practice, for the system where M = 8 , K = 4 , and N = 2 , the computational complexity of S-MPA will be reduced to 1 12 of the MPA and the advantage will be greater for a higher modulation order. Furthermore, the reduction in conflicting users on each resource and increased SS-MED will improve BER performance, which will be verified in Section 4.

4. Numerical Results and Analysis

In this section, we give the simulations considering the cases where J = 6 , K = 4 , and N = 2 . The factor graph in Figure 2 and the corresponding factor graph matrix given in (4) are adopted to generate the codebooks. The number of iterations of MPA is set to 6. The binary switch algorithm (BSA) proposed in [11] is run 20 times to optimize the label of the codeword. The BER performances of DCSC and S-DCSC are estimated by comparing previous designs, such as MD-SCMA proposed in [8], GAM-SCMA proposed in [9], and MUO-SCMA proposed in [11].
Table 1 shows the comparison of SS-MED and CW-MED of the codebook with power normalization. The CW-MED of DCSC and S-DCSC is smaller than that of MUO and GAM, because MD and GAM codebook design schemes focus on designing an MC for excellent CW-MED. Then, the phase rotation is applied to the mother codebook to get the user’s codebook, which does not change the CW-MED. Based on the optimized mother codebook, Ref. [11] further pairs the symbols on different dimensions in codebooks, hence, the CW-MED of MUO is the largest. On the contrary, whether the modulation order is 4 or 8, the SS-MED of DCSC and S-DCSC is much larger than that of MUO, GAM, and MD. This is because the DCSC decomposes the QAM constellation in which symbols are distributed on the I-Q plane uniformly. Compared with the SC proposed by other schemes, the symbols in the SC proposed in this study are easier to distinguish due to the larger SS-MED. In the demodulation process, the larger SS-MED will certainly determine the USs with a higher probability.
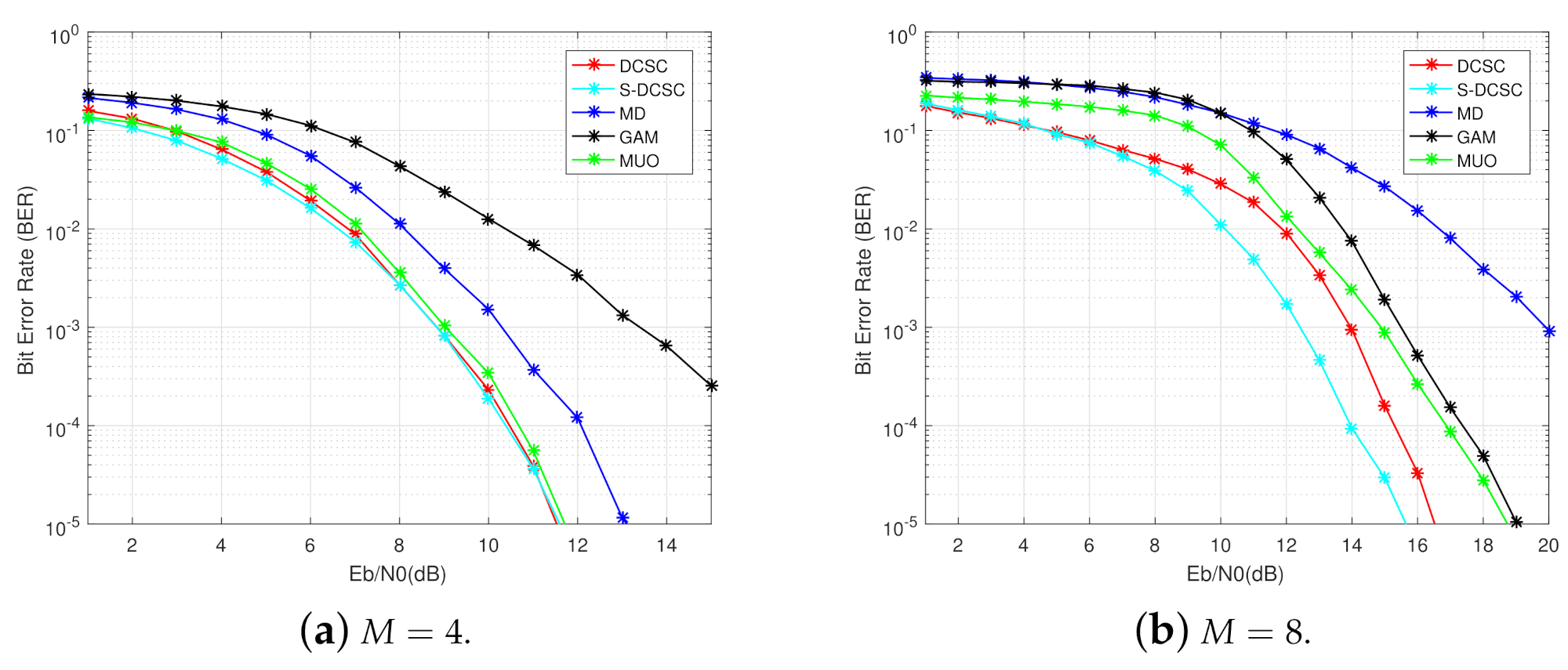
Since the power of S ( 1 ) is much lower than S ( 2 ) and S ( 3 ) , we deleted S ( 1 ) from (5). Therefore, S ( 2 ) and S ( 3 ) can be allocated more energy. For M = 4 , the SS-MED and CW-MED of S-DCSC are slightly larger than those of DCSC. Compared with SC of DCSC which is a rectangle-QAM for M = 8 , the SC of S-DCSC is a square-QAM that can save energy, so the SS-MED and CW-MED of S-DCSC are obviously larger than those of DCSC. Combined with the BER performance shown in Figure 4, it can be concluded that SS-MED can make more contributions to the promotion of BER performance. In other words, we need to maximize CW-MED on the basis of maximized SS-MED. The sets of user symbols are demonstrated in Table 2.
Figure 4 shows the comparison of BER performance of different codebook design schemes. The DCSC and S-DCSC SCMA codebooks perform better than previous schemes. This profoundly proves that larger SS-MED can improve BER performance more effectively. In the high SNR region, the user interference is the major factor that deteriorates BER performance; however, larger SS-MED can suppress the interference between users more effectively. Since the SS-MED and CW-MED of DCSC and S-DCSC are close for M = 4 in Table 1, BER performance of S-DCSC in Figure 4a is similar to that of DCSC. Meanwhile, because the SS-MED and CW-MED of S-DCSC are larger than that of DCSC for M = 8 , BER performance of S-DCSC in Figure 4b is better than that of DCSC.
For a special modulation order in Figure 5, the SS-MED of the two SCs are the same. Because CW-MED of the optimized codebook is larger than that of the other, its BER performance is better in the high SNR region. Especially in the case where M = 8 , the optimized CW-MED codebook achieves a gain of 3.3dB at a BER value of 10 5 than the other. This is because the USs in the codeword of the latter are paired randomly so that the CW-MED is small. All these show that the CW-MED can be used as an evaluation metric of BER performance and the metric provided in (9) is useful to increase the CW-MED.

5. Summary and Conclusions

In the SCMA system for the AWGN channel, we prove that the power of the USs is determined by that of SC if the USs are centrosymmetric. Hence, we select the QAM constellation as the SC and decompose the QAM constellation into several sets as the USs. Because the selected QAM has excellent MED, the symbols in SC have higher distinguishability agains interference between users. We also propose a metric to pair the symbols on different dimensions for larger CW-MED. Because USs have a large power diversity and the impacts of low power symbols on CW-MED can be ignored, we modify the factor graph to avoid the transmission of low power symbols. Since the other symbols can be assigned more energy for the S-DCSC codebook, the SS-MED and CW-MED of the simplified codebooks are larger than those of DCSC, which, in turn, improves BER performance. This S-DCSC can also greatly simplify the enumeration process of MPA without degrading BER performance. The DCSC and S-DCSC provide a useful insight into the SCMA codebook design.

Author Contributions

Conceptualization, Z.H. and Z.X.; methodology, Z.H. and B.C.; software, Z.H. and P.R.; validation, Z.H., Z.X., P.R. and B.C.; formal analysis, Z.X.; investigation, B.C.; resources, B.C.; data curation, Z.X.; original draft preparation, Z.H.; review and editing, B.C. All authors have read and agreed to the published version of the manuscript.

Funding

This research received no external funding.

Data Availability Statement

The datasets used and analyzed during the current study are available from the corresponding author on reasonable request.

Conflicts of Interest

The authors declare no conflict of interest.

References

  1. Yan, C.; Kang, G.; Zhang, N. A Dimension Distance-Based SCMA Codebook Design. IEEE Access 2017, 5, 5471–5479. [Google Scholar] [CrossRef]
  2. Nikopour, H.; Baligh, H. Sparse code multiple access. In Proceedings of the 2013 IEEE 24th Annual International Symposium on Personal, Indoor and Mobile Radio Communications (PIMRC), London, UK, 8–11 September 2013; pp. 332–336. [Google Scholar] [CrossRef]
  3. Wang, L.; Xu, X.; Wu, Y.; Xing, S.; Chen, Y. Sparse Code Multiple Access-Towards Massive Connectivity and Low Latency 5G Communications. Telecommun. Netw. Technol. 2015, 5, 6–15. [Google Scholar]
  4. Taherzadeh, M.; Nikopour, H.; Bayesteh, A.; Baligh, H. SCMA Codebook Design. In Proceedings of the 2014 IEEE 80th Vehicular Technology Conference (VTC2014-Fall), Vancouver, BC, Canada, 14–17 September 2014; pp. 1–5. [Google Scholar]
  5. Zhang, S.; Xiao, K.; Xiao, B.; Chen, Z.; Xia, B.; Chen, D.; Ma, S. A capacity-based codebook design method for sparse code multiple access systems. In Proceedings of the 2016 8th International Conference on Wireless Communications Signal Processing (WCSP), Yangzhou, China, 13–15 October 2016; pp. 1–5. [Google Scholar] [CrossRef]
  6. Dong, C.; Cai, X.; Niu, K.; Lin, J. An Efficient SCMA Codebook Design Based on 1-D Searching Algorithm. IEEE Commun. Lett. 2018, 22, 2234–2237. [Google Scholar] [CrossRef]
  7. Zhou, Y.; Yu, Q.; Meng, W.; Li, C. SCMA codebook design based on constellation rotation. In Proceedings of the 2017 IEEE International Conference on Communications (ICC), Paris, France, 21–25 May 2017; pp. 1–6. [Google Scholar] [CrossRef]
  8. Cai, D.; Fan, P.; Lei, X.; Liu, Y.; Chen, D. Multi-Dimensional SCMA Codebook Design Based on Constellation Rotation and Interleaving. In Proceedings of the 2016 IEEE 83rd Vehicular Technology Conference (VTC Spring), Nanjing, China, 5–18 May 2016; pp. 1–5. [Google Scholar] [CrossRef]
  9. Mheich, Z.; Wen, L.; Xiao, P.; Maaref, A. Design of SCMA Codebooks Based on Golden Angle Modulation. IEEE Trans. Veh. Technol. 2019, 68, 1501–1509. [Google Scholar] [CrossRef]
  10. Yu, L.; Fan, P.; Cai, D.; Ma, Z. Design and Analysis of SCMA Codebook Based on Star-QAM Signaling Constellations. IEEE Trans. Veh. Technol. 2018, 67, 10543–10553. [Google Scholar] [CrossRef]
  11. Chen, Y.M.; Chen, J.W. On the Design of Near-Optimal Sparse Code Multiple Access Codebooks. IEEE Trans. Commun. 2020, 68, 2950–2962. [Google Scholar] [CrossRef]
  12. Wang, Q.; Li, T.; Feng, R.; Yang, C. An Efficient Large Resource-User Scale SCMA Codebook Design Method. IEEE Commun. Lett. 2019, 23, 1787–1790. [Google Scholar] [CrossRef]
  13. Huang, C.; Su, B.; Lin, T.; Huang, Y. Downlink SCMA Codebook Design with Low Error Rate by Maximizing Minimum Euclidean Distance of Superimposed Codewords. arXiv 2021, arXiv:2101.03355. [Google Scholar]
  14. Zhang, X.; Zhang, D.; Yang, L.; Han, G.; Chen, H.H.; Zhang, D. SCMA Codebook Design Based on Uniquely Decomposable Constellation Groups. IEEE Trans. Wirel. Commun. 2021. [Google Scholar] [CrossRef]
  15. Teke, F.; Ayten, U.E.; Durak-Ata, L. SCMA System Design with Index Modulation via Codebook Assignment. IEEE Trans. Veh. Technol. 2021, 70, 1699–1708. [Google Scholar] [CrossRef]
Figure 1. SCMA system model with the parameters J = 6 , K = 4 , N = 2 , and d f = 3 for the AWGN uplink channel.
Figure 1. SCMA system model with the parameters J = 6 , K = 4 , N = 2 , and d f = 3 for the AWGN uplink channel.
Electronics 10 02112 g001
Figure 2. The factor graph with parameters J = 6 , K = 4 , N = 2 , and d f = 3 .
Figure 2. The factor graph with parameters J = 6 , K = 4 , N = 2 , and d f = 3 .
Electronics 10 02112 g002
Figure 3. 64-QAM is decomposed into three 4-QAMs.
Figure 3. 64-QAM is decomposed into three 4-QAMs.
Electronics 10 02112 g003
Figure 4. Comparison of BER performance of different codebook design schemes.
Figure 4. Comparison of BER performance of different codebook design schemes.
Electronics 10 02112 g004
Figure 5. Comparison of BER performance of DCSC.
Figure 5. Comparison of BER performance of DCSC.
Electronics 10 02112 g005
Table 1. The SS-MED and CW-MED of different codebook design schemes.
Table 1. The SS-MED and CW-MED of different codebook design schemes.
METRICMS-DCSCDCSCMUOGAMMD
SS-MED40.38730.3780 a 0.00790.03390.0414
80.13360.08200.03060.00150.0071
CW-MED40.54770.53450.69870.70030.7071
80.23150.18760.47140.39550.1543
a: SS-MED of the SC is 0.189 which is determined by S ( 1 ) , but the power of S ( 1 ) is low and S ( 1 ) can be ignored. The bottleneck of SS-MED is determined by S ( 2 ) whose MED is 0.378.
Table 2. The USs obtained by decomposing the SC.
Table 2. The USs obtained by decomposing the SC.
SchemeMSetUser Symbols (USs)
DCSC4 S ( 1 ) a + b j | a { ± 1 2 } , b { ± 1 2 }
S ( 2 ) a + b j | a { ± 1 } , b { ± 1 }
S ( 3 ) a + b j | a { ± 2 } , b { ± 2 }
8 S ( 1 ) a + b j | a { ± 1 2 , ± 3 2 } , b { ± 1 2 }
S ( 2 ) b j | b { ± 1 , ± 3 , ± 5 , ± 7 }
S ( 3 ) a | a { ± 2 , ± 6 , ± 10 , ± 14 }
S-DCSC4 S ( 2 ) a + b j | a { ± 1 2 } , b { ± 1 2 }
S ( 3 ) a + b j | a { ± 1 } , b { ± 1 }
8 S ( 2 ) a + b j | a { ± 1 2 , ± 3 2 } , b { ± 1 2 }
S ( 3 ) a + b j | a { ± 2 } , b { ± 1 , ± 3 }
Publisher’s Note: MDPI stays neutral with regard to jurisdictional claims in published maps and institutional affiliations.

Share and Cite

MDPI and ACS Style

Hou, Z.; Xiang, Z.; Ren, P.; Cao, B. SCMA Codebook Design Based on Decomposition of the Superposed Constellation for AWGN Channel. Electronics 2021, 10, 2112. https://doi.org/10.3390/electronics10172112

AMA Style

Hou Z, Xiang Z, Ren P, Cao B. SCMA Codebook Design Based on Decomposition of the Superposed Constellation for AWGN Channel. Electronics. 2021; 10(17):2112. https://doi.org/10.3390/electronics10172112

Chicago/Turabian Style

Hou, Zhaoyang, Zheng Xiang, Peng Ren, and Bohao Cao. 2021. "SCMA Codebook Design Based on Decomposition of the Superposed Constellation for AWGN Channel" Electronics 10, no. 17: 2112. https://doi.org/10.3390/electronics10172112

APA Style

Hou, Z., Xiang, Z., Ren, P., & Cao, B. (2021). SCMA Codebook Design Based on Decomposition of the Superposed Constellation for AWGN Channel. Electronics, 10(17), 2112. https://doi.org/10.3390/electronics10172112

Note that from the first issue of 2016, this journal uses article numbers instead of page numbers. See further details here.

Article Metrics

Back to TopTop