Performance Analysis of Intelligent Reflecting Surface-Assisted Multi-Users Communication Networks
Abstract
:1. Introduction
2. System Model and Problem Statement
2.1. IRS-Assisted MU Communications
2.2. Relay-Assisted MU Communications
3. Analytical Performance Comparison
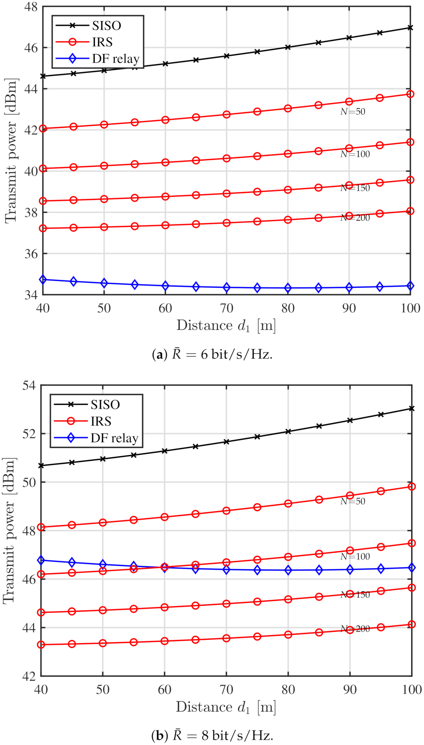
3.1. Transmit Power for Given QoS
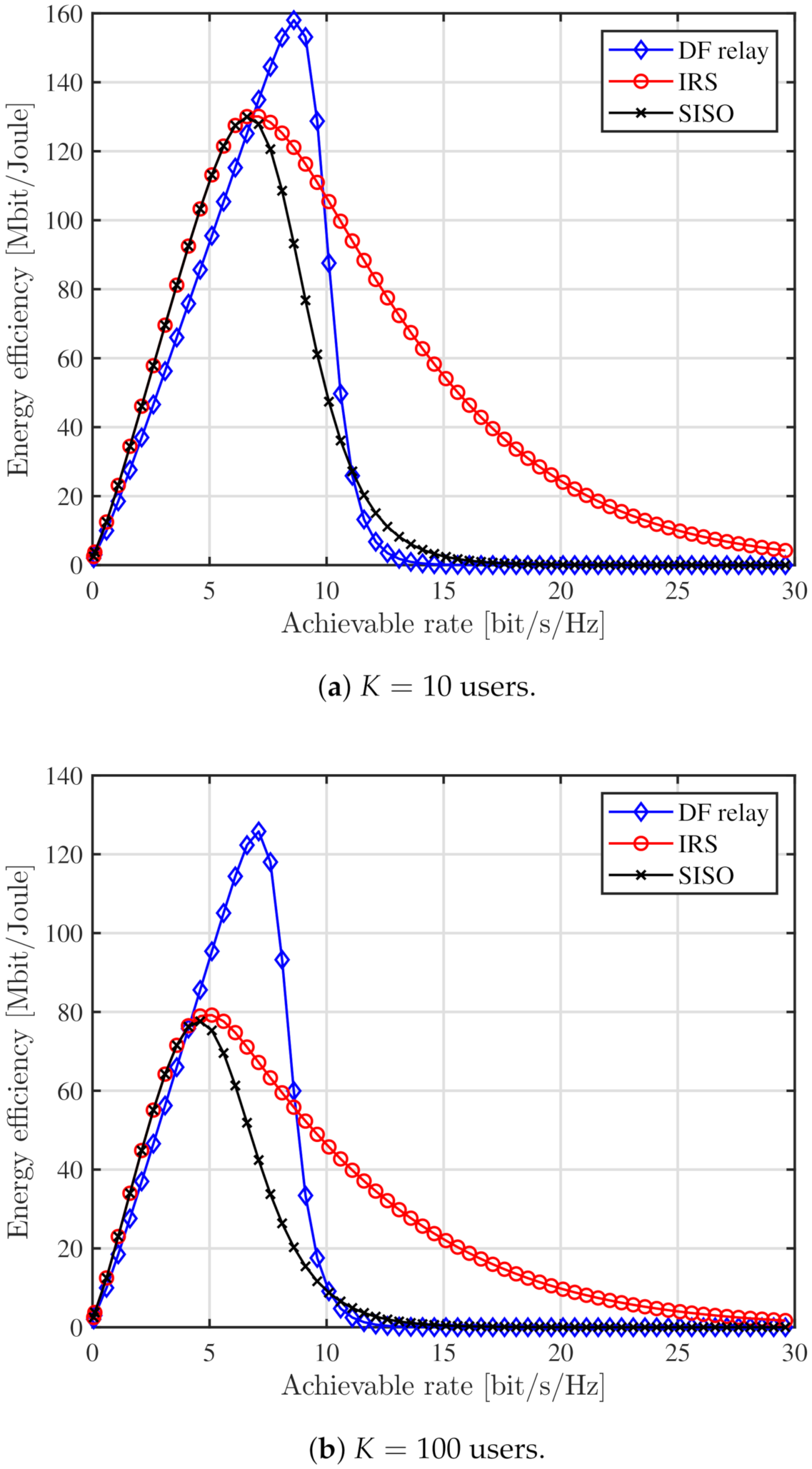
3.2. Energy Efficiency
4. Numerical Results and Discussions
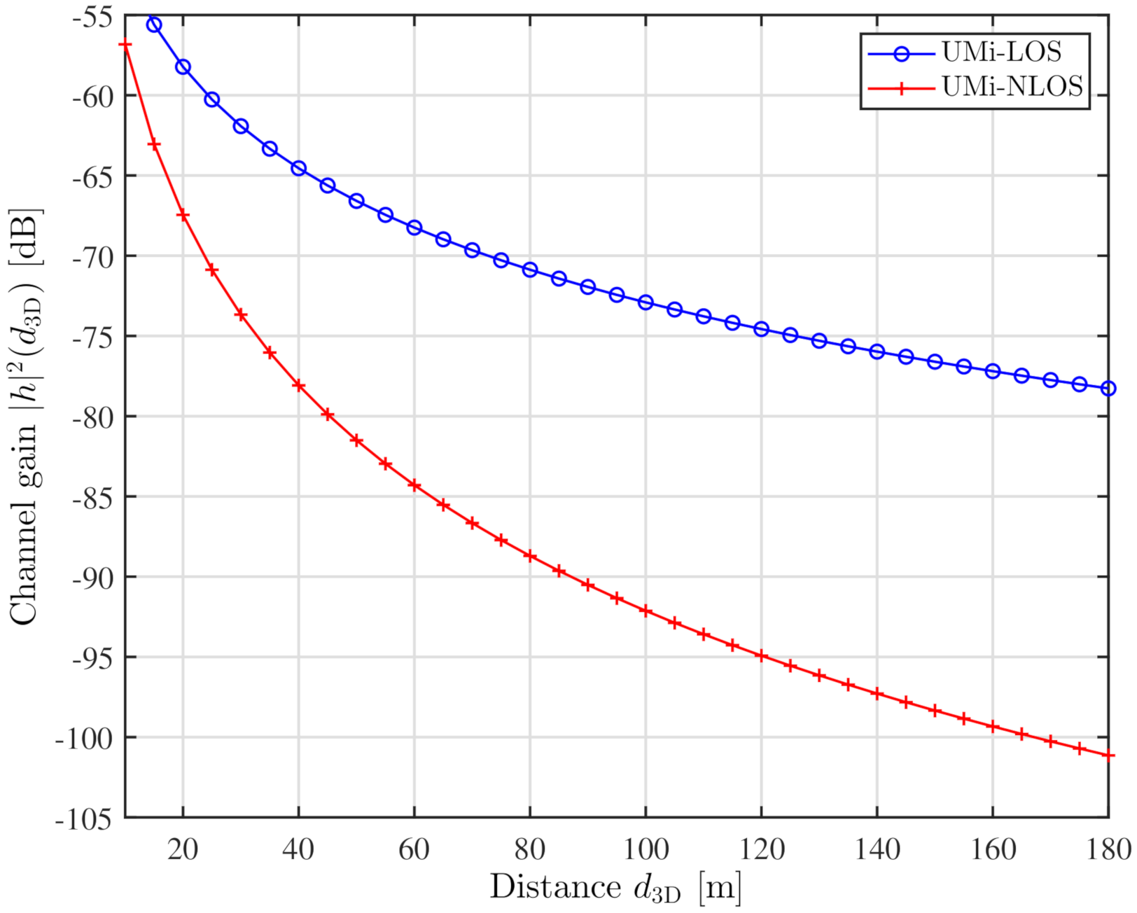
4.1. Channel Model
4.1.1. Perfect CSI
4.1.2. Imperfect CSI
4.2. Simulation Setup
5. Conclusions
Author Contributions
Funding
Conflicts of Interest
Abbreviations
| 3GPP | 3rd Generation Partnership Project |
| 5G | 5th Generation |
| BS | Base Station |
| CSI | Channel State Information |
| DF | Decode and Forward |
| EE | Energy Efficiency |
| FR | Frequency Ranges |
| GHz | Giga Hertz |
| ITU | International Telecommunciation Union |
| IRS | Intelligent Reconfigurable Surface |
| LoS | Line of Sight |
| MIMO | Multiple Input Multiple Output |
| MRC | Maximum Ration Combining |
| MU | Multi Users |
| NLOS | Non-Line of Sight |
| QoS | Quality of Services |
| ZB | Zetta Bytes |
References
- Tariq, F.; Khandaker, M.R.A.; Wong, K.-K.; Imran, M.A.; Bennis, M.; Debbah, M. A Speculative Study on 6G. IEEE Wirel. Commun. 2020, 27, 118–125. [Google Scholar] [CrossRef]
- Basar, E.; Renzo, M.D.; Rosny, J.D.; Debbah, M.; Alouini, M.-S.; Zhang, R. Wireless Communications Through Reconfigurable Intelligent Surfaces. IEEE Access 2019, 7, 116753–116773. [Google Scholar] [CrossRef]
- Guo, H.; Liang, Y.; Chen, J.; Larsson, E.G. Weighted Sum-Rate Maximization for Reconfigurable Intelligent Surface Aided Wireless Networks. IEEE Trans. Wirel. Commun. 2020, 19, 3064–3076. [Google Scholar] [CrossRef] [Green Version]
- Tang, W.; Chen, M.Z.; Chen, X.; Dai, J.Y.; Han, Y.; Di Renzo, M.; Zeng, Y.; Jin, S.; Cheng, Q.; Cui, T.J. Wireless Communications With Reconfigurable Intelligent Surface: Path Loss Modeling and Experimental Measurement. IEEE Trans. Wirel. Commun. 2021, 20, 421–439. [Google Scholar] [CrossRef]
- ElMossallamy, M.A.; Zhang, H.; Song, L.; Seddik, K.G.; Han, Z.; Li, G.Y. Reconfigurable Intelligent Surfaces for Wireless Communications: Principles, Challenges, and Opportunities. IEEE Trans. Cogn. Commun. Netw. 2020, 6, 990–1002. [Google Scholar] [CrossRef]
- Tan, X.; Sun, Z.; Jornet, J.M.; Pados, D. Increasing indoor spectrum sharing capacity using smart reflect-array. In Proceedings of the 2016 IEEE International Conference on Communications (ICC), Kuala Lumpur, Malaysia, 23–27 May 2016; pp. 1–6. [Google Scholar] [CrossRef] [Green Version]
- Huang, C.; Zappone, A.; Debbah, M.; Yuen, C. Achievable Rate Maximization by Passive Intelligent Mirrors. In Proceedings of the 2018 IEEE International Conference on Acoustics, Speech and Signal Processing (ICASSP), Calgary, AB, Canada, 15–20 April 2018; pp. 3714–3718. [Google Scholar] [CrossRef] [Green Version]
- Yu, X.; Xu, D.; Schober, R. Optimal Beamforming for MISO Communications via Intelligent Reflecting Surfaces. In Proceedings of the 2020 IEEE 21st International Workshop on Signal Processing Advances in Wireless Communications (SPAWC), Atlanta, GA, USA, 26–29 May 2020; pp. 1–5. [Google Scholar] [CrossRef]
- Li, A.; Song, L.; Vucetic, B.; Li, Y. Interference Exploitation Precoding for Reconfigurable Intelligent Surface Aided Multi-User Communications With Direct Links. IEEE Wirel. Commun. Lett. 2020, 9, 1937–1941. [Google Scholar] [CrossRef]
- Zhang, H.; Di, B.; Song, L.; Han, Z. Reconfigurable Intelligent Surfaces Assisted Communications With Limited Phase Shifts: How Many Phase Shifts Are Enough? IEEE Trans. Veh. Tech. 2020, 69, 4498–4502. [Google Scholar] [CrossRef] [Green Version]
- Di, B.; Zhang, H.; Song, L.; Li, Y.; Han, Z.; Poor, H.V. Hybrid Beamforming for Reconfigurable Intelligent Surface based Multi-User Communications: Achievable Rates With Limited Discrete Phase Shifts. IEEE J. Sel. Areas Commun. 2020, 38, 1809–1822. [Google Scholar] [CrossRef]
- Di Renzo, M.; Ntontin, K.; Song, J.; Danufane, F.H.; Qian, X.; Lazarakis, F.; De Rosny, J.; Phan-Huy, D.T.; Simeone, O.; Zhang, R.; et al. Relaying: Differences, Similarities, and Performance Comparison. IEEE Open J. Commun. Soc. 2020, 1, 798–807. [Google Scholar] [CrossRef]
- Chatzigeorgiou, I. The Impact of 5G Channel Models on the Performance of Intelligent Reflecting Surfaces and Decode-and-Forward Relaying. In Proceedings of the 2020 IEEE 31st Annual International Symposium on Personal, Indoor and Mobile Radio Communications, London, UK, 31 August–3 September 2020; pp. 1–4. [Google Scholar] [CrossRef]
- Björnson, E.; Ozdogan, O.; Larsson, E.G. Intelligent Reflecting Surface Versus Decode-and-Forward: How Large Surfaces are Needed to Beat Relaying? IEEE Wirel. Commun. Lett. 2020, 9, 244–248. [Google Scholar] [CrossRef] [Green Version]
- Huang, C.; Zappone, A.; Alexandropoulos, G.C.; Debbah, M.; Yuen, C. Reconfigurable Intelligent Surfaces for Energy Efficiency in Wireless Communication. IEEE Trans. Wirel. Commun. 2019, 18, 4157–4170. [Google Scholar] [CrossRef] [Green Version]
- Huang, C.; Alexandropoulos, G.C.; Zappone, A.; Debbah, M.; Yuen, C. Energy Efficient Multi-User MISO Communication Using Low Resolution Large Intelligent Surfaces. In Proceedings of the 2018 IEEE Globecom Workshops (GC Wkshps), Abu Dhabi, United Arab Emirates, 9–13 December 2018; pp. 1–6. [Google Scholar]
- 5G. Study on Channel Model for Frequencies from 0.5 to 100 GHz. 3GPP TR 38.901 (Release 14). 2018. Available online: https://www.etsi.org/deliver/etsi_tr/138900_138999/138901/14.00.00_60/tr_138901v140000p.pdf (accessed on 16 June 2021).
- Wu, Q.; Zhang, R. Intelligent Reflecting Surface Enhanced Wireless Network via Joint Active and Passive Beamforming. IEEE Trans. Wirel. Commun. 2019, 18, 5394–5409. [Google Scholar] [CrossRef] [Green Version]
- Nadeem, Q.-U.-A.; Kammoun, A.; Chaaban, A.; Debbah, M.; Alouini, M.-S. Intelligent reflecting surface assisted wireless communication: Modeling and channel estimation. arXiv 2019, arXiv:1906.02360. [Google Scholar]
- He, Z.; Yuan, X. Cascaded Channel Estimation for Large Intelligent Metasurface Assisted Massive MIMO. IEEE Wirel. Commun. Lett. 2020, 9, 210–214. [Google Scholar] [CrossRef] [Green Version]
- Taha, A.; Alrabeiah, M.; Alkhateeb, A. Enabling Large Intelligent Surfaces With Compressive Sensing and Deep Learning. IEEE Access 2021, 9, 44304–44321. [Google Scholar] [CrossRef]
- Wang, Z.; Liu, L.; Cui, S. Channel Estimation for Intelligent Reflecting Surface Assisted Multiuser Communications: Framework, Algorithms, and Analysis. IEEE Trans. Wirel. Commun. 2020, 19, 6607–6620. [Google Scholar] [CrossRef]
- Dhok, S.; Raut, P.; Sharma, P.K.; Singh, K.; Li, C.-P. Non-Linear Energy Harvesting in RIS-assisted URLLC Networks for Industry Automation. IEEE Trans. Commun. 2021. [Google Scholar] [CrossRef]
- Rappaport, T.S.; Xing, Y.; MacCartney, G.R.; Molisch, A.F.; Mellios, E.; Zhang, J. Overview of Millimeter Wave Communications for Fifth-Generation (5G) Wireless Networks—With a Focus on Propagation Models. IEEE Trans. Antennas Propag. 2017, 65, 6213–6230. [Google Scholar] [CrossRef]
- Ma, B.; Zhang, H.; Zhang, Z. Joint power allocation and mode selection for D2D communications with imperfect CSI. China Commun. 2015, 12, 73–81. [Google Scholar] [CrossRef]










| LOS | , for |
| where for and | |
| NLOS | , where |
| , for and |
Publisher’s Note: MDPI stays neutral with regard to jurisdictional claims in published maps and institutional affiliations. |
© 2021 by the authors. Licensee MDPI, Basel, Switzerland. This article is an open access article distributed under the terms and conditions of the Creative Commons Attribution (CC BY) license (https://creativecommons.org/licenses/by/4.0/).
Share and Cite
Mustaghfirin, M.; Singh, K.; Biswas, S.; Huang, W.-J. Performance Analysis of Intelligent Reflecting Surface-Assisted Multi-Users Communication Networks. Electronics 2021, 10, 2084. https://doi.org/10.3390/electronics10172084
Mustaghfirin M, Singh K, Biswas S, Huang W-J. Performance Analysis of Intelligent Reflecting Surface-Assisted Multi-Users Communication Networks. Electronics. 2021; 10(17):2084. https://doi.org/10.3390/electronics10172084
Chicago/Turabian StyleMustaghfirin, Muhamad, Keshav Singh, Sudip Biswas, and Wan-Jen Huang. 2021. "Performance Analysis of Intelligent Reflecting Surface-Assisted Multi-Users Communication Networks" Electronics 10, no. 17: 2084. https://doi.org/10.3390/electronics10172084
APA StyleMustaghfirin, M., Singh, K., Biswas, S., & Huang, W.-J. (2021). Performance Analysis of Intelligent Reflecting Surface-Assisted Multi-Users Communication Networks. Electronics, 10(17), 2084. https://doi.org/10.3390/electronics10172084

