Design and Analysis of a Photonic Crystal Based Planar Antenna for THz Applications
Abstract
:1. Introduction
2. Proposed Antenna Structure
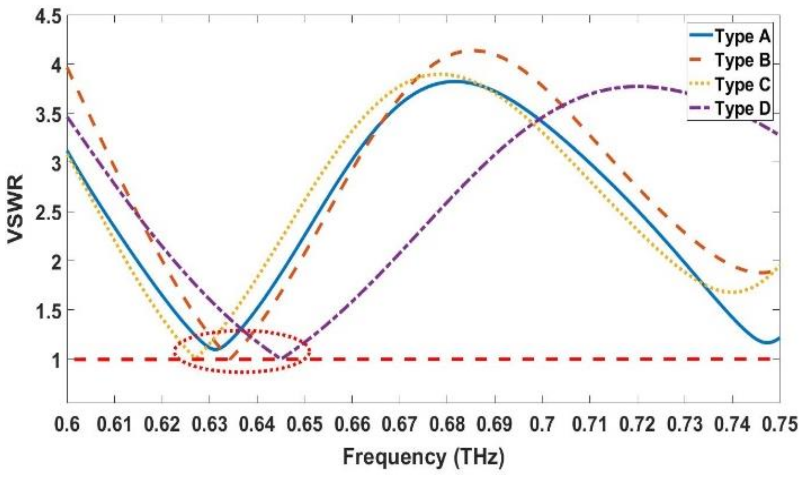
3. Simulation Results and Discussion
4. Parametric Analysis
5. Conclusions
Author Contributions
Funding
Data Availability Statement
Acknowledgments
Conflicts of Interest
References
- Mei, J.; Zhong, K.; Xu, J.; Xu, D.; Shi, W.; Yao, J. Efficient Terahertz Generation via GaAs Hybrid Ridge Waveguides. IEEE Photon. Technol. Lett. 2019, 31, 1666–1669. [Google Scholar] [CrossRef]
- Choi, Y. Performance analysis of multi-gigabit wireless transmission at THz WLAN-type applications. J. Commun. Netw. 2014, 16, 305–310. [Google Scholar] [CrossRef]
- Feng, J.; Meng, T.; Lu, Y.; Ren, J.; Zhao, G.; Liu, H.; Yang, J.; Huang, R. Nondestructive Testing of Hollowing Deterioration of the Yungang Grottoes Based on THz-TDS. Electronics 2020, 9, 625. [Google Scholar] [CrossRef] [Green Version]
- Federici, J.F.; Schulkin, B.; Huang, F.; Gary, D.; Barat, R.; Oliveira, F.; Zimdars, D. THz imaging and sensing for security applications explosives, weapons and drugs. Semicond. Sci. Technol. 2005, 20, 266–280. [Google Scholar] [CrossRef]
- Rong, Z.; Leeson, M.; Higgins, M.; Lu, Y. Nano-Rectenna Powered Body-Centric Nanonetworks. Terahertz Band. Healthc. Technol. Lett. 2018, 5, 113–117. [Google Scholar] [CrossRef] [PubMed]
- Beruete, M.; Jáuregui-López, I. Terahertz Sensing Based on Metasurfaces. Adv. Opt. Mater. 2019, 8. [Google Scholar] [CrossRef] [Green Version]
- Ullah, S.; Ahmad, I.; Raheem, Y.; Ullah, S.; Ahmad, T.; Habib, U. Hexagonal shaped CPW Feed based Frequency Reconfigurable Antenna for WLAN and Sub-6 GHz 5G applications. In Proceedings of the 2020 International Conference on Emerging Trends in Smart Technologies (ICETST), Piscataway, NJ, USA, 26 March 2020; pp. 1–4. [Google Scholar] [CrossRef]
- Asad, K.M.B.; Girard, J.N.; de Villiers, M.; Ansah-Narh, T.; Iheanetu, K.; Smirnov, O.; Lehmensiek, R.; Jonas, J.; de Villiers, D.I.L.; Thorat, K.; et al. Primary beam effects of radio astronomy antennas—II. Modelling MeerKAT L-band beams. Mon. Not. R. Astron. Soc. 2021, 502, 2970–2983. [Google Scholar] [CrossRef]
- Koenig, S.; Lopez-Diaz, D.; Antes, J.; Boes, F.; Henneberger, R.; Leuther, A.; Tessmann, A.; Schmogrow, R.; Hillerkuss, D.; Palmer, R.; et al. Wireless sub-THz communication system with high data rate. Nat. Photon. 2013, 7, 977–981. [Google Scholar] [CrossRef]
- Cacciapuoti, A.S.; Sankhe, K.; Caleffi, M.; Chowdhury, K.R. Beyond 5G: THz-Based Medium Access Protocol for Mobile Heterogeneous Networks. IEEE Commun. Mag. 2018, 56, 110–115. [Google Scholar] [CrossRef]
- Habib, U.; Aighobahi, A.E.; Quinlan, T.; Walker, S.D.; Gomes, N.J. Demonstration of radio-over-fiber-supported 60 GHz MIMO using separate antenna-pair processing. In Proceedings of the 2017 International Topical Meeting on Microwave Photonics (MWP), Beijing, China, 23–26 October 2017; pp. 1–4. [Google Scholar] [CrossRef]
- Temmar, M.N.E.; Hocini, A.; Khedrouche, D.; Zamani, M. Analysis and design of a terahertz microstrip antenna based on a synthesized photonic bandgap substrate using BPSO. J. Comput. Electron. 2019, 18, 231–240. [Google Scholar] [CrossRef]
- Roslan, N.H.; Awang, A.H.; Hizan, H.M. The Effect of Photonic Crystal Parameters on The Terahertz Photonic Crystal Cavities Microstrip Antenna Performances. In Proceedings of the 2018 IEEE International RF and Microwave Conference (RFM), Penang, Malaysia, 17–19 December 2018; pp. 147–150. [Google Scholar] [CrossRef]
- Choudhury, B.; Danana, B.; Jha, R.M. PBG based terahertz antenna for aerospace applications. In PBG based Terahertz Antenna for Aerospace Applications; Springer: Singapore, 2016; pp. 1–35. ISBN 978-981-287-802-1. [Google Scholar]
- Gonzalo, R.; de Maagt, P.; Sorolla, M. Enhanced patch-antenna performance by suppressing surface waves using photonic-band gap substrates. IEEE Trans Microw. Theory Tech. 2016, 47, 2131–2138. [Google Scholar] [CrossRef]
- Bala, R.; Marwaha, A. Development of computational model for tunable characteristics of graphene based triangular patch antenna in THz regime. J. Comput. Electron. 2015, 15, 222–227. [Google Scholar] [CrossRef]
- Jayasinghe, J.W.; Uduwawala, D.N. A novel miniature multi-frequency broadband patch antenna for WLAN applications. In Proceedings of the 2013 IEEE 8th International Conference on Industrial and Information Systems, Peradeniya, Kandy, 17–20 December 2013; pp. 361–363. [Google Scholar] [CrossRef]
- Patel, S.K.; Sonagara, J.; Katrodiya, D.; Sorathiya, V. High gain metamaterial radome design for microstrip based radiating structure. Mater. Res. Express 2018, 6, 025803. [Google Scholar] [CrossRef]
- Li, R.; Dejean, G.; Tentzeris, M.; Papapolymerou, J.; Laskar, J. Radiation-pattern improvement of patch antennas on a large-size substrate using a compact soft-surface structure and its realization on LTCC multilayer technology. IEEE Trans. Antennas Propag. 2005, 53, 200–208. [Google Scholar] [CrossRef]
- Gupta, S.; Dhillon, S.; Khera, P.; Marwaha, A. Dual band U-slotted microstrip patch antenna for C band and X band radar applications. In Proceedings of the 2013 5th International Conference and Computational Intelligence and Communication Networks, Mathura, India, 27–29 September 2013; pp. 41–45. [Google Scholar]
- Balanis, C.A. Antenna Theory: Analysis and Design; John Wiley & Sons: New York, NY, USA, 2016. [Google Scholar]
- CST Microwave Studio CST of America, Inc. Available online: http://www.cst.com (accessed on 12 June 2021).
- Tripathi, S.K.; Kumar, A. High gain miniaturised photonic band gap terahertz antenna for size-limited applications. Aust. J. Electr. Electron. Eng. 2019, 1–7. [Google Scholar] [CrossRef]
- Singh, A.; Singh, S. A trapezoidal microstrip patch antenna on photonic crystal substrate for high speed THz applications. Photon. Nanostructures-Fundam. Appl. 2015, 14, 52–62. [Google Scholar] [CrossRef]
- Ullah, S.; Ruan, C.; Haq, T.; Zhang, X. High performance THz patch antenna using photonic band gap and defected ground structure. J. Electromagn. Waves Appl. 2019, 33, 1943–1954. [Google Scholar] [CrossRef]
- Paul, L.C.; Islam, M. Proposal of wide bandwidth and very miniaturized having dimension of μm range slotted patch THz microstrip antenna using PBG substrate and DGS. In Proceedings of the 20th International Conference of Computer and Information Technology (ICCIT), Dhaka, Bangladesh, 22–24 December 2017; pp. 1–6. [Google Scholar] [CrossRef]
- Kushwaha, R.K.; Karuppanan, P.; Malviya, L. Design and analysis of novel microstrip patch antenna on photonic crystal in THz. Phys. B Condens. Matter 2018, 545, 107–112. [Google Scholar] [CrossRef]
- Memon, A.W.; de Paula, I.L.; Malengier, B.; Vasile, S.; van Torre, P.; van Langenhove, L. Breathable Textile Rectangular Ring Microstrip Patch Antenna at 2.45 GHz for Wearable Applications. Sensors 2021, 21, 1635. [Google Scholar] [PubMed]
- Lee, C.; Chattopadhyay, G.; Decrossas, E.; Peralta, A.; Mehdi, I.; Leal-Sevillano, C.A.; Del Pino, M.A.; Llombart, N. Terahertz antenna arrays with silicon micromachined-based microlens antenna and corrugated horns. In Proceedings of the IEEE 2015 International Workshop on Antenna Technology (iWAT), Seoul, Korea, 4–6 March 2015; pp. 70–73. [Google Scholar] [CrossRef]















| Parameter | Value (μm) | Parameter | Value (μm) | Parameter | Value (μm) |
|---|---|---|---|---|---|
| Lg | 700 | Rc | 100 | Wr | 25 |
| Wg | 660 | Rh | 75 | Sr | 95 |
| Lf | 240 | Sc | 95 | Lr | 20 |
| Wf | 105 | R | 16 | St | 95 |
| Wt | 85 | R0 | 80 | *** | *** |
| Type | Parameter | Unit | Value |
|---|---|---|---|
| Simulation solver | Solver type | Finite Integration technique | |
| Impedence | Ohm | 50 | |
| Mesh type for time Domain Solver | Hexahedral | ||
| Frequency Range | THz | 0.6 to 0.7 | |
| Polyimide substrate | Relative permitivity | Unitless | 3.5 |
| Density (rho) | Kg/m3 | 1400 | |
| Young’s Modulus | GPa | 2.5 |
| Particular | fr (THz) | S11 (dB) | BW (GHz) | Gain (dB) | Directivity (dBi) | VSWR | Rad: Efficiency |
|---|---|---|---|---|---|---|---|
| [23] | 1.04 | −17.59 | *** | 7.99 | 8.24 | *** | 91.1 |
| [24] | 0.96 | −15.70 | *** | *** | *** | 1.39 | *** |
| [25] | 0.690 | −34.9 | 24 | 6.88 | 7.01 | 1.043 | *** |
| [26] | 0.703 | −50.94 | 26.4 | 5.24 | 6.81 | 1.005 | *** |
| [27] | 0.6308 | −44.71 | 36.23 | 7.94 | 8.61 | 1.012 | 85.7 |
| This work (Type-A) | 0.63 | −28.49 | 28.88 | 8.34 | 8.9 | 1.02 | 82.6 |
| This work (Type-B) | 0.633 | −53.11 | 26.47 | 8.96 | 9.48 | 1.07 | 88.6 |
| This work (Type-C) | 0.626 | −47.79 | 27.84 | 9 | 9.5 | 1.04 | 89.5 |
| This work (Type-D) | 0.63 | −59.15 | 29.79 | 9.45 | 10.1 | 1.0001 | 90.6 |
Publisher’s Note: MDPI stays neutral with regard to jurisdictional claims in published maps and institutional affiliations. |
© 2021 by the authors. Licensee MDPI, Basel, Switzerland. This article is an open access article distributed under the terms and conditions of the Creative Commons Attribution (CC BY) license (https://creativecommons.org/licenses/by/4.0/).
Share and Cite
Ahmad, I.; Ullah, S.; Ullah, S.; Habib, U.; Ahmad, S.; Ghaffar, A.; Alibakhshikenari, M.; Khan, S.; Limiti, E. Design and Analysis of a Photonic Crystal Based Planar Antenna for THz Applications. Electronics 2021, 10, 1941. https://doi.org/10.3390/electronics10161941
Ahmad I, Ullah S, Ullah S, Habib U, Ahmad S, Ghaffar A, Alibakhshikenari M, Khan S, Limiti E. Design and Analysis of a Photonic Crystal Based Planar Antenna for THz Applications. Electronics. 2021; 10(16):1941. https://doi.org/10.3390/electronics10161941
Chicago/Turabian StyleAhmad, Inzamam, Sadiq Ullah, Shakir Ullah, Usman Habib, Sarosh Ahmad, Adnan Ghaffar, Mohammad Alibakhshikenari, Salahuddin Khan, and Ernesto Limiti. 2021. "Design and Analysis of a Photonic Crystal Based Planar Antenna for THz Applications" Electronics 10, no. 16: 1941. https://doi.org/10.3390/electronics10161941
APA StyleAhmad, I., Ullah, S., Ullah, S., Habib, U., Ahmad, S., Ghaffar, A., Alibakhshikenari, M., Khan, S., & Limiti, E. (2021). Design and Analysis of a Photonic Crystal Based Planar Antenna for THz Applications. Electronics, 10(16), 1941. https://doi.org/10.3390/electronics10161941

