Low-Complexity Aggregation Techniques for DOA Estimation over Wide-RF Bandwidths
Abstract
:1. Introduction
2. System Model
2.1. Notations
2.2. Assumptions
2.3. LFM Signals
2.4. Received Signals
3. Overview of Channelisation
3.1. The Channelisation Framework
3.2. MUltiple SIgnal Classification (MUSIC)
3.3. Aggregation
3.3.1. SCM-based
3.3.2. Spatial Pseudospectra-Based
| Algorithm 1 Incoherent SCM-based aggregation [21]. |
| Select Q time segments, each with duration seconds. |
| for every time segment do |
| Collect samples in time segment q, . |
| for every element do |
| Take J-point DFT of to obtain . |
| end for |
| Form K narrowband bins by grouping frequencies such that where . |
| for every frequency bin do |
| Compute aggregate SCM using (8). |
| end for |
| Compute using (7). |
| Estimate using (10). |
| end for |
| Return the estimates where . |
| Algorithm 2 Incoherent pseudospectra-based aggregation [21]. |
| Select Q time segments, each with duration seconds. |
| for every time segment do |
| Collect samples in time segment q, . |
| for every element do |
| Take J-point DFT of to obtain . |
| end for |
| Form K narrowband bins by grouping frequencies such that where . |
| for every frequency bin do |
| Compute using (7). |
| end for |
| Compute aggregate spatial pseudospectrum using (9b). |
| Estimate using (10). |
| end for |
| Return the estimates where . |
4. Simulation Results
4.1. Simulation Parameters and Metrics
- The fractional bandwidth is defined as the ratio of the signal bandwidth to the carrier frequency. Signals are generally classified as narrowband if their fractional bandwidth is less than of the carrier frequency; otherwise they are classified as wideband [25]. Table 2 shows the fractional bandwidths for different signals.
- The rmse is a statistical metric that quantifies the deviation of the estimates from the true DOA such thatwhere is the DOA estimate corresponding to a true DOA of of the pth signal in the rth iteration.
4.2. DOA Estimation Performance for a Single Source
4.2.1. Effect of Initial Frequency
4.2.2. Root-Mean-Squared Error (RMSE)
4.3. DOA Estimation Performance for Two Sources
4.3.1. Symmetrical sources situated at 10 and degrees
4.3.2. Non-Symmetrical Sources
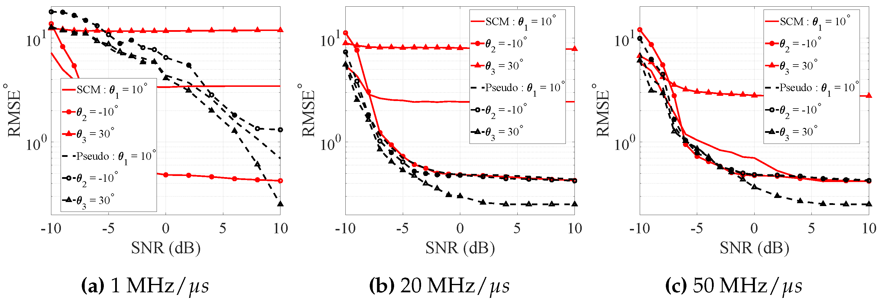
4.4. DOA Estimation Performance for Three Sources
4.5. Summary of DOA Estimation Performance Results
4.6. Computational Complexity Analysis
5. Conclusions
Author Contributions
Funding
Conflicts of Interest
References
- Tsui, J.; Cheng, C.H. Digital Techniques for Wideband Receivers, 3rd ed.; Institution of Engineering and Technology: London, UK, 2016. [Google Scholar]
- Krim, H.; Viberg, M. Two decades of array signal processing research: The parametric approach. IEEE Signal Process. Mag. 1996, 13, 67–94. [Google Scholar] [CrossRef]
- Schmidt, R. Multiple emitter location and signal parameter estimation. IEEE Trans. Antennas Propag. 1986, 34, 276–280. [Google Scholar] [CrossRef] [Green Version]
- Roy, R.; Kailath, T. ESPRIT-Estimation of signal parameters via rotational invariance techniques. IEEE Trans. Acoust. Speech Signal Process. 1989, 37, 984–995. [Google Scholar] [CrossRef] [Green Version]
- Akaike, H. A new look at the statistical model identification. IEEE Trans. Autom. Control. 1974, AC-19, 716–723. [Google Scholar] [CrossRef]
- Wax, M.; Kailath, T. Detection of signals by information theoretic criteria. IEEE Trans. Acoust. Speech Signal Process. 1988, ASSP-33, 387–392. [Google Scholar] [CrossRef] [Green Version]
- Su, G.; Morf, M. The signal subsapace approach for multiple wide-band emitter location. IEEE Trans. Acoust. Speech Signal Process. 1983, ASSP-31, 1502–1522. [Google Scholar]
- Yoon, Y.S.; Kaplan, L.M.; McClellan, J.H. TOPS: New DOA estimator for wideband signals. IEEE Trans. Signal Process. 2006, 54, 1977–1989. [Google Scholar] [CrossRef]
- Yu, H.; Liu, J.; Huang, Z.; Zhou, Y.; Xu, X. A new method for wideband DOA estimation. In Proceedings of the 2007 International Conference on Wireless Communications, Networking and Mobile Computing, WiCOM 2007, Shanghai, China, 21–25 September 2007; pp. 598–601. [Google Scholar] [CrossRef]
- Wang, H. Coherent signal-subspace processing for the detection wide-band sources. IEEE Trans. Acoust. Speech Signal Process. 1985, ASSP-33, 823–831. [Google Scholar] [CrossRef] [Green Version]
- Di Claudio, E.D.; Parisi, R. WAVES: Weighted average of signal subspaces for robust wideband direction finding. IEEE Trans. Signal Process. 2001, 49, 2179–2191. [Google Scholar] [CrossRef] [Green Version]
- Okane, K.; Ohtsuki, T. Resolution improvement of wideband direction-of-arrival estimation “Squared-TOPS”. In Proceedings of the IEEE International Conference on Communications, Cape Town, South Africa, 23–27 May 2010; pp. 1–6. [Google Scholar] [CrossRef]
- Zhang, L.; Liu, W.; Langley, R.J. A Class of constrained adaptive beamforming algorithms based on uniform linear arrays. IEEE Trans. Signal Process. 2010, 58, 3916–3922. [Google Scholar] [CrossRef]
- Hayashi, H.; Ohtsuki, T. DOA estimation for wideband signals based on weighted Squared TOPS. Eurasip J. Wirel. Commun. Netw. 2016, 2016. [Google Scholar] [CrossRef] [Green Version]
- Shaw, A.K. Improved Wideband DOA Estimation Using Modified TOPS (mTOPS) Algorithm. IEEE Signal Process. Lett. 2016, 23, 1697–1701. [Google Scholar] [CrossRef]
- Selva, J. Efficient wideband DOA estimation through function evaluation techniques. IEEE Trans. Signal Process. 2018, 66, 3112–3123. [Google Scholar] [CrossRef] [Green Version]
- Bai, Y.; Li, J.; Wu, Y.; Wang, Q.; Zhang, X. Weighted Incoherent Signal Subspace Method for DOA Estimation on Wideband Colored Signals. IEEE Access 2019, 7, 1224–1233. [Google Scholar] [CrossRef]
- Pace, P.E. Detecting and Classifying Low Probability of Intercept Radar; Artech House: Norwood, MA, USA, 2008. [Google Scholar]
- Amin, M.G.; Zhang, Y.D. DOA estimation of nonstationary signals. In Academic Press Library in Signal Processing: Volume 3 Array and Statistical Signal Processing; Elsevier Ltd.: Amsterdam, The Netherlands, 2014; Volume 3, pp. 765–798. [Google Scholar] [CrossRef]
- Mulinde, R.; Dissanayake, D.W.; Kaushik, M.; Ho, S.W.; Chan, T.; Attygalle, S.M.; Aziz, S.M. DOA estimation of wideband LFM RARAR Signals. In Proceedings of the International Radar Conference, Toulon, France, 23–27 September 2019; pp. 1–6. [Google Scholar] [CrossRef]
- Mulinde, R.; Kaushik, M.; Attygalle, M.; Aziz, S.M. Evaluation of aggregation techniques for DOA estimation of wideband radar signals. In Proceedings of the 2020 14th International Conference on Signal Processing and Communication Systems, ICSPCS 2020, Adelaide, SA, Australia, 14–16 December 2020; pp. 1–9. [Google Scholar] [CrossRef]
- Amin, M.G.; Zhang, Y. Direction finding based on spatial time-frequency distribution matrices. Digit. Signal Process. A Rev. J. 2000, 10, 325–359. [Google Scholar] [CrossRef] [Green Version]
- Mulinde, R.; Attygalle, M.; Aziz, S.M. Experimental validation of direction of arrival estimation for high chirp-rate linear frequency modulated radar signals. IET Radar Sonar Navig. 2021, 15, 627–640. [Google Scholar] [CrossRef]
- Guo, R.; Zhang, Y.; Lin, Q.; Chen, Z. A channelization-based DOA estimation method for wideband signals. Sensors 2016, 16, 1031. [Google Scholar] [CrossRef] [Green Version]
- Blunt, S.D.; Jakabosky, J.; Mccormick, P.; Tan, P.S.; Metcalf, J.G. Holistic radar waveform diversity. In Academic Press Library in Signal Processing Volume 7; Elsevier Ltd.: Amsterdam, The Netherlands, 2018; Volume 7, pp. 3–50. [Google Scholar] [CrossRef]
- Yan, F.; Jin, M.; Qiao, X. Low-complexity DOA estimation based on compressed MUSIC and its performance analysis. IEEE Trans. Signal Process. 2013, 61, 1915–1930. [Google Scholar] [CrossRef]
- Sun, F.; Lan, P.; Gao, B.; Chen, L. A low complexity direction of arrival estimation algorithm by reinvestigating the sparse structure of uniform linear arrays. Prog. Electromagn. Res. C 2016, 63, 119–129. [Google Scholar] [CrossRef] [Green Version]
- Kulhandjian, H.; Kulhandjian, M.; Kim, Y.; D’Amours, C. 2-D DOA estimation of coherent wideband signals with auxiliary-vector basis. In Proceedings of the International Conference on Communications Workshops, Kansas City, MO, USA, 20–24 May 2018; pp. 1–6. [Google Scholar] [CrossRef]



















| Parameter | Description | Quantity |
|---|---|---|
| source DOA | , , | |
| M | number of sensors | 7 |
| SNR | signal-to-noise ratio | |
| carrier frequency | ||
| d | inter-element spacing | |
| sampling rate | ||
| processing bandwidth | ||
| signal bandwidth | ||
| minimum frequency | ||
| maximum frequency | ||
| initial frequency | , , | |
| pulse width | s | |
| chirp rate | s | |
| Q | number of time segments in 100 s | 10 |
| duration of time segments | s | |
| K | number of frequency bins | 100 |
| angular resolution |
| Signal Bandwidth | Fractional Bandwidth | Bins with Signal | |
|---|---|---|---|
| (GHz) | (MHz) | (%) | (%) |
| 10 | |||
| 200 | |||
| 500 | |||
| 10 | 1 | ||
| 200 | 20 | ||
| 500 | 50 |
| Complexity (Flops) | SCM-Based | Psuedospectra-Based |
|---|---|---|
| for s | Aggregation | Aggregation |
| Computation of scms | ||
| Computation of evd | ||
| Spectral search | ||
| Simulation time (ms) |
Publisher’s Note: MDPI stays neutral with regard to jurisdictional claims in published maps and institutional affiliations. |
© 2021 by the authors. Licensee MDPI, Basel, Switzerland. This article is an open access article distributed under the terms and conditions of the Creative Commons Attribution (CC BY) license (https://creativecommons.org/licenses/by/4.0/).
Share and Cite
Mulinde, R.; Kaushik, M.; Attygalle, M.; Aziz, S.M. Low-Complexity Aggregation Techniques for DOA Estimation over Wide-RF Bandwidths. Electronics 2021, 10, 1707. https://doi.org/10.3390/electronics10141707
Mulinde R, Kaushik M, Attygalle M, Aziz SM. Low-Complexity Aggregation Techniques for DOA Estimation over Wide-RF Bandwidths. Electronics. 2021; 10(14):1707. https://doi.org/10.3390/electronics10141707
Chicago/Turabian StyleMulinde, Ronald, Mayank Kaushik, Manik Attygalle, and Syed Mahfuzul Aziz. 2021. "Low-Complexity Aggregation Techniques for DOA Estimation over Wide-RF Bandwidths" Electronics 10, no. 14: 1707. https://doi.org/10.3390/electronics10141707
APA StyleMulinde, R., Kaushik, M., Attygalle, M., & Aziz, S. M. (2021). Low-Complexity Aggregation Techniques for DOA Estimation over Wide-RF Bandwidths. Electronics, 10(14), 1707. https://doi.org/10.3390/electronics10141707

