Voltage Variations and Their Reduction in a Rural Low-Voltage Network with PV Sources of Energy
Abstract
:1. Introduction
- The reconfiguration of the LV network or construction of new LV networks in such a way that the LV power lines supplying consumers are as short as possible. Such assumptions can be taken into account when a new power infrastructure is built, as presented in the paper [15]. For economic reasons, such a method is not feasible in the situation of the existing power infrastructure due to the necessity to add/relocate medium-voltage/low-voltage (MV/LV) power substations, demolition of existing lines and construction of new ones.
- The application of the on-load tap changer on a transformer in the MV/LV power substation. This solution is presented in papers [16,17]. Such control of voltage is justified when the entire LV network is saturated with PV sources. If at least one circuit from the power substation has no PV sources, it may turn out that the voltage at this point in the network will be inappropriate. The control is global in nature and does not reduce voltage problems occurring along the power line.
- Control the reactive power at the photovoltaic sources. Due to the possibility of receiving/supplying reactive power by the inverter, it is possible to control the voltage in the network—such a solution is presented in papers [18,19,20,21]. The disadvantage of this solution is that, due to the significantly higher value of resistance over reactance in the LV network, the control is carried out in a narrow range. Some solutions combine both local voltage control by inverters in the depth of the network and global control by an on-load tap changer [22,23]. However, such a method of control requires the possibility of making the device, which is an inverter belonging to the customer but available to the Distribution System Operator (DSO). Additionally, the solution requires sophisticated communication systems that allow sharing information between power network components about their state, taking into account various transmission disturbances. In such networks, a fully distributed cooperative control protocol, as presented in [24], which allows for appropriate cooperation of devices in the power network, can be utilized. Unfortunately, such a solution involves additional costs related to the use of special data transmission and processing technologies.
- The use of energy storage units and, thus, control over the flow of active and reactive power in the network. This solution has been heavily analyzed in recent years. There are many publications on this subject, including [25,26,27,28,29]. It should be noted here that the cost of this solution is high. Additionally, the estimated lifetime of energy storage units is not long, approx. 10 years. Therefore, the question arises whether it is not more economical to replace the power lines with larger cross-section lines, which can be utilized for at least 25 years.
- The identification of places/nodes in the network where it is possible to install PV sources or limit the produced power. These methods are not used in practice because they assume unequal treatment of consumers in terms of the possibility of generating power by renewable sources.
- The use of electric vehicles—especially since electric vehicle charging techniques are becoming more and more advanced and user-friendly [30]. However, it will take time to implement these solutions in many countries, and the power network problems related to PV sources are already present.
- Replacement of power lines with larger cross-section lines. This method does not involve placing additional devices in the network that require additional maintenance. Additionally, it does not require a complete reconstruction of the network in overhead lines, and it may be enough to replace the wires. It is clearly simpler than the reconfiguration mentioned in point 1. The authors’ investigation is focused on this method.
2. Materials and Methods
2.1. Description of the Analyzed Network
2.2. General Assumptions
- Replacement of the actually utilized bare conductors of the overhead main line 4 × AL 35 mm2 with bare conductors consecutively: 4 × AL 50 mm2, 4 × AL 70 mm2;
- Replacement of the overhead main line 4 × AL 35 mm2 with a cable line YAKY 4 × 35 mm2.
3. Results
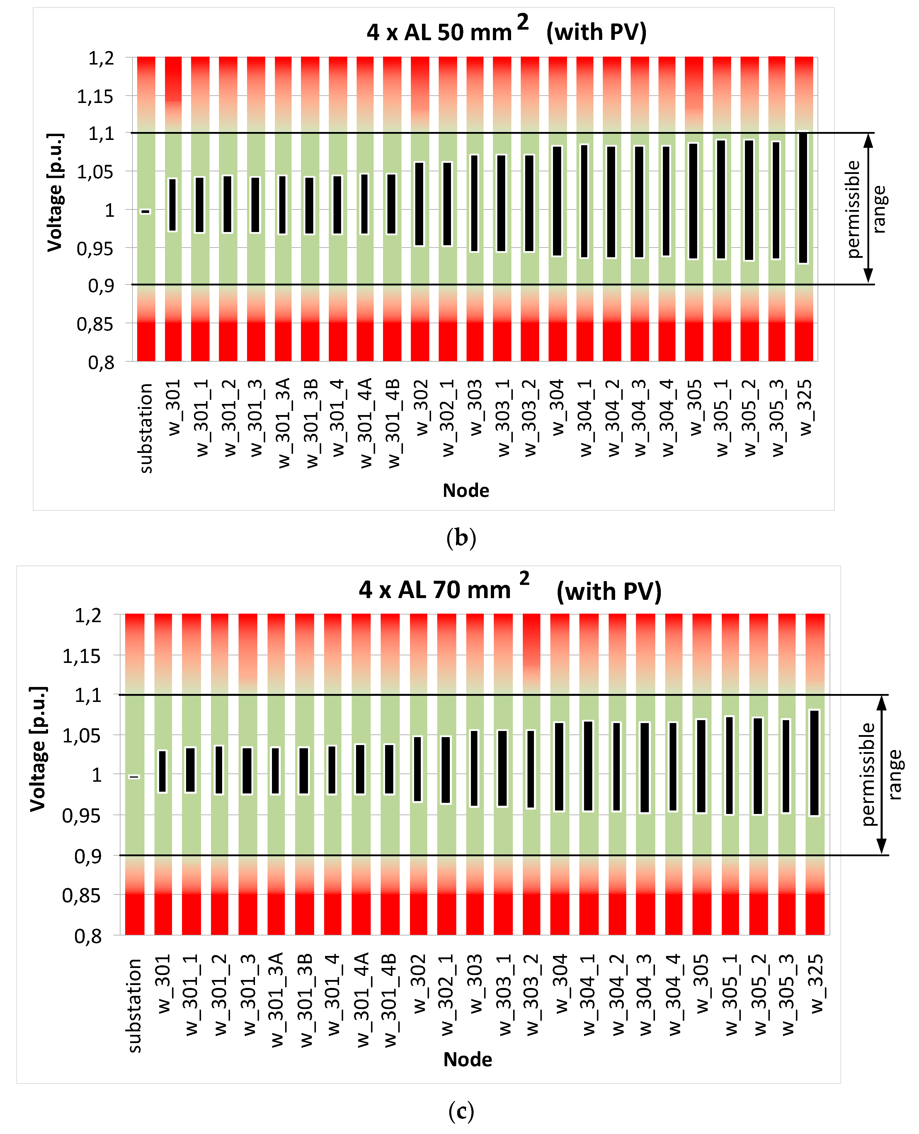
3.1. Increase of the Cross-Sectional Area of the Bare Conductors in the Main Line
3.2. Replacement of the Overhead Line with a Cable Line
3.3. The Costs of Not Maintaining the Required Voltage Level in the Power Network
4. Conclusions
Author Contributions
Funding
Data Availability Statement
Conflicts of Interest
References
- Institute of Renewable Energy. Photovoltaic Market in Poland. 2019. Available online: https://ieo.pl/pl/raport-ieo-rynek-fotowoltaiki-w-polsce-2019 (accessed on 14 May 2021). (In Polish).
- Babula, M. Renewable Sources of Energy in Poland-Photovoltaics. J. Educ. Health Sport 2017, 7, 136–141. [Google Scholar]
- Čepin, M. Reliability of power systems considering conventional and alternative sources of energy. In Proceedings of the 10th International Conference on Digital Technologies 2014, Žilina, Slovakia, 9–11 July 2014; pp. 50–56. [Google Scholar]
- Regulation of the Minister of Economy of 4 May 2007 on the Detailed Conditions for the Operation of the Power System (Dz.U. z 2007, nr 93, poz. 623, in Polish). Available online: http://isap.sejm.gov.pl/isap.nsf/DocDetails.xsp?id=wdu20070930623 (accessed on 14 May 2021).
- CENELEC (European Committee for Electrotechnical Standardization). EN 50160:2010. Voltage Characteristics of Electricity Supplied by Public Electricity Networks; European Committee for Electrotechnical Standardization: Brussels, Belgium, 2010. [Google Scholar]
- Shari, N.S.; Hairi, M.H.; Kamarudin, M.N. PV Generation and Its Impact on Low Voltage Network. In Proceedings of the 2016 IEEE 6th International Conference on Power and Energy (PECON 2016), Melaka, Malaysia, 28–29 November 2016; pp. 343–348. [Google Scholar]
- Limsakul, C.; Songprakorp, R.; Sangswang, A.; Naetiladdanon, S.; Muenpinij, B.; Parinya, P. Impact of Photovoltaic Rooftop Scale Penetration Increasing on Low Voltage Power Systems. In Proceedings of the 2014 IEEE Innovative Smart Grid Technologies-Asia (ISGT ASIA), Kuala Lumpur, Malaysia, 20–23 May 2014; pp. 764–768. [Google Scholar]
- Gabdullin, Y.; Azzopardi, B. Impacts of High Penetration of Photovoltaic Integration in Malta. In Proceedings of the 2018 IEEE 7th World Conference on Photovoltaic Energy Conversion (WCPEC 2018) (A Joint Conference of 45th IEEE PVSC, 28th PVSEC & 34th EU PVSEC), Waikoloa Village, HI, USA, 10–15 June 2018; pp. 1398–1401. [Google Scholar]
- Gabdullin, Y.; Xerri, C.; Azzopardi, B.; Cilia, K.; Portelli, G. Solar Photovoltaics Penetration Impact on a Low Voltage Network A Case Study for the Island of Gozo, Malta. In Proceedings of the 2018 IEEE Power & Energy Society General Meeting (PESGM 2018), Portland, OR, USA, 5–10 August 2018; pp. 1–5. [Google Scholar]
- Navarro, A.; Ochoa, L.F.; Mancarella, P.; Randles, D. Impacts of Photovoltaics on Low Voltage Networks: A Case Study for the North West of England. In Proceedings of the 22nd International Conference and Exhibition on Electricity Distribution (CIRED 2013), Stockholm, Sweden, 10–13 June 2013. [Google Scholar]
- ERO Industry Bulletin—Electricity No. 62 (2285) of May 16, 2017. (in Polish: Biuletyn Branżowy URE—Energia Elektryczna Nr 62 (2285) z dnia 16 maja 2017 r.). Available online: http://webcache.googleusercontent.com/search?q=cache:O9mQqg5cz94J:bip.ure.gov.pl/download/3/8911/20170516TaryfaMetalchemSerwisSpzoo.pdf+&cd=2&hl=pl&ct=clnk&gl=pl (accessed on 10 May 2021).
- Aziz, T.; Ketjoy, N. PV Penetration Limits in Low Voltage Networks and Voltage Variations. IEEE Access 2017, 5, 16784–16792. [Google Scholar] [CrossRef]
- Alves, M.R.; Mendes, M.A. The Role of Photovoltaic Generators in Low Voltage Residential Voltage Regulation: A Comparison between Standards. In Proceedings of the 17th International Conference on Harmonics and Quality of Power (ICHQP), Belo Horizonte, Brazil, 16–19 October 2016; pp. 873–878. [Google Scholar]
- Okon, T.; Wilkosz, K. Propagation of Voltage Deviations in a Power System. Electronics 2021, 10, 949. [Google Scholar] [CrossRef]
- Vai, V.; Alvarez-Herault, M.-C.; Raison, B.; Bun, L. Optimal Low-Voltage Distribution Topology with Integration of PV and Storage for Rural Electrification in Developing Countries: A Case Study of Cambodia. J. Mod. Power Syst. Clean Energy 2020, 8, 531–539. [Google Scholar] [CrossRef]
- Hashemi, S.; Østergaard, J.; Degner, T.; Brandl, R.; Heckmann, W. Efficient Control of Active Transformers for Increasing the PV Hosting Capacity of LV Grids. IEEE Trans. Ind. Inform. 2016, 13, 270–277. [Google Scholar] [CrossRef] [Green Version]
- Nouri, A.; Keane, A. Planning of OLTC Transformers in LV Systems under Conservation Voltage Reduction Strategy. In Proceedings of the 2019 IEEE PES Innovative Smart Grid Technologies Europe (ISGT-Europe), Bucharest, Romania, 29 September–2 October 2019; pp. 1–5. [Google Scholar]
- Demirok, E.; Gonzalez, P.C.; Frederiksen, K.H.; Sera, D.; Rodriguez, P.; Teodorescu, R. Local Reactive Power Control Methods for Overvoltage Prevention of Distributed Solar Inverters in Low-Voltage Grids. IEEE J. Photovolt. 2011, 1, 174–182. [Google Scholar] [CrossRef]
- Craciun, B.-I.; Sera, D.; Man, E.A.; Kerekes, T.; Muresan, V.A.; Teodorescu, R. Improved Voltage Regulation Strategies by PV Inverters in LV Rural Networks. In Proceedings of the 3rd IEEE International Symposium on Power Electronics for Distributed Generation Systems (PEDG 2012), Aalborg, Denmark, 25–28 June 2012; pp. 775–781. [Google Scholar]
- Karthikeyan, N.; Pokhrel, B.R.; Pillai, J.R.; Bak-Jensen, B. Coordinated Voltage Control of Distributed PV Inverters for Voltage Regulation in Low Voltage Distribution Networks. In Proceedings of the 2017 IEEE PES Innovative Smart Grid Technologies Conference Europe (ISGT-Europe 2017), Torino, Italy, 26–29 September 2017; pp. 1–6. [Google Scholar]
- Luo, K.; Shi, W. Comparison of Voltage Control by Inverters for Improving the PV Penetration in Low Voltage Networks. IEEE Access 2020, 8, 161488–161497. [Google Scholar] [CrossRef]
- Safitri, N.; Shahnia, F.; Masoum, M.A. Different Techniques for Simultaneouly Increasing the Penetration Level of Rooftop PVs in Residential LV Networks and Improving Voltage Profile. In Proceedings of the 2014 IEEE PES Asia-Pacific Power and Energy Engineering Conference (APPEEC 2014), Kowloon, Hong Kong, 7–10 December 2014; pp. 1–5. [Google Scholar]
- Nasiri, B.; Ahsan, A.; Gonzalez, D.M.; Wagner, C.; Häger, U.; Rehtanz, C. Integration of Smart Grid Technologies for Voltage Regulation in Low Voltage Distribution Grids. In Proceedings of the IEEE PES Innovative Smart Grid Technologies 2016 Asian Conference (ISGT Asia 2016), Melbourne, Australia, 28 November–1 December 2016; pp. 954–959. [Google Scholar]
- Andreotti, A.; Caiazzo, B.; Petrillo, A.; Santini, S.; Vaccaro, A. Decentralized smart grid voltage control by synchronization of linear multiagent systems in the presence of time-varying latencies. Electronics 2019, 8, 1470. [Google Scholar] [CrossRef] [Green Version]
- Marra, F.; Fawzy, Y.T.; Bulo, T.; Blazic, B. Energy Storage Options for Voltage Support in Low-Voltage Grids with High Penetration of Photovoltaic. In Proceedings of the 2012 3rd IEEE PES innovative smart grid technologies Europe (ISGT Europe 2012), Berlin, Germany, 14–17 October 2012; pp. 1–7. [Google Scholar]
- Zeraati, M.; Golshan, M.E.H.; Guerrero, J.M. Distributed Control of Battery Energy Storage Systems for Voltage Regulation in Distribution Networks with High PV Penetration. IEEE Trans. Smart Grid 2016, 9, 3582–3593. [Google Scholar] [CrossRef] [Green Version]
- Zhu, Q.; Chang, F.; Zang, Z.; Li, Z.; Xv, W.; Lv, B. Research on Effective Location of Energy Storage in High-Permeability Photovoltaic Distribution Network. In Proceedings of the 2019 IEEE 3rd International Electrical and Energy Conference (CIEEC 2019), Beijing, China, 7–9 September 2019; pp. 1048–1053. [Google Scholar]
- Bereczki, B.; Hartmann, B. LV Grid Voltage Control with Battery Energy Storage Systems. In Proceedings of the EEEIC/I&CPS Europe 2020 IEEE International Conference on Environment and Electrical Engineering and 2020 IEEE Industrial and Commercial Power Systems Europe (EEEIC/I&CPS Europe), Madrid, Spain, 9–12 June 2020; pp. 1–5. [Google Scholar]
- Szultka, A.; Szultka, S.; Czapp, S.; Lubosny, Z.; Malkowski, R. Integrated Algorithm for Selecting the Location and Control of Energy Storage Units to Improve the Voltage Level in Distribution Grids. Energies 2020, 13, 6720. [Google Scholar] [CrossRef]
- Niculae, D.; Iordache, M.; Stanculescu, M.; Bobaru, M.L.; Deleanu, S. A review of electric vehicles charging technologies stationary and dynamic. In Proceedings of the 11th International Symposium on Advanced Topics in Electrical Engineering (ATEE) 2019, Bucharest, Romania, 28–30 March 2019; pp. 1–4. [Google Scholar]
- The Price Comparison RACHUNEO. Available online: https://www.rachuneo.pl/cena-pradu#cena-pradu-energa (accessed on 8 May 2021).

















| Symbol of the Load | Declared Max Consumed Power kW |
|---|---|
| O301_1 | 12 |
| O301_2 | 12 |
| O301_3A | 6 |
| O301_3B | 6 |
| O301_4A | 12 |
| O301_4B | 12 |
| O302_1 | 6 |
| O303_1 | 6 |
| O303_2 | 6 |
| O304_1 | 12 |
| O304_2 | 10 |
| O304_3 | 12 |
| O305_1 | 12 |
| O305_2 | 12 |
| O305_3 | 6 |
| O325 | 3 |
| Cable/ Overhead Line | Resistance at 20 °C Ω/km | Reactance Ω/km | Rated Current A |
|---|---|---|---|
| 4 × AL 35 mm2 | 0.8385 | 0.360 | 180 |
| 4 × AL 50 mm2 | 0.5920 | 0.360 | 225 |
| 4 × AL 70 mm2 | 0.4166 | 0.320 | 285 |
| YAKY 4 × 35 mm2 | 0.8680 | 0.080 | 118 |
| YAKY 4 × 50 mm2 | 0.6410 | 0.080 | 142 |
| YAKY 4 × 70 mm2 | 0.4430 | 0.080 | 176 |
| Case | Cable/Overhead Line | Ev(year) EUR/Year | COMMENTS |
|---|---|---|---|
| 1 | 4 × AL 35 mm2 | 5092 | incurred cost |
| 2 | 4 × AL 50 mm2 | −5092 | avoided cost |
| 3 | 4 × AL 70 mm2 | −5092 | avoided cost |
| 4 | YAKY 4 × 35 mm2 | 5522 | incurred cost |
| 5 | YAKY 4 × 50 mm2 | 886 | incurred cost |
| 6 | YAKY 4 × 70 mm2 | −5092 | avoided cost |
| No. | List of Works | Modernization Costs for the Analyzed Cases (EUR) | ||||
|---|---|---|---|---|---|---|
| Overhead Line | Cable Line | |||||
| AL 4 × 50 mm2 | AL 4 × 70 mm2 | YAKY 4 × 35 mm2 | YAKY 4 × 50 mm2 | YAKY 4 × 70 mm2 | ||
| 1 | Dismantling of the existing bare conductors (AL 4 × 35 mm2) | 1546 | 1546 | - | - | - |
| 2 | Installation of new bare conductors (higher cross-sectional area) | 8983 | 10,254 | - | - | - |
| 3 | Dismantling of the existing overhead line AL 4 × 35 mm2 (conductors, insulators, poles) | - | - | 5724 | 5724 | 5724 |
| 4 | Construction of a cable line (cost of cables, mechanical ground preparation, laying cables) | - | - | 18,232 | 20,224 | 22,770 |
| Total cost | 10,529 | 11,800 | 23,956 | 25,948 | 28,494 | |
Publisher’s Note: MDPI stays neutral with regard to jurisdictional claims in published maps and institutional affiliations. |
© 2021 by the authors. Licensee MDPI, Basel, Switzerland. This article is an open access article distributed under the terms and conditions of the Creative Commons Attribution (CC BY) license (https://creativecommons.org/licenses/by/4.0/).
Share and Cite
Szultka, A.; Szultka, S.; Czapp, S.; Zajczyk, R. Voltage Variations and Their Reduction in a Rural Low-Voltage Network with PV Sources of Energy. Electronics 2021, 10, 1620. https://doi.org/10.3390/electronics10141620
Szultka A, Szultka S, Czapp S, Zajczyk R. Voltage Variations and Their Reduction in a Rural Low-Voltage Network with PV Sources of Energy. Electronics. 2021; 10(14):1620. https://doi.org/10.3390/electronics10141620
Chicago/Turabian StyleSzultka, Agata, Seweryn Szultka, Stanislaw Czapp, and Ryszard Zajczyk. 2021. "Voltage Variations and Their Reduction in a Rural Low-Voltage Network with PV Sources of Energy" Electronics 10, no. 14: 1620. https://doi.org/10.3390/electronics10141620
APA StyleSzultka, A., Szultka, S., Czapp, S., & Zajczyk, R. (2021). Voltage Variations and Their Reduction in a Rural Low-Voltage Network with PV Sources of Energy. Electronics, 10(14), 1620. https://doi.org/10.3390/electronics10141620

