Highly Sensitive Sensor Structure Based on Sol-Gel Waveguide Films and Grating Couplers
Abstract
1. Introduction
2. Theoretical Background
2.1. Grating Coupler
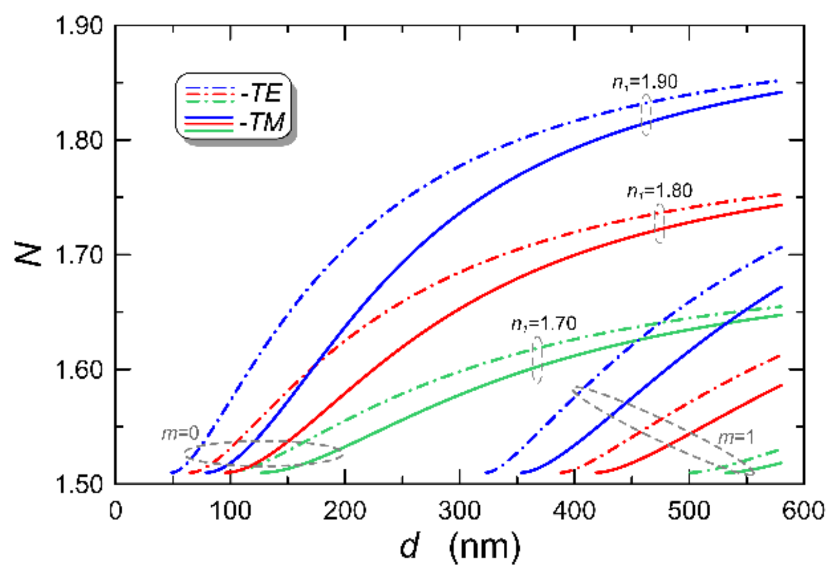
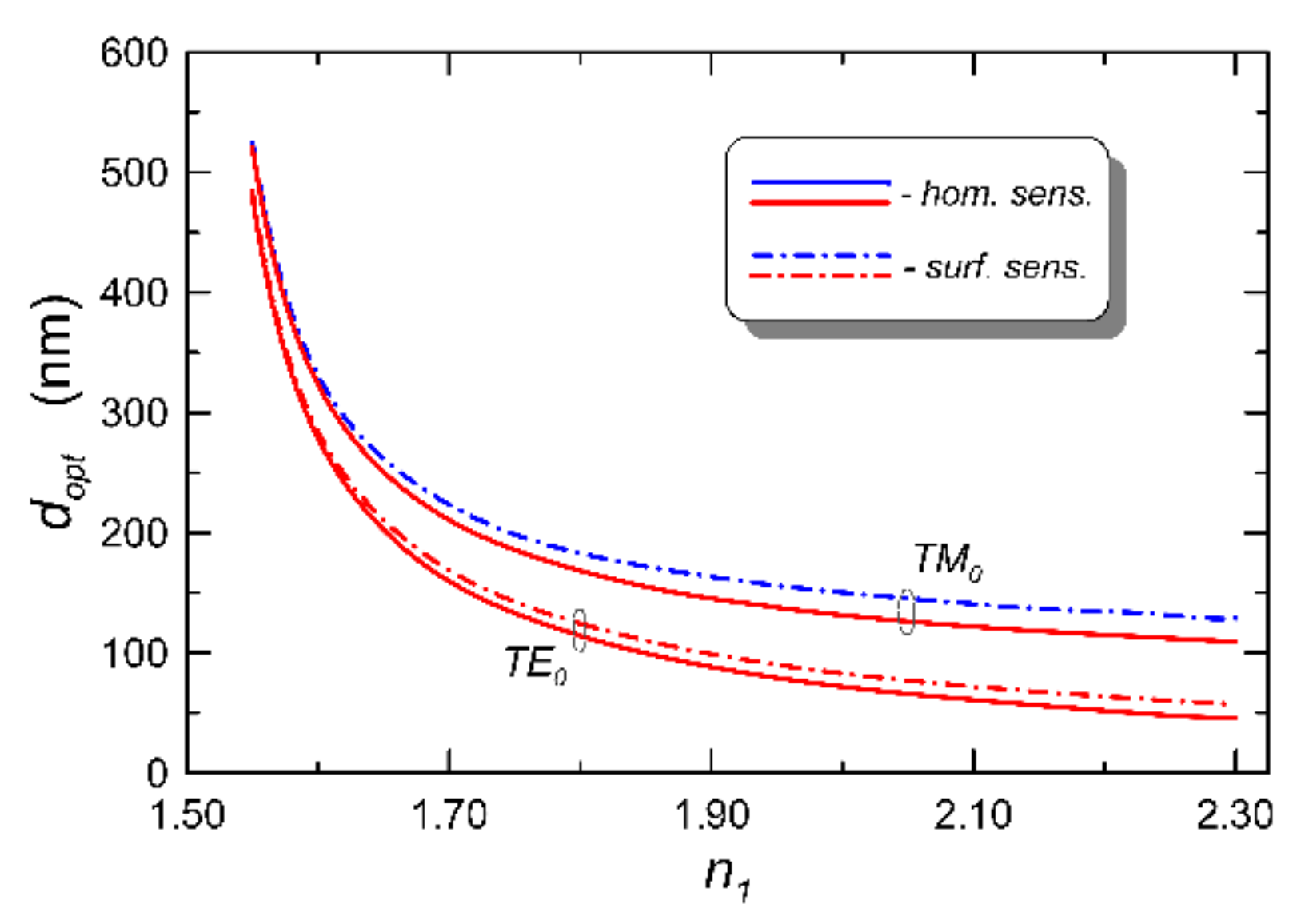
2.2. Sensing Structure
3. Experimental Study
3.1. Materials and Methods
3.2. Results
3.3. Discussion
4. Conclusions
Author Contributions
Funding
Institutional Review Board Statement
Informed Consent Statement
Data Availability Statement
Conflicts of Interest
References
- Valette, S. Integrated optics: The history and the future. In Proceedings of the Europen Conference on Integrated Optics, Copenhagen, Denmark, 25–27 April 2007; p. WPT1. [Google Scholar]
- Miller, S.E. Integrated Optics: An Introduction. Bell Syst. Tech. J. 1969, 48, 2059–2069. [Google Scholar] [CrossRef]
- De Dobbelaere, P. Silicon photonics technology platform for embedded and integrated optical interconnect systems. In Proceedings of the 2013 18th Asia and South Pacific Design Automation Conference (ASP-DAC), Yokohama, Japan, 22–25 January 2013; pp. 644–647. [Google Scholar] [CrossRef]
- Jalali, B.; Fathpour, S. Silicon Photonics. J. Lightwave Technol. 2006, 24, 4600–4615. [Google Scholar] [CrossRef]
- Kaźmierczak, A.; Dortu, F.; Schrevens, O.; Giannone, D.; Vivien, L.; Marris-Morini, D.; Bouville, D.; Cassan, E.; Gylfason, K.B.; Sohlström, H.; et al. Light coupling and distribution for Si3N4/SiO2 integrated multichannel single-mode sensing system. Opt. Eng. 2009, 48, 014401. [Google Scholar] [CrossRef]
- Cheng, L.; Mao, S.; Li, Z.; Han, Y.; Fu, H.Y. Grating Couplers on Silicon Photonics: Design Principles, Emerging Trends and Practical Issues. Micromachines 2020, 11, 666. [Google Scholar] [CrossRef] [PubMed]
- Ranacher, C.; Consani, C.; Hedenig, U.; Grille, T.; Lavchiev, V.; Jakoby, B. A photonic silicon waveguide gas sensor using evanescent-wave absorption. In Proceedings of the 2016 IEEE Sensors, Orlando, FL, USA, 30 October–3 November 2016; pp. 1–3. [Google Scholar] [CrossRef]
- Arakawa, Y.; Nakamura, T.; Urino, Y.; Fujita, T. Silicon photonics for next generation system integration platform. IEEE Commun. Mag. 2013, 51, 72–77. [Google Scholar] [CrossRef]
- Doerr, C.R. Integrated Photonic Platforms for Telecommunications: InP and Si. IEICE Trans. Electron. 2013, E96.C, 950–957. [Google Scholar] [CrossRef]
- Smit, M.; Leijtens, X.; Ambrosius, H.; Bente, E.; Van Der Tol, J.; Smalbrugge, B.; De Vries, T.; Geluk, E.-J.; Bolk, J.; Van Veldhoven, R.; et al. An introduction to InP-based generic integration technology. Semicond. Sci. Technol. 2014, 29, 083001. [Google Scholar] [CrossRef]
- Wörhoff, K.; Heideman, R.G.; Leinse, A.; Hoekman, M. TriPleX: A versatile dielectric photonic platform. Adv. Opt. Technol. 2015, 4, 189–207. [Google Scholar] [CrossRef]
- Ma, H.; Jen, A.K.-Y.; Dalton, L.R. Polymer-Based Optical Waveguides: Materials, Processing, and Devices. Adv. Mater. 2002, 14, 1339–1365. [Google Scholar] [CrossRef]
- Bettotti, P. Hybrid Materials for Integrated Photonics. Adv. Opt. 2014, 2014, 891395. [Google Scholar] [CrossRef]
- Zhang, Z.; De Felipe, D.; Katopodis, V.; Groumas, P.; Kouloumentas, C.; Avramopoulos, H.; Dupuy, J.-Y.; Konczykowska, A.; DeDe, A.; Beretta, A.; et al. Hybrid Photonic Integration on a Polymer Platform. Photonics 2015, 2, 1005–1026. [Google Scholar] [CrossRef]
- Ramsden, J.J. Review of new experimental techniques for investigating random sequential adsorption. J. Stat. Phys. 1993, 73, 853–877. [Google Scholar] [CrossRef]
- Royon, M.; Jamon, D.; Blanchet, T.; Royer, F.; Vocanson, F.; Marin, E.; Morana, A.; Boukenter, A.; Ouerdane, Y.; Jourlin, Y.; et al. Sol–Gel Waveguide-Based Sensor for Structural Health Monitoring on Large Surfaces in Aerospace Domain. Aerospace 2021, 8, 109. [Google Scholar] [CrossRef]
- Brusatin, G.; Guglielmi, M.; Innocenzi, P.; Martucci, A.; Battaglin, G.; Pelli, S.; Righini, G. Microstructural and optical properties of sol-gel silica-titania waveguides. J. Non Cryst. Solids 1997, 220, 202–209. [Google Scholar] [CrossRef]
- Ferrari, J.L.; Lima, K.d.O.; Gonçalves, R.R. Refractive Indexes and Spectroscopic Properties to Design Er3+-Doped SiO2–Ta2O5 Films as Multifunctional Planar Waveguide Platforms for Optical Sensors and Amplifiers. ACS Omega 2021, 6, 8784–8796. [Google Scholar] [CrossRef] [PubMed]
- Bradley, J.D.B.; Evans, C.C.; Choy, J.T.; Reshef, O.; Deotare, P.B.; Parsy, F.; Phillips, K.C.; Lončar, M.; Mazur, E. Submicrometer-wide amorphous and polycrystalline anatase TiO2 waveguides for microphotonic devices. Opt. Express 2012, 20, 23821–23831. [Google Scholar] [CrossRef]
- Heideman, R.; Lambeck, P.; Gardeniers, J. High quality ZnO layers with adjustable refractive indices for integrated optics applications. Opt. Mater. 1995, 4, 741–755. [Google Scholar] [CrossRef]
- Urlacher, C.; De Lucas, C.M.; Bernstein, E.; Jacquier, B.; Mugnier, J. Study of erbium doped ZrO2 waveguides elaborated by a sol–gel process. Opt. Mater. 1999, 12, 19–25. [Google Scholar] [CrossRef]
- Touam, T.; Znaidi, L.; Vrel, D.; Ninova-Kuznetsova, I.; Brinza, O.; Fischer, A.; Boudrioua, A. Low Loss Sol-Gel TiO2 Thin Films for Waveguiding Applications. Coatings 2013, 3, 49–58. [Google Scholar] [CrossRef]
- Payne, F.P.; Lacey, J.P.R. A theoretical analysis of scattering loss from planar optical waveguides. Opt. Quantum Electron. 1994, 26, 977–986. [Google Scholar] [CrossRef]
- Herrmann, P.; Wildmann, D. Fabrication of planar dielectric waveguides with high optical damage threshold. IEEE J. Quantum Electron. 1983, 19, 1735–1738. [Google Scholar] [CrossRef]
- Lukosz, W.; Tiefenthaler, K. Embossing technique for fabricating integrated optical components in hard inorganic waveguiding materials. Opt. Lett. 1983, 8, 537–539. [Google Scholar] [CrossRef]
- Scannell, G.; Koike, A.; Huang, L. Structure and thermo-mechanical response of TiO2-SiO2 glasses to temperature. J. Non Cryst. Solids 2016, 447, 238–247. [Google Scholar] [CrossRef]
- Kamiya, K.; Sakka, S. Thermal expansion of TiO2-SiO2 and TiO2-GeO2 glasses. J. Non Cryst. Solids 1982, 52, 357–363. [Google Scholar] [CrossRef]
- Szendro, I. Art and practice to emboss gratings into sol-gel waveguides. In Functional Integration of Opto-Electro-Mechanical Devices and Systems, Proceedings of the Symposium on Integrated Optics, San Jose, CA, USA, 15 May 2001; SPIE: Bellingham, WA, USA, 2001; Volume 4284, pp. 80–87. [Google Scholar] [CrossRef]
- Vörös, J.; Ramsden, J.; Csúcs, G.; Szendrő, I.; De Paul, S.; Textor, M.; Spencer, N. Optical grating coupler biosensors. Biomaterials 2002, 23, 3699–3710. [Google Scholar] [CrossRef]
- Adányi, N.; Majer-Baranyi, K.; Nagy, A.; Németh, G.; Szendrő, I.; Székács, A. Optical waveguide lightmode spectroscopy immunosensor for detection of carp vitellogenin. Sens. Actuators B Chem. 2013, 176, 932–939. [Google Scholar] [CrossRef]
- Karasiński, P. Embossable grating couplers for planar evanescent wave sensors. Opto Electron. Rev. 2011, 19, 10–21. [Google Scholar] [CrossRef]
- Karasiński, P. Sensor properties of planar waveguide structures with grating couplers. Opto Electron. Rev. 2007, 15, 168–178. [Google Scholar] [CrossRef]
- Karasiński, P.; Domanowska, A.; Gondek, E.; Sikora, A.; Tyszkiewicz, C.; Skolik, M. Homogeneity of sol-gel derived silica-titania waveguide films—Spectroscopic and AFM studies. Opt. Laser Technol. 2020, 121, 105840. [Google Scholar] [CrossRef]
- Chen, Y.; Liu, J.; Yang, Z.; Wilkinson, J.S.; Zhou, X. Optical biosensors based on refractometric sensing schemes: A review. Biosens. Bioelectron. 2019, 144, 111693. [Google Scholar] [CrossRef]
- Kozma, P.; Kehl, F.; Ehrentreich-Förster, E.; Stamm, C.; Bier, F.F. Integrated planar optical waveguide interferometer biosensors: A comparative review. Biosens. Bioelectron. 2014, 58, 287–307. [Google Scholar] [CrossRef]
- Tiefenthaler, K.; Lukosz, W. Sensitivity of grating couplers as integrated-optical chemical sensors. J. Opt. Soc. Am. B 1989, 6, 209–220. [Google Scholar] [CrossRef]
- Tauc, J. Amorphous and Liquid Semiconductors; Plenum Press: London, UK; New York, NY, USA, 1974. [Google Scholar] [CrossRef]
- Makuła, P.; Pacia, M.; Macyk, W. How to Correctly Determine the Band Gap Energy of Modified Semiconductor Photocatalysts Based on UV–Vis Spectra. J. Phys. Chem. Lett. 2018, 9, 6814–6817. [Google Scholar] [CrossRef]
- Kayanuma, Y. Quantum-size effects of interacting electrons and holes in semiconductor microcrystals with spherical shape. Phys. Rev. B 1988, 38, 9797–9805. [Google Scholar] [CrossRef]
- Karasiński, P.; Gondek, E.; Drewniak, S.; Kityk, I.V. Nano-sized blue spectral shift in sol–gel derived mesoporous titania films. J. Sol Gel Sci. Technol. 2012, 61, 355–361. [Google Scholar] [CrossRef]
- Tiefenthaler, K.; Briguet, V.; Buser, E.; Horisberger, M.; Lukosz, W. Preparation of planar optical SiO2-TiO2 and LiNbO3 waveguides with a dip coating method and embossing technique for fabricating grating couplers and channel waveguides. In Thin Film Technologies I, Proceedings of the 1983 International Technical Conference/Europe, Geneva, Switzerland, 28 November 1983; SPIE: Bellingham, WA, USA, 1983; Volume 401, pp. 165–173. [Google Scholar] [CrossRef]
- Jiwei, Z.; Xi, Y.; Liangying, Z. Characterization and optical propagation loss of sol-gel derived TiO2/SiO2 films. J. Phys. D Appl. Phys. 2000, 33, 3013–3017. [Google Scholar] [CrossRef]














Publisher’s Note: MDPI stays neutral with regard to jurisdictional claims in published maps and institutional affiliations. |
© 2021 by the authors. Licensee MDPI, Basel, Switzerland. This article is an open access article distributed under the terms and conditions of the Creative Commons Attribution (CC BY) license (https://creativecommons.org/licenses/by/4.0/).
Share and Cite
Karasiński, P.; Kaźmierczak, A.; Zięba, M.; Tyszkiewicz, C.; Wojtasik, K.; Kielan, P. Highly Sensitive Sensor Structure Based on Sol-Gel Waveguide Films and Grating Couplers. Electronics 2021, 10, 1389. https://doi.org/10.3390/electronics10121389
Karasiński P, Kaźmierczak A, Zięba M, Tyszkiewicz C, Wojtasik K, Kielan P. Highly Sensitive Sensor Structure Based on Sol-Gel Waveguide Films and Grating Couplers. Electronics. 2021; 10(12):1389. https://doi.org/10.3390/electronics10121389
Chicago/Turabian StyleKarasiński, Paweł, Andrzej Kaźmierczak, Magdalena Zięba, Cuma Tyszkiewicz, Katarzyna Wojtasik, and Paweł Kielan. 2021. "Highly Sensitive Sensor Structure Based on Sol-Gel Waveguide Films and Grating Couplers" Electronics 10, no. 12: 1389. https://doi.org/10.3390/electronics10121389
APA StyleKarasiński, P., Kaźmierczak, A., Zięba, M., Tyszkiewicz, C., Wojtasik, K., & Kielan, P. (2021). Highly Sensitive Sensor Structure Based on Sol-Gel Waveguide Films and Grating Couplers. Electronics, 10(12), 1389. https://doi.org/10.3390/electronics10121389

