Next Article in Journal
A Green Tea Containing Skincare System Improves Skin Health and Beauty in Adults: An Exploratory Controlled Clinical Study
Previous Article in Journal
Phytochemical Screening, and In Vitro Evaluation of the Antioxidant and Dermocosmetic Activities of Four Moroccan Plants: Halimium antiatlanticum, Adenocarpus artemisiifolius, Pistacia lentiscus and Leonotis nepetifolia
 
 
Font Type:
Arial Georgia Verdana
Font Size:
Aa Aa Aa
Line Spacing:
Column Width:
Background:
Article

An Open-Label Clinical Trial Analyzing the Efficacy of a Novel Telomere-Protecting Antiaging Face Cream

1
Department of Dermatology, Venereology and Allergology, University Hospital Essen, University of Duisburg-Essen, Hufelandstr. 55, 45147 Essen, Germany
2
Department of Research B2B, Life Length SL, 28010 Madrid, Spain
*
Author to whom correspondence should be addressed.
Cosmetics 2022, 9(5), 95; https://doi.org/10.3390/cosmetics9050095
Submission received: 25 July 2022 / Revised: 29 August 2022 / Accepted: 2 September 2022 / Published: 9 September 2022
(This article belongs to the Section Cosmetic Dermatology)

Abstract

:
Telomere length, a hallmark of cellular senescence, decreases with age and is associated with age-related diseases. Environmental factors, including dietary and lifestyle factors, can affect the rate at which telomeres shorten, and telomere protection prevents this from happening. The protection of telomeres by natural molecules has been proposed as an antiaging strategy that may play a role in treating age-related diseases. This study investigated the effect of a cycloartane-type triterpene glycoside (astragaloside IV). Astragaloside IV is one of the primary compounds from the aqueous extract of Astragalus membranaceus, and it provides telomere protection both in vitro and in vivo. In a study cohort with 13 participants, telomere length in human skin samples was analyzed after daily treatment for 4 weeks. A comparison of the average median telomere length between the treatment and control groups (5342 bp vs. 4616 bp p = 0.0168) showed significant results. In the second clinical cohort with 20 participants, skin parameters at baseline and after 4 and 8 weeks were measured in vivo. The results show that the product improved hydration by 95%, the skin appeared brighter by 90%, and wrinkle visibility was reduced by 70%. The combination of biologically active compounds in the cream possesses telomere-protecting properties and notable antioxidant activity in vitro and in vivo.

1. Introduction

Aging is a biological process that affects most cells, organisms, and species. Telomeres have been postulated as a universal biological clock that shorten in parallel with the division and aging of cells. The length of telomeres, particularly the abundance of short telomeres, has been proposed as a biomarker of senescence, aging, and general health status [1]. Telomeres are unique structures at the ends of eukaryotic chromosomes that protect them from degradation. Without a compensatory elongating mechanism, telomeres become shorter with each cell division due to the so-called end-replication problem. Critically short telomeres cannot be sufficiently repaired by any known DNA repair mechanism, triggering a persistent DNA damage response. When telomeres reach a critical length, the cell does not further undergo cell division and becomes senescent or otherwise dysfunctional, contributing to organismal aging [2].
As the most voluminous body organ, the skin shows evident signs of aging as one becomes older. Both intrinsic and extrinsic factors cause skin aging. Intrinsic aging is an unavoidable physiological process that results in thinning skin, dry skin, fine wrinkles, and progressively shrinking skin. In contrast, extrinsic aging is caused by external environmental factors such as air pollution, smoking, poor diet, and sun exposure, resulting in wrinkles, the loss of skin elasticity, laxity, and a rough-textured appearance [3]. Skin cells, the turnover cycle of which could be partly driven by telomere replenishment, have a proliferative capacity that varies from a few days in newborns to a few weeks in adults [4]. Furthermore, facial skin cells are of particular interest. Maintaining fast renewal of skin cells could slow down facial aging and make people look younger. Recent experimental studies have supported a potential causal relationship between longer genetically predicted telomeres and less facial aging [5].
For many people, especially females, a considerable share of daily expenses is occupied by cosmetics and pharmaceuticals in an attempt to prevent or reverse skin aging. This vast cosmetic need continually promotes research on skin aging and its treatment. In traditional Chinese medicine, Astragali radix, the dried root of Astragalus membranaceus, has been used a herbal medicine to counteract oxidative stress, inflammation, and aging since ancient times [6].
Over 200 components have been isolated from Astragalus-based herbal preparations [7]. The most important are saponins, polysaccharides, and flavonoids. The main compounds in Astragalus supplements are triterpenoid saponins—more specifically, astragaloside. Among them, astragaloside IV is the main component of the medicinal Astragalus plant. Pure astragaloside IV has a diuretic effect, lowers blood pressure, improves exercise performance, and increases physical activity [8]. Various researchers have shown that the drug has a wide range of biological activities. It reduces the ability of tumor cells to transition through epithelial cells to mesenchymal cells, and thus, to invade and metastasize [9]. Astragaloside IV reduces the expression of TLR4 and the rate of generation of reactive oxygen species [10]. Several studies have shown that the substances that make up traditional Chinese Astragalus-based preparations can have a geroprotective effect. It has been demonstrated that cycloastragenol (CAG) imparts geroprotective properties to plant materials from Astragalus.
This study aimed to determine the effects of an Astragalus-root-containing antiaging face cream on the telomere length and the signs of skin aging.
We first assessed the effects of the Astragalus root extract in vitro on human primary fibroblast cells. The telomere analysis performed using Life Length’s proprietary TAT© technology included three different telomere length variables: the median telomere length, the 20th percentile telomere length, and the percentage of short telomeres (<3 Kbp).
Furthermore, we tested the efficacy of an Astragalus-root-containing face cream on telomeres as part of a clinical study of epidermal biopsies collected from healthy individuals. During this study, the telomere length analysis determined in each sample included the three variables mentioned above (median telomere length, 20th percentile telomere length, and the percentage of short telomeres), as well as an extensive analysis of Telomere-Associated Variables (TAVs), which included a breakdown of the entire telomere length distribution for each sample (please see Section 2 for a more detailed explanation). Finally, we also measured the signs of facial skin aging as part of the same clinical test in 20 subjects aged 40–70 over 28 days.

2. Materials and Methods

2.1. Test Formulation

The cosmetic product used in this test was a cream containing astragaloside IV and Hylasom EG10 (chemically cross-linked hyaluronic acid) (YouthShots Face Cream, YouthShots GmbH, Düsseldorf, Germany).

2.2. In Vitro Study Cell Culture (Life Length)

Primary cultures of adult human fibroblast cells were established. Cells were seeded at 5 × 103 cells/cm2 in a fibroblast medium kit (Innoprot). Fibroblast medium (FM) is a complete medium designed for the optimal growth of neonatal human fibroblasts in vitro (ATCC PCS-201-010™). It is a sterile, liquid medium that contains essential and nonessential amino acids, vitamins, organic and inorganic compounds, hormones, growth factors, trace minerals, and a low concentration of fetal bovine serum (2%). The medium is HEPES, which is bicarbonate buffered and has a pH of 7.4 when equilibrated in an incubator with an atmosphere of 5% CO2/95% air. The medium is formulated (quantitatively and qualitatively) to provide a defined and optimally balanced nutritional environment that selectively promotes the proliferation and growth of normal human fibroblasts in vitro. The media were renewed every 2–3 days, and the cells were passaged at subconfluence (70–80%) every seven days. Compounds or a vehicle control was added to the cells in culture. Cell growth was monitored for each condition by counting cell numbers at each passage using a Countess™ cell counter (Invitrogen). Population doubling (PD) was calculated using the formula PD = 3.322(Log(Cf) − Log(Ci)) + x (Cf: Final concentration; Ci: initial concentration; X: PD last passage). One PD is equivalent to one round of cell replication [11,12].
Cells were expanded for four weeks under the oxidative (10 μM H2O2) cell culture conditions described previously. Treatment dilutions were prepared fresh in each passage with fresh media. A stock solution of 200 mg/mL of astragaloside IV was prepared in 100% DMSO and sequentially diluted in order to add to the cells. A dilution of 1/200 was made, and the final concentration of DMSO was 0.5% (this was the concentration identified as not negatively affecting the cells). Two different concentrations of the product were tested during the TAT in vitro study.

2.3. Clinical Evaluation of Efficacy and Safety

The astragaloside-IV-containing cream was also tested in vivo. The study was conducted in the Department of Dermatology, University Hospital Essen. For clinical evaluation, a single-center open study was conducted to assess the efficacy and acceptability of the investigational product.
In one group of healthy volunteers, 13 women and 2 men (aged 28–82 years) participated in a placebo-controlled in vivo evaluation of epidermal skin cells. After four weeks of a once-daily application of 0.5 mL of the verum cream (2 mg/mL astragaloside IV) on 1 cm2 of the inner side of the upper arm and the cream vehicle as a placebo on the other side, epidermal cell samples were collected from the treated upper arm sections and analyzed regarding telomere length. The local ethics committee approved the analysis (20–9698-BO).
In the second group, the product was tested on healthy volunteers (20 women aged 40–70 years), for clinical evaluation as a cosmetic agent. After four weeks of twice-daily facial application, participants completed a questionnaire on the cream’s characteristics and effects. Furthermore, the following instrumental and clinical parameters were evaluated: skin moisturization, skin compactness, microwrinkle visibility, skin tonicity, brightness, and smoothness. Self-evaluation (improved skin smoothness, reduced microwrinkle visibility, improved skin tonicity, and improved skin brightness) was performed according to the VNS scale, where 0 is the minimum value and 10 is the maximum value. Wrinkle depth measurements were taken using an Antera 3D® and elaborated with the software Antera 3D®. Skin moisturization was measured using a “Corneometer® CM 825”. Skin compactness measurements were taken using the elastometer “Cutometer® MPA 580”. Due to the study being cosmetic product testing, ethics committee approval was not required. All subjects gave written informed consent for participation and publication.

2.4. Telomere Length Determination Using Telomere Analysis Technology (TAT)

All telomere length measurements were performed using Life Length’s proprietary Telomere Analysis Technology (TAT©). TAT© measures telomere length using a high-throughput (HT) quantitative fluorescent in situ hybridization (Q-FISH) technique [13].
This method is based on a quantitative fluorescence in situ hybridization method modified for cells in interphase. In brief, telomeres are hybridized with a fluorescent peptide nucleic acid (PNA) probe that recognizes three telomere repeats (sequence: Alexa488-OO-CCCTAACCCTAACCCTAA, Panagene). The images of the nuclei and telomeres are captured by a high-content screen system (see below). The intensity of the fluorescent signal from the telomeric PNA probes, which hybridizes to a given telomere, is proportional to the length of that telomere. The fluorescence intensities (representative example in Figure 1) are translated to base pairs through a standard regression curve generated using control cell lines with known telomere length.
Apart from determining telomere length in absolute base pair (bp) units, TAT© can provide excellent granularity and define multiple variables associated with telomere length, which improves the detection of differences between biological samples, as well as verifying that the differences that are detected in a single variable are representative of the entire telomeric profile of the model, enhancing the robustness of the conclusions. Two distinct analyses can be performed for TAT: the standard analysis and the extended Telomere-Associated Variables (TAVs) analysis.
The standard analysis determines three specific variables: the median telomere length; the 20th percentile telomere length (a second telomere length measurement weighted more toward the short telomeres); and the percentage of telomeres < 3 Kbp in length, which is indicative of the critically short telomeres in the sample. The two latter variables allow visibility into the short telomeres of the sample, which are those mainly responsible for cells’ entering senescence.
The extended TAVs analysis includes the determination of more than 250 telomere length variables per sample, which translates to a full breakdown of the telomere length distribution. This analysis contains three categories: (1) The telomere length percentiles are one hundred individual telomere length measurements per sample, including the shortest telomeres in the sample (1st percentile length) and the length of the longest telomeres (100th percentile length). The percentiles allow for a comprehensive comparison between all the telomere lengths present in each sample throughout the telomere length distribution. (2) The ShortTel variables are the percentages of telomeres with a specific telomere length. The ShortTel variables help to identify whether one sample has a higher percentage (quantity) of shorter or longer telomeres and to detect differences between samples in a specific distribution area. (3) The ShortCell variables are the percentages of cells with a specific average telomere length. Since senescence and cell apoptosis affect the whole cell, it is essential to address the telomeric profile at a cellular level. The ShortCell variables detect whether a sample presents a higher percentage of cells with shorter telomeres (closer to senescence) or longer ones.
The standard telomere length analysis was performed for the in vitro evaluation of the compound, whereas for the clinical study, both the standard and the extended TAVs analyses were performed.

2.4.1. Instrumental Skin Assessment

The dermatologist measured skin parameters at baseline and after 4 and 8 weeks of test product use. In vivo skin parameters were evaluated using the following methods:

2.4.2. Dermal Assessment by Cutometer MPA580

The elasticity of skin was measured using the Cutometer MPA 580 on the right and left cheek at baseline (day 0) and day 28. The reading was taken independently on each cheek.

2.4.3. Dermal Assessment by Corneometer CM 825

The Corneometer CM 825 is a device that can be used to measure the hydration levels of the superficial layers of the skin. The device works by measuring the dielectric properties of the skin. The assessment was performed by taking three independent readings on the mid-forehead, right cheek, and left cheek at baseline (day 0) and day 28.

2.4.4. Dermal Assessment by Antera 3D

Antera 3D is a tool for measuring the effects of antiaging treatments. The device uses a patent-pending technology to take three-dimensional measurements of the face, recording the width and depth of fine lines, wrinkles, and folds. A filter is used to select the features that are to be measured: 0–1 mm for fine lines, 0–2 mm for medium wrinkles, and 0–3 mm for prominent wrinkles. Three independent readings were taken on each area of the face (right and left forehead, and cheek) on day 0 and day 28.

2.5. Statistical Analysis

Statistical data analysis was performed using IBM SPSS Statistics 25.0 (IBM, Armonk, NY, USA). A paired t-test was used to compare the results before and after treatment.

3. Results

3.1. Telomere Length Measurements by TAT

After four weeks of in vitro treatments with the tested active ingredient (astragaloside IV), significant differences in median telomere length (8541 bp vs. 9002 bp, p < 0.01), 20th percentile length (4598 bp vs. 5092 bp, p < 0.001), and the percentage of telomeres <3 Kbp in length (11.5% vs. 9.5%, p < 0.001) were identified between the cell group treated with astragaloside IV at the highest concentration under oxidative conditions (YS100 + 10 μM H2O2) and the control group, also treated under oxidative conditions (Control + 10 μM H2O2). The differences between the control group under oxidative conditions and the cell group treated with the second concentration tested (YS20 + 10 μM H2O2) were much narrower, although they were in agreement with those observed for the highest concentration. Cells treated with the tested product had higher median telomere length and 20th percentile length values and a lower percentage of telomeres <3 Kbp in length.

3.2. In Vivo Study

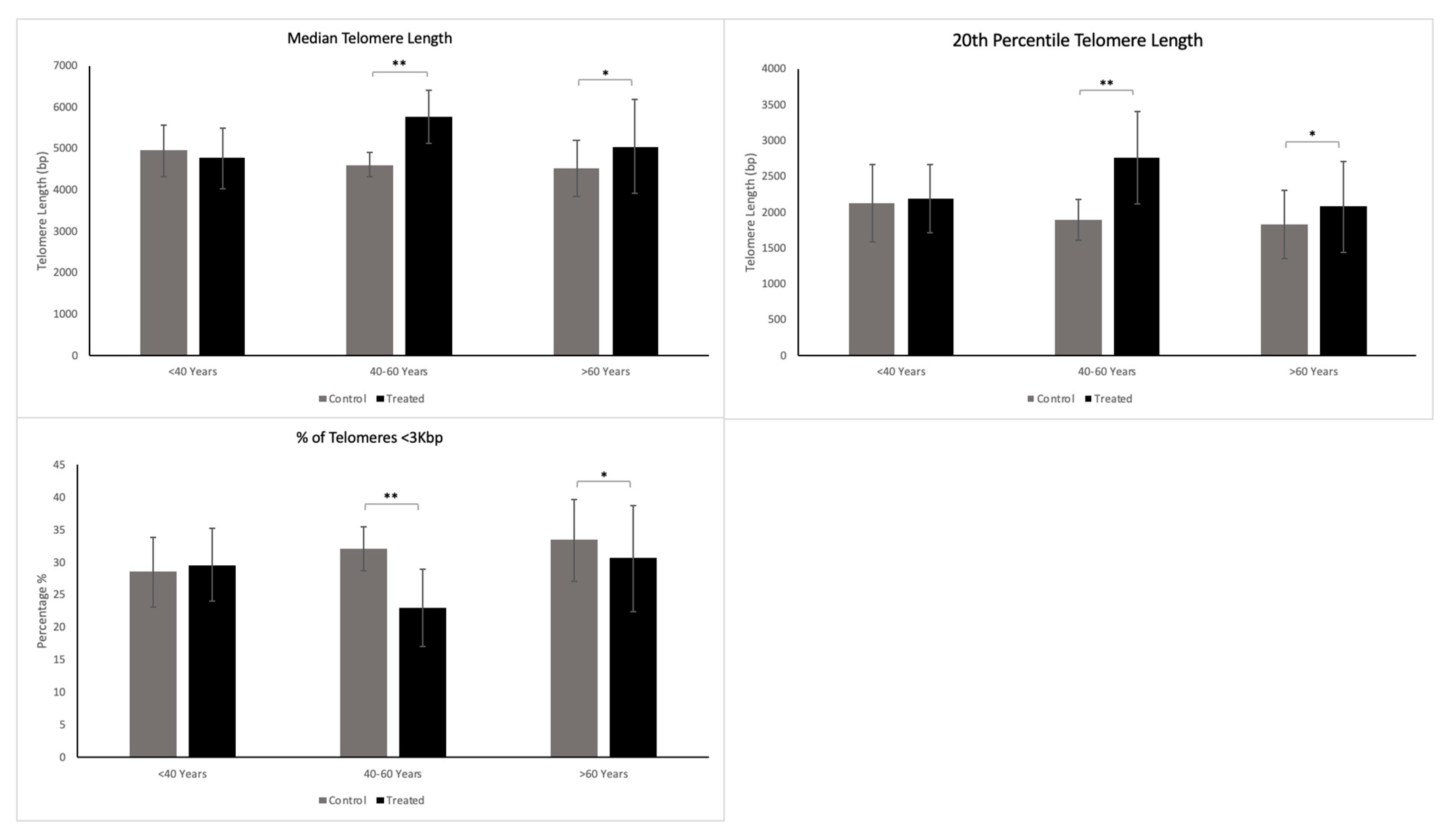
Differences were detected between the samples. The comparison of the average median telomere length between the treatment and control groups revealed a significant difference (5342 bp vs. 4616 bp, p = 0.0168). The analysis of the 20th percentile length showed comparable findings (2409 bp vs. 1895 bp, p = 0.0155) to the percentage of telomeres <3 Kbp in length (26.9% vs. 32.9%, p = 0.030). In the subgroup analysis of the 40–60-year-old subjects, we found more significant telomeric values than for the control. This was observed individually and as a group comparison for all standard variables tested.
Furthermore, the above observations were confirmed by the extended TAVs analysis. As explained above, more than 150 variables were generated and analyzed to determine each sample’s complete telomere length profile (see Section 2). Through this analysis, it was observed that not only was the telomere protective effect that the product exerted detectable on the three standard variables (median, 20th percentile, and percentage of short telomeres <3 Kbp), but it was also visible throughout the entire telomere length distribution and all three categories (Percentiles, ShortTel, and ShortCell). As such, it was observed that 13 of the 15 participants included in the study presented an improvement in their telomere length profile when treated with the cream containing astragaloside IV. For these participants, the treated samples showed longer telomere lengths along the different percentiles of the telomere distribution (Figure 2 and Figure 3), which translates to longer lengths for the shortest telomeres and the longest compared with the untreated samples. Additionally, the ShortTel variables revealed that the 15 treated samples demonstrated a lower percentage of short telomeres and a higher percentage of longer ones. Similarly, the ShortTel variables detected that the effect was visible on the cellular level. Thirteen treated samples presented a lower number of cells with a lower average telomere length (ATL) and a higher number of cells with a higher ATL. This analysis further verified the results obtained from the standard analysis (Figure 4).

Clinical Efficacy and Safety

The clinical efficacy and safety were determined based on the instrumental and clinical tests carried out in the 20 subjects aged 40–70 for 28 days. The results of the efficacy questionnaire are shown in Table 1. The results of the study show that the product improved hydration by 95%, the skin appeared brighter by 90%, and wrinkle visibility was reduced by 70%. The application of the product visually reduced wrinkles and dry lines (Figure 5). In addition, the application of the product resulted in a smoothing of skin relief over time (Figure 5). At the end of the study, there were no recorded side effects, adverse events, or serious adverse events.

4. Discussion

As life expectancy rates continue to rise, the global market for functional cosmetics is also flourishing. These products, which are designed to prevent the signs of aging and to promote a healthy appearance, are becoming increasingly popular among consumers of all ages. Skin aging is associated with deep wrinkles, the loss of skin tone and elasticity, and a reduction in the thickness of the epidermis and dermis. Functional cosmetics can help to address these concerns by providing nutrients, moisture, and other important ingredients that help to keep skin looking its best. There are many theories about what causes aging, but from a molecular point of view, it is the result of cumulative internal and external structural and physiological changes. These changes can be caused by genetics, light radiation exposure, the loss of fibrillin-positive structures, and the reduced content of collagen fibers.
Telomere shortening and dysfunction play a significant role in natural aging and age-related diseases [14]. Genomic instability is a major driver of aging, and telomere dysfunction has been demonstrated to be an environmental factor that causes genomic alterations in older adults [15,16]. Counteracting telomere attrition and its consequences has been a primary target of research over the past decade [17,18]. Regenerative medicine has also focused on strategies to maintain telomere length [19].
To date, telomere-protecting compounds and substances have been shown to be essential for antiaging and telomere-dependent disease treatments. In the in vitro study, we characterized the effects of astragaloside IV for its ability to protect telomeres. In agreement with our results, Molgora et al. demonstrated that Astragalus membranaceus extract (TA-65), an aglycone of astragaloside IV, significantly increased telomerase activity in human T-cell cultures. In particular, it has been shown that cycloastragenol activates telomerase, maintains or lengthens telomeres in vitro, and decreases the percentage of critically short telomeres and DNA damage in the cell [19].
In the present study, we showed that a cream formulation containing astragaloside IV in combination with hyaluronic acid is highly effective in reducing the markers of aging. Astragaloside IV showed significant telomere-protecting activity. This was apparent from both the standard analysis conducted and the extended TAVs analysis in 13 of the 15 participants included in the study, since these treated samples showed an improved telomeric profile.
The combination of the substances can probably achieve a better depth penetration of astragaloside IV. Here, hyaluronic acid was used as a vehicle for astragaloside IV.
The natural moisturizing and water-holding capacities of the skin reduce with age, affecting skin elasticity. Hydration plays a vital role in skin rejuvenation [20]. Phytochemicals such as astragaloside IV, a saponin from Astragalus membranaceus, can improve skin firmness and elasticity [21]. The assessment of skin hydration using a corneometer on the forehead and cheek showed a positive change at the measured time points, suggesting that astragaloside IV in combination with hyaluronic acid may have acted as a water content modulator, improving the skin moisture retention of the stratum corneum. As analyzed using a Cutometer, the skin elasticity of the study subjects improved with regular usage of the face cream.
In this study, astragaloside IV face cream revitalized and provided radiance, vibrancy, and skin glow in almost all subjects, probably by protecting telomeres, stimulating collagen production, reducing fine lines and wrinkles, and restoring skin texture. Significant improvements were observed in skin texture and wrinkles at the end of the study, as measured by an Antera 3D.
In this study, we set out to assess the effectiveness of astragaloside IV in improving the appearance of skin. To do this, we used a subjective assessment, and instrumental and image analyses. Our results show that astragaloside IV, when used in combination with hyaluronic acid, significantly improved brightness, elasticity, and the appearance of fine lines and wrinkles. In addition, our image analysis showed a decrease in roughness and an increase in smoothness of the skin of the subjects who used astragaloside IV. All subjects agreed that the test product made their skin moisturized, brighter, younger, and firmer.
No product-related skin irritation, intolerance, adverse events, or serious adverse events were recorded during the study. The application of the astragaloside-IV-containing cream twice daily for 28 days was found to be safe and well-tolerated for consumer application.

Limitations of the Study

Of course, some limitations apply to our exploratory, open-label pilot study. Four weeks may be too short for a long-term follow-up observation. Moreover, studies on larger patient populations should also be performed because of the limited sample size. Nevertheless, the proband population represents the standard population presented to dermatologists, resulting in good external validity.

5. Conclusions

The astragaloside-IV-containing cream is gentle to the skin. The cream contains biologically active compounds that protect telomeres and have antioxidant properties in vitro, as well as significant levels in vivo. The clinical trial results also reveal that this ingredient may have a more significant impact on skin health. It seems that the skin-hydrating properties of the tested cream are responsible, to a significant degree, for the improvements in skin brightness and viscoelasticity. Additionally, the telomeres’ protection likely contributes to improved skin quality. The qualitative assessments, or perceptions, of the participants match the instrumental analyses and demonstrate that the analyzed face cream’s impact on skin health is clinically relevant. Therefore, daily topical application of the compounds in the face cream is a convenient and effective means of protecting facial skin and reducing the all-too-common signs of aging.

Author Contributions

Conceptualization, J.K. and I.S.; methodology, D.P., M.T. and I.S.; investigation, all authors; resources, C.A. and I.S.; writing—original draft preparation, C.A. and I.S.; writing—review and editing, all authors; visualization, D.P., C.A. and I.S.; supervision, I.S. and J.K.; project administration, M.T. All authors have read and agreed to the published version of the manuscript.

Funding

This research received no external funding.

Institutional Review Board Statement

The study was conducted according to the guidelines for Good Clinical Practice and the policies of the Declaration of Helsinki and approved by the Institutional Ethics Committee of the Medical Faculty of the University of Duisburg-Essen (protocol code 20-9698-BO from 11/26/2020).

Informed Consent Statement

Informed consent was obtained from all subjects involved in the study.

Data Availability Statement

The data presented in this study are available on request from the corresponding author. The data are not publicly available due to data protection laws.

Acknowledgments

We thank all participants for their participation in the studies.

Conflicts of Interest

The authors declare no conflict of interest.

Abbreviations

DNAdeoxyribonucleic acid
TATTelomere Analysis Technology
TAVsTelomere-Associated Variables
FMfibroblast medium
PDpopulation doubling
DMSOdimethyl sulfoxide
HThigh-throughput
Q-FISHquantitative fluorescent in situ hybridization
PNApeptide nucleic acid
ATLaverage telomere length
TLR4Toll-like receptor 4
CAGcycloastragenol
H2O2hydrogen peroxide

References

  1. Teixeira, M.Z. Telomere length: Biological marker of cellular vitality, aging, and health-disease process. Rev. Assoc. Med. Bras. 2021, 67, 173–177. [Google Scholar] [CrossRef] [PubMed]
  2. Oeseburg, H.; de Boer, R.A.; van Gilst, W.H.; van der Harst, P. Telomere biology in healthy aging and disease. Pflug. Arch. 2010, 459, 259–268. [Google Scholar] [CrossRef] [PubMed]
  3. Krutmann, J.; Bouloc, A.; Sore, G.; Bernard, B.A.; Passeron, T. The skin aging exposome. J. Dermatol. Sci. 2017, 85, 152–161. [Google Scholar] [CrossRef] [PubMed]
  4. Orioli, D.; Dellambra, E. Epigenetic Regulation of Skin Cells in Natural Aging and Premature Aging Diseases. Cells 2018, 7, 268. [Google Scholar] [CrossRef]
  5. Zhan, Y.; Hagg, S. Association between genetically predicted telomere length and facial skin aging in the UK Biobank: A Mendelian randomization study. Geroscience 2021, 43, 1519–1525. [Google Scholar] [CrossRef]
  6. Li, X.; Qu, L.; Dong, Y.; Han, L.; Liu, E.; Fang, S.; Zhang, Y.; Wang, T. A review of recent research progress on the astragalus genus. Molecules 2014, 19, 18850–18880. [Google Scholar] [CrossRef]
  7. Wang, Y.; Wang, Q.; Li, C.; Lu, L.; Zhang, Q.; Zhu, R.; Wang, W. A Review of Chinese Herbal Medicine for the Treatment of Chronic Heart Failure. Curr. Pharm. Des. 2017, 23, 5115–5124. [Google Scholar] [CrossRef]
  8. Enukashvilya, N.I.; Skazinab, N.I.; Chubara, A.V.; Mashutind, A.B. The Effect of the Geroprotectors Astragaloside IV, Cycloastragenol, and Timovial–Epivial Peptide Complex on Telomere Length and Telomerase Activity in Human Mesenchymal Stromal Cells and Senescent Fibroblasts. Cell Tissue Biol. 2020, 14, 83–90. [Google Scholar] [CrossRef]
  9. Jiang, K.; Lu, Q.; Li, Q.; Ji, Y.; Chen, W.; Xue, X. Astragaloside IV inhibits breast cancer cell invasion by suppressing Vav3 mediated Rac1/MAPK signaling. Int. Immunopharmacol. 2017, 42, 195–202. [Google Scholar] [CrossRef]
  10. Li, M.; Li, H.; Fang, F.; Deng, X.; Ma, S. Astragaloside IV attenuates cognitive impairments induced by transient cerebral ischemia and reperfusion in mice via anti-inflammatory mechanisms. Neurosci. Lett. 2017, 639, 114–119. [Google Scholar] [CrossRef] [PubMed]
  11. Canela, A.; Vera, E.; Klatt, P.; Blasco, M.A. High-throughput telomere length quantification by FISH and its application to human population studies. Proc. Natl. Acad. Sci. USA 2007, 104, 5300–5305. [Google Scholar] [CrossRef] [PubMed]
  12. Canela, A.; Klatt, P.; Blasco, M.A. Telomere length analysis. Methods Mol. Biol. 2007, 371, 45–72. [Google Scholar] [CrossRef] [PubMed]
  13. de Pedro, N.; Diez, M.; Garcia, I.; Garcia, J.; Otero, L.; Fernandez, L.; Garcia, B.; Gonzalez, R.; Rincon, S.; Perez, D.; et al. Analytical Validation of Telomere Analysis Technology(R) for the High-Throughput Analysis of Multiple Telomere-Associated Variables. Biol. Proced. Online 2020, 22, 2. [Google Scholar] [CrossRef] [PubMed]
  14. Shetty, A.K.; Kodali, M.; Upadhya, R.; Madhu, L.N. Emerging Anti-Aging Strategies—Scientific Basis and Efficacy. Aging Dis. 2018, 9, 1165–1184. [Google Scholar] [CrossRef] [PubMed]
  15. M’Kacher, R.; Bennaceur-Griscelli, A.; Girinsky, T.; Koscielny, S.; Delhommeau, F.; Dossou, J.; Violot, D.; Leclercq, E.; Courtier, M.H.; Beron-Gaillard, N.; et al. Telomere shortening and associated chromosomal instability in peripheral blood lymphocytes of patients with Hodgkin’s lymphoma prior to any treatment are predictive of second cancers. Int. J. Radiat. Oncol. Biol. Phys. 2007, 68, 465–471. [Google Scholar] [CrossRef] [PubMed]
  16. M’Kacher, R.; Girinsky, T.; Colicchio, B.; Ricoul, M.; Dieterlen, A.; Jeandidier, E.; Heidingsfelder, L.; Cuceu, C.; Shim, G.; Frenzel, M.; et al. Telomere shortening: A new prognostic factor for cardiovascular disease post-radiation exposure. Radiat. Prot. Dosim. 2015, 164, 134–137. [Google Scholar] [CrossRef] [PubMed]
  17. Jager, K.; Walter, M. Therapeutic Targeting of Telomerase. Genes 2016, 7, 39. [Google Scholar] [CrossRef]
  18. Martinez, P.; Blasco, M.A. Telomere-driven diseases and telomere-targeting therapies. J. Cell Biol. 2017, 216, 875–887. [Google Scholar] [CrossRef]
  19. Molgora, B.; Bateman, R.; Sweeney, G.; Finger, D.; DimLer, T.; Effros, R.B.; Valenzuela, H.F. Functional assessment of pharmacological telomerase activators in human T cells. Cells 2013, 2, 57–66. [Google Scholar] [CrossRef]
  20. Pena Ferreira, M.R.; Costa, P.C.; Bahia, F.M. Efficacy of anti-wrinkle products in skin surface appearance: A comparative study using non-invasive methods. Ski. Res. Technol. 2010, 16, 444–449. [Google Scholar] [CrossRef]
  21. Liu, P.; Zhao, H.; Luo, Y. Anti-Aging Implications of Astragalus Membranaceus (Huangqi): A Well-Known Chinese Tonic. Aging Dis. 2017, 8, 868–886. [Google Scholar] [CrossRef] [PubMed] [Green Version]
Figure 1. Representative TAT images. Both the DAPI-stained nuclei (blue) and the fluorescently labeled telomeric spots (white spots) inside each nucleus can be seen in the images below. The cells were obtained from the corresponding tissue samples of the study participants.
Figure 1. Representative TAT images. Both the DAPI-stained nuclei (blue) and the fluorescently labeled telomeric spots (white spots) inside each nucleus can be seen in the images below. The cells were obtained from the corresponding tissue samples of the study participants.
Cosmetics 09 00095 g001
Figure 2. Bar chart comparison of control vs. treated (astragaloside 100 μg/mL) samples after four weeks of in vitro expansion and under oxidative conditions. The variables compared are median telomere length, 20th percentile length, and the % of telomeres <3 Kbp. Significant differences are indicated: **—p < 0.01, ***—p < 0.001.
Figure 2. Bar chart comparison of control vs. treated (astragaloside 100 μg/mL) samples after four weeks of in vitro expansion and under oxidative conditions. The variables compared are median telomere length, 20th percentile length, and the % of telomeres <3 Kbp. Significant differences are indicated: **—p < 0.01, ***—p < 0.001.
Cosmetics 09 00095 g002
Figure 3. Bar chart age group comparison of control vs. treated according to median telomere length, 20th percentile telomere length, and the % of telomeres <3 Kbp. Significant differences are indicated: *—p < 0.05; **—p < 0.01).
Figure 3. Bar chart age group comparison of control vs. treated according to median telomere length, 20th percentile telomere length, and the % of telomeres <3 Kbp. Significant differences are indicated: *—p < 0.05; **—p < 0.01).
Cosmetics 09 00095 g003
Figure 4. Two examples in comparison of control vs. treated according to telomere length and the three categories (Percentiles, ShortTel, and ShortCell).
Figure 4. Two examples in comparison of control vs. treated according to telomere length and the three categories (Percentiles, ShortTel, and ShortCell).
Cosmetics 09 00095 g004
Figure 5. Application of the product visibly reduced wrinkles and dryness lines. In addition, the skin relief is improved (T0 = before treatment, T1 = after 28 days).
Figure 5. Application of the product visibly reduced wrinkles and dryness lines. In addition, the skin relief is improved (T0 = before treatment, T1 = after 28 days).
Cosmetics 09 00095 g005
Table 1. Results of the efficacy—instrumental evaluation and self-evaluation by questionnaire after use (28 days) by 20 women (age 40–70 years).
Table 1. Results of the efficacy—instrumental evaluation and self-evaluation by questionnaire after use (28 days) by 20 women (age 40–70 years).
Parameters for Instrumental Evaluation
Skin hydration improved+16%
Skin compactness/firmness improved+15%
Depth of wrinkles reduced−8%
Questions of Efficacy (self-evaluation)
Skin moisturization improves95%
Skin compactness improves80%
Skin smoothness improves80%
Skin brightness improves90%
Wrinkle visibility reduces70%
Skin elasticity improves85%
Publisher’s Note: MDPI stays neutral with regard to jurisdictional claims in published maps and institutional affiliations.

Share and Cite

MDPI and ACS Style

Alt, C.; Tsapekos, M.; Perez, D.; Klode, J.; Stoffels, I. An Open-Label Clinical Trial Analyzing the Efficacy of a Novel Telomere-Protecting Antiaging Face Cream. Cosmetics 2022, 9, 95. https://doi.org/10.3390/cosmetics9050095

AMA Style

Alt C, Tsapekos M, Perez D, Klode J, Stoffels I. An Open-Label Clinical Trial Analyzing the Efficacy of a Novel Telomere-Protecting Antiaging Face Cream. Cosmetics. 2022; 9(5):95. https://doi.org/10.3390/cosmetics9050095

Chicago/Turabian Style

Alt, Christina, Menelaos Tsapekos, Diego Perez, Joachim Klode, and Ingo Stoffels. 2022. "An Open-Label Clinical Trial Analyzing the Efficacy of a Novel Telomere-Protecting Antiaging Face Cream" Cosmetics 9, no. 5: 95. https://doi.org/10.3390/cosmetics9050095

APA Style

Alt, C., Tsapekos, M., Perez, D., Klode, J., & Stoffels, I. (2022). An Open-Label Clinical Trial Analyzing the Efficacy of a Novel Telomere-Protecting Antiaging Face Cream. Cosmetics, 9(5), 95. https://doi.org/10.3390/cosmetics9050095

Note that from the first issue of 2016, this journal uses article numbers instead of page numbers. See further details here.

Article Metrics

Back to TopTop