Abstract
Riverine, estuarine, and coastal populations have always used algae in the development of home remedies that were then used to treat diverse health problems. The empirical knowledge of various generations originated these applications, and their mechanism of action is, in most cases, unknown, that is, few more scientific studies would have been described beyond simple collection and ethnographic recording. Nevertheless, recent investigations, carried out with the purpose of analyzing the components and causes that alter the functioning and the balance of our organism, are already giving their first results. Water, and especially sea water is considered as essential to life on our planet. It sings all the substances necessary and conducive to the development of the living being (minerals, catalysts, vitamins, amino acids, etc.). Oceans cover over 70% of Earth, being home to up to 90% of the organisms in the planet. Many rich resources and unique environments are provided by the ocean. Additionally, bioactive compounds that multiple marine organisms have a great potential to produce can be used as nutraceuticals, pharmaceuticals, and cosmeceuticals. Both primary and secondary metabolites are produced by algae. The first ones are directly implicated in development, normal growth, or reproduction conditions to perform physiological functions. Stress conditions, like temperature changes, salinity, environmental pollutants, or UV radiation exposure cause the performance of secondary metabolites. In algae, proteins, polysaccharides, fatty acids, and amino acids are primary metabolites and phenolic compounds, pigments, vitamins, sterols, and other bioactive agents, all produced in algae tissues, are secondary metabolites. These algal active constituents have direct relevance in cosmetics.
1. Introduction
Biologically active substances can be identified and extracted from a very heterogeneous group in the oceans, the marine organisms, which are excellent reservoirs for this. These substances have the potential to act as nutritional supplements, pharmaceuticals, cosmeceuticals, cosmetics, fine chemicals, and enzymes [1]. The non-disputed treasures of the ocean are the algae (macro and microalgae).
Their immense ability to adapt makes them invulnerable to most difficult living conditions.
Their use in cosmetics was discovered due to their skin care characteristics as true multi-talents. Algae provide the skin with moisture, promote blood circulation, activate the cell renewal and the metabolism, regulate the sebaceous gland function, drain the tissues, have an anti-inflammatory effect, and increase the skin’s resistance [2,3].
Taxonomy of Algae and Their Bioactivities
Algae, like most plants, have cells with pigments that allow them to perform photosynthesis. This group of organisms has a wide geographic distribution, colonizing several places, but always connected to the presence of water. They can be found hovering in water, fixed to rocks and walls, or in association with other organisms, as in the case of lichens, in association with fungi. The algae are particularly abundant in the seas, rivers, and lagoons, inhabiting the euphotic (or photic) region, that is, until light penetration permits photosynthesis (up to about 200 m depth, depending on the site). Algae are benthic (mainly macroalgae), or planktonic (microalgae). The first ones live adhered to a substrate (usually rock), are macroscopic and can reach 50 m in length; the second ones are very small (microscopic) and live suspended in the water column [4,5].
Seaweed (or macroalgae) are aquatic photosynthetic organisms belonging to the Eukaryota domain and to the Plantae (green and red algae) and Chromista (brown algae) kingdoms, respectively. Although classification systems have evolved over time, it is generally consensual that [4,6,7,8]:
- (a)
- red algae are included in the Rhodophyta phylum, and their photosynthetic pigments are chlorophyll a, phycobilins (r-phycocyanin and r-phycoerythrin), and carotenoids (lutein, zeaxanthin, β-carotene);
- (b)
- brown algae are included in the Ochrophyta (or Heterokontophyta) phylum, Phaeophyceae class, and their pigments include chlorophylls a, c, and carotenoids (fucoxanthin); and
- (c)
- green algae are included in the Chlorophyta phylum and their pigmentation is identical to that of land plants (chlorophyll a, b, and carotenoids).
Due to their diversity of constituents, algae have been widely used in many parts of the world as a source of essential compounds for human nutrition, and for the cosmetic and pharmaceutical industries. They are source of: proteins of excellent quality, because they contain all the essential amino acids; polyunsaturated fatty acids, especially the omega-3 family and other essential fatty acids; carbohydrates; vitamins; minerals (magnesium and calcium); dietary fibers (such as alginates, agar and carrageenans) and bioactive secondary metabolites (such as phytosterols and polyphenols), among others [9,10,11,12,13,14,15,16,17].
Seaweed as a basic diet item has been used in China, Korea and Japan since prehistoric times. In 600 BC, in China, Sze Teu wrote: “Some seaweed is a delicacy suitable for the most honored guests, and even for the king himself.” About 21 species of algae are used in everyday cooking in contemporary Japan, six of them since the 8th century [18].
Macroalgae produce both primary metabolites, which are directly involved in physiological functions, under normal growth conditions, namely reproduction, and secondary metabolites, which are produced under different stress conditions, such as exposure to UV radiation, changes in temperature, salinity or environmental pollutants. Primary algal metabolites include proteins, amino acids, polysaccharides, and fatty acids. The secondary metabolites produced in algae tissues are phenolic compounds, pigments, sterols, vitamins, and other bioactive compounds [9,17,18,19,20].
2. Bioactive Compounds Used in Cosmeceuticals
Due to the chemical diversity and unique properties, algae have been the subject of many studies and are widely used in the cosmetics industry (Table 1) [21,22,23,24,25,26,27,28,29,30,31,32,33,34,35,36,37,38,39,40,41,42,43,44,45,46,47,48,49,50,51,52,53,54,55,56,57,58,59,60,61,62,63,64,65,66,67,68,69,70,71,72,73,74,75,76,77,78,79,80,81,82,83,84,85,86,87,88,89,90,91,92,93,94,95,96,97,98,99,100,101,102,103,104,105,106,107,108,109,110,111,112,113,114,115,116,117,118,119,120,121,122,123,124,125,126,127,128,129,130,131,132,133,134]. Algae contain different biochemical compounds including polysaccharides, proteins, lipids, phenolic compounds, pigments, vitamins, and other bioactive substances [135], as well as macro and microelements [19,29,30,45]. Seaweeds produce both primary metabolites, which are directly involved in normal growth, development, or reproduction conditions to perform physiological functions, and secondary metabolites, which are performed under different stress conditions, such as UV radiation exposure, salinity, temperature changes, or environmental poisons. Primary metabolites in algae include polysaccharides, proteins, amino acids, and fatty acids. Secondary metabolites produced in seaweed tissues are pigments, phenolic compounds, sterols, vitamins, and other bioactive agents.
Table 1.
Bioactive properties of some compounds extracted from algae.
2.1. Hydrocolloids and Other Seaweed Polysaccharides
Polysaccharides (see Table 1) are the largest group of all active metabolites occurring in seaweed (about 60% of all bioactive substances) [113,133]. These compounds are comprised of various building blocks and form long molecules of carbohydrates of monosaccharide units linked by glycosidic bonds. They are hydrophilic molecules, soluble in water and have a fairly regular structure. Algal polysaccharides are structural components of cell walls and act as energy storage units. There are many types of biologically active polysaccharides in algal tissues. Generally, these compounds are ingredients with moisturizing and antioxidant capacity and are therefore used in cosmeceuticals. They are also widely used as gelling agents and stabilizers in emulsions [19,133]. Polysaccharides, including those of algal origin, are used in drug release, vaccine production, anti-thrombogenic, anticancer, and antiadhesive [134].
2.1.1. Agar
Agar-agar, also known simply as agar or agarose (Figure 1), is a strongly gelatinous hydrocolloid extracted from several genera and species of red seaweed (Rhodophyta), and consists of a heterogeneous mixture of two polysaccharides, agarose and agaropectin. These substances flow as a structural carbohydrate in the cell wall and in the intercellular spaces. The algae containing the agar are called agarophytes [135]. The name of this polymer comes from the Malaysian word agar-agar. The main genera of agarophytes algae are Gelidium, Gracilaria, Gelidiela, and Pterocladiella. However, many cyanobacteria [136] as well as unicellular red algae, such as Rhodella and Porphyridium [137], also produce agar. The earliest known records of agarose extraction date from the late 1950s or early 60’s of the 17th century, with the discovery of the method of extraction at Mino Tarōzaemon in Japan, where the product was designated as “kanten”. Agar forms rigid and brittle gels and is applied as thickener and emulsion stabilizers in the food industry and in biotechnology [29,135,138].
Figure 1.
Idealized structue of the chemical units of Agar.
Agar is composed of a variable combination containing agarose and agaropectin, depending of the species and seasonal factors. Agarose, which is the primary component of agar, is a linear polymer of agarobiose, a disaccharide composed of D-galactose and 3,6-anhydro-L-galactopyranose. Agaropectin, which occurs usually in minor amounts, is a heterogeneous mixture of β-1,3-linked D-galactose which contain substituted sulfate and pyruvate moieties. The gelling property of agar relies heavily on the extent of sulfation and the amount of 3,6-anhydrogalactose present [139,140]. Agar is often used as a major ingredient in creams, as an emulsifier and stabilizer, and to control the moisture content in cosmetic products such as hand lotions, deodorants, foundation, exfoliant/scrub, cleanser, shaving cream, anti-aging treatment, facial moisturizer/lotion, liquid soap, acne treatment, body wash, and facial powder [139]. Agar is an inert biocompatible substance that can tolerate temperatures up to 250 °C, so it is also unique in its ability to withstand near boiling-point temperatures, making it ideal for use in jellied confections in tropical countries since the ingredients can be treated at high temperatures and then cooled [140]. However, the sulfated-galactan component of agar might exhibit bioactive activities [9,113,141].
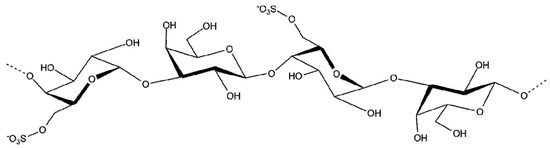
2.1.2. Alginic Acid
The main polysaccharide found in the brown seaweeds (Phaeophyceae) is the alginic acid (Figure 2), a linear copolymer of β-d-mannuronic acid (M) and α-l-guluronic acid (G) units linked together by 1 → 4 glycosidic bonds. The extraction process is based on the conversion of an insoluble mixture of alginic acid salts of the cell wall in a soluble salt (alginate or algin) which is appropriate for the water extraction [141,142,143]. This polysaccharide is derived from several species of brown algae (e.g., mixed Fucales and Laminariales: Ascophyllum, Durvillaea, Ecklonia, Laminaria, Lessonia, Macrocystis, Saccharina, Sargassum and Turbinaria) that are utilized as raw materials by alginate producers [9,113,143].
Figure 2.
Idealized structue of the chemical units of alginic acid.
Alginates swiftly form hydrogels in the presence of divalent cations such as Mg2+, Ca2+, Sr2+, and Ba2+ [129]. The extraction of alginates is attained by the conversion of insoluble alginic acid and its salts into water-soluble potassium and sodium alginate. The stiffness or viscosity of these gels depends on the structural features of the polymer (a number of α-l-guluronate residues) and is highly affected by the external salt concentration [141,142,143,144]. In addition to divalent cations, acidic conditions (low pH) make it insoluble, producing gel-like characteristics. Nevertheless, both the sodium and potassium salts of alginic acid are water-soluble [141].
Due to their chelating properties, alginates are widely used as gelling agents in drugs and cosmetics, as thickeners, protective colloids, or emulsion stabilizers, useful for hand jellies and lotions, ointment bases, pomades and other hair preparations, greaseless creams, dentifrices, and other products. Alginates may also be used in the formulation of skin protective or “barrier” creams for the prevention of industrial dermatitis. Creams of this sort give flexible films with improved adhesion to the skin and is a suitable ingredient of beauty masks or facial packs [20,107].
2.1.3. Carrageenans
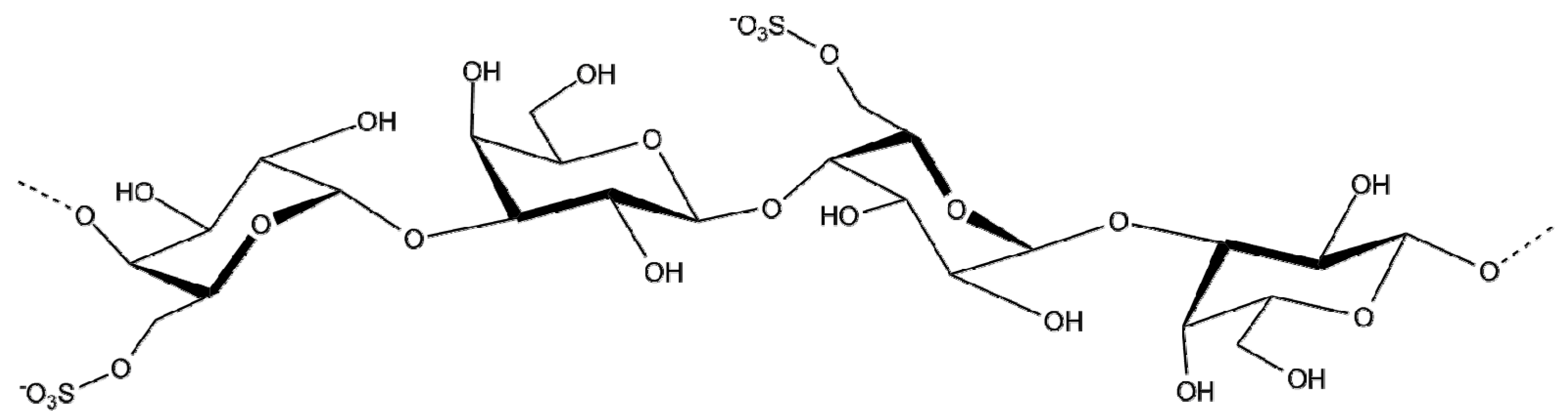
The product extracted from the red algae (carrageenophytes) in its pure state is called “carrageenin” but is extremely unstable and difficult to obtain; consequently, carrageenin binds to one or more cations to form various salts of carrageenin: the carrageenan. On the recommendation of the Division of Organic Chemistry-ACS, the term “nan” should be used instead of the “nin”. Carrageenans are polysaccharides extracted from several families of the order Gigartinales. These polygalactans are sulfated and have a linear structure formed by galactose residues with alternating α (1–3) and β (1–4) bonds. Carrageenan, in its pure dry state, is in the form of an odorless, tasteless powder. The solution and the carrageenan gel are usually translucent and their incorporation into other solutions does not modify the taste or the original coloration thereof. In solution, the polymers of carrageenan behave like hydrophilic anionic colloids. Commercial carrageenans (used at the food level) have a high molecular weight, usually ranging from 400 to 600 kDa, with a minimum of 100 kDa. This minimum value was established by the regulatory authorities (FDA, EFSA, etc.) in response to reports of highly degraded carrageenan-induced ulceration of the colon. From a commercial point of view, three main types of extracted carrageenan are important: kappa (κ), iota (ι) and lambda (λ). Iota and kappa carrageenans are gelling carrageenans, while lambda is a thickening/viscosifier carrageenan [144,145,146]. The idealized disaccharide repeating units of these carrageenans are given in Figure 3.
Figure 3.
Idealized units of the main types of Carrageenan. Adapted from [145].
Generally, seaweeds do not produce these idealized and pure carrageenans, but more likely a range of hybrid structures. Several other carrageenan repeating units occur: e.g., theta (θ), xi (ξ), beta (β), mu (µ), and nu (ν). The precursors (mu and nu), when exposed to alkali conditions, are modified into kappa and iota, respectively, through formation of the 3,6-anhydrogalactose bridge [144,145,146,147].
Carrageenans are extracted from several carrageenophytes: i.e., Betaphycus gelatinum, Chondrus crispus, Eucheuma denticulatum, Gigartina skottsbergii, Kappaphycus alvarezii, Hypnea musciformis, Mastocarpus stellatus, Mazzaella laminaroides, Sarcothalia crispata, from the order Gigartinales (Rhodophyta). This phycocolloid enters the composition of toothpastes, lotions, hair conditioners, lotions, medicines, sun ray filterers, shaving creams, shampoos, deodorants sticks, sprays, and foams. More than 20% of carrageenan production is used in pharmacy and cosmetology. Excipients of algal origin are used in vanishing creams—the rapid evaporation of the emulsion’s aqueous phase on the skin leaves a thin protective medicated oily microfilm [141,145,148,149].
2.1.4. Porphyran
Porphyrans (Figure 4) constitute a well-studied class of sulfated polysaccharides obtained by aqueous extraction from red algae of the Porphyra/Pyropia and Bangia species (order Bangiales, Rhodophyta). Temperatures higher than 60 °C and pH from the range 3.0–12.0 promote decomposition of porphyrans [87]. The porphyrans have a linear structure formed by alternating units of glycosidically substituted β-d-galactopyranose at carbon 3 and α-l-galactopyranose units substituted at carbon 4 in a repeating alternating disaccharide arrangement which may be represented by [→3)-β-d-galactopyranose-(1→4)-α-l-galactopyranose-(1→] n [150,151,152,153].
Figure 4.
Idealized structure of the chemical units of porphyran.
This sulfated polysaccharide has shown potential skin whitening, anti-inflammatory, analgesic and antiulcer properties [129] and, so, these bio-functional activities of porphyran are beneficial for cosmeceutical applications.
2.1.5. Laminaran
Laminaran (Figure 5), also known as laminarin or leucosin, is a small glucan present in either soluble or insoluble form-the first form is characterized by complete solubility in cold water, while the other is only soluble in hot water. This polysaccharide is composed of D-glucose with β-(1,3) linkages, with β-(1,6) intra-chain branching [135].
Figure 5.
Idealized structure of the chemical units of laminaran.
Laminaran are derived mainly from brown seaweeds Laminaria, Saccharina, and to a lesser extent in Ascophyllum, Fucus, Sargassum, and Undaria. Laminarans are reported to have antitumoral, anti-inflammatory, anticoagulant, antiviral, and antioxidant properties [19]. The use of laminarin in cosmetics relies not on their physical properties but on their broad range of bioactive properties. As far as the application of laminaran is concerned, they are generally used in anticellulite cosmetics products [107,143].
2.1.6. Fucoidan
Fucans are sulfated polysaccharides which contain a fucose backbone. The term “fucans” was used to denote all L-fucose-rich polysaccharides, but as separation and analysis methods improved and a better understanding of the composition and branching of that polysaccharide was achieved, the nomenclature led to some confusion. “Fucans” or “sulfated fucans” are used to refer to the sulfated polysaccharide of marine invertebrates containing L-fucose and less than 10% of other monosaccharide units, while the name “fucoidan” is used for those with seaweed origin. Fucoidan (Figure 6) was first isolated by Kylin, and the fucoidan from Fucus vesiculosus has been available commercially for decades (Sigma-Aldrich Chemical Company, St. Louis, MO, USA) [4,154].
Figure 6.
Idealized structure of the chemical units of fucoidan.
Fucoidans are sulfated water-soluble polysaccharides constituted essentially of sulfated α-L-fucopyranose residues or may have a more complex and heterogeneous composition that, apart from α-l-fucose and sulfates, may contain other monosaccharides (galactose, xylose, mannose, rhamnose, glucose, and/or uronic acids) and may even have acetylated groups. Fucoidan does not always appear as a pure polysaccharide, perhaps having multiple forms–differences in branching, molecular weight, charge and substitutions—and may have other constituents from the source [143,155].
Fucoidan can be easily “cooked” from edible seaweed, boiling for 20–40 min in water. When consumed, it appears to reduce the intensity of the inflammatory response and promote a faster tissue healing after wounding or surgical trauma. Hence its recommendation for cases of muscle and joint injuries (including sports injuries), falls, bruises, deep cuts, and surgery [156].
These sulfated polysaccharides are now attracting considerable attention because of its various bioactivates: anti-coagulant, anti-thrombotic, anti-inflammatory, skin protection against UV radiation, tyrosinase inhibitor, antitumoral, antibacterial, anti-obesity, antidiabetic, antioxidative, antihyperlipidemic [157,158,159,160].
Several studies have reported that the anticoagulant activity of fucoidans extracted from brown algae Eklonia cava and Fucus vesiculosus was due to inhibition of thrombin mediated by anti-thrombin III plasma; and its anticoagulant activity is equivalent to that of heparin [161,162,163]. In addition, fucoidans extracted from Ascophyllum nodosum, Fucus evanescenes, F. distichous, F. serratus, Laminaria digitata, Saccharina latissima, S. longissima, and Undaria pinnatifida, have also been described as having strong anticoagulant activities both in vivo and in vitro models [78,161,162].
In general, studies on the anticoagulant/antithrombin activities of fucoidans, revealed that they were mainly dependent on the content and/or positioning of sulfate groups in the molecule, as well as their molecular weight [161]. Moreover, the types of binding and branching and their monomeric composition may also exert moderate modulation on the biological properties of these sulfated polysaccharides [157,163,164]. In this context, it is possible that the anticoagulant/antithrombin activities exhibited by larger fucoidans are due to the higher content of the fucose and sulfate groups [78,156,161,163,164], although this is still under discussion [160,165,166].
It is said that the cosmetic effect of fucoidan on human skin was first discovered by accident-in an experiment with fucoidan, an investigator repeatedly manipulated the brown algae extract with his own hands and, to his surprise, the wounds on the skin of his hands healed quickly [167].
Moon et al. [168] found that treatment with fucoidan increased procollagen type I and inhibited expression of matrix metalloproteinase induced by UVB (ultraviolet B radiation). Accordingly, it is suggested that fucoidans may be potentially used as therapeutic agents to prevent photoaging of the skin. In addition, some studies have shown that fucoidans can minimize elastase activity in human leukocytes and thereby protect the elastic fibers of the skin [48]. Fucoidans also act as inhibitors of tyrosinase and, consequently, can reduce skin pigmentation while used in skin whitening products (Table 1) [17,47].
It has also been shown that the effects of fucoidan protect the hair and skin, which includes the elimination of free radicals, reduction of inflammation, wrinkles, allergies, and the sensitive skin reaction. In addition, fucoidan has been reported to improve the elasticity, firmness and brightness of the skin, as well as protection, growth, stiffness, cleanliness, and gloss of hair [169,170].
2.1.7. Ulvan
Ulvan (Figure 7) is a water-soluble sulfated hetero-polysaccharide extracted from the cell-walls of species belonging to the phylum Chlorophyta (green algae), mostly belonging to the class Ulvophyceae, accounting for 8 to 29% of the algae dry weight [40,113]. Species of the genus Ulva, popularly known as “sea lettuce”, are widely distributed around the world and have been used on a small scale in food, medicine and agriculture [170,171,172,173,174,175,176,177]. Ulvan is composed of rhamnose, xylose, glucose mannose, galactose, and uronic acids. These sugars are structurally grouped into two main repetitive disaccharides, the ulvanobiuronic acids type A [(→ 4)-β-d-GlcA-(1 → 4)-α-l-Rha 3S-(1 →)], and type B [(→ 4)-α-l-IdoA(1 → 4)-α-l-Rha 3S-(1 →)] (Figure 7). However, the composition of the polysaccharide may be more complex and undergo taxonomic and/or ecophysiological variations. Ulvan has gelling properties in the presence of divalent cations such as Ca2+, Cu2+, and Zn2+, in a pH range of 7.5 to 8.0, and tolerates temperatures up to 180 °C [113,172,173,174]. Both, the rheological and biofunctional properties of ulvans make them desirable as raw material for cosmeceuticals [113,132,171]. A US patent describes synergistic skin protective and bioactive effects of rhamnose and fucose against skin aging [172].
Figure 7.
Idealized structure of ulvan chemical units.
The mechanism of gel formation by ulvans is complex and involves the formation of spherically shaped structures of ulvans in the presence of boric acid and calcium ions [39,40]. Apart from their ability to create gels, ulvans have moisturizing, protective, antitumor, and antioxidative properties [107,113]. The unique chemical and physicochemical properties of ulvan make this class of polysaccharides attractive candidates for novel functional and biologically active polymers for the food/feed, chemical aquaculture, pharmaceuticals, cosmeceuticals, and agriculture domains [39].
2.2. Proteins and Amino Acids
Proteins are biological macromolecules made up of one or more chains of amino acids. Proteins are present in all living beings and participate in virtually all cellular processes, performing a wide range of functions in the body, such as DNA replication, response to stimuli, and transport of molecules. Many proteins are enzymes that catalyze biochemical reactions vital to metabolism. Proteins are present in algae in different ways, for example, as single or conjugated proteins (conjugated proteins or heteroproteins are those which release by hydrolysis other chemical components in addition to amino acids). In addition, algae may contain protein derivatives, such as enzymes or peptides, as well as free amino acids [109]. Proteins and their derivatives are characterized by their diverse structure, cellular location and their functions. Most of these components have anti-inflammatory, antioxidant, anti-tumor, anti-aging, and protective activity. In addition, algae proteins are applied as moisturizing agents to hair and skin [44]. Therefore, proteins can be used successfully in functional and cosmeceuticals [174].
Amino acids generally act as moisturizing agents in cosmetic products because many of them are constituents of the natural moisturizing factor (NMF) in human skin [107]. Algae may contain endogenous amino acids, such as alanine, serine, proline, and exogenous amino acids, such as histidine, tyrosine, and tryptophan [19,43]. Some species of algae are good sources of essential amino acids; for example, Ulva australis contains histidine and taurine, which have antihypertensive and antioxidant properties [33]. Other studies have shown that red alga Palmaria palmata (Dulse) and brown algae Himanthalia elongata (sea spaghetti) contain high concentrations of serine, alanine, and glutamic acid [175,176,177].
Mycosporine-like amino acids (MAAs) are a family of secondary metabolites whose production is directly or indirectly related to the absorption of solar energy, and which protect marine organisms exposed to high UV radiation [120,178]. MAAs have been detected in diverse organisms and especially in red macroalgae (Rhodophyta)—Chondrus crispus, Palmaria palmata, Gelidium spp., Porphyra/Pyropia spp., Gracilaria cornea, Asparagopsis armata, Solieria chordalis, Grateloupia lanceola, and Curdiea racovitzae [177,178,179]. The content of MAAs is higher in summer and at a moderate depth (0–1 m). MAAs may be potentially used in cosmetics and toiletries as UV protectors and activators of cell proliferation [179].
2.3. Pigments
Recently, coloring of food and cosmetics is achieved by the presence of substances extracted from natural sources that, in addition to coloring, bring beneficial effects to human health by acting to protect the body and prevent diseases. Algae contain a wide range of photosynthetic pigments; the three major classes of photosynthetic pigments are: chlorophylls, carotenoids (carotenes and xanthophylls), and phycobilins. Phycocyanin and phycoerythrin belong to the phycobilin group (Figure 8), while fucoxanthin (Figure 9) and peridinin belong to the carotenoid group [179,180].
Figure 8.
Phycoerythrobilin is the typical chromophore in phycoerythrin.
Figure 9.
Chemical structure of Fucoxanthin.
Algae have extremely varied colorations; however, all have chlorophyll. This pigment is in the interior of chloroplasts, responsible for the green coloration of the great majority of the plants. The coloration of an algae is no more than the visible expression of the combination of the different pigments present in the cells. Thus, the phyla and classes of macroalgae are essentially defined, in practice, by their particular pigment composition [6].
Green algae are included in the Chlorophyta phylum and its pigmentation is identical to that of land plants (chlorophyll a and b and carotenoids); red algae belong to the Rhodophyta phylum and have as photosynthetic pigments chlorophyll a, phycobilins (R-phycocyanin and R-phycoerythrin) and carotenoids (β-carotene, lutein, and zeaxanthin); brown algae are included in the phylum Heterokontophyta (or Ochrophyta), class Phaeophyceae, and its pigments are the chlorophyll a and c and carotenoids where fucoxanthin predominates, responsible for the brownish coloration. Their biological role is related to photoprotection of the photosynthetic apparatus of excess light dissipation through the elimination of ROS [6,179].
Generally, chlorophylls occur in algae in higher concentrations than other pigments. These green photosynthetic pigments, with antioxidant and antimutagenic properties, are widely used in the food, pharmaceutical and cosmetic industries [180]. Chlorophyll absorbs light in the red and blue regions and for thus emits a green color. Therefore, these pigments are used as natural coloring agents [27]. In addition, chlorophylls have deodorizing and antibacterial properties [25]. Their high antioxidant activity and the ability to stimulate tissue growth, transform these pigments into valuable raw materials for the cosmetic industry [28,181].
Presently, many of the studies involving algae pigments are focused on carotenoids as commercially applicable bioactive compounds. Carotenoids are lipophilic isoprenoid molecules, which are classified as xanthophylls (astaxanthin, fucoxanthin, loraxanthin, lutein, violaxanthin, zeaxanthin) and carotene (α-carotene, β-carotene, lycopene) [30]. Carotenoids are widely used as natural dyes and vigorous antioxidants with additional antitumor, anti-inflammatory and radical sequestering properties [19,29,30]. β-carotene was the first bioactive agent produced commercially among other carotenoids [30,182,183].
Carotenoids have been shown to be of great interest to human well-being. They have pro-vitamin A activity and can remain active where normal vitamin C cannot, especially under low oxygen rates. These pigments, such as β-carotene, modulate UVA-induced gene expression, protect the skin and eyes from photo-oxidation against UV light and prevent eye disease in humans, as in the case of cataracts [132].
Astaxanthin performs a variety of activities, such as the prevention of some human pathologies, like UV-mediated photo-oxidation, tumors, and inflammatory processes [184]. When natural astaxanthin began to be produced industrially, some salmon aquacultures preferred the use of this pigment and added it to salmon nutrition. This pigment, such as β-carotene, is a compound with large-scale production extracted from freshwater microalgae Haematococcus lacustris (formerly Haematococcus pluvialis) (Chlorophyta) [9,184]. It is not only the bright red color of this compound that the food industry uses, but also its antioxidant capacity, higher than that of β-carotene, which greatly increases the value of this product. However, it is the know-how of H. lacustris cultivation techniques that makes this organism the preferred target to produce astaxanthin, although this metabolite is present in a wide variety of other microalgae [132].
Fucoxanthin is the typical xanthophyll of brown algae (Phaeophyceae) and, together with other pigments, gives a yellowish-brown or olive-green appearance to these seaweeds. As with all carotenoids, its antioxidant activity is extraordinary. The main bioactivities of fucoxanthin are: antimalarial, antitumor, anti-obesity, anti-inflammatory, antidiabetic, and antiangiogenic activities. It also has protective effects on the brain, skin, liver, blood vessels, bones, and eyes [185,186].
2.4. Lipids
The word “lipid” comes from the Greek word “lipos”, which means grease and oiliness to the touch. Lipids are a diversified group of organic compounds found in animals, microorganisms and plants. They are one of three major classes of nutrients and, together with proteins and carbohydrates, are the “building blocks” of all living cells [187]. Lipids represent a group of chemical compounds that have a lipophilic character as a common feature. The lipids present in algae include fatty acids, glycol- and phospholipids, sterols, and others [29,108,109,123]. Currently, many of the studies are focused on fatty acids, derived from macro- and microalgae, with direct application in biodiesel production [188,189]. However, algae fatty acids, and other lipophilic compounds, have anti-allergic, antioxidant and anti-inflammatory activities too [19,20]. In addition, lipids can act as emollient-softening compounds that protect the skin from water loss [20].
2.5. Phenolic Compounds
Phenolic compounds are one of the most interesting water-soluble plant substances, naturally present in cell vacuoles, and perform numerous biological activities [190,191]. Phenolic compounds are a class of chemical compounds which consist of a hydroxyl group directly attached to an aromatic hydrocarbon group. The simplest is the phenol, which is also called carbolic acid. Phenolic compounds are classified as single phenols or polyphenols, based on the number of phenol units in the molecule.
In the last decades, thousands of phenolic compounds were isolated and identified from organisms belonging to the Plantae kingdom, including terrestrial and marine plants, namely in algae [192,193]. However, there are large differences between phenolic compounds produced by terrestrial plants and those produced by marine algae. Marine polyphenols are phlorotannins and polyphenols of terrestrial origin are flavonoids and gallic acid, for example. Phlorotannins are produced by brown macroalgae (Phaeophyceae), and are composed of 1,3,5-trihydroxybenzene chains formed in the acetate-malonate pathway, with a wide range of molecular weights from 126 to 65,000 Da [194]. Marine algae play an important role in the production of bioactive compounds, and the only organisms, on the planet Earth, phlorotannins producers [17,195].
Phlorotannins are phloroglucinol-based compounds, synthesized by the acetate-malonate pathway, highly hydrophilic and with a wide molecular weight range [196]. Phlorotannins have antiallergic, bleaching, anti-wrinkle, and skin antiaging activities, due to the inhibitory effect of hyaluronidase (Haase) activation. Currently, more than 100 metabolites, belonging to different classes are known, being present in 49 species of brown algae (see Table 1) [53,197].
2.6. Vitamins and Minerals
Algae are an important source of various vitamins, such as vitamin A (β-carotene and other carotenoids), complex B vitamins (B1-thiamine, B2-riboflavin, B3-niacin, B5-pantothenic acid, B6-pyridoxine, B7-biotin and B12-cobalamin), vitamin C (ascorbic acid), vitamin D, and vitamin E (α-tocopherol) [107,198].
Moreover, thanks to the algal cell walls freely permeable to low molecular weight constituents, such as ions, gases, and water, algae may include in their composition micro and macroelements ions [199]. Depending on their natural habitat, algae contain several types of microelements, such as zinc (Zn), magnesium (Mg), copper (Cu), iodine (I), iron (Fe), and manganese (Mn), and macroelements, such as calcium (Ca), sodium (Na), potassium (K), chlorine (Cl), essential for a good skin condition [107,198,199]. Therefore, algae represent a very attractive cosmetic raw material due to its natural origin, rich in bioactive phytochemicals with multiple effects on the skin [10].
Iodine (I) is an essential component of thyroid hormones that help the body regulate the metabolism, growth and development. Worldwide, insufficient iodine intake is a major public health problem, leading to a number of iodine deficiency disorders (IDD), with serious health impacts [175,200,201]. The World Health Organization [175] recommends a daily intake of 150–299 μg in adults in order to obtain their ideal amount. Iodine enters our body mainly through nutrition, but it is possible to obtain it through drinking water, the air we breathe (gaseous iodine), and through the skin [202]. In a seaweed-immersion bath (see also Section 4.2), its absorption is possible through the contact of our skin with sea water or through inhaling iodine in the gaseous state [203].
3. Algotherapy—Herbal Medicine and Algae-Based Phytochemistry
Algotherapy is the special branch of herbal medicine that uses marine plants (or rather the bioactive compounds the said active principles are extracted from) with medicinal value, or therapeutic applications that result in attenuation, combat, and/or prevention of diseases and their symptoms. Marine algae are literally sea vegetables (just as carrots, beans, cabbage, and lettuce are among the terrestrial plants), and have been used for centuries as food by people like the Chinese (with an ancestral tradition of using herbal medicine), Japanese, Scottish, Irish, Icelanders, Scandinavians, Germans, and the Indians of Latin America, who used its potential healing power of various diseases in the form of drugs. Nowadays, the acceptance of the therapeutic potential of these bioactive substances in addition to simple intake of seaweed itself (direct or indirect) is a generally accepted fact, and its extracts are used in drug production, preparation of cosmetics, and therapeutic baths [5]. Once algae extracts are capable of industrial production by certified technicians (chemical, pharmaceutical, and/or other areas of animal or human health), they assume the status of herbal medicines, i.e., there are medicines made from bioactive vegetable raw materials (without the inclusion of synthetic chemicals), whose effectiveness and safety are validated by ethno-pharmacological surveys, technical and scientific documentation, or clinical evidence replicable. All algotherapy preparations recourse to curative power of active principles of plants and algae, but also the synergistic effects of cumulative use of more than one species (other algae, and this with terrestrial plants, aquatic and/or fungi), and of inorganic elements, which may incorporate the final composition of the herbal medicine [8].
4. Therapies Coming from the Sea
4.1. Seawater
Water, and especially seawater, is considered to be essential to life on our planet. It contains all the substances necessary and conducive to the development of the living being (minerals, catalysts, vitamins, amino acids, etc.). Over 70% of the earth is covered by oceans, home to 90% of the planet’s organisms. The ocean offers many unique environments and many features to explore. There are numerous marine organisms with great potential to produce bioactive compounds that can be used as nutraceuticals, pharmaceuticals, and cosmeceuticals. Therefore, more research is needed to identify, explore, understand and eventually use the living organisms from the oceans [204,205,206].
In the 19th century, the French biologist René Quinton could prove experimentally the remarkable similarity between seawater and human plasma—“Our organism is a kind of aquarium whose internal environment is constituted by seawater” [148,205].
Seawater has a recognized action in the treatment of eczemas, dermatoses, psoriasis, nasopharyngeal inflammations, conjunctivitis, vaginitis, and other infections of the external genital organs. In cosmetology, it has also been used with good results in moisturizing the skin and making it firmer. It allows for a more uniform tan and regularizes the sebaceous production at the level of the hair follicles, avoiding the consequent formation of scaling of the scalp (dandruff). It will be interesting to mention the important role of seawater in the absorption of saline and metallic ions, favoring the excretion of toxic residues and a certain oxygenation of tissues [206].
As might be expected, these characteristics of seawater have led to the development of bio-cosmetics based on seawater and all its substances or organisms: algae, sea salts, organic, and mineral elements, etc. [9].
4.2. Thalassotherapy
Thalassotherapy is a term that emerged at the beginning of the 18th century, originating in the Greek “thalasso” (sea) and “therapia” (cure). The pioneers of its use were the French in the middle of the last century and, thanks to the results obtained and published on the well-being and quality of life obtained by those who used them, spread rapidly throughout the world. Historically, the Chinese, Egyptians, and Romans already knew some of their properties, having produced several panaceas from algae [5,9,149]. Many treatments receive the label of thalassotherapy, but not all deserve to own it. Due to its recent success, the term was usurped to denominate so-called “spa” treatments. It may be necessary to limit its use to treatments with seawater, sand, and other marine products, such as macroalgae [148].
The reality is that the components of the sea (be they minerals or organic ones) have always been part of our lives. Water and, in particular, seawater are considered essential to the maintenance of life on our planet, since it contains all substances or elements necessary and conducive to the development of the living being (minerals, catalysts, vitamins, amino acids, etc.). In therapeutic terms, seawater has a recognized action in the treatment of diseases that afflict skin tissues, whether cutaneous (skin) and/or mucous membranes [5].
Thalassotherapy, originally from Ireland, consisted of a bath of seaweed prepared with warm fresh water, seawater and fresh seaweed, mainly Fucus serratus (Phaeophyceae). Fucales, such as F. serratus and F. vesiculosus contain a wide variety of beneficial components, including fatty acids, antioxidants, iodine, among others [9,203,204,205,206].
Due to its composition (salt and iodine) seawater was one of the first therapies used by man for both aesthetic purposes and a source of well-being. The algae, with great pharmacological and cosmetic potential, are rich in proteins, vitamins and minerals indispensable to our epidermis. However, in addition to the benefits they bring to the skin, when ingested, algae are effective in lowering cholesterol and help prevent hypertension. Sea water in addition to calcium (Ca), iron (Fe), magnesium (Mg), sodium (Na), zinc (Zn), and copper (Cu) is also revitalizing, anti-infective, anti-stress, analgesic, good for bad mood, depression, etc. The salt is also a natural exfoliant and favors cellular rejuvenation. Sea water contains minerals like iodine, which stimulates the thyroid, a gland that regulates metabolism. The need to adapt to temperature changes serves to increase the rate of metabolism and has a very positive effect on blood circulation [149,207,208].
Some other benefits associated with thalassotherapy are [5,9,149,209]:
- -
- Increased skin permeability;
- -
- their ionic characteristics, when interacting with the skin, facilitate the penetration of the cosmetic compounds during or after the immediate to these treatments;
- -
- regulates the organic functions through the neuro-endocrine system, as enzymatic cofactor;
- -
- relaxes tight muscles, giving a rested appearance to the skin;
- -
- tends to normalize seborrheic secretion;
- -
- reduces hyperhidrosis (excessive perspiration, including feet);
- -
- promotes organic remineralization at the cutaneous tissue level; and
- -
- activates the cutaneous metabolism and locally stimulates the blood circulation, indirectly promoting the oxygenation and nutrition of these tissues.
4.3. Cosmeceuticals and Cosmetics
Cosmetics are products that do not modify the physiological conditions of the skin, act on the epidermis (superficial layer of the skin), do not need scientific studies for their proving and effectiveness and are soon marketed, for example moisturizers.
Cosmeceuticals are defined by cosmetic producers as products that act on the dermis (deep layer of the skin). This cosmeceutical term is very useful in order to alter skin functions, causing benefits, without the disadvantages that the drugs contain. Cosmeceuticals contain active ingredients, such as phytochemicals, essential oils, vitamins, antioxidants, etc. [17,210].
A product can be a drug, a cosmetic or both. FDA [211], for example, defines drugs as those products that cure, treat, mitigate or prevent disease or that affect the structure or function of the human body and if a product makes such claims it will be regulated as a drug. Cosmetics are intended to beautify, promote attractiveness, alter appearance or cleanse; they are not approved by FDA for sale nor are they intended to affect structure or function of the body.
Cosmetics is a field in which seaweed have been consolidating their presence, and it is possible to find a wide variety of products from topical application—from slimming creams to perfumes, shampoos, sunscreens, and bath salts, which center their activity in the properties and in the actions that they induce to the human organism [5].
Today’s society is showing a growing interest in everything that can help improve the quality of life, increasingly believing that many of the solutions are found in nature itself and in the chemical synthesis of drugs (usually with various contraindications, physiological and/or metabolic, or undesirable side effects/changes). Accompanying this trend, the demand for products made from natural raw materials has increased (preferably those of vegetable origin), allowing for the appearance of a new niche market (natural and/or biological), in which algae have flourished, thanks to its role in human well-being, which is increasingly being recognized [5]. For example, in Europe, consumption of fresh algae, in a cumulative perspective (for direct feeding and/or therapeutic and cosmetic uses), mainly of Ascophyllum, Fucus, Laminaria (brown algae), Gelidium, and Chondrus (red algae), is around 70,000 tons/year [212,213,214].
Around 221 seaweed species have commercial value, and about 10 species are intensely cultivated, such as brown seaweed (Phaeophyceae—Saccharina japonica, Undaria pinnatifida, and Sargassum fusiforme); red seaweed (Rhodophyta—Porphyra spp., Eucheuma ssp., Kappaphycus alvarezii, and Gracilaria spp.); and green seaweed (Chlorophyta—Ulva clathrata-as Enteromorpha clatharta, Monostroma nitidum, and Caulerpa spp.). The Japanese Kelp (Saccharina japonica—formerly Laminaria japonica) accounts for over 33% of the global cultivated seaweed production, followed by Eucheuma spp., K. alvarezzi (Elkhorn Sea Moss), Undaria pinnatifida (Japanese Wakame), and Porphyra/Pyropia spp. (Nori), at 17% of total production [176,215].
Microalgae (Spirulina/Athrospira spp.) are also cultivated, although it tends to be much under-reported; hence, the reported statistics are a small proportion of the existing production. Australia, India, Israel, Japan, Malaysia, and Myanmar are known producers of these microalgal species [215].
Today, the global seaweed industry is worth more than USD 6 billion per annum (approximately 12 million tons per annum in volume) of which 85% comprises food products for human consumption. Seaweed-derived extracts (carrageenan, agar and alginates), very important for the cosmetic industry, make up almost 40% of the world’s hydrocolloid market [215].
4.3.1. Skin: Anti-Wrinkling and Whitening
With a surface of about two square meters, the skin is the largest organ of the body and one of the most important. It is an effective barrier against the outside world thanks to its ingenious protection mechanisms [22,23]. The skin has two main layers: the epidermis and the dermis. The epidermis, which is the most superficial layer, is formed by epithelial tissue, consisting of several layers: stratum corneum, lucid stratum, granular stratum, stratum spinosum, and stratum germinative [216,217].
The stratum corneum is the outermost layer of the epidermis. There are dead cells, with large amounts of keratin, which are continuously descending. The thickness of the stratum corneum is determined according to the stimulus it receives. The soles of the feet, for example, have a greater layer when compared to the region of the belly. Callus is a result of the constant stimulation of this region of the epidermis.
After the stratum corneum, we find the lucid stratum. In places where the skin is thinner, not thickened, it is not possible to find this layer. This region holds dead or degenerating cells. Just below the lucid stratum, we find the granular layer, a layer formed by cells that accumulate granules. These structures within the cell are the precursors of keratin.
The spinous stratum, which presents cells of polyhedral shape. These cells are united by the presence of cytoplasmic projections, the large number of desmosomes and a substance found between cells are mainly glycoproteins and lipoproteins.
The germinative stratum, the innermost layer of the epidermis. It is in it that the cells that undergo cell division are found, therefore, this is the layer responsible for the formation of the higher layers and, consequently, the renewal of the epidermis.
Langerhans cells originate from the bone marrow. They are abundant dendritic cells in the epidermis, containing large granules called “Birbeck” granules. They are usually present in lymph nodes and can be found in other organs in the condition of histiocytosis. They participate in immunological reactions. They are mobile and dendritic cells responsible for cutaneous immune-vigilance [217].
Receptors in the skin detect various environmental stimuli and respond adequately, with mechanoreceptors, sensing sensations, and thermo-receptors, sensing heat. These receptors can cause the sweat glands to produce sweat, thus maintaining the temperature-homeostasis [218]. Insulation is also provided in the subcutaneous layer of the skin where the fat is stored. The skin absorbs not only oxygen and water, but also certain drugs, such as topical steroids. In addition, skin is rich in 7-dehydrocholesterol and, when exposed to ultraviolet light, this substance is converted to vitamin D (cholecalciferol), which can also be obtained by ingestion of dairy products [219]. The immune function of the skin prevents damage caused by UV light, based on its pigmentation [220].
Under the epidermis we find the dermis, which is composed mainly of connective tissues, blood vessels, sweat glands, nerves, fibroblasts, collagen and elastin. Collagen and elastin, which are cross-linked, provide support for the skin. Hyaluronic acid (HA) is one of the major components of the dermis and is involved in tissue repair. HA is of fundamental importance in water retention and can absorb water about 1000 times its own volume. However, collagen, and HA break with aging, causing wrinkles to appear and the skin loses its firmness. The third layer, the hypodermis, is composed mainly of fat and a layer of loose connective tissue. It provides insulation to the body, stores energy, and mechanically allows the attenuation and dispersion of externally applied pressure [221,222].
4.3.2. Skin Aging
Aging is a natural process that causes physiological changes in the skin. Thus, the aged skin is normally drier, with an irregular texture, has wrinkles, reduced elasticity and volume. The facial contour may also be altered during this process. All these changes occur due to multiple intrinsic, genetically programmed, and extrinsic factors such as UV radiation and toxins [223,224,225]. Wrinkles are lines and depressions that form on the skin with aging. They are folds that occur in the skin over the years by the strength of the muscles and movements of both the limbs and all the muscles called facial expression. These folds, when associated with solar effects, can become definite, profound, and even present changes in the quality of the skin at the bottom of them. They appear mainly in areas more exposed to the sun, such as the face (on the forehead, corners of the eyes and on the cheeks), neck, hands, and arms. Thus, wrinkles can give an indication of the age of a person [226,227]. Population aging is a global phenomenon. This demographic change is a consequence of the marked decline in the fertility rate and the increase in life expectancy observed, mainly, from the middle of the 20th century. Consequently, the psychosocial impact of aging skin has led to a great demand for cosmetic products with anti-wrinkle properties [224,225,226,227,228]. Compounds capable of enhancing the inhibitory activities of the inhibitory activity of hyaluronidase, matrix metalloproteinase (MMP), and elastase inhibitory activities, and collagen expression, may have potential to be used as active ingredients in novel cosmetic products with anti-wrinkle properties [17,53,229,230,231,232].
Studies on the antiaging effects of algae and bioactive compounds have gained importance in recent decades [78]. Some algae contain valuable antioxidants and the anti-gerontological role of these algae rich in antioxidants is an important issue. For example, residual biomass and protein hydrolysates of three species of green microalgae (Dunaliella tertiolecta, Tetraselmis suecica, and Nannochloropsis sp.) have been reported to exhibit antioxidant and antiaging activity (see Table 1) [31,233]. Antiaging, skin whitening, and pigmentation reduction products were created from bioactive extracts from algae [234]. In recent years some positive results have been obtained from algae in lifetime studies with model animals.
Topical dermatitis and the possible role of matrix metalloproteinases in skin-related diseases have been studied for cosmeceuticals [17]. Some macroalgae (i.e., Ecklonia cava, Petalonia binghamiae, Scytosiphon lomentaria, Undaria pinnatifida (brown algae), Botryocladia wrightii, Piropya dentata (red algae), Codium fragile, and Umbraulva japonica (green algae) attract attention in the food, cosmetics, nutraceuticals [9,16]. The proper development of seaweed compounds would be beneficial in the development of cosmeceuticals and in the development of the cosmeceutical industry [235]. There are several studies in which some secondary metabolites of algae have proved to be skin protectors, including protection against UV rays and prevention of wrinkles, etc.
Three genera of algae are routinely used in cosmetics—Laminaria, Fucus (brown algae), and Chondrus (red alga)—because of their ability to nourish and rehydrate the skin [236]. Topical application of fucoidan has been shown to have anti-aging activity by increasing hydration and elasticity of cells [237]. Fucoidan (see Section 2.1.6) is known to stimulate the production of HGF (heparin growth factor), which promotes the growth of a wide variety of cells and tissues and is, therefore, commercially exploited by the Takara-Bio Company in Japan [78,94].
4.3.3. Skin Whitening
Skin whitening products seem to be the largest and continually growing segment in the skin care market [238]. The melanin produced in mammalian skin plays an important role in determining skin color, protecting human skin from the harmful effects of ultraviolet (UV) radiation, and scavenging toxic substances. Whitening effects can be achieved by several methods, which are described in the literature [238,239,240,241,242,243].
Silab [244] has launched a whitening agent that limits melanogenesis and the transport of melanosomes to lighten brown spots and create an even complexion. Whitonyl® is an extract (mainly, oligosaccharides) of Palmaria palmata (red alga, Rhodophyta). According to the company, chronic sun exposure leads to cutaneous photo-aging, characterized by the appearance of deep wrinkles, loss of elasticity, and pigment disturbances such as age spots, freckles or brown spots. These phenomena, accentuated with age, are predominantly located on areas of the body regularly exposed to the sun such as the hands, face, arms, etc., particularly of Asian women. This whitening agent is said to give those with brown spots a clear, homogeneous, and opaline complexion. The ingredient limits the transport of melanosomes while controlling photo-induced pigmentation, which leads to reduced senescence and lightening of brown spots due to sunlight [244].
4.3.4. Wound Healing of the Skin
Alginic acid (see Section 2.1.2) may inhibit scar formation, acting as a physical barrier to invading fibroblasts and helping to accelerate wound healing. Alginates are used also in tissue engineering and clinical applications, along with collagen [243,244,245]. Various dressings based on soluble algae extracts prevent granulation in healing [246].
The red alga Kappaphycus alvarezii (as Eucheuma cottonii) ethanolic extract (mainly carrageenans) accelerated wound healing and hair growth [116,247]. A silver-loaded seaweed based cellulosic fiber greatly improved epidermal skin physiology, barrier function (trans-epidermal water loss), stratum corneum hydration, and surface pH in atopic dermatitis (AD), and eczema patients over time in a controlled, randomized single blinded human study [248,249].
Atopic dermatitis is an inflammatory, itchy skin disease associated with a personal or family history of allergy. AD can occur at any age; most often affects newborns and children. In some cases, it may persist into adulthood or appear only later, at a later age [17,250]. The fundamental lesion in AD is a defective skin barrier that causes dry skin, which can be aggravated by lesions caused by simple scratches. Clinical observations suggest that AD is the cutaneous manifestation of a systemic disorder that could cause asthma, food allergies, and allergic rhinitis [251].
There are several reports that confirming the skin disease treatment abilities of phlorotannins. For example, the phlorotannins eckol and dieckol isolated from Ecklonia stolonifera (brown alga, Phaeophyceae) have attenuated the expression of MMP-1 in human dermal fibroblasts. These findings reveal that the inhibition of MMP-1 (which is an interstitial collagenase, is mainly responsible for the degradation of dermal collagen in human skin aging process) expression by E. stolonifera derived phlorotannins was in correlation with the inhibition of both NF-κB and activator protein-1 (AP-1) reporter activity [71]. This unique feature of phlorotannins in repairing skin damages from various allergens could be exploited for the better treatment of ever-challenging AD. More studies must be focused in the screening of novel compounds from marine algae that could find themselves a prominent place in the treatment of not only AD, but also various other skin inflammations. In addition, as the marine environment includes bryozoans, coelenterates, sponges, echinoderms, mollusks, tunicates, and other marine organisms, the published works suggest that most of them possess anti-inflammatory substances, and so allowing a wide choice of cosmeceutical compounds that could cure AD [17].
Fucoidans stimulate the growth of fibroblasts and epithelial cells, increasing the secretion of TGF-β1, which accelerates wound healing and modulates growth factor dependent pathways in tissue repair [252,253,254,255,256]. Thus, fucoidan/chitosan hydrogels help to effectively enhance dermal burns [257,258].
Many of the invasive algae species have demonstrated biological activity that can be applied to skin care products, so-called cosmeceuticals. For instance, the treatment with the ethyl acetate fraction (EtOAc) of Sargassum muticum extract evidently augmented the proliferation of dermal papilla cells (DPCs) and decreased the 5α-reductase activity [259]. Moreover, S. muticum extract can be effectively added as antioxidant ingredient in sun cream with well acceptance by consumers [260].
4.3.5. Sliming and Anti-Cellulite Properties of Seaweed Extracts
Although cellulite is not a disease, it is a fundamentally cosmetic issue, especially for post-adolescent women [255]. Many efforts have been made to find treatments that improve the symptoms and signs of cellulite as well as the visual appearance of the skin. Several species of macroalgae and seagrasses, such as Fucus vesiculosus, Laminaria digitata (brown algae, Phaeophyceae), Posidonia oceanica (Seagrass, marine Angiosperm) and others, are used in cosmetic formulations to reduce cellulite. For example, in France, consumption of fresh algae, in a cumulative perspective (for direct feeding and/or therapeutic and cosmetic uses), mainly of Ascophyllum, Fucus, Laminaria (brown algae, Phaeophyceae) and Chondrus (red alga, Rhodophyta), is around 2000 tons/year [5].
Al-Bader et al. [75] tested a formulation containing aqueous extracts of Furcellaria lumbricalis (red alga, Rhodophyta) and F. vesiculosus (brown alga, Phaeophyceae) to assess in vitro lipolysis in mature adipocytes and measured pro-collagen I in human primary fibroblasts, finding that there was an improvement of lipolysis-related mechanisms and pro-collagen I production. Afterward, they assessed cellulite by dermatological grading and ultrasound measurements and could observe a clinical improvement in the cellulite reduction.
Seaweed extracts may also be of interest for slimming purposes [5], as evidence validates that they significantly decrease the body weight gain through the gene regulation and protein expression involved in lipolysis and lipogenesis [90,127]. In general, we can say that, some compounds extracted from algae [5,90,127]:
- -
- stimulate tissue metabolism and blood circulation in the area of application, which helps to mobilize the fat installed in the subcutaneous tissue, as is the case of the unsightly cellulite, in which algae treatment has had very positive results;
- -
- tonify skin tissues by moisturizing, re-firming and hardening them, to prevent and attenuate wrinkles, delaying the aging of the skin, contributing aesthetically to a more luminous, firm and youthful skin;
- -
- they give back to the demineralized, brittle or devitalized hair its natural brightness, flexibility and texture, while giving it softness; and
- -
- promote the proper functioning of the sebaceous glands and regulate the water content of the skin tissue, facilitating the elimination of toxins.
We now know that the good results obtained in the treatment of Goiter based on the use of Laminaria/Saccharina species (brown algae, Phaeophyceae) are due to the fact that the origin of this disease is directly related to a diet low in iodine, which is thus enriched by the ingestion of these algae, in which iodine (I) is present in very significant amounts [8,151,180]. Iodine is essential component for the thyroid hormones thyroxine (T4) and triiodothyronine (T3), essentials on the human metabolism regulation.
Thyroid hormones are involved in mechanisms that enhance the synthesis of carnitine palmitoyl transferase which, in turn, promote lipolysis, and increase the penetration of fatty acids into the mitochondria [256,261,262]. Diet is the main contributor to iodine but breathing iodine in the gaseous state from the air, and its absorption through the skin are other possible routes (creams and emulsions rich in this mineral) [7,198,203]. Fucus serratus (brown algae, Phaeophyceae), like most kelps, is an excellent source of iodine [7,179]. A recent in vivo study reported that bath thalassotherapy (see also 4.2.) with this macroalgae had the potential to increase the urinary iodide concentration of the bather, indicating inhalation of volatile iodine was the predominant route of uptake [5,7,203]. Another in vivo study made by Berardesca et al. [262] also showed the effectiveness of a cosmetic product containing extracts of Laminaria digitata, Pelvetia canaliculata (brown algae, Phaeophyceae), and Gelidium cartilagineum (red algae, Rhodophyta), as well as other active ingredients capable of promoting a weight-loss effect, compared to a placebo [7,261].
4.3.6. Hair Growth Activities
The appearance of the hair related to its color, style and length, plays a crucial role in self-perception of people’s physical appearance, although the appearance of hair has a major impact on the definition of the social and economic class of each individual [116,262,263]. However, many millions of people suffer, today, hair loss due to a wide variety of causes, including aging, pathologically induced or chemically promoted [264]. Thousands of studies have been conducted looking for suitable compounds to prevent or delay hair loss, and to stimulate its growth [197].
Androgenetic alopecia (AGA), the most common type of alopecia, is a recurring problem in men over 40 years of age. Hair loss is a growing trend in the world, however, preventing this type of problem is not simple to do [265]. Numerous possibilities have been discussed in order to prevent or delay hair loss [265,266,267]. However, only two drugs approved by the FDA are available in the market for AGA patients: Finasteride and Minoxidil [268,269]. Finasteride is an inhibitor of 5α-reductase type II, which can be used in prostatic hypertrophy [270], as well as in hair loss [271]. Minoxidil has been used in the treatment of high blood pressure [271]. However, it has also been found that Minoxidil promotes hair growth [272,273], although the mechanism of action is not yet fully understood. In an earlier study made by Han et al. [274], Minoxidil has been shown to have proliferative and antiapoptotic effects on dermal papilla cells [275]. In addition, it has also been shown to stimulate capillary growth by opening the ATP-sensitive K+-channel [276,277], the vascular regulation of vascular endothelial growth factor (VEGF) and activation of the β-catenin pathway in dermal papilla cells (DPC) [278,279].
Capillary growth promotion of dieckol isolated from an enzymatic extract obtained from E. cava in immortalized vibrissa dermal papilla cells (DPC) and in the module of C57BL/6 mice was described by Kang et al. [63]. In addition, they have proven that dieckol treatment can induce capillary growth through induction of DPC proliferation and inhibition of 5α-reductase enzyme activity. In a recent study, capillary growth promotion activities of 7-phloroeckol isolated from the brown seaweed E. cava in human dermal papilla cells (DPCs) and external root sheath cells were also reported in experimental studies made by Bak et al. [279].
4.4. Industrial Processes Used in the Elaboration of Cosmetic Products
Once harvested, the seaweeds are subject to several transformations for their incorporation into various cosmetics. It is essential that these processes do not alter the bioactive molecules, so that they can be fully operational in the final products. These techniques and the quality of the methods have evolved in the last years, so there are many options and the selection of some over the others, depends essentially on the end to be achieved (obtaining the active principle, functional stability, and type of product to be manufactured) and the available technical resources. The commonly used techniques are [5,107,280,281,282,283,284,285,286,287,288,289,290]:
- -
- Drying in air or in industrial ventilated ovens or chambers, for the removal of water from algae tissues (dehydration), is promoted by a controlled environment process where the temperature must not exceed 40 °C to avoid the destruction of the active elements (for example, protein molecules, such as enzymes, which are, thus, not denatured) present in algae. This is, of all the methods mentioned here, not only the simplest, but the most cost-effective. On the other hand, it is the least direct, and often incorporates other methods as a process step.
- -
- In the extraction by liquid phase, the compounds are extracted with different solvents, aqueous or organic (water, glycerin, ethyl alcohol, etc.) that allow the separation and isolation of the metabolites with different bioactive functions, depending on their chemical affinity with the solvent, in different phases, some of which are discarded successively for purification and concentration. Depending on the solvents used, temperature, pH, and duration of extraction, different extraction efficiencies can be achieved. In the case of water and other polar solvents, extracts are rich in polysaccharides, proteins, and other bioactive water-soluble compounds. In extractions with non-polar solvents the extracts obtained are rich in phenolic compounds, fatty acids, pigments, and other lipophilic compounds.
- -
- Enzyme assisted extraction (EAE) has attracted considerable interest because its hydrolytic action on algae structures and compounds can weaken or disrupt the cell wall structure and also break down complex internal storage compounds, releasing polysaccharides, proteins, and peptides or amino acids. Algal cell walls are typically composed of fibrous composites of microfibrillar polysaccharides (cellulose) embedded in a matrix of sulfated polysaccharides and proteoglycans. The efficiency of extracting marine macroalgae compounds is limited due to the presence of these complex cell walls, with mixtures of branched sulfated polysaccharides associated with proteins and various bound ions, such as calcium, sodium and potassium. Ultrasonic assisted extraction (UAE), an alternative energy assisted extraction method, is based on the migration of sound waves, which creates cavitation that grow and collapse, leading to rupture of the cells and their walls. UAE and EAE have been reported as alternative approaches with great potential for extracting bioactive substances from seaweed.
- -
- Lyophilization: the dehydration process is carried out at low temperature and in vacuum; the dried product thus obtained is then milled to the most suitable granulometry for a given application: creams, lotions, facial masks, bath gels, etc.
- -
- Cell microcracking: a process where cells rupture (lysis by disruption) when subjected to a grinding process, by compression and decompression (resorting to the use of mechanical disruptors-disruptors beads), releasing their content (trace elements, vitamins, and other metabolites) and from which the water is subsequently eliminated; the obtained powder contains all the active elements that normally are inside the cells, and, in addition, it has a very fine granulometry that allows a more effective transcutaneous penetration, in a topical application. In the cryo-microcracking technique, algae are milled at very low temperatures (well below freezing temperature, using liquid nitrogen), resulting in a fluid extract capable of being integrated into wet preparations, especially suitable for thalassotherapy treatments.
- -
- Fresh algae suspensions: extremely homogeneous cell suspensions obtained at low temperature, are stabilized in ethyl alcohol to avoid degradation; these suspensions recover their activity when diluted in water at the time of use.
5. Conclusions
Oceans, which have a rich diversity of marine life, constitute the major component of the Earth’s surface, consisting of salt water, forming the major part of the hydrosphere: approximately 71% of the Earth’s surface (an area of 361 million square km), and more than half of this area has depths greater than 3000 m. Oceans offer a rich natural product line to humanity. Functional ingredients, including essential proteins, bioactive peptides, enzymes, minerals, polysaccharides, polyunsaturated fatty acids (PUFAs), and vitamins, are the first to come to mind [5,9,133,149]. Researchers from around the world have researched multifunctional rich contents of algae and their antioxidant, antimicrobial, anti-inflammatory, anti-aging, anticancer, and other useful properties.
Furthermore, increasing consumers’ consciousness about potential negative impact of synthetic preservatives on human health and the benefits of natural additives has become a prevalent research interest. Sustainable use of marine resources is crucial for humankind. Consequently, production studies of seaweed in different environments and conditions are being tried.
The compounds mentioned in this review, all extracted from algae and possessing various bioactivities, are considered as a natural source almost inexhaustible for different industrial areas such as food and nutrition [9,176], cosmeceuticals [211], pharmacy and medicine [9], agriculture [149], and fuels [291].
Author Contributions
The author (Leonel Pereira) conceived and designed the paper and performed the search of literature.
Funding
This work had the support of Foundation for Science and Technology (FCT), through the strategic project UID/MAR/04292/2013 granted to MARE. This work had also the support from the European Structural & Investment Funds through the COMPETE Programme and from National Funds through FCT—Foundation for Science and Technology under the programme grant SAICTPAC/0019/2015.
Acknowledgments
The author thanks Mariana Valado for the revision of the written English.
Conflicts of Interest
The author declares no conflicts of interest.
References
- Pomponi, S.A. The bioprocess-technological potential of the sea. J. Biotechnol. 1999, 70, 5–13. [Google Scholar] [CrossRef]
- Joshi, S.; Kumari, R.; Upasani, V.N. Applications of algae in cosmetics: An overview. Int. J. Innov. Res. Sci. Eng. Technol. 2018, 7, 1269–1278. [Google Scholar]
- Schrammek. Beauty News: Algae in Cosmetics—The All-Round Talents. Available online: https://www.schrammek.com/beautynews/algae-in-cosmetics/ (accessed on 22 September 2018).
- Pereira, L. Algae. Litoral of Viana do Castelo; Câmara Municipal de Viana do Castelo: Viana do Castelo, Portugal, 2010; pp. 7–8. ISBN 978-972-588-217-7. [Google Scholar]
- Pereira, L.; Correia, F. Algas Marinhas da Costa Portuguesa—Ecologia, Biodiversidade e Utilizações; Nota de Rodapé Editores: Paris, France, 2015; p. 341. ISBN 978-989-20-5754-5. [Google Scholar]
- Pereira, L. Guia Ilustrado das Macroalgas—Conhecer e Reconhecer Algumas Espécies da Flora Portuguesa; University de Coimbra Press: Coimbra, Portugal, 2009; p. 91. ISBN 978-989-26-0002-4. [Google Scholar]
- Pereira, L. Chapter 4—Cytological and cytochemical aspects in selected carrageenophytes (Gigartinales, Rhodophyta). In Advances in Algal Cell Biology; Heimann, K., Katsaros, C., Eds.; De Gruyter: Berlin, Germany, 2012; pp. 81–104. ISBN 978-3-11-022960-8. [Google Scholar] [CrossRef]
- González-Minero, F.J.; Bravo-Díaz, L. The Use of Plants in Skin-Care Products, Cosmetics and Fragrances: Past and Present. Cosmetics 2018, 5, 50. [Google Scholar] [CrossRef]
- Pereira, L. Therapeutic and Nutritional Uses of Algae, 1st ed.; CRC Press: Boca Raton, FL, USA, 2018; pp. 2–64. ISBN 9781498755382. [Google Scholar]
- Holdt, S.L.; Kraan, S. Bioactive compounds in seaweed: Functional food applications and legislation. J. Appl. Phycol. 2011, 23, 543–597. [Google Scholar] [CrossRef]
- Borowitzka, M.A. Microalgae as sources of pharmaceuticals and other biologically active compounds. J. Appl. Phycol. 1995, 7, 3–15. [Google Scholar] [CrossRef]
- Metting, B.; Pyne, J.W. Biologically active compounds from microalgae. Enzyme Microb. Technol. 1986, 8, 386–394. [Google Scholar] [CrossRef]
- Cannell, R.J.P. Algae as a source of biologically active products. Pestic. Sci. 2006, 39, 147–153. [Google Scholar] [CrossRef]
- Paul, C.; Pohnert, G. Production and role of volatile halogenated compounds from marine algae. Nat. Prod. Rep. 2011, 28, 186–195. [Google Scholar] [CrossRef] [PubMed]
- Ibañez, E.; Herrero, M.; Mendiola, J.A.; Castro-Puyana, M. Extraction and characterization of bioactive compounds with health benefits from marine resources: Macro and micro algae, Cyanobacteria, and invertebrates. In Marine Bioactive Compounds; Haves, M., Ed.; Springer: New York, NY, USA, 2012; pp. 55–98. ISBN 978-1-4614-1246-5. [Google Scholar]
- Vo, T.S.; Ngo, D.H.; Kim, S.K. Marine algae as a potential pharmaceutical source for anti-allergic therapeutics. Process. Biochem. 2012, 47, 386–394. [Google Scholar] [CrossRef]
- Thomas, N.V.; Kim, S.-K. Beneficial effects of marine algal compounds in cosmeceuticals. Mar. Drugs 2013, 11, 146–164. [Google Scholar] [CrossRef] [PubMed]
- Indergaard, M. The aquatic resource. In Biomass Utilization; Côté, W.A., Ed.; Springer: Boston, MA, USA, 1983; pp. 137–168. ISBN 978-1-4757-0835-6. [Google Scholar]
- Stengel, D.B.; Connan, S.; Popper, Z.A. Algal chemodiversity and bioactivity: Sources of natural variability and implications for commercial application. Biotechnol. Adv. 2011, 29, 483–501. [Google Scholar] [CrossRef] [PubMed]
- Mafinowska, P. Algae extracts as active cosmetic ingredients. Zeszy. Naukowe 2011, 212, 123–129. [Google Scholar]
- Majmudar, G. Compositions of Marine Botanicals to Provide Nutrition to Aging and Environmentally Damaged Skin. US Patent 8318178 B2, 2012. Available online: https://patentimages.storage.googleapis.com/1f/41/48/4dfcee08799f34/US8318178.pdf (accessed on 22 September 2018).
- Wang, H.-M.; Chou, Y.-T.; Wen, Z.-H.; Wang, C.-Z.; Wang, C.-H.; Ho, M.-L. Novel biodegradable porous scaffold applied to skin regeneration. PLoS ONE 2013, 8, e56330. [Google Scholar] [CrossRef] [PubMed]
- Wang, J.; Jin, W.; Hou, Y.; Niu, X.; Zhang, H.; Zhang, Q. Chemical composition and moisture-absorption/retention ability of polysaccharides extracted from five algae. Int. J. Biol. Macromol. 2013, 57, 26–29. [Google Scholar] [CrossRef] [PubMed]
- Thalgo. La Beaute Marine, 2018. 2018. Available online: http://www.thalgo.com/ (accessed on 22 September 2018).
- La-Mer. My Skin—And What It Needs, 2018. Available online: https://www.la-mer.com/en (accessed on 22 September 2018).
- Goldberg, S.L. The use of water soluble chlorophyll in oral sepsis: An experimental study of 300 cases. Am. J. Surg. 1943, 62, 117–123. [Google Scholar] [CrossRef]
- Spears, K. Developments in food colorings: The natural alternatives. Trends Biotechnol. 1988, 6, 283–288. [Google Scholar] [CrossRef]
- Lanfer-Marquez, U.M.; Barros, R.M.C.; Sinnecker, P. Antioxidant activity of chlorophylls and their derivatives. Food Res. Int. 2005, 38, 885–891. [Google Scholar] [CrossRef]
- Borowitzka, M.A. High-value products from microalgae—Their development and commercialization. J. Appl. Phycol. 2013, 25, 743–756. [Google Scholar] [CrossRef]
- Christaki, E.; Bonos, E.; Giannenas, I.; Florou-Paneri, P. Functional properties of carotenoids originating from algae. J. Sci. Food Agric. 2013, 93, 5–11. [Google Scholar] [CrossRef] [PubMed]
- Norzagaray-Valenzuela, C.D.; Valdez-Ortiz, A.; Shelton, L.M.; Jiménez-Edeza, M.; Rivera-López, J.; Valdez-Flores, M.A.; Germán-Báez, J. Residual biomasses and protein hydrolysates of three green microalgae species exhibit antioxidant and anti-aging activity. J. Appl. Phycol. 2017, 29, 189–198. [Google Scholar] [CrossRef]
- Huangfu, J.; Liu, J.; Sun, Z.; Wang, M.; Jiang, Y.; Chen, Z.Y.; Chen, F. Antiaging effects of astaxanthin-rich alga Haematococcus pluvialis on fruit flies under oxidative stress. J. Agric. Food Chem. 2013, 61, 7800–7804. [Google Scholar] [CrossRef] [PubMed]
- Houston, M.C. Nutraceuticals, vitamins, antioxidants, and minerals in the prevention and treatment of hypertension. Prog. Cardiovasc. Dis. 2005, 47, 396–449. [Google Scholar] [CrossRef] [PubMed]
- Ziaja. Focus on Skin, 2018. Available online: http://ziaja.co.uk/ (accessed on 22 September 2018).
- Delaunay, D.; Voile, I. Composition Dermatologique et/ou Cosmétique Utilisée Pour la Régénération de la Peau, 2011. European Patent EP2488149 B1. Available online: https://data.epo.org/publication-server/rest/v1.0/publication-dates/20131002/patents/EP2488149NWB1/document.html (accessed on 22 September 2018).
- Nurjanah; Nurilmala, M.; Hidayat, T.; Sudirdjo, F. Characteristics of seaweed as raw materials for cosmetics. Aquat. Procedia 2016, 7, 177. [Google Scholar] [CrossRef]
- Demais, H.; Brendle, J.; Le Deit, H.; Laza Anca, L.; Lurton, L.; Brault, D. Argiles Intercalés, 2007. European Patent EP1786862 A1, 2007. Available online: https://patents.google.com/patent/EP1786862A1 (accessed on 27 September 2018).
- Olmix. Specialist of Natural Algae-Based Solutions, 2017. Available online: https://www.olmix.com/ (accessed on 27 September 2018).
- Lahaye, M.; Robic, A. Structure and functional properties of ulvan, a polysaccharide from green seaweeds. Biomacromolecules 2007, 8, 1765–1774. [Google Scholar] [CrossRef] [PubMed]
- Robic, A.; Rondeau-Mouro, C.; Sassi, J.F.; Lerat, Y.; Lahaye, M. Structure and interactions of ulvan in the cell wall of the marine green algae Ulva rotundata (Ulvales, Chlorophyceae). Carbohydr. Polym. 2009, 77, 206–216. [Google Scholar] [CrossRef]
- Guglielmo, M.; Montanari, D. Cosmetic Composition with A Lifting Effect for Sustaining Relaxed Tissues. Patent WO2008146116 A2, 2008. Available online: https://patents.google.com/patent/WO2008146116A3/tr (accessed on 27 September 2018).
- Wang, R.; Paul, V.J.; Luesch, H. Seaweed extracts and unsaturated fatty acid constituents from the green alga Ulva lactuca as activators of the cytoprotective Nrf2-ARE pathway. Free Radic. Biol. Med. 2013, 57, 141–153. [Google Scholar] [CrossRef] [PubMed]
- Lusalgae. We Innovate in Marine Biotechnology. Research Activities, Wholesale and Retail Trade of Cosmetic and Hygiene Products, 2018. Available online: http://www.lusalgae.pt/lusalgae_en.html (accessed on 27 September 2018).
- Samarakoon, K.; Jeon, Y.J. Bio-functionalities of proteins derived from marine algae—A review. Food Res. Int. 2012, 48, 948–960. [Google Scholar] [CrossRef]
- Verdy, C.; Branka, J.-E.; Mekideche, N. Quantitative assessment of lactate and progerin production in normal human cutaneous cells during normal ageing: Effect of an Alaria esculenta extract. Int. J. Cosmet. Sci. 2011, 33, 462–466. [Google Scholar] [CrossRef]
- Chizhov, A.O.; Dell, A.; Morris, H.R.; Haslam, S.M.; McDowell, R.A.; Shashkov, A.S.; Nifantev, N.E.; Khatuntseva, E.A.; Usov, A.I. A study of fucoidan from the brown seaweed Chorda filum. Carbohydr. Res. 1999, 320, 108–119. [Google Scholar] [CrossRef]
- Wijesinghea, W.A.J.P.; Jeona, Y.-J. Biological activities and potential industrial applications of fucose rich sulfated polysaccharides and fucoidans isolated from brown seaweeds: A review. Carbohydr. Polym. 2012, 88, 13–20. [Google Scholar] [CrossRef]
- Senni, K.; Gueniche, F.; Foucault-Bertaud, A.; Igondjo-Tchen, S.; Fioretti, F.; Colliec-Jouault, S.; Durand, P.; Guezennec, J.; Godeau, G.; Letourneur, D. Fucoidan a sulfated polysaccharide from brown algae is a potent modulator of connective tissue proteolysis. Arch. Biochem. Biophys. 2006, 445, 56–64. [Google Scholar] [CrossRef] [PubMed]
- Ryu, B.; Li, Y.; Qian, Z.J.; Kim, M.M.; Kim, S.K. Exhibitory effects of compounds from brown alga Ecklonia cava on the human osteoblasts. J. Biotech. 2008, 136, 577–588. [Google Scholar] [CrossRef]
- Zhang, X.-F.; Dai, Y.-C.; Zhong, W.; Tan, M.; Lv, Z.-P.; Zhou, Y.-C.; Jiang, X. Tannic acid inhibited norovirus binding to HBGA receptors, a study of 50 Chinese medicinal herbs. Bioorg. Med. Chem. 2012, 20, 1616–1623. [Google Scholar] [CrossRef] [PubMed]
- Codif. Technologie Naturelle, 2018. Available online: http://www.codif-tn.com/ (accessed on 28 September 2018).
- Dermika. Awakens Your Beauty, 2018. Available online: http://dermika.pl/en/ (accessed on 28 September 2018).
- Ferreres, F.; Lopes, G.; Gil-Izquierdo, A.; Andrade, P.B.; Sousa, C.; Mouga, T.; Valentão, P. Phlorotannin extracts from fucales characterized by HPLC-DAD-ESI-MSn: Approaches to hyaluronidase inhibitory capacity and antioxidant properties. Mar. Drugs 2012, 10, 2766–2781. [Google Scholar] [CrossRef] [PubMed]
- Tonnesen, H.H.; Karlsen, J. Alginate in drug delivery systems. Drug. Dev. Ind. Pharm. 2002, 2, 621–630. [Google Scholar] [CrossRef] [PubMed]
- Sugiura, Y.; Takeuchi, Y.; Kakinuma, M.; Amano, H. Inhibitory effects of seaweeds on histamine release from rat basophile leukemia cells (RBL-2H3). Fish. Sci. 2006, 72, 1286–1291. [Google Scholar] [CrossRef]
- Heo, S.J.; Lee, K.W.; Song, C.B.; Jean, Y.J. Antioxidant activity of enzymatic extracts from brown seaweeds. Algae 2003, 18, 71–81. [Google Scholar] [CrossRef]
- Ahn, M.J.; Yoon, K.D.; Min, S.Y.; Lee, J.S.; Kim, J.H.; Kim, T.G.; Kim, S.H.; Kim, N.G.; Huh, H.; Kim, J. Inhibition of HIV-1 reverse transcriptase and protease by phlorotannins from the brown alga Ecklonia cava. Biol. Pharm. Bull. 2004, 27, 544–547. [Google Scholar] [CrossRef] [PubMed]
- Freurence, J. Seaweed proteins, Chapter 9. In Proteins in Food Processing, 2nd ed.; Yada, R.Y., Ed.; Woodhead Publishing Limited: Boca Raton, FL, USA; CRC Press LLC: Boca Raton, FL, USA, 2018; pp. 245–262. ISBN 978-0-08-100722-8. [Google Scholar]
- Le, Q.T.; Li, Y.; Qian, Z.J.; Kim, M.M.; Kim, S.K. Inhibitory effects of polyphenols isolated from marine alga Ecklonia cava on histamine release. Process. Biochem. 2009, 44, 168–176. [Google Scholar] [CrossRef]
- Yoon, N.Y.; Eom, T.-K.; Kim, M.-M.; Kim, S.-K. Inhibitory effect of phlorotannins isolated from Ecklonia cava on mushroom tyrosinase activity and melanin formation in mouse B16F10 melanoma cells. J. Agric. Food Chem. 2009, 57, 4124–4129. [Google Scholar] [CrossRef] [PubMed]
- Heo, S.-J.; Ko, S.-C.; Cha, S.-H.; Kang, D.-H.; Park, H.-S.; Choi, Y.-U.; Kim, D.; Jung, W.-K.; Jeon, Y.-J. Effect of phlorotannins isolated from Ecklonia cava on melanogenesis and their protective effect against photo-oxidative stress induced by UV-B radiation. Toxicol. In Vitro 2009, 23, 1123–1130. [Google Scholar] [CrossRef] [PubMed]
- Kong, C.-S.; Kim, J.-A.; Ahn, B.-N.; Kim, S.-K. Potential effect of phloroglucinol derivatives from Ecklonia cava on matrix metalloproteinase expression and the inflammatory profile in lipopolysaccharide-stimulated human THP-1 macrophages. Fish. Sci. 2011, 77, 867–873. [Google Scholar] [CrossRef]
- Kang, J.-I.; Kim, S.-C.; Kim, M.-K.; Boo, H.-J.; Jeon, Y.-J.; Koh, Y.-S.; Yoo, E.-S.; Kang, S.-M.; Kang, H.-K. Effect of dieckol, a component of Ecklonia cava, on the promotion of hair growth. Int. J. Mol. Sci. 2012, 13, 6407–6423. [Google Scholar] [CrossRef] [PubMed]
- Ko, S.-C.; Cha, S.-H.; Heo, S.-J.; Lee, S.-H.; Kang, S.-M.; Jeon, Y.-J. Protective effect of Ecklonia cava on UVB-induced oxidative stress: In vitro and in vivo zebrafish model. J. Appl. Phycol. 2011, 23, 697–708. [Google Scholar] [CrossRef]
- Kim, K.C.; Piao, M.J.; Zheng, J.; Yao, C.W.; Cha, J.W.; Kumara, M.H.S.R.; Han, X.; Kang, H.K.; Lee, N.H.; Hyun, J.W. Fucodiphlorethol G purified from Ecklonia cava suppresses ultraviolet B radiation-induced oxidative stress and cellular damage. Biomol. Ther. 2014, 22, 301–307. [Google Scholar] [CrossRef] [PubMed]
- Bak, S.S.; Ahn, V.; Kim, J.A.; Shin, S.H.; Kim, J.C.; Kim, M.K.; Sung, Y.K.; Kim, S.K. Ecklonia cava promotes hair growth. J. Clin. Exp. Dermatol. Res. 2013, 38, 904–910. [Google Scholar] [CrossRef] [PubMed]
- Ko, S.C.; Myoungsook, L.; Ji-Hyeok, L.; Seung-Hong, L.; Yunsook, L.; Jeon, Y.J. Dieckol, a phlorotannin isolated from a brown seaweed, Ecklonia cava, inhibits adipogenesis through AMP-activated protein kinase (AMPK) activation in 3T3-LI preadipocytes. Environ. Toxicol. Pharmacol. 2013, 36, 1253–1260. [Google Scholar] [CrossRef] [PubMed]
- Lee, S.-H.; Kang, S.-M.; Sok, C.H.; Hong, J.T.; Oh, J.-Y.; Jeon, Y.-J. Cellular activities and docking studies of eckol isolated from Ecklonia cava (Laminariales, Phaeophyceae) as potential tyrosinase inhibitor. Algae 2015, 30, 163–170. [Google Scholar] [CrossRef]
- Shibata, T.; Fujimoto, K.; Nagayama, K.; Yamaguchi, K.; Nakamura, T. Inhibitory activity of brown algal phlorotannins against hyaluronidase. Int. J. Food Sci. Tech. 2002, 37, 703–709. [Google Scholar] [CrossRef]
- Kang, H.; Kim, H.; Byun, D.; Son, B.; Nam, T.; Choi, J. Tyrosinase inhibitors isolated from the edible brown alga Ecklonia stolonifera. Arch. Pharm. Res. 2004, 27, 1226–1232. [Google Scholar] [CrossRef] [PubMed]
- Joe, M.-J.; Kim, S.-N.; Choi, H.-Y.; Shin, W.-S.; Park, G.-M.; Kang, D.-W.; Kim, Y.K. The inhibitory effects of eckol and dieckol from Ecklonia stolonifera on the expression of matrix metalloproteinase-1 in human dermal fibroblasts. Biol. Pharm. Bull. 2006, 29, 1735–1739. [Google Scholar] [CrossRef] [PubMed]
- Kim, A.R.; Lee, M.-S.; Shin, T.-S.; Hua, H.; Jang, B.-C.; Choi, J.-S.; Byun, D.-S.; Utsuki, T.; Ingram, D.; Kim, H.-R. Phlorofucofuroeckol A inhibits the LPS-stimulated iNOS and COX-2 expressions in macrophages via inhibition of NF-κB, Akt, and p38 MAPK. Toxicol. In Vitro 2011, 25, 1789–1795. [Google Scholar] [CrossRef] [PubMed]
- Rupérez, P. Mineral content of edible marine seaweeds. Food Chem. 2002, 79, 23–26. [Google Scholar] [CrossRef]
- Je, J.-Y.; Park, P.-J.; Kim, E.-K.; Park, J.-S.; Yoon, H.-D.; Kim, K.-R.; Ahn, C.-B. Antioxidant activity of enzymatic extracts from the brown seaweed Undaria pinnatifida by electron spin resonance spectroscopy. LWT-Food Sci. Technol. 2009, 42, 874–878. [Google Scholar] [CrossRef]
- Al-Bader, T.; Byrne, A.; Gillbro, J.; Mitarotonda, A.; Metois, A.; Vial, F.; Rawlings, A.V.; Laloeuf, A. Effect of cosmetic ingredients as anticellulite agents: Synergistic action of actives with in vitro and in vivo efficacy. J. Cosmet. Dermatol. 2012, 11, 17–26. [Google Scholar] [CrossRef] [PubMed]
- Al-Bader, T.; Davis, M.; Laloeuf, A.; Rawlings, A.V. Topical Cosmetic Compositions for Treating or Preventing Cellulite. European Patent 2414047 B1, 2013. Available online: https://patents.google.com/patent/EP2414047B1 (accessed on 29 September 2018).
- Oriflame. Oriflame Cosmetics SA, 2018. Available online: https://oriflame.com/ (accessed on 29 September 2018).
- Fitton, J.H.; Dell’Acqua, G.; Gardiner, V.-A.; Karpiniec, S.S.; Stringer, D.N.; Davis, E. Topical benefits of two fucoidan-rich extracts from marine macroalgae. Cosmetics 2015, 2, 66–81. [Google Scholar] [CrossRef]
- Jones, A. CBI Product Factsheet: Natural Ingredients for Cosmetics in Europe; CBI Market Intelligence: The Hague, The Netherlands, 2016; p. 14. Available online: https://www.cbi.eu/sites/default/files/market_information/researches/channels-segments-europe-natural-ingredients-cosmetics-2016.pdf (accessed on 30 September 2018).
- Bielenda. Institute Bielenda Professional, 2018. Available online: http://bielenda.pl/en/series/professional-formula-series (accessed on 30 September 2018).
- Plaza, M.; Santoyo, S.; Jaime, L.; Garcia-Blairsy, R.G.; Herrero, M.; Senorans, F.J.; Ibãnez, E. Screening for bioactive compounds from algae. J. Pharm. Biomed. Anal. 2010, 51, 450–455. [Google Scholar] [CrossRef] [PubMed]
- Kim, K.-N.; Yang, H.-M.; Kang, S.-M.; Kim, D.; Ahn, G.; Jeon, Y.-J. Octaphlorethol A isolated from Ishige foliacea inhibits α-MSH-stimulated induced melanogenesis via ERK pathway in B16F10 melanoma cells. Food Chem. Toxicol. 2013, 59, 521–526. [Google Scholar] [CrossRef] [PubMed]
- Heo, S.-J.; Ko, S.-C.; Kang, S.-M.; Cha, S.-H.; Lee, S.-H.; Kang, D.-H.; Jung, W.-K.; Affan, A.; Oh, C.; Jeon, Y.-J. Inhibitory effect of diphlorethohydroxycarmalol on melanogenesis and its protective effect against UV-B radiation-induced cell damage. Food Chem. Toxicol. 2010, 48, 1355–1361. [Google Scholar] [CrossRef] [PubMed]
- Gedouin, A.; Valle, R.; Morvan, P.Y. Use of Algae Extract to Stimulate the Oxygen Uptake by the Cells Having Lipolytic Effect to Produce ATP Molecules, 2006. Patent FR2879098 A1. Available online: https://www.lens.org/lens/patent/FR_2879098_A1 (accessed on 1 October 2018).
- Kordjazi, M.; Shabanpour, B.; Zabihi, E.; Faramarzi, M.A.; Feizi, F.; Gavlighi, H.A.; Feghhi, M.A.; Hosseini, S.A. Sulfated polysaccharides purified from two species of Padina improve collagen and epidermis formation in the Rat. Int. J. Mol. Cell. Med. 2013, 2, 156–163. [Google Scholar] [PubMed]
- Saidani, K.; Bedjou, F.; Benabdesselam, F.; Touati, N. Antifungal activity of methanolic extracts of four Algerian marine algae species. Afr. J. Biotechnol. 2012, 39, 9496–9500. [Google Scholar] [CrossRef]
- Gutiérrez, G. Compositions of Padina Algae or Their Extracts, and Their Pharmaceutical, Food Compositions, or Use for the Culture of Molluscs or Arthropods. European Patent EP 0655250 Al, 1995. Available online: https://patents.google.com/patent/EP0655250A1/en (accessed on 1 October 2018).
- Texinfine. Laboratoires ICP-Texinfine, 2018. Available online: http://www.icp-texinfine.com/ (accessed on 1 October 2018).
- Hupel, M.; Lecointre, C.; Meudec, A.; Poupart, N.; Ar Gall, E. Comparison of photoprotective responses to UV radiation in the brown seaweed Pelvetia canaliculata and the marine angiosperm Salicornia ramosissima. J. Exp. Mar. Biol. Ecol. 2011, 401, 36–47. [Google Scholar] [CrossRef]
- Jang, W.S.; Choung, S.Y. Antiobesity effects of the ethanol extract of Laminaria japonica Areshoung in high-fat-diet-induced obese rat. Evid. Based Complement. Alternat. Med. 2013, 2013, 492807. Available online: https://www.ncbi.nlm.nih.gov/pubmed/23365609 (accessed on 1 October 2018). [CrossRef] [PubMed]
- Shimoda, H.; Tanaka, J.; Shan, S.J.; Maoka, T. Anti-pigmentary activity of fucoxanthin and its influence on skin mRNA expression of melanogenic molecules. J. Pharm. Pharmacol. Res. 2010, 62, 1137–1145. [Google Scholar] [CrossRef] [PubMed]
- Rioux, L.E.; Moulin, V.; Beaulieu, M.; Turgeon, S.L. Human skin fibroblast response is differentially regulated by galactofucan and low molecular weight galactofucan. Bioact. Carbohydr. Diet. Fibre 2013, 1, 105–110. [Google Scholar] [CrossRef]
- Mizutani, S.; Deguchi, S.; Kobayashi, E.; Nishiyama, E.; Sagawa, H.; Kato, I. Fucoidan Containing Cosmetics. Patent US7678368 B2, 2010. Available online: https://patents.google.com/patent/US20060093566 (accessed on 1 October 2018).
- TaKaRa. Available online: http://www.takara-bio.com/ (accessed on 1 October 2018).
- Liu, C.L.; Chiu, Y.T.; Hu, M.L. Fucoxanthin enhances HO-1 and NQOI expression in murine hepatic BNL CL2 cells through activation of the Nrf2/ARE system partially by its pro-oxidant activity. J. Agric. Food Chem. 2011, 59, 11344–11351. [Google Scholar] [CrossRef] [PubMed]
- Jang, M.S.; Park, H.-Y.; Nam, K.-H. Whitening effects of 4-hydroxyphenethyl alcohol isolated from water boiled with Hizikia fusiformis. Food Sci. Biotechnol. 2014, 23, 555–560. [Google Scholar] [CrossRef]
- Kamei, Y.; Sueyoshi, M.; Hayashi, K.; Terada, R.; Nozaki, H. The novel anti-Propionibacterium acnes compound, Sargafuran, found in the marine brown alga Sargassum macrocarpum. J. Antibiot. 2009, 62, 259–263. [Google Scholar] [CrossRef] [PubMed]
- Song, T.Y.; Chen, C.; Yang, N.C.; Fu, C.S.; Chang, Y.T.; Chen, C.L. The correlation of in vitro mushroom tyrosinase activity with cellular tyrosinase activity and melanin formation in melanoma cells A2058. J. Food Drug Anal. 2009, 17, 156–162. [Google Scholar]
- Chan, Y.Y.; Kim, K.H.; Cheah, S.H. Inhibitory effects of Sargassum polycystum on tyrosinase activity and melanin formation in B16F1O murine melanoma cells. J. Ethnopharmacol. 2011, 137, 1183–1188. [Google Scholar] [CrossRef] [PubMed]
- Cha, S.H.; Ko, S.C.; Kim, D.; Jeon, Y.J. Screening of marine algae for potential tyrosinase inhibitor: Those inhibitors reduced tyrosinase activity and melanin synthesis in zebra fish. J. Dermatol. 2011, 38, 354–363. [Google Scholar] [CrossRef] [PubMed]
- Rozkin, M.; Levina, M.N.; Efimov, V.S.; Usov, A.I. The anticoagulant and lipolysis-stimulating activity of polysaccharides from marine brown algae. Farmakol. Toksicol. 1991, 54, 40–42. [Google Scholar]
- Kang, J.-I.; Kim, M.-K.; Lee, J.-H.; Jeon, Y.-J.; Hwang, E.-K.; Koh, Y.-S.; Hyun, J.-W.; Kwon, S.-Y.; Yoo, E.-S.; Kang, H.-K. Undariopsis peterseniana promotes hair growth by the activation of Wnt/β-Catenin and ERK pathways. Mar. Drugs 2017, 15, 130. [Google Scholar] [CrossRef] [PubMed]
- Quindere, A.L.G.; Fontes, B.P.; Vanderlei, E.D.O.; de Queiroz, I.N.L.; Rodrigues, J.A.G.; de Araujo, I.W.F.; Jorge, R.J.B.; de Menezes, D.B.; e Silva, A.A.R.; Chaves, H.V.; et al. Peripheral antinociception and anti-edematogenic effect of a sulfated polysaccharide from Acanthophora muscoides. Pharmacol. Rep. 2013, 65, 600–613. [Google Scholar] [CrossRef]
- Gurgel-Rodrigues, J.A.; Freire-Tovar, A.M.; Gomes-Quinderé, A.L.; de Souza Mourão, P.A.; Nilo Lino de Queiroz, I.; Barros Benevides, N.M. Extraction and structural properties of Acanthophora muscoides (Rhodophyceae) extracellular matrix sulfated polysaccharides and their effects on coagulation. Acta Sci-Technol. 2016, 38, 273–282. [Google Scholar] [CrossRef]
- Gurgel-Rodrigues, J.A.; de Queiroz, I.N.L.; Quinderé, A.L.G.; Benevides, N.M.B.; Tovar, A.M.F.; de Souza Mourão, P.A. Mild-acid hydrolysis of a native polysulfated fraction from Acanthophora muscoides generates sulfated oligosaccharides displaying in vitro thrombin generation inhibition. Acta Sci. Biol. Sci. 2016, 38, 7–15. [Google Scholar] [CrossRef]
- Al-Fadhli, A.; Wahidulla, S.; D’Souza, L. Glycolipids from the red alga Chondria armata. Glycobiology 2006, 16, 902–915. [Google Scholar] [CrossRef] [PubMed]
- Fabrowska, J.; Łęska, B.; Schroeder, G.; Messyasz, B.; Pikosz, M. Biomass and extracts of algae as material for cosmetics. In Marine Algae Extracts; Kim, S.-K., Chojnacka, K., Eds.; Wiley-VCH, Verlag GmbH & Co. KGaA: Weinheim, Germany, 2015; pp. 681–706. ISBN 9783527337088. [Google Scholar] [CrossRef]
- Sanghvi, A.M.; Lo, Y.M. Present and potential industrial applications of macro- and microalgae. Recent Pat. Food Nutr. Agric. 2010, 2, 187–194. [Google Scholar] [CrossRef] [PubMed]
- Stengel, D.B.; Connan, S. Marine algae: A source of biomass for biotechnological applications. Methods Mol. Biol. 2015, 1308, 1–37. [Google Scholar] [CrossRef]
- Yang, Y.; Liu, D.; Wu, J.; Chen, Y.; Wang, S. In vitro antioxidant activities of sulfated polysaccharide fractions extracted from Corallina officinalis. Int. J. Biol. Macromol. 2011, 49, 1031–1037. [Google Scholar] [CrossRef] [PubMed]
- Ryu, B.; Qian, Z.J.; Kim, N.M.; Nam, K.W.; Kim, S.K. Anti-photoaging activity and inhibition of matrix metalloproteinase (MMP)by marine red alga, Corallina pilulifera methanol extract. Radiat. Phys. Chem. 2009, 78, 98–105. [Google Scholar] [CrossRef]
- Iberagar. Agar-agar, poderoso espessante e gelificante natural. Food Ingred. Bras. 2010, 14, 49–50. Available online: http://www.revista-fi.com/materias/146.pdf (accessed on 2 October 2018). (In Portuguese).
- Pereira, L. Biological and therapeutic properties of the seaweed polysaccharides. Int. Biol. Rev. 2018, 2, 1–50. [Google Scholar] [CrossRef]
- Hanan, A.; Gowsaly, P.; Elakkiya, V.T.; Shankar, K.R. Exploration of beneficial activities of marine algae for cosmeceuticals. Seaweed Res. Utiln. 2016, 38, 133–137. [Google Scholar]
- Kang, J.I.; Kim, S.C.; Han, S.C.; Hong, H.J.; Jeon, Y.J.; Kim, B.; Koh, Y.S.; Yoo, E.S.; Kang, H.K. Hair-loss preventing effect of Grateloupia elliptica. Biomol. Ther. 2012, 20, 118–124. [Google Scholar] [CrossRef] [PubMed]
- Fard, S.M.; Shamsabadi, F.T.; Emadi, M.; Meng, G.Y.; Muhammad, K.; Mohamed, S. Ethanolic extract of Eucheuma cottonii promotes in vivo hair growth and wound healing. J. Anim. Vet. Adv. 2011, 10, 601–605. [Google Scholar] [CrossRef]
- Dixit, D.; Reddy, C.R.K. Non-targeted secondary metabolite profile study for deciphering the cosmeceutical potential of red marine macro alga Jania rubens—An LCMS-based approach. Cosmetics 2017, 4, 45. [Google Scholar] [CrossRef]
- Fenical, W. Chemical variation in a new bromochamigrene derivative from the red seaweed Laurencia pacifica. Phytochemistry 1976, 15, 511–512. [Google Scholar] [CrossRef]
- Liu, M.; Hansen, P.L.; Lin, X. Bromophenols in marine algae and their bioactivities. Mar. Drugs 2011, 9, 1273–1292. [Google Scholar] [CrossRef] [PubMed]
- Yuan, Y.V.; Westcott, N.D.; Hu, C.; Kitts, D.D. Mycosporine-like amino acid composition of edible red alga Palmaria palmata (Dulse) harvested from the west and east coasts of Grand Manan Island, New Brunswick. Food Chem. 2009, 12, 321–328. [Google Scholar] [CrossRef]
- Carreto, J.I.; Carignan, M.O.; Montoya, N.G. Comparative studies on mycosporine-like amino acids, paralytic shellfish toxins and pigment profiles of the toxic dinoflagellates Alexandrium tamarense, A. catenella and A. minutum. Mar. Ecol. Prog. Ser. 2001, 223, 49–60. [Google Scholar] [CrossRef]
- Mercurio, D.G.; Wagemaker, T.A.L.; Alves, V.M.; Benevenuto, C.G.; Gaspar, L.R.; Maia Campos, P.M.B.G. In vivo photoprotective effects of cosmetic formulations containing UV filters, vitamins, Ginkgo biloba and red algae extracts. J. Photochem. Photobiol. B Biol. 2015, 153, 121–126. [Google Scholar] [CrossRef] [PubMed]
- Kazlowska, K.; Lin, H.T.; Chang, S.H.; Tsai, G.J. In vitro and in vivo anticancer effects of sterol fraction from red algae Porphyra dentata. Evid. Based. Complement. Alternat. Med. 2013, 2013, 493869. [Google Scholar] [CrossRef] [PubMed]
- Zhang, Q.; Yu, P.; Li, Z.; Zhang, H.; Xu, Z.; Li, P. Antioxidant activities of sulfated polysaccharide fractions from Porphyra haitanesis. J. Appl. Phycol. 2003, 15, 305–310. [Google Scholar] [CrossRef]
- Zhang, Q.; Li, N.; Lin, X.; Zhao, Z.; Li, Z.; Xu, Z. The structure of a sulfated galactan from Porphyra haitanensis and its in vivo antioxidant activity. Carbohydr. Res. 2004, 339, 105–111. [Google Scholar] [CrossRef]
- Senevirathne, M.; Ahn, C.-B.; Je, J.-Y. Enzymatic extracts from edible red algae, Porphyra tenera, and their antioxidant, anti-acetylcholinesterase, and anti-inflammatory activities. Food Sci. Biotechnol. 2010, 19, 1551–1557. [Google Scholar] [CrossRef]
- Pimentel, F.B.; Alves, R.C.; Rodrigues, F.; Oliveira, M.B.P.P. Macroalgae-derived ingredients for cosmetic industry—An Update. Cosmetics 2018, 5, 2. [Google Scholar] [CrossRef]
- Yun, E.J.; Lee, S.; Kim, J.H.; Kim, B.B.; Kim, H.T.; Lee, S.H.; Pelton, J.G.; Kang, N.J.; Choi, I.G.; Kim, K.H. Enzymatic production of 3,6-anhydro-L-galactose from agarose and its purification and in vitro skin whitening and anti-inflammatory activities. Appl. Microbiol. Biotechnol. 2013, 97, 2961–2970. [Google Scholar] [CrossRef] [PubMed]
- Jiang, J.; Chen, Y.; Wang, W.; Cui, B.; Wan, N. Synthesis of superparamagnetic carboxymethyl chitosan/sodium alginate nanosphere and its application for immobilizing α-amylase. Carbohydr. Polym. 2016, 151, 600–605. [Google Scholar] [CrossRef] [PubMed]
- ACTISEANE. A Unique Combination of Natural Algal Growth Substances. Gelyma, 2018. Available online: http://www.biosiltech.com/pdf/gelyma/ACTISEANE%20-%20LEAFLET.pdf (accessed on 3 October 2018).
- Andre, G.; Pellegrini, M.; Pellegrini, M. Cosmetic or Dermatological Compositions Especially Useful as Antiaging and Antiwrinkle Products Comprise Extracts of Ascophyllum and Halopteris Seaweeds (Gelyma). Patent FR2837386, 2003. Available online: https://worldwide.espacenet.com/publicationDetails/biblio?II=0&ND=3&adjacent=true&locale=en_EP&FT=D&date=20030926&CC=FR&NR=2837386A1&KC=A1 (accessed on 3 October 2018).
- Carvalho, L.G.; Pereira, L. Review of marine algae as source of bioactive metabolites, chapter 6. In Marine Algae—Biodiversity, Taxonomy, Environmental Assessment and Biotechnology, 1st ed.; Pereira, L., Neto, J.M., Eds.; CRC Press: Boca Raton, FL, USA, 2015; pp. 192–224. ISBN 9781466581678. [Google Scholar]
- Pereira, L. Carrageenans—Sources and Extraction Methods, Molecular Structure, Bioactive Properties and Health Effects; Nova Science Publishers: Hauppauge, NY, USA, 2016; p. 293. ISBN 1634855035. [Google Scholar]
- Colwell, R.R. Marine polysaccharides for pharmaceutical and microbiological applications. In Biotechnology of Marine Polysaccharides; Colwell, R.R., Pariser, E.R., Sinskey, J., Eds.; McGraw-Hill: New York, NY, USA, 1985; pp. 363–376, ISBN-13 978-0891164333. [Google Scholar]
- Pereira, L.; Ribeiro-Claro, P.J.A. Analysis by vibrational spectroscopy of seaweed with potential use in food, pharmaceutical and cosmetic. In Marine Algae—Biodiversity, Taxonomy, Environmental Assessment and Biotechnology, 1st ed.; Pereira, L., Neto, J.M., Eds.; CRC Press: Boca Raton, FL, USA, 2015; pp. 225–247. ISBN 9781466581678. [Google Scholar]
- De Philippis, R.; Sili, C.; Paperi, R.; Vincenzini, M. Exopolysaccharide-producing cyanobacteria and their possible exploitation: A review. J. Appl. Phycol. 2001, 13, 293–299. [Google Scholar] [CrossRef]
- Arad, S.; Levy-Ontman, O. Red microalgal cell-wall polysaccharides: Biotechnological aspects. Curr. Opin. Biotechnol. 2010, 21, 358–364. [Google Scholar] [CrossRef] [PubMed]
- Yun, E.J.; Choi, I.-G.; Kim, K.H. Red macroalgae as a sustainable resource for bio-based products. Trends Biotechnol. 2015, 33, 247–249. [Google Scholar] [CrossRef] [PubMed]
- Balboa, E.M.; Conde, E.; Soto, M.L.; Pérez-Armada, L.; Domínguez, H. Cosmetics from marine sources. In Springer Handbook of Marine Biotechnology; Kim, S.-K., Ed.; Springer: Berlin/Heidelberg, Germany, 2015; pp. 1015–1042. ISBN 978-3-642-53970-1. [Google Scholar]
- Ouyang, Q.-Q.; Hu, Z.; Li, S.-D.; Quan, W.-Y.; Wen, L.-L.; Yang, Z.; Pu-Wang, L. Thermal degradation of agar mechanism and toxicity of products. Food Chem. 2018, 264, 277–283. [Google Scholar] [CrossRef] [PubMed]
- Fernando, I.P.S.; Sanjeewa, K.K.A.; Kim, S.-Y.; Lee, J.S.; Jeon, Y.J. Reduction of heavy metal (Pb2+) biosorption in zebrafish model using alginic acid purified from Ecklonia cava and two of its synthetic derivatives. Int. J. Biol. Macromol. 2018, 106, 330–337. [Google Scholar] [CrossRef] [PubMed]
- Lahaye, M. Chemistry and physico-chemistry of phycocolloids. Cah. Biol. Mar. 2001, 42, 137–157. [Google Scholar] [CrossRef]
- Pereira, L.; Gheda, S.F.; Ribeiro-Claro, P.J. Analysis by vibrational spectroscopy of seaweed polysaccharides with potential use in food, pharmaceutical, and cosmetic industries. Int. J. Carbohydr. Chem. 2013, 2013, 1–7. [Google Scholar] [CrossRef]
- Rinaudo, M. Seaweed polysaccharides. In Comprehensive Glycoscience, Vol. 2, Analysis of Glycans; Polysaccharide Functional, Properties, Kamerling, J.P., Eds.; Elsevier: Oxford, UK, 2007; pp. 691–735. ISBN 978-0-444-51967-2. [Google Scholar] [CrossRef]
- Pereira, L.; Amado, A.M.; Critchley, A.T.; van de Velde, F.; Ribeiro-Claro, P.J.A. Identification of selected seaweed polysaccharides (Phycocolloids) by vibrational spectroscopy (FTIR-ATR and FT-Raman). Food Hydrocoll. 2009, 23, 1903–1909. [Google Scholar] [CrossRef]
- Hotchkiss, S.; Campbell, R.; Hepburn, C. Carrageenan: Sources and extraction methods. In Carrageenans: Sources and Extraction Methods, Molecular Structure, Bioactive Properties and Health Effects; Pereira, L., Ed.; Nova Science Publishers: New York, NY, USA, 2016; pp. 1–16. ISBN 978-1-63485-503-7. [Google Scholar]
- Munaf, E.; Zein, R.; Dharma, A.; Indrawati; Lim, L.H.; Takeuchi, T. Optimation study of carrageenan extraction from red algae (Eucheuma cottonii). Jurnal Riset Kimia 2015, 2, 120–2126. [Google Scholar] [CrossRef]
- Charlier, R.H.; Chaineux, M.-C.P. The healing sea: A sustainable coastal ocean resource: Thalassotherapy. J. Coast. Res. 2009, 25, 838–856. [Google Scholar] [CrossRef]
- Pereira, L. Algae. Litoral of Viana do Castelo: Uses in Agriculture, Gastronomy and Food Industry (Bilingual); Câmara Municipal de Viana do Castelo: Viana do Castelo, Portugal, 2010; pp. 7–8. ISBN 978-972-588-218-4. [Google Scholar]
- Villarroel, L.H.; Zanlungo, A.B. Structural studies on the Porphyran from Porphyra columbina. Carbohydr. Res. 1981, 88, 139–145. [Google Scholar] [CrossRef]
- Bhatia, S.; Sharma, A.; Sharma, K.; Kavale, M.; Chaugule, B.B.; Dhalwal, K.; Namdeo, A.G.; Mahadik, K.R. Novel algal polysaccharides from marine source: Porphyran. Pharmacogn. Rev. 2008, 2, 271–276. [Google Scholar]
- Zhang, Q.B.; Qi, H.M.; Zhao, T.T.; Deslandes, E.; Ismaeli, N.M.; Molloy, F.; Critchley, A.T. Chemical characteristics of a polysaccharide from Porphyra capensis (Rhodophyta). Carbohydr. Res. 2005, 340, 2447–2450. [Google Scholar] [CrossRef] [PubMed]
- Ishihara, K.; Oyamada, S.; Matsushima, R.; Murata, M.; Muraoka, T. Inhibitory effect of porphyran, prepared from dried Nori, on contact hypersensitivity in mice. Biosci. Biotechnol. Biochem. 2005, 69, 1824–1830. [Google Scholar] [CrossRef] [PubMed]
- Kylin, H. Biochemistry of sea algae. Z. Phys. Chem. 1913, 83, 171–197. [Google Scholar] [CrossRef]
- Chevolot, L.; Mulloy, B.; Ratiskol, J.; Foucault, A.; Colliec-Jouault, S. A disaccharide repeat unit is the major structure in fucoidans from two species of brown algae. Carbohydr. Res. 2001, 330, 529–535. [Google Scholar] [CrossRef]
- Fitton, J.H. Therapies from fucoidan; multifunctional marine polymers. Mar. Drugs 2011, 9, 1731–1760. [Google Scholar] [CrossRef] [PubMed]
- Lorbeer, A.J.; Tham, R.; Zhang, W. Potential products from the highly diverse and endemic macroalgae of southern Australia and pathways for their sustainable production. J. Appl. Phycol. 2013, 25, 717–732. [Google Scholar] [CrossRef]
- Kuznetsova, T.A.; Besednova, N.N.; Mamaev, A.N.; Momot, A.P.; Shevchenko, N.M.; Zvyagintseva, T.N. Anticoagulant activity of fucoidan from brown algae Fucus evanescens of the Okhotsk sea. Bull. Exp. Biol. Med. 2013, 136, 471–473. [Google Scholar] [CrossRef]
- Wu, L.; Sun, J.; Su, X.; Yu, Q.; Yu, Q.; Zhang, P. A review about the development of fucoidan in antitumor activity: Progress and challenges. Carbohydr. Polym. 2016, 154, 96–111. [Google Scholar] [CrossRef] [PubMed]
- Saravana, P.S.; Cho, Y.-N.; Patil, M.P.; Cho, Y.-J.; Kim, G.-D.; Park, Y.B.; Woo, H.-C.; Chun, B.-S. Hydrothermal degradation of seaweed polysaccharide: Characterization and biological activities. Food Chem. 2018, 268, 179–187. [Google Scholar] [CrossRef] [PubMed]
- Li, B.; Lu, F.; Wei, X.J.; Zhao, R.X. Fucoidan: Structure and bioactivity. Molecules 2008, 13, 1671–1695. [Google Scholar] [CrossRef] [PubMed]
- Holtkamp, A.D.; Kelly, S.; Ulber, R.; Lang, S. Fucoidans and fucoidanases-focus on techniques for molecular structure elucidation and modification of marine polysaccharides. Appl. Microbiol. Biotechnol. 2009, 82, 1–11. [Google Scholar] [CrossRef] [PubMed]
- Jiao, G.L.; Yu, G.L.; Zhang, J.Z.; Ewart, S.H. Chemical structures and bioactivities of sulfated polysaccharides from marine algae. Mar. Drugs 2011, 9, 196–223. [Google Scholar] [CrossRef] [PubMed]
- Thanh-Sang, V.; Kim, S.-K. Fucoidans as a natural bioactive ingredient for functional foods. J. Funct. Foods. 2013, 16–27. [Google Scholar] [CrossRef]
- Cardoso, S.M.; Carvalho, L.G.; Silva, P.J.; Rodrigues, M.S.; Pereira, O.R.; Pereira, L. Bioproducts from seaweeds: A review with special focus on the Iberian Peninsula. Curr. Org. Chem. 2014, 18, 896–917. [Google Scholar] [CrossRef]
- Cardoso, S.M.; Pereira, O.R.; Seca, A.M.; Pinto, D.; Silva, A.M. Seaweeds as preventive agents for cardiovascular diseases: From nutrients to functional Foods. Mar. Drugs 2015, 13, 6838–6865. [Google Scholar] [CrossRef] [PubMed]
- Zenmony. Fucoidan in Cosmetics, 2018. Available online: http://www.zenmony.com/fucoidan-in-cosmetics-a25/ (accessed on 23 September 2018).
- Moon, H.E.; Islam, N.; Ahr, B.R.; Chowdhury, S.S.; Sohn, H.S.; Jung, H.A.; Choi, J.S. Protein tyrosine phosphatase 1B and α-glucosidase inhibitory phlorotannins from edible brown algae Ecklonia stolonifera and Eisenia bicyclis. Biosci. Biotechnol. Biochem. 2011, 75, 1472–1480. [Google Scholar] [CrossRef] [PubMed]
- Narayanaswamy, R.; Jo, B.W.; Choi, S.-K.; Ismail, I.S. Fucoidan: Versatile cosmetic ingredient. An overview. J. Appl. Cosmetol. 2013, 31, 131–138. [Google Scholar]
- Usov, A.I.; Zelinsky, N.D. Chapter 2—Chemical structures of algal polysaccharides. In Functional Ingredients from Algae for Foods and Nutraceuticals; Domínguez, H., Ed.; Woodhead Publishing, Elsevier: London, UK, 2013; pp. 23–86. ISBN 978-0-85709-512-1. [Google Scholar] [CrossRef]
- Gesztesi, J.L.; Silva, L.V.N.; Robert, L.; Robert, A. Cosmetic Composition of Two Polysaccharides Based on Fucose and Rhamnose. US Patent US20060115443A1, 2003. Available online: https://patents.google.com/patent/US20060115443 (accessed on 23 September 2018).
- Yaich, H.; Amira, A.B.; Abbes, F.; Bouaziz, M.; Besbes, S.; Richel, A.; Blecker, C.; Attia, H.; Garna, H. Effect of extraction procedures on structural, thermal and antioxidant properties of ulvan from Ulva lactuca collected in Monastir coast. Int. J. Biol. Macromol. 2017, 105, 1430–1439. [Google Scholar] [CrossRef] [PubMed]
- Sekar, S.; Chandramohan, M. Phycobiliproteins as a commodity: Trends in applied research, patents and commercialization. J. Appl. Phycol. 2008, 20, 113–136. [Google Scholar] [CrossRef]
- Galland-Irmouli, A.V.; Fleurence, J.; Lamghari, R.; Lun, M.; Rouxel, C.; Barbaroux, O.; Bronowicki, J.-P.; Villaume, C.; Guéant, J.-L. Nutritional value of proteins from edible seaweed, Palmaria palmata (dulse). J. Biol. Chem. 1999, 10, 353–359. [Google Scholar] [CrossRef]
- WHO. Iodine Status Worldwide WHO Global Database on Iodine Deficiency; World Health Organization: Geneva, Switzerland, 2004. Available online: http://apps.who.int/iris/bitstream/handle/10665/43010/9241592001.pdf?sequence=1 (accessed on 26 September 2018).
- Pereira, L. Edible Seaweeds of the World, 1st ed.; Taylor & Francis Group: Boca Raton, FL, USA, 2016; p. 453. ISBN 9781498730471. [Google Scholar]
- Bedoux, G.; Hardouin, K.; Burlot, A.S.; Bourgougnon, N. Bioactive components from seaweeds: Cosmetic applications and future development. Adv. Bot. Res. 2014, 71, 345–378. [Google Scholar] [CrossRef]
- Reef, R.; Kaniewska, P.; Hoegh-Guldberg, O. Coral skeletons defend against ultraviolet radiation. PLoS ONE 2009, 4, e7995. [Google Scholar] [CrossRef] [PubMed]
- Pereira, L. Chapter 6—Seaweed Flora of the European North Atlantic and Mediterranean. In Springer Handbook of Marine Biotechnology; Se-Kwon, K., Ed.; Springer: Berlin/Heidelberg, Germany, 2015; pp. 65–178. ISBN 978-3-642-53971-8. [Google Scholar] [CrossRef]
- Hosikian, A.; Lim, S.; Halim, R.; Danquah, M.K. Chlorophyll extraction from microalgae: A review on the process engineering aspects. Int. J. Chem. Eng. 2010, 391632. [Google Scholar] [CrossRef]
- Horwitz, B. Role of chlorophyll in proctology. Am. J. Surg. 1951, 81, 81–84. [Google Scholar] [CrossRef]
- Vílchez, C.; Forján, E.; Cuaresma, M.; Bédmar, F.; Garbayo, I.; Vega, J.M. Marine carotenoids: Biological functions and commercial applications. Mar. Drugs 2011, 9, 319–333. [Google Scholar] [CrossRef] [PubMed]
- Mata-Gómez, L.C.; Montañez, J.C.; Méndez-Zavala, A.; Aguilar, C.N. Biotechnological production of carotenoids by yeasts: An overview. Microb. Cell. Fact. 2014, 13, 12. [Google Scholar] [CrossRef] [PubMed]
- Spolaore, P.; Joannis-Cassan, C.; Duran, E.; Isambert, A. Commercial applications of microalgae. J. Biosci. Bioeng. 2006, 101, 87–96. [Google Scholar] [CrossRef] [PubMed]
- Peng, J.; Yuan, J.-P.; Wu, C.-F.; Wang, J.-H. Fucoxanthin, a marine carotenoid present in brown seaweeds and diatoms: Metabolism and bioactivities relevant to human health. Mar. Drugs 2011, 9, 1806–1828. [Google Scholar] [CrossRef] [PubMed]
- D’Orazio, N.; Gemello, E.; Gammone, M.A.; Girolamo, M.; Ficoneri, C.; Riccioni, G. Fucoxantin: A treasure from the sea. Mar. Drugs 2012, 10, 604–616. [Google Scholar] [CrossRef] [PubMed]
- Alvarez, A.M.R.; Rodríguez, M.L.G. Lipids in pharmaceutical and cosmetic preparations. Grasas Aceites 2000, 51, 74–96. [Google Scholar] [CrossRef]
- Singh, J.; Gu, S. Commercialization potential of microalgae for biofuels production. Renew. Sustain. Energy Rev. 2010, 14, 2596–2610. [Google Scholar] [CrossRef]
- Pereira, L.; Soares, F.; Freitas, A.C.; Duarte, A.C.; Ribeiro-Claro, P. Extraction, characterization and use of carrageenans, Chapter 3. In Industrial Applications of Marine Biopolymers, 1st ed.; Sudha, P.N., Ed.; CRC Press, Taylor & Francis Group: Boca Raton, FL, USA, 2017; p. 472. ISBN 9781315313528. [Google Scholar]
- Harborne, J.B. Phytochemical Methods—A Guide to Modern Techniques of Plant. Analysis; Springer Science & Business Media: Berlin, Germany, 1998; p. 310. ISBN 978-0-412-57260-9. [Google Scholar]
- Manach, C.; Williamson, G.; Morand, C.; Scalbert, A.; Rémésy, C. Bioavailability and bioefficacy of polyphenols in humans. I. Review of 97 bioavailability studies. Am. J. Clin. Nutr. 2005, 81, 230S–242S. [Google Scholar] [CrossRef] [PubMed]
- Tückmantel, W.; Kozikowski, A.P.; Romanczyk, L.J. Studies in polyphenol chemistry and bioactivity. 1. Preparation of building blocks from (+)-catechin. Procyanidin formation. Synthesis of the cancer cell growth inhibitor, 3-O-galloyl(2R,3R)-epicatechin-4β,8-[3-O-galloyl-(2R,3R)-epicatechin]. J. Am. Chem. Soc. 1999, 121, 12073–12081. [Google Scholar] [CrossRef]
- Urquiaga, I.; Leighton, F. Plant polyphenol antioxidants and oxidative stress. Biol. Res. 2000, 33, 55–64. [Google Scholar] [CrossRef] [PubMed]
- Liu, H.; Gu, L. Phlorotannins from brown algae (Fucus vesiculosus) inhibited the formation of advanced glycation endproducts by scavenging reactive carbonyls. J. Agric. Food Chem. 2012, 60, 1326–1334. [Google Scholar] [CrossRef] [PubMed]
- Liu, X.; Li, X.; Gao, L.; Cui, C.; Li, C.; Li, J.; Wang, B. Extraction and PTP1B inhibitory activity of bromophenols from the marine red alga Symphyocladia latiuscula. Chin. J. Oceanol. Limnol. 2011, 29, 686–690. [Google Scholar] [CrossRef]
- Target, N.M.; Arnold, T.M. Effects of secondary metabolites on digestion in marine herbivores. In Marine Chemical Ecology, 1st ed.; McClintock, J.B., Baker, B.J., Eds.; CRC Press: Boca Raton, FL, USA, 2001; pp. 391–411. ISBN 9780849390647. [Google Scholar]
- Sanjeewa, K.K.A.; Kim, E.A.; Son, K.T.; Jeon, Y.J. Bioactive properties and potentials cosmeceutical applications of phlorotannins isolated from brown seaweeds: A review. J. Photochem. Photobiol. B 2016, 162, 100–105. [Google Scholar] [CrossRef] [PubMed]
- Pereira, L. A review of the nutrient composition of selected edible seaweeds, Chapter 2. In Seaweed: Ecology, Nutrient Composition and Medicinal Uses; Pomin, V.H., Ed.; Nova Science Publishers Inc.: New York, NY, USA, 2011; pp. 15–47. ISBN 9781614708780. [Google Scholar]
- Wang, J.; Chen, C. Biosorbents for heavy metals removal and their future. Biotechnol. Adv. 2009, 27, 195–226. [Google Scholar] [CrossRef] [PubMed]
- De Benoist, B.; McLean, E.; Andersson, M.; Rogers, L. Iodine Deficiency in 2007: Global Progress Since 1993. Food Nutr. Bull. 2008, 29, 195–202. [Google Scholar] [CrossRef] [PubMed]
- Zimmermann, M.B. Iodine requirements and the risks and benefits of correcting iodine deficiency in populations. J. Trace Elem. Med. Biol. 2008, 22, 81–92. [Google Scholar] [CrossRef] [PubMed]
- ATSDR. Agency for Toxic Substances and Disease Registry; Division of Toxicology: Atlanta, GA, USA, 2004. Available online: https://www.atsdr.cdc.gov/toxprofiles/tp162.pdf (accessed on 26 September 2018).
- Westby, T.; Cadogan, A.; Duignan, G. In vivo uptake of iodine from a Fucus serratus Linnaeus seaweed bath: Does volatile iodine contribute? Environ. Geochem. Health 2018, 40, 683–691. [Google Scholar] [CrossRef] [PubMed]
- Gomez, C.G.; Lambrecht, M.V.P.; Lozano, J.E.; Rinaudo, M.; Villar, M.A. Influence of the extraction-purification conditions on final properties of alginates obtained from brown algae (Macrocystis pyrifera). Int. J. Biol. Macromol. 2009, 44, 365–371. [Google Scholar] [CrossRef] [PubMed]
- Quinton, R. L’Eau de Mer—Milieu organique, 1st ed.; Masson et Cie, Éditeurs: Paris, France, 1904; p. 497, ISBN-10: 1295831783. [Google Scholar]
- Barata, E.A.F. A Cosmetologia—Princípios Básicos; Tecnopress: São Paulo, Brasil, 1995; p. 176. ISBN 8586543039. [Google Scholar]
- Westby, T.; Duignan, G.; Smyth, T.; Cadogan, A. Method validation and determination of total iodine in seaweed bathwater. Bot. Mar. 2016, 59, 241–249. [Google Scholar] [CrossRef]
- Goldsmith, L.A. Biochemistry and Physiology of the Skin, 2nd ed.; Oxford University Press: Oxford, UK; Oxford Medicine Publications: Oxford, UK, 1983; p. 1364, ISBN-13 978-0192612533. [Google Scholar]
- Andrade, S.C.D.; Carvalho, R.; Soares, A.S.; Vilar, M.J. Benefícios da talassoterapia e balneoterapia na fibromialgia. Rev. Bras. Reumatol. 2008, 48, 94. [Google Scholar] [CrossRef]
- Kim, S.K.; Ravichandran, Y.D.; Khan, S.B.; Kim, Y.T. Prospective of the cosmeceuticals derived from marine organisms. Biotechnol. Bioprocess. Eng. 2008, 13, 511. [Google Scholar] [CrossRef]
- FDA—Cosmetics and Cosmeceuticals, 2018. Available online: https://www.fda.gov/cosmetics/labeling/ (accessed on 22 November 2018).
- Buschmann, A.H.; Camus, C.; Infante, J.; Neori, A.; Israel, Á.; Hernández-González, M.C.; Pereda, S.V.; GomezPinchetti, J.L.; Golberg, A.; Tadmor-Shalev, N.; et al. Seaweed production: Overview of the global state of exploitation, farming and emerging research activity. Eur. J. Phycol. 2017, 52, 391–406. [Google Scholar] [CrossRef]
- Netalgae. Inter-Regional Network to Promote Sustainable Development in the Marine Algal Industry, 2017. Available online: http://www.netalgae.eu/index-en.php (accessed on 5 October 2018).
- Mesnildrey, L.; Jacob, C.; Frangoudes, K.; Reunavot, M.; Lesueur, M. Seaweed industry in France. Report. Interreg program NETALGAE. Les publications du pôle halieutique Agrocampus Ouest 2012, 9, 34. [Google Scholar]
- Ferdouse, F.; Holdt, S.L.; Murúa, P.; Yang, Z. The Global Status of Seaweed Production, Trade and Utilization; FAO Globefish Research Programme: Rome, Italy, 2018; p. 120. ISBN 978-92-5-130870-7. Available online: http://www.fao.org/3/CA1121EN/ca1121en.pdf (accessed on 5 October 2018).
- Brenner, M.; Hearing, J. The protective role of melanin against UV damage in human skin. Photochem. Photobiol. 2007, 84, 539–549. [Google Scholar] [CrossRef] [PubMed]
- Wollenberg, A.; Kraft, S.; Hanau, D.; Bieber, T. Immunomorphological and ultrastructural characterization of langerhans cells and a novel, inflammatory dendritic epidermal cell (IDEC) population in lesional skin of atopic eczema. J. Investig. Dermatol. 1996, 106, 446–453. [Google Scholar] [CrossRef] [PubMed]
- Zouboulis, C.C. Acne and sebaceous gland function. Clin. Dermatol. 2004, 22, 360–366. [Google Scholar] [CrossRef] [PubMed]
- Denda, M.; Sokabe, T.; Fukumi-Tominaga, T.; Tominaga, M. Effects of skin surface temperature on epidermal permeability barrier homeostasis. J. Investig. Dermatol. 2007, 127, 654–659. [Google Scholar] [CrossRef] [PubMed]
- Chen, T.C.; Chimeh, F.; Lu, Z.; Mathieu, J.; Person, K.S.; Zhang, A.; Kohn, N.; Martinello, S.; Berkowitz, R.; Holick, M.F. Factors that influence the cutaneous synthesis and dietary sources of vitamin D. Arch. Biochem. Biophys. 2007, 460, 213–217. [Google Scholar] [CrossRef] [PubMed]
- Wickett, R.R.; Visscher, M.O. Structure and function of the epidermal barrier. Am. J. Infect. Control. 2006, 34, S98–S110. [Google Scholar] [CrossRef]
- Benbow, M. Maintaining skin integrity and preventing pressure damage. Nurs. Resid. Care 2009, 11, 44–450. [Google Scholar] [CrossRef]
- Tsukahara, K.; Takema, Y.; Moriwaki, S.; Tsuji, N.; Suzuki, Y.; Fujimura, T.; Imokawa, G. Selective inhibition of skin fibroblast elastase elicits a concentration-dependent prevention of ultraviolet B-induced wrinkle formation. J. Investig. Dermatol. 2001, 117, 671–677. [Google Scholar] [CrossRef] [PubMed]
- McCullough, J.L.; Kelly, K.M. Prevention and treatment of skin aging. Ann. N.Y. Acad. Sci. 2006, 1067, 323–331. [Google Scholar] [CrossRef] [PubMed]
- Ryu, J.; Park, S.-J.; Kim, I.-H.; Choi, Y.H.; Nam, T.-J. Protective effect of Porphyra-334 on UVA-induced photoaging in human skin fibroblasts. Int. J. Mol. Med. 2014, 34, 796–803. [Google Scholar] [CrossRef] [PubMed]
- Nagashima, H.; Hanada, K.; Hashimoto, I. Correlation of skin phototype with facial wrinkle formation. Photodermatol. Photoimmunol. Photomed. 1999, 15, 2–6. [Google Scholar] [CrossRef] [PubMed]
- Magnenat-Thalmann, N.; Kalra, P.; Lévêque, J.L.; Bazin, R.; Batisse, D.; Querleux, B. A computational skin model: Fold and wrinkle formation. IEEE. Trans. Inf. Technol. Biomed. 2002, 6, 317–323. [Google Scholar] [CrossRef] [PubMed]
- Anderson, G.F.; Hussey, P.S. Population aging: A comparison among industrialized countries. Health Aff. 2000, 19, 191–203. [Google Scholar] [CrossRef]
- Tsuji, N.; Moriwaki, S.; Suzuki, Y.; Takema, Y.; Imokawa, G. The role of elastases secreted by fibroblasts in wrinkle formation: Implication through selective inhibition of elastase activity. Photochem. Photobiol. 2001, 74, 283–290. [Google Scholar] [CrossRef]
- Kim, M.M.; Ta, Q.V.; Mendis, E.; Rajapakse, N.; Jung, W.K.; Byun, H.G.; Jeon, Y.J.; Kim, S.K. Phlorotannins in Ecklonia cava extract inhibit matrix metalloproteinase activity. Life Sci. 2006, 79, 1436–1443. [Google Scholar] [CrossRef] [PubMed]
- Kim, Y.H.; Chung, C.B.; Kim, J.G.; Ko, K.I.; Park, S.H.; Kim, J.-H.; Eom, S.Y.; Kim, Y.S.; Hwang, Y.-I.; Kim, K.H. Anti-wrinkle activity of Ziyuglycoside I isolated from a Sanguisorba officinalis root extract and its application as a cosmeceutical ingredient. Biosci. Biotechnol. Biochem. 2008, 72, 303–311. [Google Scholar] [CrossRef] [PubMed]
- Arica, Ş.Ç.; Ozyilmaz, A.; Demirci, A. A study on the rich compounds and potential benefits of algae: A review. Pharm. Innov. 2017, 6, 42–51. [Google Scholar]
- German-Báez, L.J.; Valdez-Flores, M.A.; Félix-Medina, J.V.; Norzagaray-Valenzuela, C.D.; Santos-Ballardo, D.U.; Reyes-Moreno, C.; Shelton, L.M.; Valdez-Ortiz, A. Chemical composition and physicochemical properties of Phaeodactylum tricornutum microalgal residual biomass. Food Sci. Technol. Int. 2017, 23, 681–689. [Google Scholar] [CrossRef] [PubMed]
- Wang, H.D.; Chen, C.C.; Huynh, P.; Chang, J.S. Exploring the potential of using algae in cosmetics. Bioresour. Technol. 2015, 184, 355. [Google Scholar] [CrossRef] [PubMed]
- Ariede, M.B.; Candido, T.M.; Jacome, A.L.M.; Velasco, M.V.R.; de Carvalho, J.C.M.; Baby, A.R. Cosmetic attributes of algae—A review. Algal Res. 2017, 25, 483–487. [Google Scholar] [CrossRef]
- De Roeck-Holtzhauer, Y. Uses of seaweeds in cosmetics. In Seaweed Resources in Europe: Uses and Potential; Guiry, M., Blunden, G., Eds.; John Wiley & Sons: Chichester, UK, 1991; pp. 83–94. [Google Scholar]
- Fujimura, T.; Tsukahara, K.; Moriwaki, S.; Kitahara, T.; Sano, T.; Takema, Y. Treatment of human skin with an extract of Fucus vesiculosus changes its thickness and mechanical properties. J. Cosmet. Sci. 2002, 53, 1–9. [Google Scholar] [PubMed]
- Boonme, P.; Junyaprasert, V.B.; Suksawad, N.; Songkro, S. Microemulsions and nanoemulsions: Novel vehicles for whitening cosmeceuticals. J. Biomed. Nanotechnol. 2009, 5, 373–383. [Google Scholar] [CrossRef] [PubMed]
- Gilchrest, B.A.; Eller, M.S. DNA photodamage stimulates melanogenesis and other photoprotective responses. J. Investig. Dermatol. Symp. Proc. 1999, 4, 35–40. [Google Scholar] [CrossRef] [PubMed]
- Taylor, S.C. Skin of color: Biology, structure, function, and implications for dermatologic disease. J. Am. Acad. Dermatol. 2002, 46, S41–S62. [Google Scholar] [CrossRef] [PubMed]
- Martínez-Esparza, M.; Jiménez-Cervantes, C.; Solano, F.; Lozano, J.A.; García-Borrón, J.C. Mechanisms of melanogenesis inhibition by tumor necrosis factor-α in B16/F10 mouse melanoma cells. Eur. J. Biochem. 1998, 255, 139–146. [Google Scholar] [CrossRef] [PubMed]
- Solano, F.; Briganti, S.; Picardo, M.; Ghanem, G. Hypopigmenting agents: An updated review on biological, chemical and clinical aspects. Pigment. Cell. Res. 2006, 19, 550–571. [Google Scholar] [CrossRef] [PubMed]
- Park, Y.I. Skin whitening effect. In New Perspectives on Aloe; Park, Y.I., Lee, S.K., Eds.; Springer: New York, NY, USA, 2006; pp. 127–135. ISBN 978-0-387-31799-1. [Google Scholar]
- Silab. WHITONYL® and the Complexion Becomes Porcelain, 2018. Available online: https://www.silab.fr/produit-55-whitonyl_usa.html (accessed on 20 October 2018).
- Dae, H.P.; Won, S.C.; Sean, H.Y.; Jung, S.S.; Chul, H.S. A developmental study of artificial skin using the alginate dermal substrate. Key Eng. Mater. 2007, 342, 125–128. [Google Scholar] [CrossRef]
- Gong, T.F.; Fang, C.Y.; Chen, W.; Wang, P.N. Physiochemical properties of alginate in tissue engineering research and its clinical application. J. Clin. Rehabil. Tissue Eng. Res. 2007, 11, 3613–3616. [Google Scholar]
- Zhao, R.; Liang, H.; Clarke, E.; Jackson, C.; Xue, M. Inflammation in chronic wounds. Int. J. Mol. Sci. 2016, 17, 1–14. [Google Scholar] [CrossRef] [PubMed]
- Ha, W.H.; Park, D.H. Effect of seaweed extract on hair growth promotion in experimental study of C57BL/6 mice. Arch. Craniofac. Surg. 2013, 14, 1–10. [Google Scholar] [CrossRef]
- Zikeli, S. Production process of a new cellulosic fiber with antimicrobial properties. Curr. Probl. Dermatol. 2006, 33, 110–126. [Google Scholar] [CrossRef] [PubMed]
- Fluhr, J.W.; Breternitz, M.; Kowatzki, D.; Bauer, A.; Bossert, J.; Elsner, P.; Hipler, U.C. Silver-loaded seaweed-based cellulosic fiber improves epidermal skin physiology in atopic dermatitis: Safety assessment, mode of action and controlled, randomized single-blinded exploratory in vivo study. Exp. Dermatol. 2010, 19, 1600–1625. [Google Scholar] [CrossRef] [PubMed]
- Isolauri, E.; Turjanmaa, K. Combined skin prick and patch testing enhances identification of food allergy in infants with atopic dermatitis. J. Allergy Clin. Immunol. 1996, 97, 9–15. [Google Scholar] [CrossRef]
- Novak, N.; Bieber, T. Allergic and nonallergic forms of atopic diseases. J. Allergy Clin. Immunol. 2003, 112, 252–262. [Google Scholar] [CrossRef] [PubMed]
- Shakespeare, P. Burn wound healing and skin substitutes. Burns 2001, 27, 517–522. [Google Scholar] [CrossRef]
- Matou, S.; Helley, D.; Chabut, D.; Bros, A.; Fischer, A.-M. Effect of fucoidan on fibroblast growth factor-2-induced angiogenesis in vitro. Thromb. Res. 2002, 106, 213–221. [Google Scholar] [CrossRef]
- Leoni, G.; Neumann, P.-A.; Sumagin, R.; Denning, T.; Nusrat, A. Wound repair: Role of immune–epithelial interactions. Mucosal Immunol. 2015, 8, 959–968. [Google Scholar] [CrossRef] [PubMed]
- Rahimpour, Y.; Hamishehkar, H. Liposomes in cosmeceutics. Expert Opin. Drug Deliv. 2012, 9, 443–455. [Google Scholar] [CrossRef] [PubMed]
- Sezer, A.D.; Erdal, C.; Fatih, H.P.; Zeki, O.; Ahmet, L.B.; Julide, A. Preparation of fucoidan-chitosan hydrogel and its application as burn healing accelerator on rabbits. Biol. Pharm. Bull. 2008, 31, 2326–2333. [Google Scholar] [CrossRef] [PubMed]
- Sasikala, L.; Durai, B.; Rathinamoorthy, R. Manuka honey loaded chitosan hydrogel films for wound dressing applications. Int. J. PharmTech Res. 2013, 5, 1774–1785. [Google Scholar]
- Kang, J.-I.; Yoo, E.-S.; Hyun, J.-W.; Koh, Y.-S.; Lee, N.H.; Ko, M.-H.; Ko, C.-S.; Kang, H.-K. Promotion effect of Apo-9’-fucoxanthinone from Sargassum muticum on hair growth via the activation of Wnt/β-Catenin and VEGF-R2. Biol. Pharm. Bull. 2016, 39, 1273–1283. [Google Scholar] [CrossRef] [PubMed]
- Balboa, E.; Conde, E.; Constenla, A.; Falqué, E.; Domínguez, H. Sensory evaluation and oxidative stability of a suncream formulated with thermal spring waters from Ourense (NW Spain) and Sargassum muticum extracts. Cosmetics 2017, 4, 19. [Google Scholar] [CrossRef]
- Couteau, C.; Coiffard, L. Seaweed Application in Cosmetics. In Seaweed in Health and Disease Prevention; Fleurence, J., Levine, I., Eds.; Elsevier: Amsterdam, The Netherlands, 2016; pp. 423–441. ISBN 9780128027936. [Google Scholar]
- Berardesca, E.; Abril, E.; Rona, C.; Vesnaver, R.; Cenni, A.; Oliva, M. An effective night slimming topical treatment. Int. J. Cosmet. Sci. 2012, 34, 263–272. [Google Scholar] [CrossRef] [PubMed]
- Trüeb, R.M. The value of hair cosmetics and pharmaceuticals. Dermatology 2001, 202, 275–282. [Google Scholar] [CrossRef] [PubMed]
- Weitz, R. Women and their hair: Seeking power through resistance and accommodation. Gend. Soc. 2001, 15, 667–686. [Google Scholar] [CrossRef]
- Qiu, Y. Cosmeceutical Formulations of Natural Ingredients for Hair Growth. US Patent US20150297502A1, 2015. Available online: https://patents.google.com/patent/US20150297502 (accessed on 25 September 2018).
- Cotsarelis, G.; Millar, S.E. Towards a molecular understanding of hair loss and its treatment. Trends Mol. Med. 2001, 7, 293–301. [Google Scholar] [CrossRef]
- Price, V.H. Treatment of hair loss. N. Engl. J. Med. 1999, 341, 964–973. [Google Scholar] [CrossRef] [PubMed]
- Kaufman, K.D.; Olsen, E.A.; Whiting, D.; Savin, R.; DeVillez, R.; Bergfeld, W.; Price, V.H.; van Neste, D.; Roberts, J.L.; Hordinsky, M.; et al. Finasteride in the treatment of men with androgenetic alopecia. Finasteride Male Pattern Hair Loss Study Group. J. Am. Acad. Dermatol. 1998, 39, 578–589. [Google Scholar] [CrossRef]
- Burton, J.L.; Marshall, A. Hypertrichosis due to minoxidil. Br. J. Dermatol. 1979, 101, 593–595. [Google Scholar] [CrossRef] [PubMed]
- Gromley, G.J. Finasteride: A clinical review. Biomed. Pharmacother. 1995, 49, 319–324. [Google Scholar] [CrossRef]
- McClellan, K.J.; Markham, A. Finasteride: A review of its use male pattern hair loss. Drugs 1999, 57, 111–126. [Google Scholar] [CrossRef] [PubMed]
- Mehta, P.K.; Mamdani, B.; Shansky, R.M.; Mahurkar, S.D.; Dunea, G. Severe hypertension. Treatment with minoxidil. J. Am. Med. Assoc. 1975, 233, 249–252. [Google Scholar] [CrossRef]
- Tanigaki-Obana, N.; Ito, M. Effects of cepharanthine and minoxodil on proliferation, differentiation and keratinozation of cultured cells from the murine hair apparatus. Arch. Dermatol. Res. 1992, 284, 290–296. [Google Scholar] [CrossRef] [PubMed]
- Han, J.H.; Kwon, O.S.; Chung, J.H.; Cho, K.H.; Eun, H.C.; Kim, K.H. Effect of minoxodil on proliferation and apoptosis in dermal papilla cells of human hair follicle. J. Dermatol. Sci. 2004, 34, 91–98. [Google Scholar] [CrossRef] [PubMed]
- Hamaoka, H.; Minakuchi, K.; Miyoshi, H.; Arase, S.; Chen, C.H.; Nakaya, Y. Effect of K+ channel openers on K+ channel in cultured human dermal papilla cells. J. Med. Invest. 1997, 44, 73–77. [Google Scholar] [PubMed]
- Shorter, K.; Farjo, N.P.; Picksley, S.M.; Randall, V.A. Human hair follicles contain two forms of ATP-sensitive potassium channels, only one of which is sensitive to minoxidil. Faseb. J. 2008, 22, 1725–1736. [Google Scholar] [CrossRef] [PubMed]
- Lachgar, S.; Moukadiri, H.; Jonca, F.; Charveron, M.; Bouhaddioui, N.; Gall, Y.; Bonafe, J.L.; Plouet, J. Vascular endothelial growth factor is an autocrine growth factor for hair dermal papilla cells. J. Investig. Dermatol. 1996, 106, 17–23. [Google Scholar] [CrossRef] [PubMed]
- Kwack, M.H.; Kang, B.M.; Kim, M.K.; Kim, J.C.; Sung, Y.K. Minoxidil activates beta-catenin pathway in human dermal papilla cells: A possible explanation for its anagen prolongation effect. J. Dermatol. Sci. 2011, 62, 154–159. [Google Scholar] [CrossRef] [PubMed]
- Bak, S.-S.; Sung, Y.; Kim, S.-K. 7-Phloroeckol promotes hair growth on human follicles in vitro. Naunyn-Schmiedeberg’s Arch. Pharmacol. 2014, 387, 789–793. [Google Scholar] [CrossRef] [PubMed]
- Olaizola, M. Commercial development of microalgal biotechnology: From the test tube to the marketplace. Biomol. Eng. 2003, 20, 459–466. [Google Scholar] [CrossRef]
- Huang, C.C.; Chen, Y.F.; Wang, C.C.R. Effects of micronization on the physicochemical properties of peels of three root and tuber crops. J. Sci. Food Agric. 2010, 90, 759–763. [Google Scholar] [CrossRef] [PubMed]
- Dyminiska, L.; Szatkowski, M.; Wróbel-Kwiatkowska, M.; Kurzawa, A.; Syska, W.; Ggot, A.; Zawadzki, M.; Ptak, M.; Maczka, M.; Hanuza, J.; et al. Improved properties of micronized genetically modified flax fibers. J. Biotechnol. 2012, 164, 292–299. [Google Scholar] [CrossRef] [PubMed]
- Herrero, M.; Mendiola, J.A.; Cifuentes, A.; Ibáñe, E. Supercritical fluid extraction: Recent advances and applications. J. Chromatogr. A 2010, 1217, 2495–2511. [Google Scholar] [CrossRef] [PubMed]
- Wang, T.; Jónsdóttir, R.; Kristinsson, H.G.; Hreggvidsson, G.O.; Jónsson, J.Ó.; Thorkelsson, G.; Ólafsdóttir, G. Enzyme-enhanced extraction of antioxidant ingredients from red algae Palmaria palmata. LWT Food. Sci. Technol. 2010, 43, 1387–1393. [Google Scholar] [CrossRef]
- Kim, Y.-H.; Park, S.; Kim, M.H.; Choi, Y.-K.; Yang, Y.-H.; Kim, H.J.; Kim, H.; Songd, K.-G.; Lee, S.H. Ultrasound-assisted extraction of lipids from Chlorella vulgaris using [Bmim][MeSO4]. Biomass Bioenergy 2013, 56, 99–103. [Google Scholar] [CrossRef]
- Rodrigues, D.; Sousa, S.; Silva, A.; Amorim, M.; Pereira, L.; Rocha-Santos, T.A.; Gomes, A.M.; Duarte, A.C.; Freitas, A.C. Impact of enzyme and ultrasound assisted extraction methods on biological properties of red, brown and green seaweeds from the Central West Coast of Portugal. J. Agric. Food. Chem. 2015, 63, 3177–3188. [Google Scholar] [CrossRef] [PubMed]
- Azmir, J.; Zaidul, I.S.M.; Rahman, M.M.; Sharif, K.M.; Mohamed, A.; Sahena, F.; Jahurul, M.H.A.; Ghafoor, K.; Norulaini, N.A.N.; Omar, A.K.M. Techniques for extraction of bioactive compounds from plant materials: A review. J. Food Eng. 2013, 117, 426–436. [Google Scholar] [CrossRef]
- Breithaupt, D.E. Simultaneous HPLC determination of carotenoids used as food coloring additives: Applicability of accelerated solvent extraction. Food Chem. 2004, 86, 449–456. [Google Scholar] [CrossRef]
- Chen, K.-T.; Cheng, C.-H.; Wu, Y.-H.; Lu, Y.-C.; Lin, Y.-H.; Lee, H.-T. Continuous lipid extraction of microalgae using high-pressure carbon. Bioresour. Technol. 2013, 146, 23–26. [Google Scholar] [CrossRef] [PubMed]
- Esthetic World. Termalismo y Estética II, 2008. Available online: https://www.balneariosurbanos.es/termalismo-y-estetica-ii/ (accessed on 20 October 2018).
- Pereira, L. (Ed.) Algal Biofuels, 1st ed.; Science Publishers’ (SP), An Imprint of CRC Press/Taylor & Francis Group: Boca Raton, FL, USA, 2017; p. 232. ISBN 9781498752312. [Google Scholar]
© 2018 by the author. Licensee MDPI, Basel, Switzerland. This article is an open access article distributed under the terms and conditions of the Creative Commons Attribution (CC BY) license (http://creativecommons.org/licenses/by/4.0/).








