Potential of Cissampelos pareira L. Pectin as a Bioactive Compound in Moisturizing and Anti-Aging Applications
Abstract
1. Introduction
2. Materials and Methods
2.1. Chemical Materials
2.2. Plant Material
2.3. PCP Preparation
2.4. Chemical Characterization of PCP
2.4.1. FT-IR Spectroscopy
2.4.2. Methoxy Content (%), Degree of Esterification (%), and Galacturonic Acid (%)
2.5. Physicochemical Analysis of PCP
2.5.1. Physical Appearance, pH, and Viscosity
2.5.2. Total Polysaccharide Content
2.5.3. Solubility and Swelling Capacity
2.5.4. In Vitro Hydration and Oil Absorption Capacity
2.6. Antioxidant Activity by 2,2-Diphenyl-1-Picrylhydrazyl (DPPH) Assay
2.7. Cell Culture
2.7.1. Cytotoxicity Assay
2.7.2. Cellular Antioxidant Activity
2.8. Stability Test in Accelerated Conditions
2.8.1. Stability of Pectin
2.8.2. Stability of Serum Products
Formulation of Serum Products
Centrifugation Test
Heating-Cooling Cycle
2.9. Clinical Evaluation in Volunteers
2.9.1. Ethical Conduct
2.9.2. Volunteer Recruitment
2.9.3. Safety Test
2.9.4. Evaluation of Moisturizing and Anti-Skin Aging Efficacy
2.10. Statistical Analysis
3. Results and Discussion
3.1. Preparation of Pectin C. pareira (PCP) Extract
3.2. Chemical Characterization of PCP
3.2.1. FT-IR Spectroscopy
3.2.2. Methoxy Content (%), Degree of Esterification (%), and Galacturonic Acid (%)
3.3. Physicochemical Properties of PCP
3.3.1. Physical Appearance, pH, and Viscosity
3.3.2. Total Polysaccharide Content
3.3.3. Solubility and Swelling Capacity
3.3.4. In Vitro Hydration and Oil Absorption Capacity
3.4. Antioxidant Activity
3.5. Cell Culture
3.5.1. Cytotoxicity Assay
3.5.2. Cellular Antioxidant Activity
3.6. Stability Test by Accelerated Condition
3.6.1. Stability of PCP
3.6.2. Stability of Serum Products
3.7. Clinical Evaluation in Volunteers
3.7.1. Skin Safety
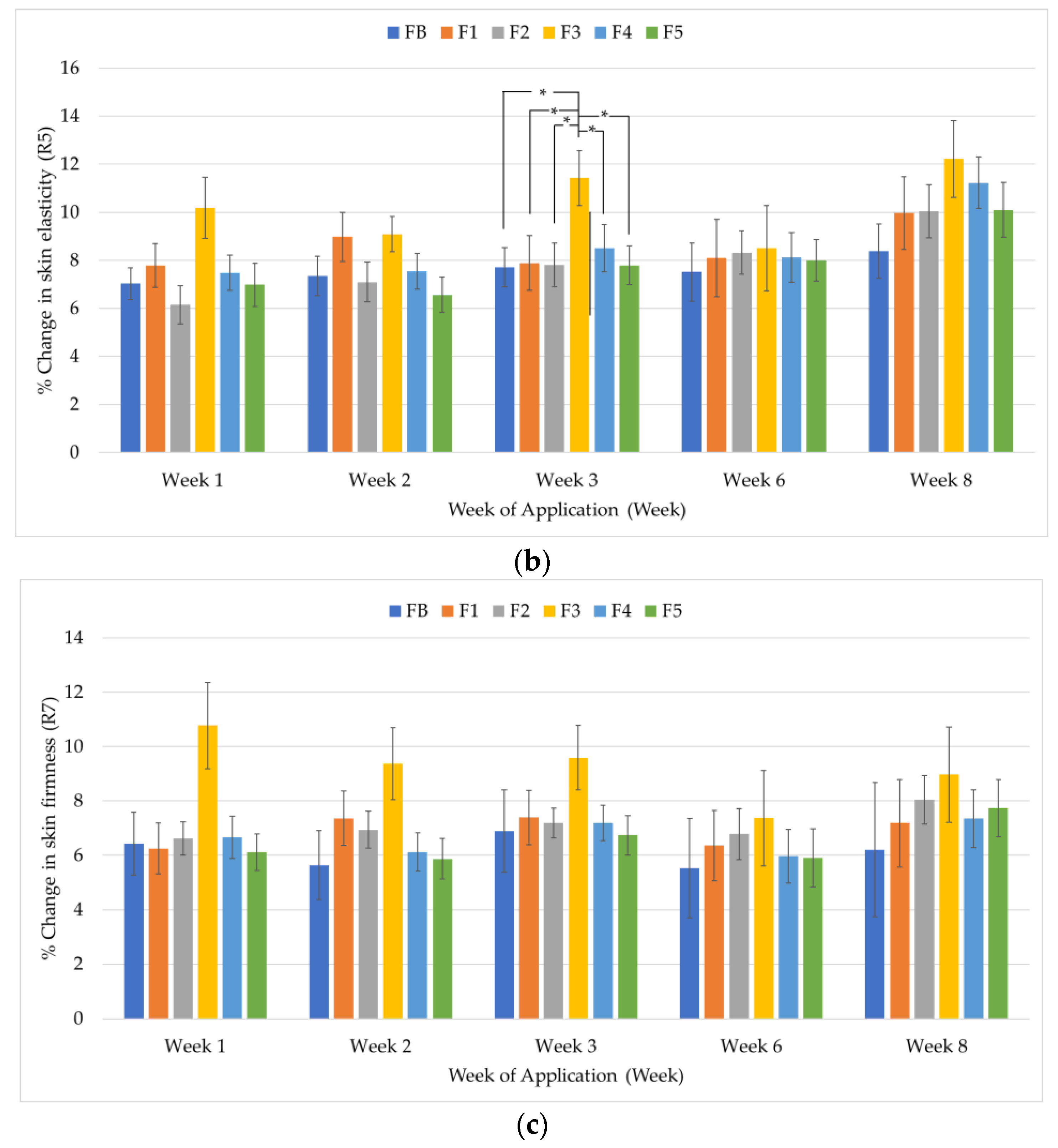
3.7.2. Evaluation of Moisturizing and Anti-Skin Aging Efficacy
4. Conclusions
Author Contributions
Funding
Institutional Review Board Statement
Informed Consent Statement
Data Availability Statement
Acknowledgments
Conflicts of Interest
References
- Dini, I.; Laneri, S. The New Challenge of Green Cosmetics: Natural Food Ingredients for Cosmetic Formulations. Molecules 2021, 26, 3921. [Google Scholar] [CrossRef] [PubMed]
- Mohd-Nasir, H.; Mohd-Setapar, S. Natural Ingredients in Cosmetics from Malaysian Plants: A Review. Sains Malays. 2018, 47, 951–959. [Google Scholar] [CrossRef]
- Mandalari, G.; Bennett, R.N.; Bisignano, G.; Saija, A.; Dugo, G.; Lo Curto, R.B.; Faulds, C.B.; Waldron, K.W. Characterization of Flavonoids and Pectins from Bergamot (Citrus bergamia Risso) Peel, a Major Byproduct of Essential Oil Extraction. J. Agric. Food Chem. 2006, 54, 197–203. [Google Scholar] [CrossRef] [PubMed]
- Sriamornsak, P. Chemistry of Pectin and Its Pharmaceutical Uses: A Review. Silpakorn Univ. Int. J. 2003, 3, 206–228. [Google Scholar]
- Lupi, F.R.; Gabriele, D.; Seta, L.; Baldino, N.; de Cindio, B.; Marino, R. Rheological investigation of pectin-based emulsion gels for pharmaceutical and cosmetic uses. Rheol. Acta 2015, 54, 41–52. [Google Scholar] [CrossRef]
- Nagarajan, K.; Chauhan, N.; Mittal, A.; Singh, V.; Bodla, R.B.; Tiwari, R.K. Phytochemical extraction, optimization and physico-chemical characterization of two bioactive isolates from the leaves and stem of Cissampelos pareira. Der Pharma Chem. 2011, 3, 327–337. [Google Scholar]
- Niyodham, C.; Chayamarit, K.; Sirirugsa, P.; Forman, L.L.; Larsen, K. Flora of Thailand; Forest Herbarium, Royal Forest Department: Bangkok, Thailand, 1991; Volume 5, p. 144. [Google Scholar]
- Bafna, A.; Mishra, S. Antioxidant and immunomodulatory activity of the alkaloidal fraction of Cissampelos pareira linn. Sci. Pharm. 2010, 78, 21–31. [Google Scholar] [CrossRef]
- Kumari, S.; Anmol; Bhatt, V.; Suresh, P.S.; Sharma, U. Cissampelos pareira L.: A review of its traditional uses, phytochemistry, and pharmacology. J. Ethnopharmacol. 2021, 274, 113850. [Google Scholar] [CrossRef] [PubMed]
- Reza, H.M.; Shohel, M.; Aziz, S.B.; Pinaz, F.I.; Uddin, M.F.; Al-Amin, M.; Khan, I.N.; Jain, P. Phytochemical and Pharmacological Investigation of Ethanol Extract of Cissampelos pareira. Indian J. Pharm. Sci. 2014, 76, 455–458. [Google Scholar] [PubMed]
- Devkota, H.P.; Miyazaki, S.; Yahara, S. Amentoflavone and Kaempferol Glycosides from the Aerial Parts of Cissampelos pareira. Nepal J. Biotechnol. 2017, 5, 1–4. [Google Scholar] [CrossRef]
- Singthong, J.; Cui, S.W.; Ningsanond, S.; Douglas Goff, H. Structural characterization, degree of esterification and some gelling properties of Krueo Ma Noy (Cissampelos pareira) pectin. Carbohydr. Polym. 2004, 58, 391–400. [Google Scholar] [CrossRef]
- Promsakha Na Sakon Nakhon, P.; Jangchud, A.; Jangchud, K. Process development for pectin production from Krueo Ma Noy leaves (Cissampelos pareira L.). In Proceedings of the 49th Kasetsart University Annual Conference: Agro-Industry, Bangkok, Thailand, 1–4 February 2011; pp. 499–507. [Google Scholar]
- Singthong, J.; Ningsanond, S.; Cui, S.W.; Douglas Goff, H. Extraction and physicochemical characterization of Krueo Ma Noy pectin. Food Hydrocoll. 2005, 19, 793–801. [Google Scholar] [CrossRef]
- Wisidsri, N.; Thungmungmee, S. Radical Scavenging and Anti-Inflammatory Properties of Pectin from Cissampelos pareira Linn. Walailak J. Sci. Technol. 2019, 16, 841–850. [Google Scholar] [CrossRef]
- Pawar, H.A.; Mello, P.M.D. Spectrophotometric estimation of total polysaccharides in Cassia tora gum. J. Appl. Pharm. Sci. 2011, 1, 93–95. [Google Scholar]
- Archana, G.; Sabina, K.; Babuskin, S.; Radhakrishnan, K.; Fayidh, M.A.; Babu, P.A.S.; Sivarajan, M.; Sukumar, M. Preparation and characterization of mucilage polysaccharide for biomedical applications. Carbohydr. Polym. 2013, 98, 89–94. [Google Scholar] [CrossRef] [PubMed]
- Kanlayavattanakul, M.; Lourith, N. Biopolysaccharides for Skin Hydrating Cosmetics. In Polysaccharides: Bioactivity and Biotechnology; Ramawat, K.G., Mérillon, J.-M., Eds.; Springer International Publishing: Cham, Switzerland, 2021; pp. 1–23. [Google Scholar]
- Chanpirom, S.; Saewan, N.; Sripisut, T. Alternative Utilization of Vegetable Crop: Pumpkin Polysaccharide Extract and Their Efficacy on Skin Hydration. Cosmetics 2022, 9, 113. [Google Scholar] [CrossRef]
- Myo, H.; Khat-udomkiri, N. Optimization of ultrasound-assisted extraction of bioactive compounds from coffee pulp using propylene glycol as a solvent and their antioxidant activities. Ultrason. Sonochemistry 2022, 89, 106127. [Google Scholar] [CrossRef] [PubMed]
- Khat-Udomkiri, N.; Gatnawa, G.; Boonlerd, N.; Myo, H. Valorization of Camellia Sinensis Flowers in Cosmetic and Pharmaceutical Applications: Optimization of Microwave-Assisted Glycerin Extraction. Waste Biomass Valorization 2024, 15, 323–335. [Google Scholar] [CrossRef]
- Navarro-Pérez, Y.M.; Cedeño-Linares, E.; Norman-Montenegro, O.; Ruz-Sanjuan, V.; Mondeja-Rivera, Y.; Hernández-Monzón, A.M.; González-Bedia, M.M. Prediction of the physical stability and quality of O/W cosmetic emulsions using full factorial design. J. Pharm. Pharmacogn. Res. 2021, 9, 98–112. [Google Scholar] [CrossRef] [PubMed]
- An, S.M.; Ham, H.; Choi, E.J.; Shin, M.K.; An, S.S.; Kim, H.O.; Koh, J.S. Primary irritation index and safety zone of cosmetics: Retrospective analysis of skin patch tests in 7440 Korean women during 12 years. Int. J. Cosmet. Sci. 2014, 36, 62–67. [Google Scholar] [CrossRef] [PubMed]
- Chen, D.; Yin, S.; Lu, X.; Fu, H.; Gao, H.; Zhang, S. Research on the Correlation Between Skin Elasticity Evaluation Parameters and Age. Cosmetics 2024, 11, 205. [Google Scholar] [CrossRef]
- Myung, K.; Parobek, A.P.; Godbey, J.A.; Bowling, A.J.; Pence, H.E. Interaction of Organic Solvents with the Epicuticular Wax Layer of Wheat Leaves. J. Agric. Food Chem. 2013, 61, 8737–8742. [Google Scholar] [CrossRef]
- Canizares, D.; Angers, P.; Ratti, C. Selective wax recovery from flax and wheat straw. Ind. Crops Prod. 2019, 141, 111700. [Google Scholar] [CrossRef]
- Yapo, B.M.; Wathelet, B.; Paquot, M. Comparison of alcohol precipitation and membrane filtration effects on sugar beet pulp pectin chemical features and surface properties. Food Hydrocoll. 2007, 21, 245–255. [Google Scholar] [CrossRef]
- Linn, K.S.; Kasemsiri, P.; Jetsrisuparb, K.; Iamamornphan, W.; Chindaprasirt, P.; Knijnenburg, J.T.N. Development of Biodegradable Films with Antioxidant Activity Using Pectin Extracted from Cissampelos pareira Leaves. J. Polym. Environ. 2022, 30, 2087–2098. [Google Scholar] [CrossRef]
- Kamnev, A.A.; Colina, M.; Rodriguez, J.; Ptitchkina, N.M.; Ignatov, V.V. Comparative spectroscopic characterization of different pectins and their sources. Food Hydrocoll. 1998, 12, 263–271. [Google Scholar] [CrossRef]
- Černá, M.; Barros, A.S.; Nunes, A.; Rocha, S.M.; Delgadillo, I.; Čopíková, J.; Coimbra, M.A. Use of FT-IR spectroscopy as a tool for the analysis of polysaccharide food additives. Carbohydr. Polym. 2003, 51, 383–389. [Google Scholar] [CrossRef]
- Chatjigakis, A.K.; Pappas, C.; Proxenia, N.; Kalantzi, O.; Rodis, P.; Polissiou, M. FT-IR spectroscopic determination of the degree of esterification of cell wall pectins from stored peaches and correlation to textural changes. Carbohydr. Polym. 1998, 37, 395–408. [Google Scholar] [CrossRef]
- Yadav, S.; Bankar, N.; Waghmare, N.; Shete, D. Extraction and characterizations of pectin from sweet lime. In Proceedings of the 4th International Conference on Multidisciplinary Research and Practices, Ahmedabad, India, 22 December 2017; pp. 58–63. [Google Scholar]
- Willats, W.G.T.; Knox, J.P.; Mikkelsen, J.D. Pectin: New insights into an old polymer are starting to gel. Trends Food Sci. Technol. 2006, 17, 97–104. [Google Scholar] [CrossRef]
- Dedduang, O.-A. Comparison of Extracted Pectin from Three Kinds of Guava (Psidium guajava L.) to Standard Pectin; Srinakharinwirot University: Bangkok, Thailand, 2010. [Google Scholar]
- Nasrollahzadeh, M.; Sajjadi, M.; Nezafat, Z.; Shafiei, N. Chapter 3—Polysaccharide biopolymer chemistry. In Biopolymer-Based Metal Nanoparticle Chemistry for Sustainable Applications; Nasrollahzadeh, M., Ed.; Elsevier: Amsterdam, The Netherlands, 2021; pp. 45–105. [Google Scholar]
- Nasirideen, S.; Kaş, H.S.; Oner, F.; Alpar, R.; Hincal, A.A. Naproxen incorporated lipid emulsions. I. Formulation and stability studies. J. Clin. Pharm. Ther. 1998, 23, 57–65. [Google Scholar] [CrossRef]
- Dubois, M.; Gilles, K.; Hamilton, J.K.; Rebers, P.A.; Smith, F. A Colorimetric Method for the Determination of Sugars. Nature 1951, 168, 167. [Google Scholar] [CrossRef] [PubMed]
- Sripisut, T.; Teja, A.; Pengsuwan, N.; Tree-udom, T.; Chanpirom, S. Pectin-like polysaccharide extracted from Cucumis melo pulp: Physicochemical, antioxidant, and skin hydration efficacy. Nat. Prod. Res. 2024, 1–9. [Google Scholar] [CrossRef]
- Tantapakul, C.; Khat-udomkiri, N.; Sitthichai, P.; Chomsak, A.; Thananusak, N.; Phukhatmuen, P.; Vinardell, M.P.; Sripisut, T. Exploring the physicochemical properties of polysaccharides extracted from cocoa pod husk waste and their efficacy in skin hydration. Ind. Crops Prod. 2024, 222, 119940. [Google Scholar] [CrossRef]
- Lourith, N.; Kanlayavattanakul, M. Ceylon spinach: A promising crop for skin hydrating products. Ind. Crops Prod. 2017, 105, 24–28. [Google Scholar] [CrossRef]
- Dambuza, A.; Rungqu, P.; Oyedeji, A.O.; Miya, G.M.; Kuria, S.K.; Hosu, S.Y.; Oyedeji, O.O. Extraction, Characterization, and Antioxidant Activity of Pectin from Lemon Peels. Molecules 2024, 29, 3878. [Google Scholar] [CrossRef] [PubMed]
- Yan, S.; Liu, X.; Wang, Y.; Yang, X.; Bai, L.; Sun, L.; Zhou, Y.; Cui, S. Structural characterization and antioxidant activity of pectic polysaccharides from Veronica peregrina L. Front. Nutr. 2023, 10, 1217862. [Google Scholar] [CrossRef] [PubMed]
- Wang, J.; Zhou, Y.; Yu, Y.; Wang, Y.; Xue, D.; Zhou, Y.; Li, X. A ginseng-derived rhamnogalacturonan I (RG-I) pectin promotes longevity via TOR signalling in Caenorhabditis elegans. Carbohydr. Polym. 2023, 312, 120818. [Google Scholar] [CrossRef] [PubMed]
- Allwyn, S.R.A.; Rubila, S.; Jayabalan, R.; Ranganathan, T.V. A Review on Pectin: Chemistry due to General Properties of Pectin and its Pharmaceutical Uses. Open Access Sci. Rep. 2012, 1, 550–553. [Google Scholar] [CrossRef]
- Wichayapreechar, P.; Prasansuklab, A.; Charoongchit, P.; Charoenjittichai, R. The Potential of Tecoma stans (Linn.) Flower Extract as a Natural Antioxidant and Anti-Aging Agent for Skin Care Products. Cosmetics 2024, 11, 214. [Google Scholar] [CrossRef]
- Wathoni, N.; Yuan Shan, C.; Yi Shan, W.; Rostinawati, T.; Indradi, R.B.; Pratiwi, R.; Muchtaridi, M. Characterization and antioxidant activity of pectin from Indonesian mangosteen (Garcinia mangostana L.) rind. Heliyon 2019, 5, e02299. [Google Scholar] [CrossRef]
- Santos, D.K.D.d.N.; Barros, B.R.d.S.; Filho, I.J.d.C.; Júnior, N.d.S.B.; da Silva, P.R.; Nascimento, P.H.d.B.; Lima, M.d.C.A.d.; Napoleão, T.H.; de Melo, C.M.L. Pectin-like polysaccharide extracted from the leaves of Conocarpus erectus Linnaeus promotes antioxidant, immunomodulatory and prebiotic effects. Bioact. Carbohydr. Diet. Fibre 2021, 26, 100263. [Google Scholar] [CrossRef]
- Wikiera, A.; Grabacka, M.; Byczyński, Ł.; Stodolak, B.; Mika, M. Enzymatically Extracted Apple Pectin Possesses Antioxidant and Antitumor Activity. Molecules 2021, 26, 1434. [Google Scholar] [CrossRef] [PubMed]
- Wong, T.W.; Colombo, G.; Sonvico, F. Pectin matrix as oral drug delivery vehicle for colon cancer treatment. AAPS PharmSciTech 2011, 12, 201–214. [Google Scholar] [CrossRef] [PubMed]
- Maxwell, E.G.; Belshaw, N.J.; Waldron, K.W.; Morris, V.J. Pectin—An emerging new bioactive food polysaccharide. Trends Food Sci. Technol. 2012, 24, 64–73. [Google Scholar] [CrossRef]
- Kamaruzaman, N.; Yusop, S.M. Determination of stability of cosmetic formulations incorporated with water-soluble elastin isolated from poultry. J. King Saud Univ.-Sci. 2021, 33, 101519. [Google Scholar] [CrossRef]
- Lee, S.H.; Chung, J.; Ahn, S.K.; Kang, J.S.; Kwon, O.K. Comparative Measurement of Skin Surface Hydration Using a Hydrometer and Corneometer. Korean J. Dermatol. 1994, 32, 599–608. [Google Scholar]
- Berardesca, E. EEMCO guidance for the assessment of stratum corneum hydration: Electrical methods. Ski. Res. Technol. 1997, 3, 126–132. [Google Scholar] [CrossRef] [PubMed]
- Alexander, H.; Brown, S.; Danby, S.; Flohr, C. Research Techniques Made Simple: Transepidermal Water Loss Measurement as a Research Tool. J. Investig. Dermatol. 2018, 138, 2295–2300.e2291. [Google Scholar] [CrossRef]
- Zhang, T.; Guo, Q.; Xin, Y.; Liu, Y. Comprehensive review in moisture retention mechanism of polysaccharides from algae, plants, bacteria and fungus. Arab. J. Chem. 2022, 15, 104163. [Google Scholar] [CrossRef]
- Junior, D.C.F.; LR, G.; PMBGM, C. Immediate and long-term effects of polysaccharides-based formulations on human skin. Braz. J. Pharm. Sci. 2021, 48, 547–555. [Google Scholar] [CrossRef]
- Gilchrest, B.A. Skin aging and photoaging: An overview. J. Am. Acad. Dermatol. 1989, 21, 610–613. [Google Scholar] [CrossRef] [PubMed]
- Darlenski, R.; Callaghan, T.; Fluhr, J.W. Anti-aging and Anti-wrinkle Products. In Practical Aspects of Cosmetic Testing: How to Set up a Scientific Study in Skin Physiology; Fluhr, J.W., Ed.; Springer International Publishing: Cham, Switzerland, 2020; pp. 147–158. [Google Scholar]
- Ahn, S.; Kim, S.; Lee, H.; Moon, S.; Chang, I. Correlation between a Cutometer and quantitative evaluation using Moire topography in age-related skin elasticity. Ski. Res. Technol. 2007, 13, 280–284. [Google Scholar] [CrossRef] [PubMed]
- Choi, J.W.; Kwon, S.H.; Huh, C.H.; Park, K.C.; Youn, S.W. The influences of skin visco-elasticity, hydration level and aging on the formation of wrinkles: A comprehensive and objective approach. Ski. Res. Technol. 2013, 19, e349–e355. [Google Scholar] [CrossRef]
- Udompataikul, M.; Sripiroj, P.; Palungwachira, P. An oral nutraceutical containing antioxidants, minerals and glycosaminoglycans improves skin roughness and fine wrinkles. Int. J. Cosmet. Sci. 2009, 31, 427–435. [Google Scholar] [CrossRef]
- Waqas, M.K.; Khan, B.A.; Akhtar, N.; Chowdhry, F.; Khan, H.; Bakhsh, S.; Khan, S.; Rasul, A. Fabrication of Tamarindus indica seeds extract loaded-cream for photo-aged skin: Visioscan(®) studies. Postep. Dermatol. Alergol 2017, 34, 339–345. [Google Scholar] [CrossRef] [PubMed]












| Ingredients | Functions | Formulations (% w/w) | |||||
|---|---|---|---|---|---|---|---|
| FB | F1 | F2 | F3 | F4 | F5 | ||
| Distilled water | Diluent | 79.0 | 78.8 | 78.5 | 78.0 | 78.5 | 78.5 |
| Glycerol | Humectant | 10.0 | 10.0 | 10.0 | 10.0 | 10.0 | 10.0 |
| Butylene glycol | Humectant | 10.0 | 10.0 | 10.0 | 10.0 | 10.0 | 10.0 |
| Phenoxyethanol (and) Caprylyl Glycol (and) Sorbic Acid | Preservative | 0.5 | 0.5 | 0.5 | 0.5 | 0.5 | 0.5 |
| Polyacrylate Crosspolymer-11 | Thickener agent | 0.5 | 0.5 | 0.5 | 0.5 | 0.5 | 0.5 |
| Pectin from apple | Moisturizing Agents | - | - | - | - | 0.5 | - |
| Sodium Hyaluronate | Moisturizing Agents | - | - | - | - | - | 0.5 |
| C. pareira extract | Moisturizing Agents | - | 0.2 | 0.5 | 1.0 | - | - |
| Extraction Conditions | Result | ||||
|---|---|---|---|---|---|
| Temperature (°C) | Time (min) | pH | Methoxy (%) | Degree of Esterification (%) | Galacturonic Acid (%) |
| 75 | 15 | 2.04 ± 0.00 | 1.71 ± 0.16 a | 11.92 ± 4.13 a | 10.68 ± 0.97 a |
| 75 | 30 | 2.03 ± 0.00 | 2.48 ± 0.16 b | 19.76 ± 5.36 b | 15.53 ± 0.97 b |
| 75 | 45 | 2.03 ± 0.00 | 6.67 ± 0.27 c | 29.42 ± 1.47 c | 41.74 ± 1.68 c |
| Property | Value |
|---|---|
| pH (at 1% w/v PCP) | 3.74 ± 0.04 |
| Viscosity (at 1% w/v PCP) | 614.00 ± 3.53 |
| Total polysaccharide content (µg glucose/µg extract) | 20.44 ± 0.16 |
| Solubility in water (%) | 99.93 ± 0.01 |
| Swelling capacity in water (ml/g) | 0.40 ± 0.00 |
| Water absorption (ml/mg) | 39.79 ± 0.90 |
| Oil absorption (ml/mg) | N/A |
| Antioxidant activity (IC50, mg/mL) | 0.72 ± 0.02 |
| Parameters | Cycles | ||
|---|---|---|---|
| T0 | T3 | T6 | |
| pH | 3.74 ± 0.04 a | 3.82 ± 0.03 a | 3.92 ± 0.06 b |
| Viscosity (mPa.s) | 614.00 ± 3.53 a | 601.53 ± 1.85 b | 598.13 ± 0.75 b |
| Total polysaccharide content (µg glucose/µg extract) | 20.44 ± 0.16 a | 20.24 ± 0.12 a | 20.19 ± 0.49 a |
| IC50 of DPPH assay (mg/mL) | 0.72 ± 0.02 a | 1.34 ± 0.08 b | 1.37 ± 0.08 b |
| Formulations | Cycles | |||||
|---|---|---|---|---|---|---|
| T0 | T3 | T6 | ||||
| pH | Viscosity (mPa.s) | pH | Viscosity (mPa.s) | pH | Viscosity (mPa.s) | |
| FB | 5.25 ± 0.04 | 766.50 ± 2.61 | 5.32 ± 0.02 | 765.13 ± 3.81 | 5.32 ± 0.03 | 761.37 ± 1.02 |
| F1 | 5.15 ± 0.03 | 744.43 ± 1.20 | 5.09 ± 0.04 | 741.70 ± 1.73 | 5.11 ± 0.03 | 739.60 ± 1.45 |
| F2 | 4.99 ± 0.03 | 817.73 ± 1.79 | 5.05 ± 0.04 | 819.57 ± 1.32 | 5.01 ± 0.03 | 816.53 ± 0.57 |
| F3 | 4.70 ± 0.02 | 934.83 ± 1.36 | 4.66 ± 0.04 | 938.77 ± 2.35 | 4.67 ± 0.06 | 933.50 ± 1.15 |
| F4 | 5.59 ± 0.03 | 798.50 ± 0.85 | 5.62 ± 0.02 | 797.70 ± 2.43 | 5.65 ± 0.02 | 791.20 ± 0.82 |
| F5 | 5.15 ± 0.04 | 870.47 ± 0.60 | 5.21 ± 0.02 | 869.13 ± 3.68 | 5.26 ± 0.03 | 864.20 ± 1.25 |
Disclaimer/Publisher’s Note: The statements, opinions and data contained in all publications are solely those of the individual author(s) and contributor(s) and not of MDPI and/or the editor(s). MDPI and/or the editor(s) disclaim responsibility for any injury to people or property resulting from any ideas, methods, instructions or products referred to in the content. |
© 2025 by the authors. Licensee MDPI, Basel, Switzerland. This article is an open access article distributed under the terms and conditions of the Creative Commons Attribution (CC BY) license (https://creativecommons.org/licenses/by/4.0/).
Share and Cite
Chanpirom, S.; Khat-udomkiri, N.; Tree-Udom, T.; Ditthawutthikul, N.; Saewan, N.; Vinardell, M.P.; Sripisut, T. Potential of Cissampelos pareira L. Pectin as a Bioactive Compound in Moisturizing and Anti-Aging Applications. Cosmetics 2025, 12, 5. https://doi.org/10.3390/cosmetics12010005
Chanpirom S, Khat-udomkiri N, Tree-Udom T, Ditthawutthikul N, Saewan N, Vinardell MP, Sripisut T. Potential of Cissampelos pareira L. Pectin as a Bioactive Compound in Moisturizing and Anti-Aging Applications. Cosmetics. 2025; 12(1):5. https://doi.org/10.3390/cosmetics12010005
Chicago/Turabian StyleChanpirom, Setinee, Nuntawat Khat-udomkiri, Thapakorn Tree-Udom, Naphatsorn Ditthawutthikul, Nisakorn Saewan, Maria Pilar Vinardell, and Tawanun Sripisut. 2025. "Potential of Cissampelos pareira L. Pectin as a Bioactive Compound in Moisturizing and Anti-Aging Applications" Cosmetics 12, no. 1: 5. https://doi.org/10.3390/cosmetics12010005
APA StyleChanpirom, S., Khat-udomkiri, N., Tree-Udom, T., Ditthawutthikul, N., Saewan, N., Vinardell, M. P., & Sripisut, T. (2025). Potential of Cissampelos pareira L. Pectin as a Bioactive Compound in Moisturizing and Anti-Aging Applications. Cosmetics, 12(1), 5. https://doi.org/10.3390/cosmetics12010005

