Abstract
Olive mills produce pomace as a by-product of olive oil production process, which has a negative environmental impact. In this study, the dry extract of pomace (OG2), rich in polyphenols, was used for cosmetic purposes. The polyphenolic extract was encapsulated together with sh-oligopeptide-1 using cellulose fibres by spray-drying technology. Cytotoxicity and antistress cell studies were carried out using a modified cell line (THP1). Based on the results, a single, randomised, self-controlled study was conducted to evaluate the cream in thirty healthy volunteers. Statistical analysis was performed using a paired samples t-test. Skin moisture increased in the treated forearm (p-value < 0.000). There was an increase in elasticity in the treated forearm (p-value 0.042). TEWL decreased after one week of cream application (p-value 0.099). The results of this clinical study showed that the cream improved barrier function after one week of application on healthy skin.
1. Introduction
The circular economy is a model of production and consumption in which resources are used in the most efficient way possible, involving the recycling, reusing, repairing, regenerating and recovering resources rather than discarding them. In the agrifood industry, virgin olive oil production has great potential to move toward a circular economy as it is constantly growing and has tripled in volume over the last 60 years [1].
Pomace is the main by-product of olives for the extraction of virgin oil in most Spanish olive mills. It has a high environmental impact as it is polluting, phytotoxic, and antimicrobial [2,3]. More than 80% of the olives entering the mill are converted into this pomace, so recycling it is very important to adapt olive oil production to a circular economy model.
Despite the progress made in the use of residual olive biomass and the significant reduction in the environmental impact of the sector, there is still much room for improvement in the use of all the by-products and waste generated from olive cultivation to oil production.
We used the pomace fractions rich in bioactive compounds such as polyphenols with potential for cosmetic use, such as dried fatty olive pomace extract (polyphenolic extract OG2), obtained from dynamic extraction processes. These polyphenols, derived from olive oil production, are a group of substances of natural origin that are highly effective antioxidants because they are hydrogen donors, which are accepted by reactive radicals, reducing or eliminating their reactive capacity [4], and because of their ability to protect against lipid peroxidation. They are very sensitive to certain physical and chemical conditions such as light, heat, and oxidation. They require protective mechanisms that can maintain their chemical integrity and be released at the appropriate site [5].
Sh-oligopeptide-1 is a single-chain recombinant human peptide; its starting gene was synthesised to be identical to the human gene encoding the protein epidermal growth factor (EGF). It contains 53 amino acids with disulfide bonds. This protein is involved in maintaining tissue homeostasis by regulating cell survival, proliferation, migration, and differentiation. This molecule is therefore important for maintaining proper skin barrier function and promoting skin regeneration [6,7].
Sodium hyaluronate is the salt of hyaluronic acid (HA), a molecule with moisturising and viscoelastic properties that reduces skin atrophy and improves the skin barrier. HA is the most abundant natural glycosaminoglycan in skin tissues and a major component of the extracellular matrix. In addition, hyaluronidase enzymes can cleave this polymer into lower-molecular-weight fragments that have signalling properties and can stimulate cell turnover, angiogenesis, and tissue remodelling, promoting re-epithelialisation and tissue regeneration [8,9].
Aloe vera is a plant whose gel has important properties for skin. It has antibacterial, antifungal, anti-inflammatory, analgesic, anti-irritant, antiviral, healing, and angiogenesis-promoting properties. Topically applied, it has also been shown to increase skin suppleness and reduce skin fragility. Several studies have shown the beneficial effects of this plant on sensitive skin and skin diseases such as melasma, dry skin, and psoriasis [10,11].
Glycerin is a polyhydric alcohol that occurs naturally in the body in combination with other molecules. It is used in cosmetic products for its protective, soothing, and moisturising properties [12,13].
Calendula officinalis is a plant that contains several molecules such as flavonoids, triterpenoids, glycosides, saponins, carotenoids, essential oils, amino acids, steroids, sterols, and quinines. Thanks to these chemical compounds, Calendula has several interesting properties: anti-inflammatory, antibacterial, antifungal, antiviral, healing, and antioxidant activities. In addition, this plant has demonstrated its benefits in several clinical studies [10,14].
The application of bioactive compounds such as polyphenols or EGF in formulations is limited due to some specific characteristics: their rapid release, low solubility, poor bioavailability in the case of polyphenols, and rapid deterioration and loss of activity in the case of EGF. Therefore, to preserve the quality of bioactive compounds or to improve their applicability in food, nutraceutical, or cosmetic formulations, encapsulation is considered as a viable alternative [7,15,16].
Encapsulation is a technology that can protect active compounds from oxidation processes, improve their stability, and enhance their health benefits [17]. The selection of an encapsulant agent is one of the key issues in an encapsulation process. Although there are numerous materials that can be used as encapsulants, from a health and safety perspective, encapsulation materials must be approved as GRAS (Generally Recognised As Safe) for use in the food, cosmetic, and related industries. Polysaccharides, proteins, and lipids are some of the ingredients that are used in the encapsulation of active compounds.
There is a wealth of scientific literature on the microencapsulation of phenolic compounds using various techniques with polysaccharides as coating materials [18,19,20,21]. The group of polysaccharides includes celluloses, which are the most abundant polysaccharides in nature. The production of modified celluloses by chemical, physical, or biochemical processes improves their functionality and can be considered as suitable encapsulation materials [15]. Recently, two forms of cellulose have gained increased interest: cellulose nanocrystals and nanofibrillated cellulose, which refers to cellulose nanofibres, nanocellulose, or micro- and nanofibrillated cellulose. Fibrillated cellulose has excellent properties for the immobilisation of drug nanoparticles in suspension, the stabilisation of emulsions, and sustained drug release [22]. In the cosmetic industry, cellulose nanofibres are expected to be used in lotions, soaps, hair treatments, and anti-hair-loss and colour-enhancing agents [23].
The skin is a barrier against external agents, allergens, and pathogens. Disruption of the skin barrier can lead to pathological conditions. Maintaining its structural stability, improving its hydration, and preventing the inflammation that these external agents can cause are essential for its proper functioning [24].
In view of the above, microparticles of an extract rich in polyphenols obtained from pomace were developed together with sh-oligopeptide-1 using cellulose fibres as a coating material. The aim was to prolong the useful life of the bioactive compounds by reducing oxidation and protecting them from external agents, as well as reducing the organoleptic effect. These microparticles were incorporated into a cosmetic formulation for topical use to improve the epidermal barrier functioning. The proposed cream also involved a patented method of protein stabilisation and a combination of active ingredients, OG2−EGF microparticles, including polyphenols and sh-oligopeptide-1, sodium hyaluronate, glycerin, Calendula officinalis flower extract, Aloe barbadensis leaf juice, and sh-oligopeptide-1, which may have a beneficial effect on epidermal barrier functioning.
In addition to evaluating the efficacy of the polyphenolic extracts alone, this study investigated the safety and efficacy of the cream as a skin barrier enhancer after topical application in healthy adult volunteers.
2. Materials and Methods
2.1. Microencapsulation
2.1.1. Preparation of Microparticles
Microparticles were coated with two different materials, HiCap™ 100 heat-resistant starch, from Ingredion Inc, and Exilva FM 05-V cellulose fibres, from Borregaard AS. sh-oligopeptide-1 as the core in the patented solution (US Patent No. US 11,147,882 B2 by Inves Biofarm) and polyphenolic extract OG2 were also included.
A Sartorius 153 (VWR International, LLC.West Chester, Pensilvania) granular balance, HT-120DX mechanical stirrer (Witeg Labortechnik Gmbh, Wertheim Germany), and C-MAG MS magnetic stirrer (IKA Werke GmbH & Co. KG, Staufen, Germany) were used to prepare the microparticles and the dilutions used throughout this work and for the release tests of the microparticles. Laboratory-scale microencapsulation trials based on spray drying were carried out using a Büchi B-290 spray dryer (Büchi, Neuchâtel, Switzerland).
After obtaining the dilution with a final concentration of 10% of cellulose fibres, the microparticles were prepared and then transferred to the spray dryer. The preparation method for obtaining microparticles was as follows: sh-oligopeptide-1 was added to the HiCap starch solution and homogenised with an Ultraturrax (IKA, Werke GmbH & Co. KG, Staufen, Germany) at 10,000 rpm for 4 min. The solution obtained was mixed with the previously prepared cellulose fibres under moderate stirring using a magnetic stirrer at 500–1000 rpm. Finally, the polyphenols were added to the previous mixture and stirred with a magnetic stirrer at moderate agitation for 15 min. Once a homogeneous mixture was obtained, the solution was transferred to the spray dryer.
2.1.2. Microparticle Characterisation
The microparticles were analysed using a MOTIC OPTIC microscope (Labbox Labware SL, Barcelona, SpainThe quality of the samples obtained was assessed by scanning electron microscopy (SEM) to determine the morphology of the samples. Images were obtained using a HITACHI model S-4800 scanning electron microscope (Hitachi High-Technologies Corporation, Japan) with a field emission gun (FEG) with a resolution of 1.4 nm at 1 Kv. SEM is essentially a technique in which a beam of electrons is directed at a sample. This electron bombardment produces different signals, which, when detected by suitable detectors, provide information about the nature of the sample. The secondary electron signal provides an image of the surface morphology of the sample, while the backscattered electron signal provides a qualitative image of regions with different average atomic numbers.
The particle size distribution (PSD) was obtained using a Mastersizer 2000 (Malvern PanalyticalMalvern, England) from Malvern Instruments, which allowed the analysis of the particle size distribution of samples between 0.06 μm and 2 mm. It used two light sources, a helium-neon laser and a solid-state blue light. To know the average particle size of the samples obtained, the 50th percentile, d (0.5), which refers to the maximum particle diameter below which 50% of the volume of the measured samples is found, was considered. This parameter is also known as the median particle size by volume.
2.2. Biological Efficacy of Polyphenolic Extract OG2
To select concentrations that were biocompatible with the cell model of interest, a cytotoxicity test was performed. The use of a sample concentration that did not affect cell viability in the cell models used ensured that the effects observed were due to the action of the sample of interest and not to any cytotoxicity that could alter/mask the cell metabolism or metabolic pathway of interest.
The cytotoxicity of polyphenolic extract OG2 samples was determined with a dermal keratinocyte model (HEKa). The cells were incubated with different dilutions of the sample. After 24 h of incubation, cell viability was assessed with a fluorimetric colorimetric assay using alamarBlue® reagent (Invitrogen). Fluorescence was measured at λ excitation = 540 nm and λ emission = 590 nm using a Fluostar Optima plate spectrofluorimeter (BMG Labtechnologies, Offenburg, Germany).
A primary culture of dermal keratinocytes, predominantly cells of the epidermis, the most superficial layer of the skin (HEKa ATCC PCS-200-011), was used, and the cell culture was maintained using the medium recommended by the ATCC (American Type Culture Collection).
To assess the ‘anti-stress’capacity in relation to the antioxidant activity, the changes in the expression of the NF-κb factor were evaluated. This transcription factor is a central molecule in signalling pathways that causes cell damage (inflammation, oxidation, apoptosis, etc.). NF-κb plays an essential role in the transduction of the altered cellular state signal, so that when cell damage occurs, NF-κb is activated and transduces the signal, causing changes at the cellular and molecular levels. Thus, the inflammatory process can be reproduced by activating the transcription factor of interest, NF-κb, using the lipopolysaccharide (LPS) from E. coli to assess whether the presence of the compound reverses the activation of this pathway.
To perform this assay, THP1-XBlue-CD14 (invogen) cells were incubated with different concentrations of the samples of interest for 2 h, followed by the addition of an NF-κb activator, LPS (100 ng/mL), which induced cellular stress, and incubated for 24 h. After the incubation period, the NF-κb activity was measured. The absorbance was read at 655 nm using alamarBlue reagent, which contained the phosphorylated substrate that hydrolyses alkaline phosphatase. NF-κb activity is directly proportional to the alkaline phosphatase activity in terms of absorbance units measured, as alkaline phosphatase expression is controlled by the NF-κb promoter. The higher the NF-κb activity, the higher the absorbance. The more NF-κb is inhibited, the greater the desired antistress effect.
2.3. Formulation Design
OG2−EGF microparticles, which contained polyphenolic extract OG2 and sh-oligopeptide-1, sodium hyaluronate, glycerin, Calendula officinalis flower extract, Aloe barbadensis leaf juice, and sh-oligopeptide-1 were selected as active ingredients for the formulation. The concentration of each ingredient was determined based on bibliography or polyphenolic particle results. We also introduced a stable sh-oligopetide-1 using a patented solution (US Patent No. US 11,147,882 B2) to improve shelf-life and prevent degradation. Various formulations based on the described active ingredients were developed using different concentrations and excipients. sh-oligopeptide-1 was incorporated into the formulation in two different ways, encapsulated in the microparticles and as an active ingredient in a patented solution.
A Sartorius 153 (VWR International, LLC., Pennsylvania, USA) granular balance was used to determine the mass of the various reagents and ingredients used. An HT-120DX mechanical stirrer (Witeg, Labortechnik Gmbh, Wertheim, Germany) with a metal rod with fixed blades and a C-MAG MS magnetic stirrer (IKA Werke GmbH & Co. KG, Staufen, Germany) were used to prepare the microparticles.
For the physico-chemical analyses, a MOTIC OPTIC microscope (Labbox Labware SL, Barcelona, Spain) was used to evaluate aspects of the emulsion. The potentiometric determination of pH was carried out using an HI902 pH meter (Hanna Instruments S.L., Guipuzcoa, Spain). A Smart rotational viscometer (Fungilab S.A., Barcelona, Spain) was used to determine the viscosity of the formulation for rheological characterisation. A centrifuge model Z36HK (Maschinenfabrik Berthold Hermle AG, Baden-Württemberg, Germany) was used to promote phase separation or precipitation to anticipate possible instabilities and was used to centrifuge the cell suspension when necessary. A Precisterm thermostatic bath (J. P. Selecta S.A., Barcelona, Spain) was used to expose the formulation to high temperatures for short periods of time as part of the stability testing.
The formulation consisted of an emulsion composed of two phases, aqueous and oil. Its components are described in the Table 1.
Table 1.
Qualitative composition of the formula evaluated.
Once the emulsion was formed, the pH was measured and adjusted to between 4.50 and 5.50 using 3 M NaOH. Once the pH was adjusted, the organoleptic characteristics of the emulsion were evaluated, and stability studies were started on the selected samples. During the design and development phase of the topical repair cream in the laboratory, an organoleptic study was carried out, and the cream was applied to each of the samples. In particular, aroma, colour, texture, skin absorption, and homogeneity were evaluated.
2.4. Stability Studies
The stability of a product is the ability of the product to maintain its quality specifications as state on the container during its shelf-life when stored under the specified conditions. Stability studies are tests that provide information to establish the shelf life of a product in its original packaging under the specified storage conditions.
The stability of the cream was assessed according to the International Conference of Harmonization (ICH) guidelines Q1A [25] and ISO/TR 18811:2018 [26]. A study under accelerated conditions (40 ± 2 °C and 75 ± 5% relative humidity) for 6 months and a study under long-term conditions (25 ± 2 °C and 60 ± 5% relative humidity) for 60 months were performed to ensure the stability of the formulation.
The following characteristics were studied during this period:
- Physical and chemical characteristics:
- ◦
- Texture: pleasant, smooth, creamy, easy to apply;
- ◦
- Colour: light beige;
- ◦
- Odour: mild, characteristic;
- ◦
- Infrared spectrum: similar to the reference sample (the correlation coefficient, which measures the degree of similarity between two spectra, should be greater than 0.95);
- ◦
- pH: 5.5–6.5;
- ◦
- Relative density: 0.95–1.05;
- ◦
- Absorption: easy to absorb;
- ◦
- Emulsion distribution: microscopic test to observe homogeneous droplet distribution;
- ◦
- Emulsion stability: no phase separation in centrifugation test.
Infrared spectrum, pH, and relative density were determined according to the European Pharmacopoiea 10th Edition, Volume 1, 2019. Texture, absorption, colour, and odour were assessed subjectively. Emulsion droplet size and distribution were determined by observing a sample under an optical microscope at 10× and 40× magnification. Finally, emulsion stability was determined by heating the sample at 50 °C for 5 min followed by centrifugation at 3000 rpm.
- Microbiological characteristic according to ISO 17516:2014 [27]:
- ◦
- Total aerobic microbial count (TAMC): <1000 cfu/g or mL;
- ◦
- Total yeast and mold count (TYMC): <100 cfu/g or mLh;
- ◦
- Absence of pathogens: absence/g or mL:
- –
- Candida albicans;
- –
- Pseudomonas aeruginosa;
- –
- Staphylococcus aureus;
- –
- Escherichia coli.
2.4.1. Prestability Studies
The prestability study consists of carrying out certain tests in the early stages of product development using different laboratory formulations. These tests, which are of short duration, are intended to assist and guide the selection of formulations to be subjected to more extensive stability and microbiological testing at a later stage. The tests to be performed are selected by the company on the basis of its experience. The aim is to eliminate those formulations that may show a certain instability, thus saving costs in future more extensive tests.
This study was based on hot and cold cycles to subject the formulations to high-stress shocks and high-temperature shocks in order to detect changes in their analysed parameters such as viscosity, pH, appearance, odour, and colour. The centrifugation test was also highlighted. Between 10 g and 15 g of each sample was taken and heated to 50 °C for 5 min in a thermostatic bath. They were then centrifuged at 3000 rpm for 30 min according to the established protocol. This test made it possible to observe phase separation in emulsions or the appearance of precipitates.
2.4.2. Accelerated and Long-Term Stability Studies
Accelerated stability studies are studies designed to achieve an increase in the rate of the chemical or physical degradation of a product under extreme or exaggerated storage conditions in its original container in order to monitor degradation reactions and predict shelf-life under normal storage conditions.
Long-term stability studies are designed studies of the physical, chemical and microbiological properties under controlled storage conditions over the proposed shelf-life of the product according to the packaging proposed for marketing.
Climate zones are areas characterised by the distribution of climatic elements according to latitude; four zones are recognised in the world, distinguished by their prevailing annual climatic characteristics, based on the World Health Organization (WHO) classification.
2.5. Study Design
2.5.1. Study Description and Location
A single, randomised, self-controlled trial was conducted between June and September of 2021. This study was conducted at the Hospital Universitario Virgen de las Nieves in Granada (Spain).
As the product contained different active ingredients, and the efficacy could be due to this combination, it was very difficult to assess the effect of each active ingredient separately. We therefore decided to use a study design in which each participant acted as their own control [28,29,30], with one arm receiving the product and the other arm not receiving the product, so that the effect obtained would be due to the combination of active ingredients in the product. Thirty-two healthy subjects were enrolled and randomly divided into two groups, left and right arm.
2.5.2. Eligibility Criteria for Subjects
Healthy subjects aged 18 years or older, without any dermatological inflammatory or tumour diseases, were included in the study.
Subjects with dermatitis or other skin or allergic diseases were excluded from this study. Subjects were instructed not to apply any topical products to the studied areas during this study but were allowed to wash normally.
Subjects were recruited from the hospital where this study was conducted. Participants were patients with common conditions such as nevi, fibroids, or seborrhoeic keratosis.
2.5.3. Intervention
This study was carried out by applying a cream containing several active ingredients, such as OG2−EGF microparticles, containing polyphenols and sh-oligopeptide-1, sodium hyaluronate, glycerin, Calendula officinalis flower extract, Aloe barbadensis leaf juice, and sh-oligopeptide-1, supplied by the Instituto de Investigación Biotecnológica, Farmacéutica y Medicamentos Huérfanos, S.L. (Inves Biofarm).
Subjects were numbered consecutively according to the randomisation list. Half of the subjects applied the product to the left forearm, and the other half applied the product to the right forearm. All subjects were instructed to apply a pulse of the product to one forearm of the assigned group twice a day at home for one week until it was completely absorbed, while leaving the other forearm untreated.
A baseline measurement of the outcome measures was taken on both forearms at the first visit. After one week of treatment, on day eight, all parameters were measured again on both forearms, treated and untreated. The noninvasive measurements were performed according to specific guidelines and device instructions. In addition, a tolerability questionnaire was completed at the second visit to assess the volunteers’ acceptance of the cream.
2.5.4. Primary Outcome
The primary objective of this study was to evaluate the improvement in skin barrier function by measuring homeostasis parameters related to epidermal barrier function at baseline and after one week of treatment. All the parameters were measured as described below using different probes adapted to the MPA 580 multiprobe system, a skin analyser, and a Courage + Khazaka electronic GmbH, Cologne, Germany:
- The akin moisture index was measured in arbitrary units (AUs) using a CM 825 corneometre(Courage-khazaka, Germany). It is expressed as the mean ± SD of 10 measurements. As the skin ages, the stratum corneum, the outermost layer of the epidermis, becomes thinner, and the secretion of natural moisturising factors decreases, leading to a reduction in the skin’s hydration capacity and the formation of fine wrinkles. The degree of skin ageing is indirectly related to the skin moisture content [31].
- TEWL was measured in g·m−2·h−1 using a TM 300 Tewameter (Courage-khazaka, Germany)., as showed in Figure 1. TEWL values are presented as the mean ± SD of 20 measurements. It is used to assess the function of the skin barrier function. When the moisture protective layer of the skin is intact, the moisture content is higher, and the TEWL index is lower [31]. The baseline TEWL of the skin of older and younger adults is similar, but when the barrier is damaged, recovery to normal is much slower in older people. The TEWL is higher in nonlesional skin of people with atopic dermatitis than in those without, in surfactant-damaged skin, and after long- and short-term use of topical corticosteroids [32].
Figure 1. Photograph of TM 300 Tewameter. - Erythema and melanin indices were measured in arbitrary units (AUs) using an MX 18 mexametre (Courage-khazaka, Germany). Both erythema and melanin scores are reported as the mean ± SD of 10 measurements. The main chromophores in human scar tissue, haemoglobin and melanin, are primary determinants of skin colour. The values of the erythema and melanin indices are based on the differences in the absorption of red and green light by haemoglobin and melanocytes, respectively [33]. The erythema index is a useful parameter for studying UV-induced erythema, eczema, and patch test reactions [34].
- Skin pH was measured in pH units using a PH 905 skin pH meter (Courage-khazaka, Germany). The pH values ae reported as the mean ± SD of 10 measurements. An elevated pH favours a different microbiome, making the skin susceptible to infection and eczema.
- Skin temperature was measured in °C using an ST 500 skin thermometer. The temperature value is expressed as the mean ± standard deviation (SD) of 10 measurements. The skin temperature of the lesions of patients with atopic dermatitis is significantly higher than that of healthy subjects [35,36].
- Skin elasticity was measured in % from the R2 value using a Cutometer dual MPA 580(Courage-khazaka, Germany). Collagen and elastin are the main proteins responsible for skin elasticity, and, when they are altered, skin elasticity is reduced [36].
The different parameters were measured under the same humidity (40–50% relative) and temperature (23 ± 1 °C) conditions. Prior to measurement, participants were given an acclimatisation period of 5–10 min to allow their blood circulation to return to normal levels after any physical activity and to adapt to the room conditions. The area of skin to be assessed was not covered by clothing during the acclimatisation period. As hair could interfere with the measurements, hairless areas of skin were selected for measurement.
2.5.5. Secondary Outcome
The secondary outcome of this study was to evaluate the occurrence of adverse events (AEs). The occurrence of AEs was monitored by the investigators throughout this study. The investigators were instructed to assess the observed AEs and report them as either serious or nonsevere based on their potential relationship to the study treatment.
2.5.6. Statistical Analysis
Statistical analyses were performed using SPSS (SPSS for Windows, version 26.0 Chicago: SPSS Inc.). Variables were collected in a database and statistically analysed to determine the significance of the results. Changes in the study area between treatment sessions were assessed. Qualitative variables are presented as absolute (relative) frequencies and quantitative variables as means and SDs. The normality of the variables was tested using the Kolmogorov–Smirnov test and the Shapiro–Wilk test. Categorical data were compared using the chi-squared test.
Student’s t-test was used to compare continuous variables in independent samples, and Student’s t-test for paired samples was used to compare variables in the same individual. Statistical significance was considered at p < 0.05 with two tails.
2.5.7. Ethics
All subjects were informed of the study procedures and gave their informed consent for inclusion before any study-related procedure. All procedures were noninvasive.
This study was conducted in accordance with the Declaration of Helsinki, and the protocol was approved by the Andalusian Biomedical Research Ethics Portal (Project identification code 2327-M1-21) and by the Spanish Agency for Medicines and Medical Devices (AEMPS) (project identification code 869/21/EC).
3. Results
3.1. Microencapsulation
The microencapsulation process involved using HiCap™ 100 starch and cellulose fibres as coating materials and spray-drying technology.
The composition of the microparticles produced in each batch is shown in Table 2. It shows the concentration of the core, consisting of the mixture of polyphenol extract OG2 and sh-oligopeptide-1, and of the coatings used (HiCap™ 100 starch and cellulose fibres).
Table 2.
Composition of the OG2−EGF microparticles (polyphenolic extract OGS-0244 B1).
The selected sample was characterised using the two techniques mentioned above: SEM and PSD. As shown in Figure 2, the sample had a practically homogeneous spherical morphology. The surface of the spheres showed slight porosity.
Figure 2.
SEM image of microparticles.
Regarding the particle size distribution, the maximum particle diameter (d(0.5)) below which 50% of the sample volume was found was 9.45 μm, as shown in Figure 3. In addition, the graphical representation of the particle size distribution shows a single peak with a relatively narrow bell, indicating that most of the sample approximated spheres (Figure 3).
Figure 3.
Particle size distribution.
A comparison between the infrared spectra of the selected OG2−EGF microparticles is shown below in Figure 4, to determine any change in the microparticles over time and with exposure to light. As shown in the following figure, the microparticles remained stable after 3 and 6 months, as the correlation coefficient was higher than 0.95, but the peaks did not exactly coincide, the difference being greater at 6 months than at 3 months. So, it could be concluded that a slight modification in the microparticles was taking place. It will be necessary to store them in a cool, dry place, protected from light.
Figure 4.
Infrared spectra of the selected OG2−EGF microparticles comparing the initial prepared OG2−EGF microparticles (black line) with (a) OG2−EGF microparticles aged 3 months (red line); (b) OG2−EGF microparticles aged 6 months (red line).
3.2. Biological Efficacy of the OG2Polyphenol Extract
A cytotoxicity study of the selected polyphenolic extract OG2 (OGS-0244 B1) was performed in HEKa cells (primary keratinocyte model). The results are shown in Figure 5. The top blue line at 100% represents the viability of the control cells. For cytotoxicity studies, those with at least 80% viability are considered suitable.
Figure 5.
Evaluation of cytotoxicity of OG2 polyphenolic extract on HEKa cells.
The results showed that the OG2 polyphenolic extract was not cytotoxic in the concentration range tested. Therefore, the highest concentration was selected for further studies: polyphenolic extract OG2 (OGS-0244 B1) at 0.1 mg/mL.
The THP1 monocyte cell model was used (see Materials and Methods). The effects on cell viability and on the biomarker of inflammatory/antioxidant response (‘cellular stress’), NF-κb, were assessed (Figure 6). The blue line in the figure indicates the control of the LPS inflammatory stress treatment. Below this t-line a significant difference is considered to be anti-inflammatory. A human monocyte cell line (THP-1) was used to study the reduction in the activation of this transcription factor in vitro. Serial dilutions of extracts in culture medium were used. As the samples were oily, they were first diluted in DMSO (an organic solvent used for water-immiscible compounds and for application in cell culture) and then in culture medium.
Figure 6.
Results of screening of dried extracts derived from pomace for bioactive effect on THP1-XBlue-CD14 cells treated with different concentrations of the extracts.
OG1 at 0.1 mg/mL, OG2 in the range of 0.1–0.0001 mg/mL, and OG3 in the range of 0.1–0.01 mg/mL were the bioactive effects evaluated in each polyphenolic extract sample.
Both cytotoxicity and biological effect were considered in the selection of extracts.
Based on the results obtained, the polyphenolic extract OG2 (OGS-0244B1) has potential bioactivity as an antioxidant in a wide range of concentrations between 0.01 and 0.0001 mg/mL.
3.3. Stability Studies
The prestability tests with cold and hot cycles showed that the cream under development did not show any change in its controlled parameters. It was therefore possible to carry out the following stability study under the accelerated and long-term conditions described above. During the stability tests, various parameters were analysed for 3 months under accelerated conditions and 60 months under long-term conditions, as shown in Table 3 and Table 4.
Table 3.
Results of this study under accelerated conditions.
Table 4.
Long-term condition study results.
The formula developed was stable over time, with physical, chemical, and organoleptic parameters remaining constant over time, both in the climatic chamber conditions of the accelerated studies and in the long-term studies.
The correlation coefficient was used to compare the infrared spectrum of the sample at t = 0 with the infrared spectrum of the corresponding sample, taking a value of 1 for the first sample.
3.4. Study Results
Thirty-two healthy subjects were enrolled, and two patients dropped out of the trial by failing to attend the second appointment. Therefore, follow-up was completed for 30 subjects, as presented in the Figure 7 CONSORT profile.
Figure 7.
Diagram of CONSORT profile.
Table 5 lists the sociodemographic characteristics of the study participants, including their age and sex.
Table 5.
Sociodemographic characteristics of the study participants.
3.4.1. Primary Outcomes
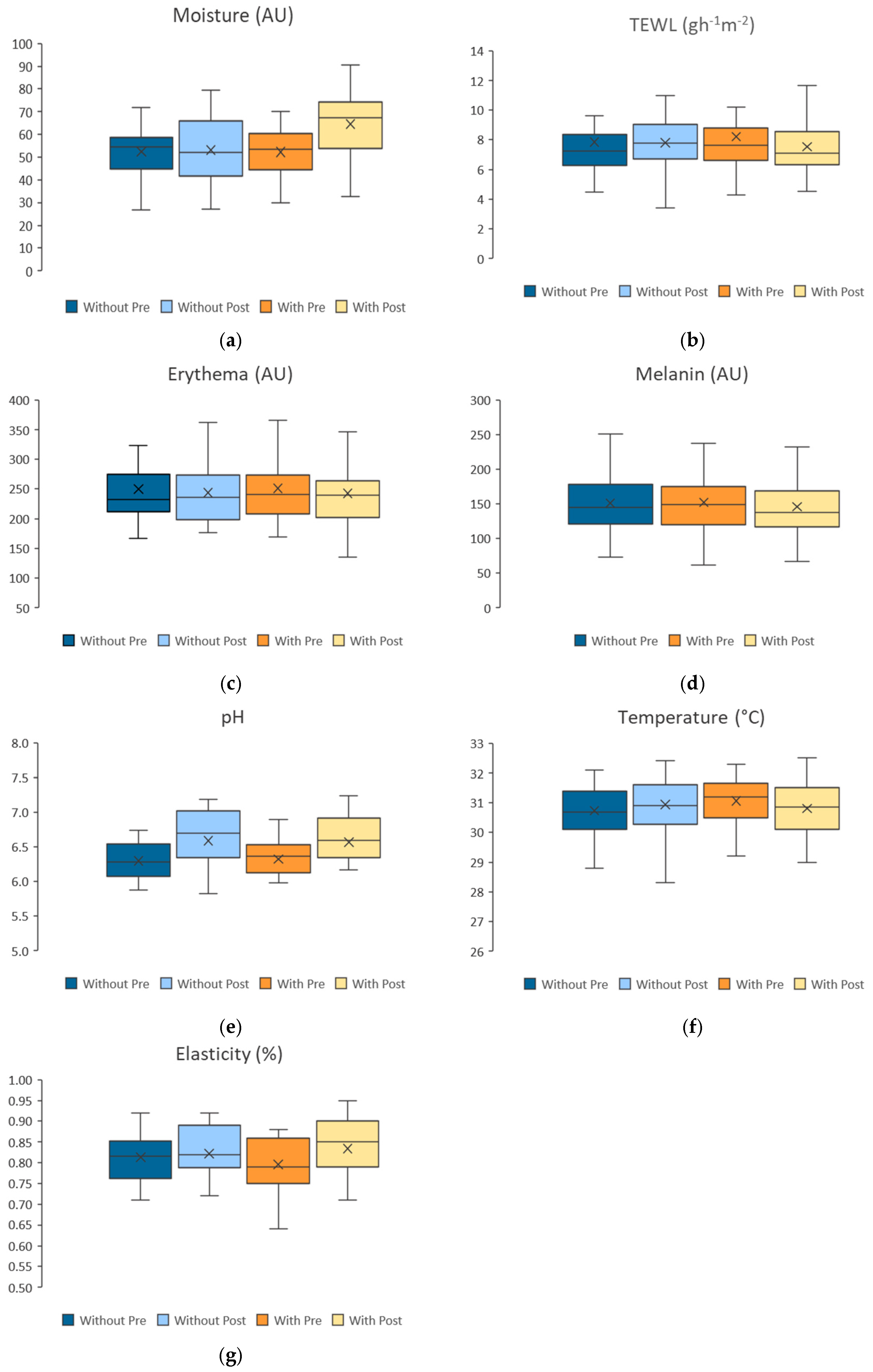
Some relevant changes were observed after one week of application of the evaluated cream. For the cream arm, there was a 12.28 (2.41) AU increase in skin moisture (p < 0.000), a 0.24 (0.10) increase in pH (p = 0.022), and a 0.04 (0.02) % increase in elasticity (p = 0.041). No changes were observed in the cream-free arm. Similarly, when comparing the changes between the arms, statistically significant differences were found for moisture, temperature, and elasticity.
Table 6.
Differences in homeostasis parameters before and after one week of cream application for both forearms (n = 30).
Figure 8.
Changes in homeostasis parameters before and after one week of cream application in both forearms: (a) moisture; (b) TEWL; (c) erythema; (d) melanin; (e) pH; (f) temperature; and (g) elasticity.
3.4.2. Secondary Outcome
No AEs were reported by any of the subjects evaluated.
4. Discussion
As the skin ages, its moisture content decreases. The HA content, which is a major component in in both epidermis and dermis, decreases with age, reducing the skin’s ability to retain moisture, impairing epidermal barrier function and leading to the characteristic dry skin of older people [37]. In our study, skin moisture increased in both forearms, but there was a significant difference after one week of the cream application (p-value < 0.000) and between both forearms (p-value < 0.000).
The TEWL is a measure of stratum corneum integrity [37] and, when elevated, is associated with skin barrier dysfunction due to the abnormal organisation and composition of the lipid matrix, allowing allergen penetration [38]. In our study, TEWL decreased in both forearms, but no significant difference was observed between before and after cream application (p = 0.355) or between the forearms (p = 0.215). The TEWL results obtained in our study are within the normal range for TEWL, which is between 1 and 25 g·m−2·h−1. TEWL values above this range indicate an alteration in the skin barrier function [39].
Erythema appears in the skin when it is exposed to irritants such as chemical substances or UV [40]. Erythema showed a reduction in both forearms, but no significance was observed between before and after cream application (p = 0.215) or between forearms (p = 0.791).
Ageing leads to reductions in functional melanocytes and their melanin production, resulting in pale skin in the elderly [41]. In our study, the melanin index reduced after one week of cream application, but no significance was observed in either forearm (p = 0.131 and 0.781) or between them (p = 0.290).
A skin pH of more than 6.8 is associated with a loss of antimicrobial activity [39,42]. In our study, skin pH showed an increase in both forearms, with statistical significance before and after one week in the cream forearm (p = 0.022) but no statistical significance between the forearms (p = 0.510). The skin pH values observed are within the normal range.
Increased skin temperature is associated with skin barrier dysfunction [35]. Skin temperature decreased 0.25 °C after one week of application of the cream (p-value of 0.177), with significant differences between forearms (p = 0.011), as the forearm without cream showed an increase in the skin temperature.
Collagen density decreases with age and is associated with a reduction in dermal thickness; the dermal collagen network is fragmented with shorter with less-organised fibres. The elastic fibres lose their integrity with age, resulting in an overall loss of elasticity, leading to sagging and wrinkling [37]. In our study, elasticity showed a statistically significant increase for each forearm after one week of cream application (p-value = 0.041) and between forearms (p-value 0.042).
The improvement in the parameters related to skin barrier function could be due to the active ingredients in the evaluated cream. Calendula officinalis has antimicrobial, antioxidant and anti-inflammatory properties that protect the skin. Calendula also helps to moisturise and calm the skin by stimulating the development of collagen. It is also re-epithelialising and healing when applied topically [14]. Aloe vera has been shown to increase suppleness and reduce skin fragility through its regenerative properties when applied topically [11]. It prevents fungal infections, and it has healing, anti-inflammatory emollient, moisturising, and hydrating properties [43,44]. It also promotes the absorption of other active ingredients into the skin [45]. HA is a natural molecule with moisturising properties and forms a viscoelastic layer that contributes to reducing skin atrophy and improving the skin barrier [8]. Treatment with exogenous HA stimulates biological matrix deposition and reduces inflammation. HA also promotes epithelial cell migration and differentiation, as well as angiogenesis and collagen deposition, reducing the roughness of the newly formed epidermis [46]. sh-oligopeptide-1 is a recombinant human peptide. Its starting gene has been engineered to be identical to the human gene encoding EGF. EGF is a protein essential for maintaining the integrity of the epidermal barrier. It has activity in epithelial tissue on keratinocytes, endothelial cells, and fibroblasts and plays a key role in skin regeneration and in maintaining tissue integrity. In addition, EGF increases the expression of other growth factors, elastin and collagen molecules (type 1 and 3), regulating inflammatory processes and intervening in the degradation and production process of the extracellular matrix [6,47]. When applied topically, EGF restores depleted levels of this growth factor, and the activity of the cells responsible for dermal remodelling is regulated. This molecule has demonstrated excellent topical penetration into the stratum corneum [48]. Glycerin can trigger a transition of crystalline lipid structures in the stratum corneum lipids to liquid crystalline states. It also increases the elasticity of the skin, increases hydration, reduces roughness, and protects against the harmful effect of strong surfactants and lipophilic agents. Glycerin also facilitates the penetration of other active ingredients [49].
Therefore, the active ingredients used in the cream provide benefits such as improved skin hydration and reduced erythema.
No AEs were reported. The cream used in this study was safe and very well tolerated.
Sex, age, and forearm of application were not relevant to this study, and the data did not differ between them. Factors that could influence the results of this study were controlled for, as each patient acted as their own dual control by comparing how their skin responded before and after one week of treatment in one arm with the evaluated cream and one arm without it.
The strength of our study is that it is a randomised, controlled trial, and it is based on objective parameters of skin homeostasis. The cream contained an innovative patented protein stabilisation technology and the combination of different active ingredients such as OG2−EGF microparticles, including polyphenols and sh-oligopeptide-1, sodium hyaluronate, glycerin, Calendula officinalis flower extract, Aloe barbadensis leaf juice, and sh-oligopeptide-1, which was tested for its effects on skin barrier function.
This study has limitations. There were two losses in this study, and the protocol was followed according to the established schedule and procedure. Observational bias was reduced as much as possible by training the investigators, checking and calibrating the measuring equipment, and standardising the diagnostic procedures and criteria. To strengthen the results, objective parameters were measured using probes that analysed different skin parameters.
Another limitation of our study is its duration, one week of treatment, which limits the interpretation of long-term results. It would be advisable to carry out longer studies in the future to take further measurements and ensure the efficacy of the cream over time.
Given the results obtained for the cream in improving skin barrier function, its may be used as a moisturiser and skin barrier enhancer.
5. Conclusions
In conclusion, the proposed cream containing OG2−EGF microparticles, including polyphenols and sh-oligopeptide-1, sodium hyaluronate, glycerin, Calendula officinalis flower extract, Aloe barbadensis leaf juice, and sh-oligopeptide-1, is a stable formulation over time, with demonstrated biocompatibility in vitro and in vivo. After one week of treatment, improvements were observed in skin moisture, temperature, and elasticity as parameters of skin barrier function. These results suggest that the proposed cream could be an effective treatment for daily skin care, with wide applications in cosmetics.
Author Contributions
Conceptualisation, G.R., A.L.J.-E., A.G.-F., T.M.-V. and S.A.-S.; methodology, T.M. and A.G.-F.; formal analysis, T.M.-V. and N.P.-G.; investigation, T.M., A.L.J.-E., L.T.-C., A.V. and T.M.-V.; resources, G.R. and S.A.-S.; data curation, T.M.-V. and S.A.-S.; writing—original draft preparation, T.M.; writing—review and editing, A.L.J.-E., A.G.-F. and G.R.; supervision, B.C. and A.R. This article is part of Teodoro Mayayo’s Ph.D. thesis. All authors have read and agreed to the published version of the manuscript.
Funding
This research was developed by the Instituto de Investigación Biotecnológica, Farmacéutica y Medicamentos Huérfanos, S.L., and partially funded by the Centre for the Development of Industrial Technology (Spain), Program FEDER INTERCONECTA (ITC-20181113).
Institutional Review Board Statement
This study was performed according to the Declaration of Helsinki. The final version of the study protocol and related documentation were submitted to the Andalusian Biomedical Research Ethics Portal (Andalucia, Spain), which gave its approval on 7 December 2020 (Project identification code 2327-M1-21). This study was also authorised by the Spanish Agency of Medicines and Medical Devices on 10 May 2021 (Reference PS/AVA 869/21/EC).
Informed Consent Statement
Subjects gave informed consent, after receiving full written and verbal information from the research investigators. They agreed to the proposed study plan including monitoring by the investigator team during the week-long study period.
Data Availability Statement
The data presented in this study are available on request from the corresponding author. The data are not publicly available due to the privacy of the subjects who assisted in this research.
Conflicts of Interest
T.M., G.R., A.L.J.-E., N.P.-G. and A.G.-F. are employees of the Instituto de Investigación Biotecnológica, Farmacéutica y Medicamentos Huérfanos, S.L., T.M.-V. and S.A.-S. are employees of the Virgen de las Nieves University Hospital. B.C. and A.R. are employees of the University of Granada. L.T.-C. and A.V. are employees of AINIA. The authors declare no competing interests, with the exception of the members of the Instituto de Investigación Biotecnológica, Farmacéutica y Medicamentos Huérfanos, S.L. The funder had a role in the design of this study; in the collection, analysis and interpretation of the data; in the writing of the manuscript; or in the decision to publish the results.
References
- Carmona, I.; Aguirre, I.; Griffith, D.M.; García-Borrego, A. Towards a circular economy in virgin olive oil production: Valorization of the olive mill waste (OMW) “alpeorujo” through polyphenol recovery with natural deep eutectic solvents (NADESs) and vermicomposting. Sci. Total Environ. 2023, 872, 162198. [Google Scholar] [CrossRef] [PubMed]
- Pinho, I.A.; Lopes, D.V.; Martins, R.C.; Quina, M.J. Phytotoxicity assessment of olive mill solid wastes and the influence of phenolic compounds. Chemosphere 2017, 185, 258–267. [Google Scholar] [CrossRef] [PubMed]
- Saparrat, M.C.; Jurado, M.; Díaz, R.; Romera, I.G.; Martínez, M.J. Transformation of the water soluble fraction from “alpeorujo” by Coriolopsis rigida: The role of laccase in the process and its impact on Azospirillum brasiliense survival. Chemosphere 2010, 78, 72–76. [Google Scholar] [CrossRef]
- Losada-Barreiro, S.; Bravo-Díaz, C. Free radicals and polyphenols: The redox chemistry of neurodegenerative diseases. Eur. J. Med. Chem. 2017, 133, 379–402. [Google Scholar] [CrossRef]
- Lu, W.; Kelly, A.L.; Miao, S. Emulsion-based encapsulation and delivery systems for polyphenols. Trends Food Sci. Technol. 2016, 47, 1–9. [Google Scholar] [CrossRef]
- Shin, S.H.; Koh, Y.G.; Lee, W.G.; Seok, J.; Park, K.Y. The use of epidermal growth factor in dermatological practice. Int Wound J 2023, 20, 2414–2423. [Google Scholar] [CrossRef]
- Shakhakarmi, K.; Seo, J.E.; Lamichhane, S.; Thapa, C.; Lee, S. EGF, a veteran of wound healing: Highlights on its mode of action, clinical applications with focus on wound treatment, and recent drug delivery strategies. Arch. Pharm. Res. 2023, 46, 299–322. [Google Scholar] [CrossRef]
- Draelos, Z.; Bogdanowicz, P.; Saurat, J.H. Top weapons in skin aging and actives to target the consequences of skin cell senescence. J. Eur. Acad. Dermatol. Venereol. 2024, 38 (Suppl. 4), 15–22. [Google Scholar] [CrossRef]
- Liu, M.; Jin, J.; Zhong, X.; Liu, L.; Tang, C.; Cai, L. Polysaccharide hydrogels for skin wound healing. Heliyon 2024, 10, e35014. [Google Scholar] [CrossRef]
- Albahri, G.; Badran, A.; Hijazi, A.; Daou, A.; Baydoun, E.; Nasser, M.; Merah, O. The Therapeutic Wound Healing Bioactivities of Various Medicinal Plants. Life 2023, 13, 317. [Google Scholar] [CrossRef]
- Catalano, A.; Ceramella, J.; Iacopetta, D.; Marra, M.; Conforti, F.; Lupi, F.R.; Gabriele, D.; Borges, F.; Sinicropi, M.S. Aloe vera-An Extensive Review Focused on Recent Studies. Foods 2024, 13, 2155. [Google Scholar] [CrossRef] [PubMed]
- Becker, L.C.; Bergfeld, W.F.; Belsito, D.V.; Hill, R.A.; Klaassen, C.D.; Liebler, D.C.; Marks, J.G., Jr.; Shank, R.C.; Slaga, T.J.; Snyder, P.W.; et al. Safety Assessment of Glycerin as Used in Cosmetics. Int. J. Toxicol. 2019, 38, 6s–22s. [Google Scholar] [CrossRef] [PubMed]
- Simões, F.V.; Santos, V.O.; Silva, R.N.D.; Silva, R.C.D. Effectiveness of skin protectors and calendula officinalis for prevention and treatment of radiodermatitis: An integrative review. Rev. Bras. Enferm. 2020, 73, e20190815. [Google Scholar] [CrossRef]
- Shahane, K.; Kshirsagar, M.; Tambe, S.; Jain, D.; Rout, S.; Ferreira, M.K.M.; Mali, S.; Amin, P.; Srivastav, P.P.; Cruz, J.; et al. An Updated Review on the Multifaceted Therapeutic Potential of Calendula officinalis L. Pharmaceuticals 2023, 16, 611. [Google Scholar] [CrossRef]
- Shishir, M.R.I.; Xie, L.; Sun, C.; Zheng, X.; Chen, W. Advances in micro and nano-encapsulation of bioactive compounds using biopolymer and lipid-based transporters. Trends Food Sci. Technol. 2018, 78, 34–60. [Google Scholar] [CrossRef]
- Santana, H.; García, G.; Vega, M.; Beldarraín, A.; Páez, R. Stability Studies of a Freeze-Dried Recombinant Human Epidermal Growth Factor Formulation for Wound Healing. PDA J. Pharm. Sci. Technol. 2015, 69, 399–416. [Google Scholar] [CrossRef]
- Paulo, F.; Santos, L. Inclusion of hydroxytyrosol in ethyl cellulose microparticles: In vitro release studies under digestion conditions. Food Hydrocoll. 2018, 84, 104–116. [Google Scholar] [CrossRef]
- da Rosa, C.G.; Borges, C.D.; Zambiazi, R.C.; Nunes, M.R.; Benvenutti, E.V.; Luz, S.R.d.; D’Avila, R.F.; Rutz, J.K. Microencapsulation of gallic acid in chitosan, β-cyclodextrin and xanthan. Ind. Crops Prod. 2013, 46, 138–146. [Google Scholar] [CrossRef]
- Lee, Y.-K.; Chang, Y.H. Microencapsulation of a maca leaf polyphenol extract in mixture of maltodextrin and neutral polysaccharides extracted from maca roots. Int. J. Biol. Macromol. 2020, 150, 546–558. [Google Scholar] [CrossRef]
- Consoli, L.; Grimaldi, R.; Sartori, T.; Menegalli, F.C.; Hubinger, M.D. Gallic acid microparticles produced by spray chilling technique: Production and characterization. LWT 2016, 65, 79–87. [Google Scholar] [CrossRef]
- Sánchez, F.M.; García, F.; Calvo, P.; Bernalte, M.J.; González-Gómez, D. Optimization of broccoli microencapsulation process by complex coacervation using response surface methodology. Innov. Food Sci. Emerg. Technol. 2016, 34, 243–249. [Google Scholar] [CrossRef]
- Valo, H.; Kovalainen, M.; Laaksonen, P.; Häkkinen, M.; Auriola, S.; Peltonen, L.; Linder, M.; Järvinen, K.; Hirvonen, J.; Laaksonen, T. Immobilization of protein-coated drug nanoparticles in nanofibrillar cellulose matrices—Enhanced stability and release. J. Control. Release 2011, 156, 390–397. [Google Scholar] [CrossRef] [PubMed]
- Klemm, D.; Cranston, E.D.; Fischer, D.; Gama, M.; Kedzior, S.A.; Kralisch, D.; Kramer, F.; Kondo, T.; Lindström, T.; Nietzsche, S.; et al. Nanocellulose as a natural source for groundbreaking applications in materials science: Today’s state. Mater. Today 2018, 21, 720–748. [Google Scholar] [CrossRef]
- Rajkumar, J.; Chandan, N.; Lio, P.; Shi, V. The Skin Barrier and Moisturization: Function, Disruption, and Mechanisms of Repair. Ski. Pharmacol. Physiol. 2023, 36, 174–185. [Google Scholar] [CrossRef]
- Harmonisation of ICF. Stability Testing of New Drug Substances and Drug Products—Scientific Guideline (ICH Q1A) (R2); Harmonisation of ICF: Geneva, Switzerland, 2003. [Google Scholar]
- ISO/TR 18811:2018; Cosmetics—Guidelines on the Stability Testing of Cosmetic Products. International Organization for Standardization: Geneva, Switzerland, 2018.
- ISO 17516:2014; Cosmetics—Microbiology—Microbiological Limits. International Organization for Standardization: Geneva, Switzerland, 2014.
- Man, M.Q.; Ye, L.; Hu, L.; Jeong, S.; Elias, P.M.; Lv, C. Improvements in epidermal function prevent relapse of psoriasis: A self-controlled study. Clin. Exp. Dermatol. 2019, 44, 654–657. [Google Scholar] [CrossRef]
- Danby, S.G.; Al-Enezi, T.; Sultan, A.; Chittock, J.; Kennedy, K.; Cork, M.J. The effect of aqueous cream BP on the skin barrier in volunteers with a previous history of atopic dermatitis. Br. J. Dermatol. 2011, 165, 329–334. [Google Scholar] [CrossRef]
- Berger, A. Delta-5(®) oil, containing the anti-inflammatory fatty acid sciadonic acid, improves skin barrier function in a skin irritation model in healthy female subjects. Lipids Health Dis. 2022, 21, 40. [Google Scholar] [CrossRef]
- Meng, H.; Lin, W.; Dong, Y.; Li, L.; Yi, F.; Meng, Q.; Li, Y.; He, Y. Statistical analysis of age-related skin parameters. Technol. Health Care 2021, 29, 65–76. [Google Scholar] [CrossRef]
- Cork, M.J.; Robinson, D.A.; Vasilopoulos, Y.; Ferguson, A.; Moustafa, M.; MacGowan, A.; Duff, G.W.; Ward, S.J.; Tazi-Ahnini, R. New perspectives on epidermal barrier dysfunction in atopic dermatitis: Gene-environment interactions. J. Allergy Clin. Immunol. 2006, 118, 3–21, quiz 22–23. [Google Scholar] [CrossRef]
- Jaspers, M.E.H.; Moortgat, P. Objective Assessment Tools: Physical Parameters in Scar Assessment. In Textbook on Scar Management: State of the Art Management and Emerging Technologies; Téot, L., Mustoe, T.A., Middelkoop, E., Gauglitz, G.G., Eds.; Springer: Cham, Switzerland, 2020; pp. 149–158. [Google Scholar] [CrossRef]
- Jemec, G.B.; Johansen, J.D. Erythema-index of clinical patch test reactions. Ski. Res. Technol. 1995, 1, 26–29. [Google Scholar] [CrossRef]
- Iwashita, K.; Etani, R.; Kai, M.; Ojima, M. Effect of standard skin care treatments on skin barrier function in X-irradiated hairless mice. Asia Pac. J. Oncol. Nurs. 2023, 10, 100149. [Google Scholar] [CrossRef]
- Montero-Vilchez, T.; Segura-Fernández-Nogueras, M.V.; Pérez-Rodríguez, I.; Soler-Gongora, M.; Martinez-Lopez, A.; Fernández-González, A.; Molina-Leyva, A.; Arias-Santiago, S. Skin Barrier Function in Psoriasis and Atopic Dermatitis: Transepidermal Water Loss and Temperature as Useful Tools to Assess Disease Severity. J. Clin. Med. 2021, 10, 359. [Google Scholar] [CrossRef] [PubMed]
- Asserin, J.; Lati, E.; Shioya, T.; Prawitt, J. The effect of oral collagen peptide supplementation on skin moisture and the dermal collagen network: Evidence from an ex vivo model and randomized, placebo-controlled clinical trials. J. Cosmet. Dermatol. 2015, 14, 291–301. [Google Scholar] [CrossRef] [PubMed]
- van Smeden, J.; Bouwstra, J.A. Stratum Corneum Lipids: Their Role for the Skin Barrier Function in Healthy Subjects and Atopic Dermatitis Patients. Curr. Probl. Dermatol. 2016, 49, 8–26. [Google Scholar] [CrossRef] [PubMed]
- Algiert-Zielińska, B.; Batory, M.; Skubalski, J.; Rotsztejn, H. Evaluation of the relation between lipid coat, transepidermal water loss, and skin pH. Int. J. Dermatol. 2017, 56, 1192–1197. [Google Scholar] [CrossRef] [PubMed]
- Khosrowpour, Z.; Ahmad Nasrollahi, S.; Ayatollahi, A.; Samadi, A.; Firooz, A. Effects of four soaps on skin trans-epidermal water loss and erythema index. J. Cosmet. Dermatol. 2019, 18, 857–861. [Google Scholar] [CrossRef]
- Kim, J.E.; Sykes, J.M. Hyaluronic acid fillers: History and overview. Facial Plast. Surg. 2011, 27, 523–528. [Google Scholar] [CrossRef]
- Montero-Vilchez, T.; Soler-Góngora, M.; Martínez-López, A.; Ana, F.G.; Buendía-Eisman, A.; Molina-Leyva, A.; Arias-Santiago, S. Epidermal barrier changes in patients with psoriasis: The role of phototherapy. Photodermatol. Photoimmunol. Photomed. 2021, 37, 285–292. [Google Scholar] [CrossRef]
- Dal’Belo, S.E.; Gaspar, L.R.; Maia Campos, P.M. Moisturizing effect of cosmetic formulations containing Aloe vera extract in different concentrations assessed by skin bioengineering techniques. Ski. Res. Technol. 2006, 12, 241–246. [Google Scholar] [CrossRef]
- Sánchez, M.; González-Burgos, E.; Iglesias, I.; Gómez-Serranillos, M.P. Pharmacological Update Properties of Aloe Vera and its Major Active Constituents. Molecules 2020, 25, 1324. [Google Scholar] [CrossRef]
- López Luengo, M.T. Áloe vera. Offarm 2004, 23, 96–100. [Google Scholar]
- De Francesco, F.; Saparov, A.; Riccio, M. Hyaluronic acid accelerates re-epithelialization and healing of acute cutaneous wounds. Eur. Rev. Med. Pharmacol. Sci. 2023, 27, 37–45. [Google Scholar] [CrossRef] [PubMed]
- Park, J.W.; Hwang, S.R.; Yoon, I.S. Advanced Growth Factor Delivery Systems in Wound Management and Skin Regeneration. Molecules 2017, 22, 1259. [Google Scholar] [CrossRef] [PubMed]
- Miller-Kobisher, B.; Suárez-Vega, D.V.; Velazco de Maldonado, G.J. Epidermal Growth Factor in Aesthetics and Regenerative Medicine: Systematic Review. J. Cutan. Aesthet. Surg. 2021, 14, 137–146. [Google Scholar] [CrossRef] [PubMed]
- Gloor, M.; Bettinger, J.; Gehring, W. [Modification of stratum corneum quality by glycerin-containing external ointments]. Hautarzt 1998, 49, 6–9. [Google Scholar] [CrossRef]
Disclaimer/Publisher’s Note: The statements, opinions and data contained in all publications are solely those of the individual author(s) and contributor(s) and not of MDPI and/or the editor(s). MDPI and/or the editor(s) disclaim responsibility for any injury to people or property resulting from any ideas, methods, instructions or products referred to in the content. |
© 2024 by the authors. Licensee MDPI, Basel, Switzerland. This article is an open access article distributed under the terms and conditions of the Creative Commons Attribution (CC BY) license (https://creativecommons.org/licenses/by/4.0/).







