The Potential of Grapevine Leaf Extract in Treating Hyperpigmentation
Abstract
:1. Introduction
2. Materials and Methods
2.1. Plant Material Preparation
2.2. Total Phenolic Content
2.3. Tyrosinase Inhibition Assay
2.4. The Half-Maximal Inhibitory Concentration-IC50
2.5. The Sun Protection Factor
2.6. Determination of Leaf Extract Composition Using High-Performance Liquid Chromatography (HPLC) Analysis
2.7. Statistical Analysis and Correlation
3. Results and Discussion
3.1. Characterization of Extracts from Red and White Grapevine Varieties
3.1.1. The Tested Red and White Grapevine Varieties of Israel and Europe
3.1.2. Assessment of Total Polyphenolic Content in Grapevine Leaf Extracts
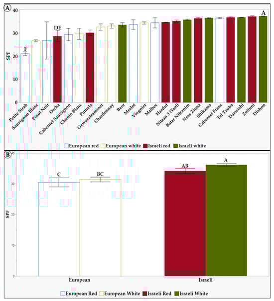
3.1.3. The Sun Protection Factor of Grapevine Leaf Extracts
3.1.4. Determination of Leaf Extract Composition Using HPLC Analysis
3.1.5. Tyrosinase Inhibitory Effect of Grapevine Leaf Extracts
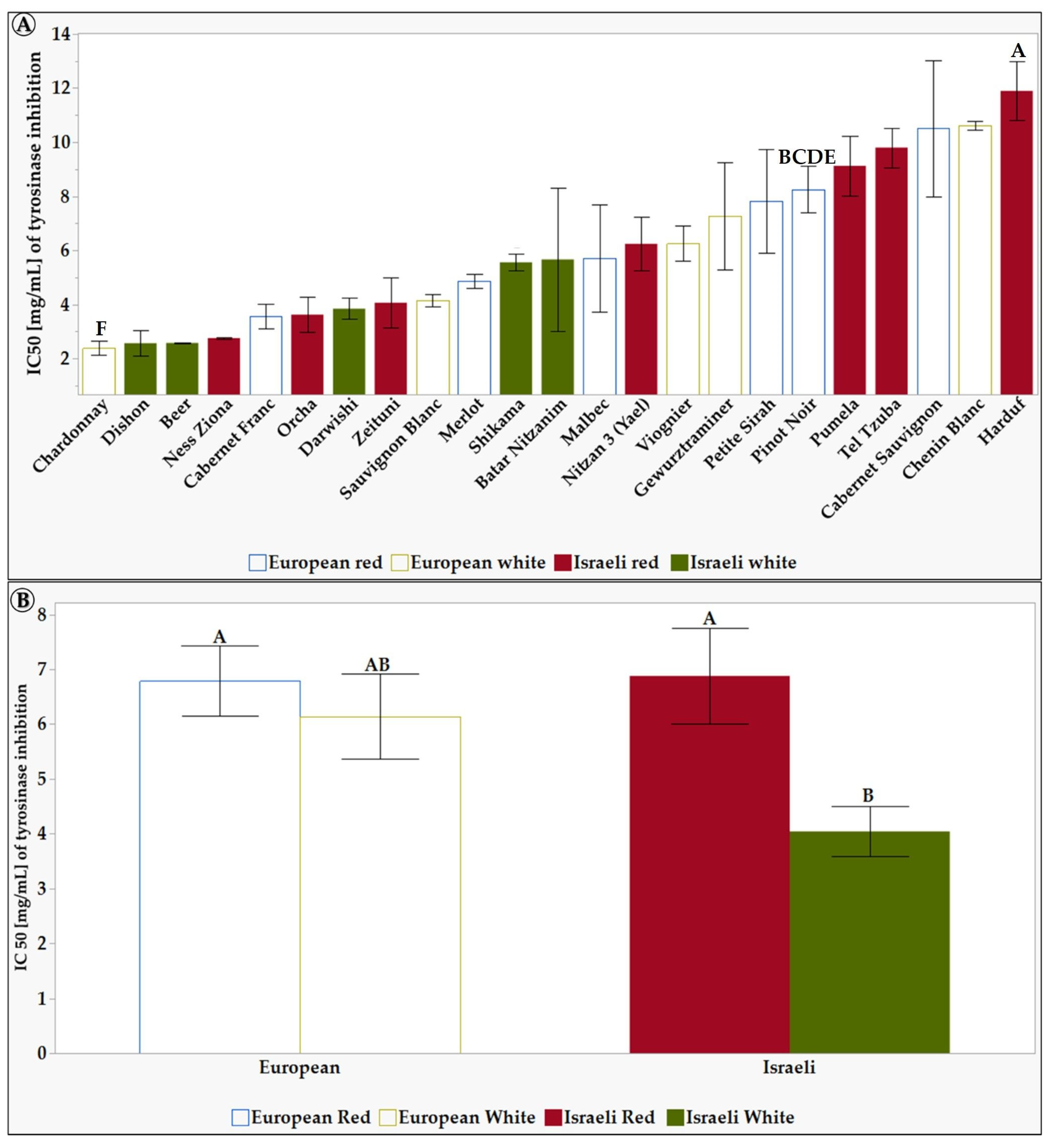
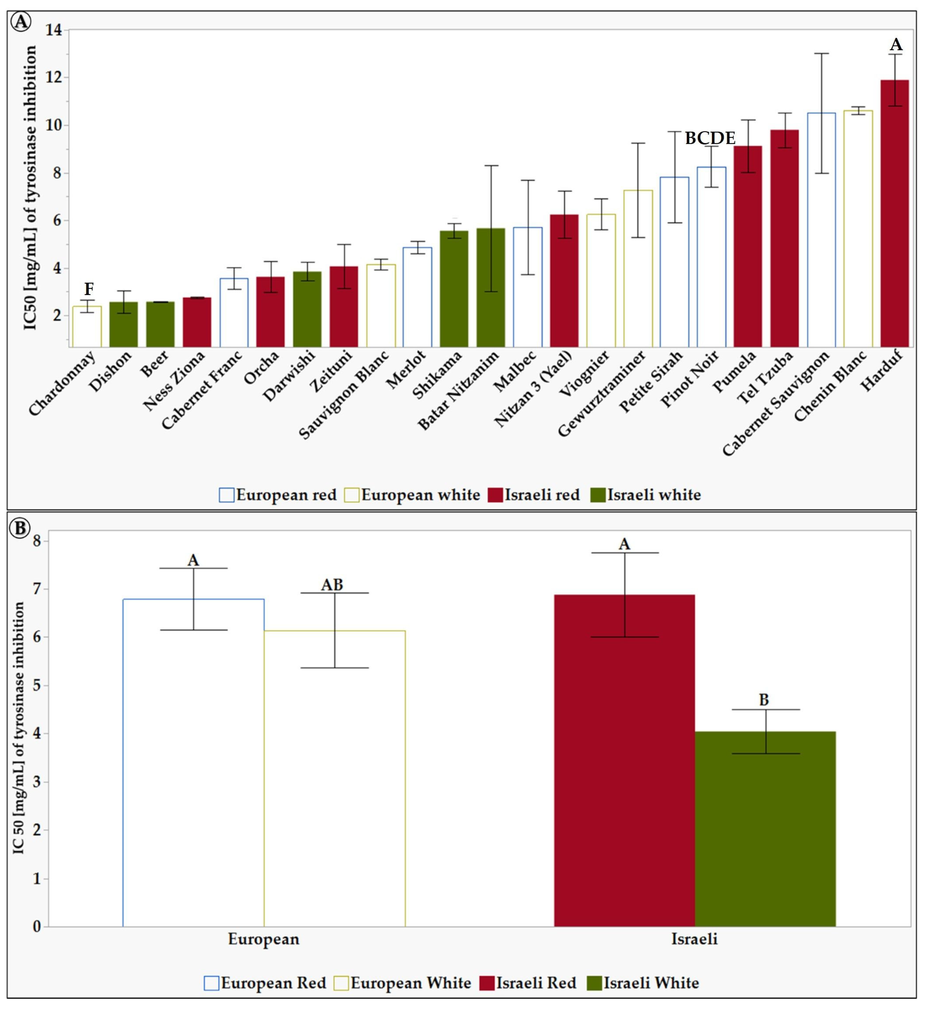
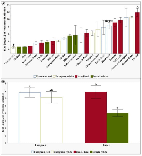
3.1.6. Analysis of the IC50 of Grapevine Leaf Extracts on Tyrosinase Activity
3.2. Correlations and Comparison between the Different Groups
3.2.1. Correlations between TPC, SPF, % Inhibition, and the IC50 of All Grapevine Varieties
3.2.2. Comparison of Israeli and European Grapevine Varieties: Initial HPLC Results, TPC, SPF, % Tyrosinase Inhibition, and IC50
4. Conclusions
Supplementary Materials
Author Contributions
Funding
Data Availability Statement
Acknowledgments
Conflicts of Interest
References
- Desai, S.R. Hyperpigmentation Therapy: A Review. J. Clin. Aesthetic Dermatol. 2014, 7, 13–17. [Google Scholar]
- Ortonne, J.P.; Bissett, D.L. Latest Insights into Skin Hyperpigmentation. J. Investig. Dermatol. Symp. Proc. 2008, 13, 10–14. [Google Scholar] [CrossRef] [PubMed]
- Brenner, M.; Hearing, V.J. The Protective Role of Melanin against UV Damage in Human Skin. Photochem. Photobiol. 2008, 84, 539–549. [Google Scholar] [CrossRef] [PubMed]
- Diepgen, T.L.; Mahler, V. Photoprotective Properties of Skin Melanin. Br. J. Dermatol. Suppl. 2002, 146, 7–10. [Google Scholar] [CrossRef]
- Moreiras, H.; Seabra, M.C.; Barral, D.C. Melanin Transfer in the Epidermis: The Pursuit of Skin Pigmentation Control Mechanisms. Int. J. Mol. Sci. 2021, 22, 4466. [Google Scholar] [CrossRef] [PubMed]
- Chamcheu, J.C.; Siddiqui, I.A.; Syed, D.N.; Adhami, V.M.; Liovic, M.; Mukhtar, H. Keratin Gene Mutations in Disorders of Human Skin and Its Appendages. Arch. Biochem. Biophys. 2011, 508, 123–137. [Google Scholar] [CrossRef] [PubMed]
- Gu, L.H.; Coulombe, P.A. Keratin Function in Skin Epithelia: A Broadening Palette with Surprising Shades. Curr. Opin. Cell Biol. 2007, 19, 13–23. [Google Scholar] [CrossRef]
- Clausen, B.E.; Kel, J.M. Langerhans Cells: Critical Regulators of Skin Immunity. Immunol. Cell Biol. 2010, 88, 351–360. [Google Scholar] [CrossRef]
- Bharadvaja, N.; Gautam, S.; Singh, H. Natural Polyphenols: A Promising Bioactive Compounds for Skin Care and Cosmetics. Mol. Biol. Rep. 2023, 50, 1817–1828. [Google Scholar] [CrossRef]
- Padilla, V.S. Negative Effects of Solar Radiation on the Skin. Bionatura 2018, 3, 492–493. [Google Scholar] [CrossRef]
- Puglia, C.; Offerta, A.; Saija, A.; Trombetta, D.; Venera, C. Protective Effect of Red Orange Extract Supplementation against UV-Induced Skin Damages: Photoaging and Solar Lentigines. J. Cosmet. Dermatol. 2014, 13, 151–157. [Google Scholar] [CrossRef] [PubMed]
- Lee, J.W.; Ratnakumar, K.; Hung, K.; Rokunohe, D.; Kawasumi, M. Deciphering UV-induced DNA Damage Responses to Prevent and Treat Skin Cancer. Photochem. Photobiol. 2020, 96, 478–499. [Google Scholar] [CrossRef] [PubMed]
- Taylor, S.; Grimes, P.; Lim, J.; Im, S.; Lui, H. Postinflammatory Hyperpigmentation. J. Cutan. Med. Surg. 2009, 13, 183–191. [Google Scholar] [CrossRef] [PubMed]
- Leyden, J.J.; Shergill, B.; Micali, G.; Downie, J.; Wallo, W. Natural Options for the Management of Hyperpigmentation. J. Eur. Acad. Dermatol. Venereol. 2011, 25, 1140–1145. [Google Scholar] [CrossRef] [PubMed]
- Hollinger, J.C.; Angra, K.; Halder, R.M. Are Natural Ingredients Effective in the Management of Hyperpigmentation? A Systematic Review. J. Clin. Aesthet. Dermatol. 2018, 11, 28–37. [Google Scholar] [PubMed]
- Nautiyal, A.; Wairkar, S. Management of Hyperpigmentation: Current Treatments and Emerging Therapies. Wiley 2021, 34, 1000–1014. [Google Scholar] [CrossRef] [PubMed]
- Schalka, S. New Data on Hyperpigmentation Disorders. J. Eur. Acad. Dermatol. Venereol. 2017, 31, 18–21. [Google Scholar] [CrossRef]
- Pandya, A.G.; Guevara, I.L. Disorders of Hyperpigmentation. Dermatol. Clin. 2000, 18, 91–98. [Google Scholar] [CrossRef]
- Darji, K.; Varade, R.; West, D.; Armbrecht, E.S.; Guo, M.A. Psychosocial Impact of Postinflammatory Hyperpigmentation in Patients with Acne Vulgaris. J. Clin. Aesthet. Dermatol. 2017, 10, 18–23. [Google Scholar]
- Ekore, R.I.; Ekore, J.O. Excoriation (Skin-Picking) Disorder among Adolescents and Young Adults with Acne-Induced Postinflammatory Hyperpigmentation and Scars. Int. J. Dermatol. 2021, 60, 1488–1493. [Google Scholar] [CrossRef]
- Chaowattanapanit, S.; Silpa-archa, N.; Kohli, I.; Lim, H.W.; Hamzavi, I. Postinflammatory Hyperpigmentation: A Comprehensive Overview: Treatment Options and Prevention. J. Am. Acad. Dermatol. 2017, 77, 607–621. [Google Scholar] [CrossRef] [PubMed]
- Kato, M.; Iida, M.; Goto, Y.; Kondo, T.; Yajima, I. Sunlight Exposure-Mediated DNA Damage in Young Adults. Cancer Epidemiol. Biomark. Prev. 2011, 20, 1622–1628. [Google Scholar] [CrossRef] [PubMed]
- Xing, X.; Dan, Y.; Xu, Z.; Xiang, L. Implications of Oxidative Stress in the Pathogenesis and Treatment of Hyperpigmentation Disorders. Oxid. Med. Cell Longev. 2022, 2022, 7881717. [Google Scholar] [CrossRef] [PubMed]
- Rathee, P.; Kumar, S.; Kumar, D.; Kumari, B.; Yadav, S.S. Skin Hyperpigmentation and Its Treatment with Herbs: An Alternative Method. Pharm. Sci. 2021, 6, 132. [Google Scholar] [CrossRef]
- Oh, K.E.; Shin, H.; Lee, M.K.; Park, B.; Lee, K.Y. Characterization and Optimization of the Tyrosinase Inhibitory Activity of Vitis amurensis Root Using Lc-q-Tof-Ms Coupled with a Bioassay and Response Surface Methodology. Molecules 2021, 26, 446. [Google Scholar] [CrossRef]
- Kamkaen, N.; Mulsri, N.; Treesak, C. Screening of Some Tropical Vegetables for Anti-Tyrosinase Activity. Thai Pharm. Health Sci. J. 2007, 2, 15–19. [Google Scholar]
- Cordero, R.J.B.; Casadevall, A. Melanin. Curr. Biol. 2020, 30, R142–R143. [Google Scholar] [CrossRef]
- Hapsari, R.; Elya, B.; Amin, J. Formulation and Evaluation of Antioxidant and Tyrosinase Inhibitory Effect from Gel Containing the 70% Ethanolic Pleurotus Ostreatus Extract. Int. J. Med. Aromat. Plants 2012, 2, 135–140. [Google Scholar]
- Khalkhal, E.; Razzaghi, M.; Rostami-Nejad, M.; Rezaei-Tavirani, M.; Heidari Beigvand, H.; Rezaei Tavirani, M. Evaluation of Laser Effects on the Human Body after Laser Therapy. J. Lasers Med. Sci. 2020, 11, 91–97. [Google Scholar] [CrossRef]
- Vemula, S.; Maymone, M.B.C.; Secemsky, E.A.; Widjajahakim, R.; Patzelt, N.M.; Saade, D.; Vashi, N.A. Assessing the Safety of Superficial Chemical Peels in Darker Skin: A Retrospective Study. J. Am. Acad. Dermatol. 2018, 79, 508–513.e2. [Google Scholar] [CrossRef]
- Avcil, M.; Akman, G.; Klokkers, J.; Jeong, D.; Çelik, A. Clinical Efficacy of Dissolvable Microneedles Armed with Anti-Melanogenic Compounds to Counter Hyperpigmentation. J. Cosmet. Dermatol. 2021, 20, 605–614. [Google Scholar] [CrossRef]
- Roggenkamp, D.; Dlova, N.; Mann, T.; Batzer, J.; Riedel, J.; Kausch, M.; Zoric, I.; Kolbe, L. Effective Reduction of Post-Inflammatory Hyperpigmentation with the Tyrosinase Inhibitor Isobutylamido-Thiazolyl-Resorcinol (Thiamidol). Int. J. Cosmet. Sci. 2021, 43, 292–301. [Google Scholar] [CrossRef]
- Lajis, A.F.B.; Ariff, A.B. Discovery of New Depigmenting Compounds and Their Efficacy to Treat Hyperpigmentation: Evidence from in Vitro Study. J. Cosmet. Dermatol. 2019, 18, 703–727. [Google Scholar] [CrossRef]
- Panzella, L.; Napolitano, A. Natural and Bioinspired Phenolic Compounds as Tyrosinase Inhibitors for the Treatment of Skin Hyperpigmentation: Recent Advances. Cosmetics 2019, 6, 57. [Google Scholar] [CrossRef]
- Amici, J.M.; Cogrel, O.; Jourdan, M.; Raimbault, C.; Canchy, L.; Kerob, D.; Madfes, D.C.; Tian, Y.; Araviiskaia, E. Expert Recommendations on Supportive Skin Care for Non-Surgical and Surgical Procedures. J. Eur. Acad. Dermatol. Venereol. 2023, 37, 16–33. [Google Scholar] [CrossRef] [PubMed]
- Bacardit, A.; Cartoixà, X. Revisiting the Role of Irradiance in the Determination of Sunscreens’ Sun Protection Factor. J. Phys. Chem. Lett. 2020, 11, 1209–1214. [Google Scholar] [CrossRef] [PubMed]
- Andrews, D.Q.; Rauhe, K.; Burns, C.; Spilman, E.; Temkin, A.M.; Perrone-Gray, S.; Naidenko, O.V.; Leiba, N. Laboratory Testing of Sunscreens on the US Market Finds Lower in Vitro SPF Values than on Labels and Even Less UVA Protection. Photodermatol. Photoimmunol. Photomed. 2022, 38, 224–232. [Google Scholar] [CrossRef] [PubMed]
- Na, J.I.; Shin, J.W.; Choi, H.R.; Kwon, S.H.; Park, K.C. Resveratrol as a Multifunctional Topical Hypopigmenting Agent. Int. J. Mol. Sci. 2019, 20, 956. [Google Scholar] [CrossRef]
- Lee, T.H.; Seo, J.O.; Baek, S.H.; Kim, S.Y. Inhibitory Effects of Resveratrol on Melanin Synthesis in Ultraviolet B-Induced Pigmentation in Guinea Pig Skin. Biomol. Ther. 2014, 22, 35–40. [Google Scholar] [CrossRef]
- Zimmermann Franco, D.C.; De Carvalho, G.S.G.; Rocha, P.R.; Da Silva Teixeira, R.; Da Silva, A.D.; Barbosa Raposo, N.R. Inhibitory Effects of Resveratrol Analogs on Mushroom Tyrosinase Activity. Molecules 2012, 17, 11816–11825. [Google Scholar] [CrossRef]
- Yoshimura, M.; Watanabe, Y.; Kasai, K.; Yamakoshi, J.; Koga, T. Inhibitory Effect of an Ellagic Acid-Rich Pomegranate Extract on Tyrosinase Activity and Ultraviolet-Induced Pigmentation. Biosci. Biotechnol. Biochem. 2005, 69, 2368–2373. [Google Scholar] [CrossRef]
- Goufo, P.; Singh, R.K.; Cortez, I. A Reference List of Phenolic Compounds (Including Stilbenes) in Grapevine (Vitis vinifera L.) Roots, Woods, Canes, Stems, and Leaves. Antioxidants 2020, 9, 398. [Google Scholar] [CrossRef] [PubMed]
- Griesser, M.; Weingart, G.; Schoedl-Hummel, K.; Neumann, N.; Becker, M.; Varmuza, K.; Liebner, F.; Schuhmacher, R.; Forneck, A. Severe Drought Stress Is Affecting Selected Primary Metabolites, Polyphenols, and Volatile Metabolites in Grapevine Leaves (Vitis vinifera Cv. Pinot Noir). Plant Physiol. Biochem. 2015, 88, 17–26. [Google Scholar] [CrossRef] [PubMed]
- Jaradat, N.A.; Zaid, A.N.; Hussen, F.; Ali, I. The Effects of Preservation Methods of Grapevine Leaves on Total Phenols, Total Flavonoids and Antioxidant Activity. Marmara Pharm. J. 2017, 21, 291–297. [Google Scholar] [CrossRef]
- Lin, Y.; Chen, H.; Huang, J.; Lee, P.; Tsai, C.; Hsu, T.; Huang, W. Kinetics of Tyrosinase Inhibitory Activity Using Vitis vinifera Leaf Extracts. BioMed Res. Int. 2017, 2017, 5232680. [Google Scholar] [CrossRef] [PubMed]
- Labanca, F.; Faraone, I.; Nolè, M.R.; Hornedo-Ortega, R.; Russo, D.; García-Parrilla, M.C.; Chiummiento, L.; Bonomo, M.G.; Milella, L. New Insights into the Exploitation of Vitis vinifera L. Cv. Aglianico Leaf Extracts for Nutraceutical Purposes. Antioxidants 2020, 9, 708. [Google Scholar] [CrossRef] [PubMed]
- Thanh, N.; Nhi, T.; Khiem, T.G.; Doan, T.; Luan, T.T.; Hoang, N.; Thi, L.; Lan, T.; Thanh, N.; Nhi, T.; et al. Inhibition of Tyrosinase Activity by Grape Leaf Extract Vitis vinifera L. (Vitaceae). TNU J. Sci. Technol. 2022, 227, 10–15. [Google Scholar]
- Drori, E.; Rahimi, O.; Henig, Y.; Lorenzi, S.; Brauner, H.; Marrano, A.; Amar, Z.; Netzer, Y.; Failla, O.; Grando, M.S. Ampelographic and Genetic Characterization of an Initial Israeli Grapevine Germplasm Collection. Vitis—J. Grapevine Res. 2015, 54, 107–110. [Google Scholar]
- Drori, E.; Rahimi, O.; Marrano, A.; Henig, Y.; Brauner, H.; Salmon-Divon, M.; Netzer, Y.; Prazzoli, M.L.; Stanevsky, M.; Failla, O.; et al. Collection and Characterization of Grapevine Genetic Resources (Vitis vinifera) in the Holy Land, towards the Renewal of Ancient Winemaking Practices. Sci. Rep. 2017, 7, 44463. [Google Scholar] [CrossRef]
- Sivan, A.; Rahimi, O.; Lavi, B.; Salmon-Divon, M.; Weiss, E.; Drori, E.; Hübner, S. Genomic Evidence Supports an Independent History of Levantine and Eurasian Grapevines. Plants People Planet 2021, 3, 414–427. [Google Scholar] [CrossRef]
- Dong, Y.; Duan, S.; Xia, Q.; Liang, Z.; Dong, X.; Margaryan, K.; Musayev, M.; Goryslavets, S.; Zdunić, G.; Bert, P.-F.; et al. Dual Domestications and Origin of Traits in Grapevine Evolution. Science 2023, 379, 892–901. [Google Scholar] [CrossRef] [PubMed]
- Rahimi, O.; Berger, J.Z.; Shtein, I.; Kher, M.M.; Frumin, S.; Hubner, S. Wild Grapevine (Vitis vinifera L. Subsp. Sylvestris (C.C. Gmelin) Hegi)—Novel Species to the Israeli Flora. Horticulturae 2023, 9, 998. [Google Scholar] [CrossRef]
- Shecori, S.; Kher, M.M.; Tyagi, K.; Lerno, L.; Netzer, Y.; Lichter, A.; Ebeler, S.E.; Drori, E. A Field Collection of Indigenous Grapevines as a Valuable Repository for Applied Research. Plants 2022, 11, 2563. [Google Scholar] [CrossRef] [PubMed]
- Weiss, J.F.; Landauer, M.R. Protection against Ionizing Radiation by Antioxidant Nutrients and Phytochemicals. Toxicology 2003, 189, 1–20. [Google Scholar] [CrossRef] [PubMed]
- Radhiga, T.; Agilan, B.; Muzaffer, U.; Karthikeyan, R.; Kanimozhi, G.; Paul, V.; Prasad, N. Phytochemicals as Modulators of Ultraviolet-b Radiation Induced Cellular and Molecular Events: A Review. J. Radiat. Cancer Res. 2016, 7, 2. [Google Scholar] [CrossRef]
- Anđelković, M.; Radovanović, B.; Anđelković, A.M.; Radovanović, V. Phenolic Compounds and Bioactivity of Healthy and Infected Grapevine Leaf Extracts from Red Varieties Merlot and Vranac (Vitis vinifera L.). Plant Foods Hum. Nutr. 2015, 70, 317–323. [Google Scholar] [CrossRef] [PubMed]
- Al-Duais, M.; Müller, L.; Böhm, V.; Jetschke, G. Antioxidant Capacity and Total Phenolics of Cyphostemma Digitatum before and after Processing: Use of Different Assays. Eur. Food Res. Technol. 2009, 228, 813–821. [Google Scholar] [CrossRef]
- Müller, L.; Gnoyke, S.; Popken, A.M.; Böhm, V. Antioxidant Capacity and Related Parameters of Different Fruit Formulations. LWT—Food Sci. Technol. 2010, 43, 992–999. [Google Scholar] [CrossRef]
- Bobo-García, G.; Davidov-Pardo, G.; Arroqui, C.; Vírseda, P.; Marín-Arroyo, M.R.; Navarro, M. Intra-Laboratory Validation of Microplate Methods for Total Phenolic Content and Antioxidant Activity on Polyphenolic Extracts, and Comparison with Conventional Spectrophotometric Methods. J. Sci. Food Agric. 2015, 95, 204–209. [Google Scholar] [CrossRef]
- Pomerantz, S.H. Separation, Purification, and Properties of Two Tyrosinases from Hamster Melanoma. J. Biol. Chem. 1963, 238, 2351–2357. [Google Scholar] [CrossRef]
- Huang, K.F.; Chen, Y.W.; Chang, C.T.; Chou, S.T. Studies on the Inhibitory Effect of Graptopetalum paraguayense E. Walther Extracts on Mushroom Tyrosinase. Food Chem. 2005, 89, 583–587. [Google Scholar] [CrossRef]
- Rachkeeree, A.; Kantadoung, K.; Puangpradub, R.; Suksathan, R. Phytochemicals, Antioxidants and Anti-Tyrosinase Analyses of Selected Ginger Plants. Pharmacogn. J. 2020, 12, 872–883. [Google Scholar] [CrossRef]
- Mansur, J.S.; Breder, M.N.; Mansur, M.C.; Azulay, R.D. Determination of Sun Protection Factor by Spectrophotometry. An. Bras. Dermatol. 1986, 61, 121–124. [Google Scholar]
- Rosenzweig, T.; Skalka, N.; Rozenberg, K.; Elyasiyan, U.; Pinkus, A.; Green, B.; Stanevsky, M.; Drori, E. Red Wine and Wine Pomace Reduced the Development of Insulin Resistance and Liver Steatosis in HFD-Fed Mice. J. Funct. Foods 2017, 34, 379–389. [Google Scholar] [CrossRef]
- Driscoll, W.C. Robustness of the ANOVA and Tukey-Kramer Statistkal Tests. Comput. Ind. Eng. 1996, 31, 265–268. [Google Scholar] [CrossRef]
- Vries, H. de The Rowwise Correlation between Two Proximity Matrices and the Partial Rowwise Correlation. Psychometrika 1993, 58, 53–69. [Google Scholar] [CrossRef]
- Nichols, J.A.; Katiyar, S.K. Skin Photoprotection by Natural Polyphenols: Anti-Inflammatory, Antioxidant and DNA Repair Mechanisms. Arch. Dermatol. Res. 2010, 302, 71–83. [Google Scholar] [CrossRef] [PubMed]
- Tuong, W.; Walker, L.; Sivamani, R.K. Polyphenols as Novel Treatment Options for Dermatological Diseases: A Systematic Review of Clinical Trials. J. Dermatol. Treat. 2015, 26, 381–388. [Google Scholar] [CrossRef]
- Mohamed, A.A.A.; Sorour, W.A.A. Assessment of Photoprotective, Antioxidant and Anti-Skin Cancer Activities of Leaf Extracts of Certain Medicinal Plants. Egypt. J. Bot. 2020, 60, 749–762. [Google Scholar] [CrossRef]
- Ferreira, V.; Matus, J.T.; Pinto-Carnide, O.; Carrasco, D.; Arroyo-García, R.; Castro, I. Genetic Analysis of a White-to-Red Berry Skin Color Reversion and Its Transcriptomic and Metabolic Consequences in Grapevine (Vitis vinifera Cv. ‘Moscatel Galego’). BMC Genom. 2019, 20, 952. [Google Scholar] [CrossRef]
- Djemaa-Landri, K.; Hamri-Zeghichi, S.; Valls, J.; Cluzet, S.; Tristan, R.; Boulahbal, N.; Kadri, N.; Madani, K. Phenolic Content and Antioxidant Activities of Vitis vinifera L. Leaf Extracts Obtained by Conventional Solvent and Microwave-Assisted Extractions. J. Food Meas. Charact. 2020, 14, 3551–3564. [Google Scholar] [CrossRef]
- Bernardo, S.; Dinis, L.-T.; Machado, N.; Moutinho-Pereira, J. Grapevine Abiotic Stress Assessment and Search for Sustainable Adaptation Strategies in Mediterranean-like Climates. A Review. Agron. Sustain. Dev. 2018, 38, 66. [Google Scholar] [CrossRef]
- Lovisolo, C.; Lavoie-Lamoureux, A.; Tramontini, S.; Ferrandino, A. Grapevine Adaptations to Water Stress: New Perspectives about Soil/Plant Interactions. Theor. Exp. Plant Physiol. 2016, 28, 53–66. [Google Scholar] [CrossRef]
- Teixeira, A.; Eiras-Dias, J.; Castellarin, S.D.; Gerós, H. Berry Phenolics of Grapevine under Challenging Environments. Int. J. Mol. Sci. 2013, 14, 18711–18739. [Google Scholar] [CrossRef]
- Martín-Tornero, E.; de Jorge Páscoa, R.N.M.; Espinosa-Mansilla, A.; Martín-Merás, I.D.; Lopes, J.A. Comparative Quantification of Chlorophyll and Polyphenol Levels in Grapevine Leaves Sampled from Different Geographical Locations. Sci. Rep. 2020, 10, 6246. [Google Scholar] [CrossRef] [PubMed]
- Martín-Tornero, E.; Durán Martín-Merás, I.; Espinosa Mansilla, A.; Almeida Lopes, J.; Nuno Mendes de Jorge Páscoa, R. Geographical Discrimination of Grapevine Leaves Using Fibre Optic Fluorescence Data and Chemometrics. Determination of Total Polyphenols and Chlorophylls along Different Vegetative Stages. Microchem. J. 2022, 181, 107647. [Google Scholar] [CrossRef]
- Pajović-Šćepanović, R.; Wendelin, S.; Eder, R. Phenolic Composition and Varietal Discrimination of Montenegrin Red Wines (Vitis vinifera Var. Vranac, Kratošija, and Cabernet Sauvignon). Eur. Food Res. Technol. 2018, 244, 2243–2254. [Google Scholar] [CrossRef]
- Pantelić, M.M.; Zagorac, D.Č.D.; Ćirić, I.; Pergal, M.V.; Relić, D.J.; Todić, S.R.; Natić, M.M. Phenolic Profiles, Antioxidant Activity and Minerals in Leaves of Different Grapevine Varieties Grown in Serbia. J. Food Compos. Anal. 2017, 62, 76–83. [Google Scholar] [CrossRef]
- Garcia-Molina, P.; Garcia-Molina, F.; Teruel-Puche, J.A.; Rodriguez-Lopez, J.N.; Garcia-Canovas, F.; Muñoz-Muñoz, J.L. The Relationship between the IC50 Values and the Apparent Inhibition Constant in the Study of Inhibitors of Tyrosinase Diphenolase Activity Helps Confirm the Mechanism of Inhibition. Molecules 2022, 27, 3141. [Google Scholar] [CrossRef]
- Neeley, E.; Fritch, G.; Fuller, A.; Wolfe, J.; Wright, J.; Flurkey, W. Variations in IC50 Values with Purity of Mushroom Tyrosinase. Int. J. Mol. Sci. 2009, 10, 3811–3823. [Google Scholar] [CrossRef]
- Zolghadri, S.; Bahrami, A.; Hassan Khan, M.T.; Munoz-Munoz, J.; Garcia-Molina, F.; Garcia-Canovas, F.; Saboury, A.A. A Comprehensive Review on Tyrosinase Inhibitors. J. Enzym. Inhib. Med. Chem. 2019, 34, 279–309. [Google Scholar] [CrossRef] [PubMed]
- Pop, T.D.; Diaconeasa, Z. Recent Advances in Phenolic Metabolites and Skin Cancer. Int. J. Mol. Sci. 2021, 22, 9707. [Google Scholar] [CrossRef] [PubMed]
- Awang Ismail, F. Muhammad Syukri Bin Razali Zuraimy Ali Total Phenolic Content (TPC) in Catharanthus Roseus and Clitoria Ternatea Leaves Extract. J. Trop. Resour. Sustain. Sci. 2022, 10, 58–62. [Google Scholar] [CrossRef]







| Israeli | European | |
|---|---|---|
| Red | Orcha | Malbec |
| Dishon | Merlot | |
| Harduf | Cabernet Sauvignon | |
| Zeituni | Petite Sirah | |
| Nitzan 3 (Yael) | Pinot Noir | |
| Ness Ziona | Cabernet Franc | |
| Pumela | ||
| Tel Tzuba | ||
| White | Beer | Sauvignon Blanc |
| Batar Nitzanim | Gewurztraminer | |
| Darwishi | Viognier | |
| Shikama | Chenin Blanc | |
| Chardonnay |
Disclaimer/Publisher’s Note: The statements, opinions and data contained in all publications are solely those of the individual author(s) and contributor(s) and not of MDPI and/or the editor(s). MDPI and/or the editor(s) disclaim responsibility for any injury to people or property resulting from any ideas, methods, instructions or products referred to in the content. |
© 2023 by the authors. Licensee MDPI, Basel, Switzerland. This article is an open access article distributed under the terms and conditions of the Creative Commons Attribution (CC BY) license (https://creativecommons.org/licenses/by/4.0/).
Share and Cite
Shecori, S.; Kher, M.M.; Azagury, A.; Drori, E. The Potential of Grapevine Leaf Extract in Treating Hyperpigmentation. Cosmetics 2024, 11, 2. https://doi.org/10.3390/cosmetics11010002
Shecori S, Kher MM, Azagury A, Drori E. The Potential of Grapevine Leaf Extract in Treating Hyperpigmentation. Cosmetics. 2024; 11(1):2. https://doi.org/10.3390/cosmetics11010002
Chicago/Turabian StyleShecori, Shani, Mafatlal M. Kher, Aharon Azagury, and Elyashiv Drori. 2024. "The Potential of Grapevine Leaf Extract in Treating Hyperpigmentation" Cosmetics 11, no. 1: 2. https://doi.org/10.3390/cosmetics11010002
APA StyleShecori, S., Kher, M. M., Azagury, A., & Drori, E. (2024). The Potential of Grapevine Leaf Extract in Treating Hyperpigmentation. Cosmetics, 11(1), 2. https://doi.org/10.3390/cosmetics11010002

