By-Products from Five Grape Varieties Grown in Northwest Mexico Are Sources of Bioaccessible and Bioavailable Phenolic Compounds in a Simulated Digestion
Abstract
1. Introduction
2. Materials and Methods
2.1. Samples and Reagents
2.2. Characterization of Grape By-Products
2.2.1. Free Phenolic Compound Extraction
2.2.2. Quantification of Total Phenolic Compounds (TPCs)
2.2.3. Antioxidant Capacity (AOC)
2.2.4. Quantification of Phenolic Compounds by UPLC-DAD
2.3. Simulated Digestion
2.4. Statistical Analysis
3. Results
3.1. Quantification of Total Phenolic Compounds (TPCs)
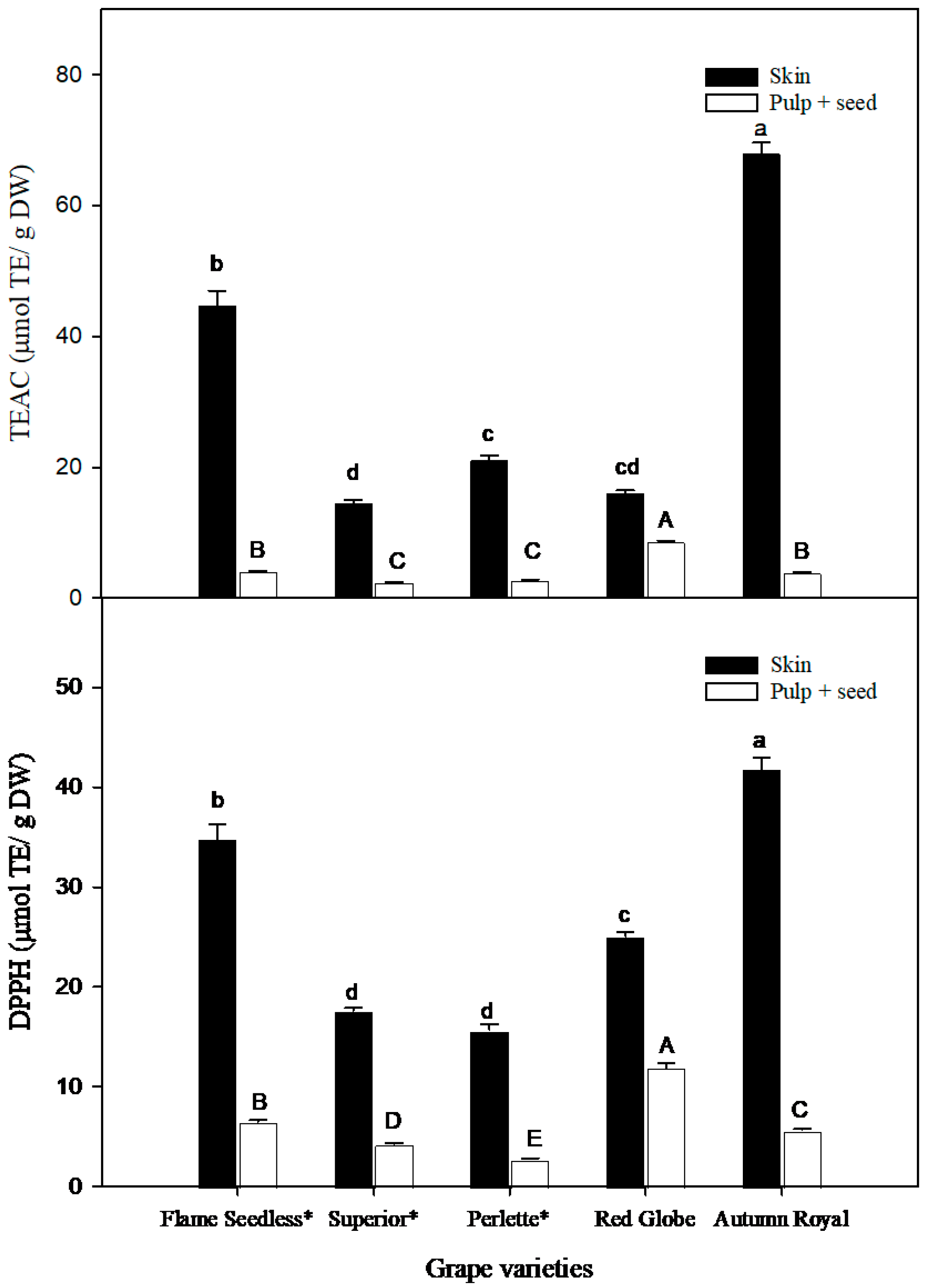
3.2. Antioxidant Capacity (AOC)
3.3. Quantification of Phenolic Compounds by UPLC-DAD
3.4. Bioaccessible and Absorbed Phenolic Compounds by Simulated Digestion
4. Discussion
5. Conclusions
Author Contributions
Funding
Data Availability Statement
Acknowledgments
Conflicts of Interest
References
- Eves, A.; Kim, B.; Hodgkins, C.; Raats, M.; Timotijevik, L. Is it food or is it waste? determinants of decisions to throw food away. Sustain. Prod. Consum. 2025, 54, 43–51. [Google Scholar] [CrossRef]
- Programa de las Naciones Unidas Para el Medio Ambiente. Informe Sobre el Índice de Desperdicio de Alimentos. Available online: https://www.unep.org/resources/publication/food-waste-index-report-2024 (accessed on 29 March 2025).
- Statista, M.; Shahbandeh. Global Grape Production 2012/13–2023/2024. Available online: https://www.statista.com/statistics/237600/world-grape-production-in-2007-by-region/ (accessed on 29 March 2025).
- Statista Research Department Mexico: Industrial Grape Production Volume 2014–2023. Available online: https://www.statista.com/statistics/1029649/grape-production-mexico/ (accessed on 29 March 2025).
- SIAP Producción de uva en México 2022. Available online: https://www.gob.mx/cms/uploads/attachment/file/771603/Producci_n_Uva_en_M_xico.pdf (accessed on 29 March 2025).
- Machado, A.R.; Voss, G.B.; Machado, M.; Paiva, J.A.P.; Nunes, J.; Pintado, M. Chemical characterization of the cultivar ‘vinhão’ (Vitis vinifera L.) grape pomace towards its circular valorisation and its health benefits. Meas. Food 2024, 15, 100175. [Google Scholar] [CrossRef]
- Sabra, A.; Netticadan, T.; Wijekoon, C. Grape bioactive molecules, and the potential health benefits in reducing the risk of heart diseases. Food Chem. X 2021, 12, 100149. [Google Scholar] [CrossRef] [PubMed]
- Coelho, M.C.; Pereira, R.N.; Rodrigues, A.S.; Teixeira, J.A.; Pintado, M.E. The use of emergent technologies to extract added value compounds from grape by-products. Trends Food Sci. Technol. 2020, 106, 182–197. [Google Scholar] [CrossRef]
- Cui, W.; Xu, B.; Chen, F.; Shen, W.; Wan, F.; Cheng, A. Effects of grape peel phenolics on lipid accumulation in sodium palmitate-treated HepG2 cells. J. Funct. Foods 2024, 112, 105923. [Google Scholar] [CrossRef]
- Karastergiou, A.; Gancel, A.L.; Jourdes, M.; Teissedre, P.L. Valorization of grape pomace: A review of phenolic composition, bioactivity, and therapeutic potential. Antioxidants 2024, 13, 1131. [Google Scholar] [CrossRef]
- Rodriguez, L.; Muñoz-Bernal, Ó.A.; Fuentes, E.; Alvarez-Parrilla, E.; Palomo, I. Antiplatelet activity of phenolic compounds-fortified merlot wine and pure phenolic compounds. Appl. Sci. 2024, 14, 5707. [Google Scholar] [CrossRef]
- Magrone, T.; Magrone, M.; Russo, M.A.; Jirillo, E. Recent advances on the anti-inflammatory and antioxidant properties of red grape polyphenols: In vitro and in vivo studies. Antioxidants 2020, 9, 35. [Google Scholar] [CrossRef]
- Salazar-López, N.J.; Loarca-Piña, G.; Campos-Vega, R.; Gaytán Martínez, M.; Morales Sánchez, E.; Esquerra-Brauer, J.M.; Gonzalez-Aguilar, G.A.; Robles Sánchez, M. The extrusion process as an alternative for improving the biological potential of sorghum bran: Phenolic compounds and antiradical and anti-inflammatory capacity. Evid. Based Complement. Alternat Med. 2016, 2016, 8387975. [Google Scholar] [CrossRef]
- Salazar-López, N.J.; González-Aguilar, G.A.; Loarca-Piña, G.; Cinco-Moroyoqui, F.J.; Rouzaud-Sández, O.; Domínguez-Avila, J.A.; Robles-sánchez, M. Contribution and interactions of hydroxycinnamic acids found in bran and wholegrain sorghum (Sorghum bicolor L. Moench): Effects on the antioxidant capacity and inhibition of human erythrocyte hemolysis. Oxidative Med. Cell. Longev. 2017, 2017, 8219023. [Google Scholar] [CrossRef]
- Association of Official Analytical Chemistry (Ed.) AOAC Official Methods of Analysis, 16th ed.; Association of Official Analytical Chemistry: Washington, DC, USA, 1995.
- Valenzuela González, M.; Cárdenas López, J.L.; Burgos Hernández, A.; Salazar López, N.J.; Viuda Martos, M.; Ruiz Hernández, A.A.; Robles Sánchez, R.M. Quinoa treated by an optimized method of microwave heating and their effect on antioxidant activity and phenolic compounds after in vitro gastrointestinal digestion. CYTA-J. Food 2023, 21, 751–759. [Google Scholar] [CrossRef]
- Dordai, L.; Simedru, D.; Cadar, O.; Becze, A. Simulated gastrointestinal digestion of nutritive raw bars: Assessment of nutrient bioavailability. Foods 2023, 12, 2300. [Google Scholar] [CrossRef] [PubMed]
- Salazar-López, N.J.; González-Aguilar, G.A.; Rouzaud-Sández, O.; Robles-Sánchez, M. Bioaccessibility of hydroxycinnamic acids and antioxidant capacity from sorghum bran thermally processed during simulated in vitro gastrointestinal digestion. J. Food Sci. Technol. 2018, 55, 2021–2030. [Google Scholar] [CrossRef]
- Berben, P.; Brouwers, J.; Augustijns, P. Assessment of passive intestinal permeability using an artificial membrane insert system. J. Pharm. Sci. 2018, 107, 250–256. [Google Scholar] [CrossRef] [PubMed]
- Perales-Vázquez, G.D.C.; Mercado-Mercado, G.; De la Rosa, L.A.; Sáyago-Ayerdi, S.G. Bioaccesibilidad y cinética de liberación in vitro de compuestos fenólicos en algunas salsas de la cocina mexicana. TIP Rev. Esp. C Quím-Biol. 2020, 23, 1–9. [Google Scholar] [CrossRef]
- Vo, G.T.; Liu, Z.; Chou, O.; Zhong, B.; Barrow, C.J.; Dunshea, F.R.; Suleria, H.A.R. Screening of phenolic compounds in australian grown grapes and their potential antioxidant activities. Food Biosci. 2022, 47, 101644. [Google Scholar] [CrossRef]
- Muzolf-Panek, M.; Waśkiewicz, A. Relationship between phenolic compounds, antioxidant activity and color parameters of red table grape skins using linear ordering analysis. Appl. Sci. 2022, 12, 6146. [Google Scholar] [CrossRef]
- Qaderi, M.M.; Martel, A.B.; Strugnell, C.A. Environmental factors regulate plant secondary metabolites. Plants 2023, 12, 447. [Google Scholar] [CrossRef]
- Radulescu, C.; Olteanu, R.L.; Buruleanu, C.L.; Nechifor, M.; Dulama, I.D.; Stirbescu, R.M.; Bucurica, I.A.; Stanescu, S.G.; Banica, A.L. Polyphenolic screening and the antioxidant activity of grape pomace extracts of romanian white and red grape varieties. Antioxidants 2024, 13, 1133. [Google Scholar] [CrossRef]
- Perra, M.; Leyva-Jiménez, F.J.; Manca, M.L.; Manconi, M.; Rajha, H.N.; Borrás-Linares, I.; Segura-Carretero, A.; Lozano-Sánchez, J. Application of pressurized liquid extraction to grape by-products as a circular economy model to provide phenolic compounds enriched ingredient. J. Clean. Prod. 2023, 402, 136712. [Google Scholar] [CrossRef]
- Atiq, A.; Lee, H.J.; Khan, A.; Kang, M.H.; Rehman, I.U.; Ahmad, R.; Tahir, M.; Ali, J.; Choe, K.; Park, J.S.; et al. Vitamin E analog trolox attenuates MPTP-induced Parkinson’s disease in mice, mitigating oxidative stress, neuroinflammation, and motor impairment. Int. J. Mol. Sci. 2023, 24, 9942. [Google Scholar] [CrossRef] [PubMed]
- Skroza, D.; Šimat, V.; Vrdoljak, L.; Jolić, N.; Skelin, A.; Čagalj, M.; Frleta, R.; Generalić Mekinić, I. Investigation of antioxidant synergisms and antagonisms among phenolic acids in the model matrices using FRAP and ORAC methods. Antioxidants 2022, 11, 1784. [Google Scholar] [CrossRef] [PubMed]
- García-Martínez, D.J.; Arroyo-Hernández, M.; Posada-Ayala, M.; Santos, C. The high content of quercetin and catechin in airen grape juice supports its application in functional food production. Foods 2021, 10, 1532. [Google Scholar] [CrossRef]
- Averilla, J.N.; Oh, J.; Wu, Z.; Liu, K.H.; Jang, C.H.; Kim, H.J.; Kim, J.S.; Kim, J.S. Improved extraction of resveratrol and antioxidants from grape peel using heat and enzymatic treatments. J. Sci. Food Agric. 2019, 99, 4043–4053. [Google Scholar] [CrossRef]
- Shahid, A.; Ali, R.; Ali, N.; Hasan, S.K.; Bernwal, P.; Afzal, S.M.; Vafa, A.; Sultana, S. Modulatory effects of catechin hydrate against genotoxicity, oxidative stress, inflammation and apoptosis induced by benzo(a)pyrene in mice. Food Chem. Toxicol. 2016, 92, 64–74. [Google Scholar] [CrossRef]
- Zhang, Q.; Xu, Y.; Bukvicki, D.; Peng, Y.; Li, F.; Zhang, Q.; Yan, J.; Lin, S.; Liu, S.; Qin, W. Phenolic compounds in dietary target the regulation of gut microbiota: Role in health and disease. Food Biosci. 2024, 62, 105107. [Google Scholar] [CrossRef]
- Li, Q.; Stautemas, J.; Omondi Onyango, S.; De Mey, M.; Duchi, D.; Tuenter, E.; Hermans, N.; Calders, P.; Van de Wiele, T. Human gut microbiota stratified by (+)-catechin metabolism dynamics reveals colon region-dependent metabolic profile. Food Chem. 2023, 408, 135203. [Google Scholar] [CrossRef]
- Albuquerque, B.R.; Prieto, M.A.; Barros, L.; Ferreira, I.C.F.R. Assessment of the stability of catechin-enriched extracts obtained from arbutus unedo l. fruits: Kinetic mathematical modeling of pH and temperature properties on powder and solution systems. Ind. Crops Prod. 2017, 99, 150–162. [Google Scholar] [CrossRef]
- Domínguez-Avila, J.A.; Wall-Medrano, A.; Velderrain-Rodríguez, G.R.; Chen, C.Y.O.; Salazar-López, N.J.; Robles-Sánchez, M.; González-Aguilar, G.A. Gastrointestinal interactions, absorption, splanchnic metabolism and pharmacokinetics of orally ingested phenolic compounds. Food Funct. 2017, 8, 15–38. [Google Scholar] [CrossRef]






| Varieties | Protocatechuic Acid | Quercetin | p-Coumaric Acid | Ferulic Acid | Sinapic Acid | Rutin | Resveratrol | Catechin | Total Phenolic Compounds |
|---|---|---|---|---|---|---|---|---|---|
| Skin | |||||||||
| ‘Flame Seedless’ * | ND | 96.26 ± 1.87 B | 3.32 ± 0.08 B | 0.91 ± 0.03 B | ND | 174.74 ± 2.15 A | 5.25 ± 0.13 A | 111.70 ± 2.45 B | 387.66 ± 7.94 A |
| ‘Superior’ * | 0.83 ± 0.02 | 107.03 ± 3.92 B | 2.89 ± 0.09 B | 1.19 ± 0.04 A | 1.69 ± 0.09 A | 20.18 ± 0.24 C | 4.88 ± 0.18 A | 114.55 ± 0.72 B | 251.57 ± 5.64 B |
| ‘Perlette’ * | ND | 97.83 ± 1.45 B | 3.48 ± 0.05 B | 1.16 ± 0.04 A | 1.78 ± 0.02 A | 116.59 ± 2.86 B | ND | 110.27 ± 1.27 B | 291.84 ± 20.09 B |
| ‘Red Globe’ | ND | 68.37 ± 2.51 C | 4.15 ± 0.10 A | 1.15 ± 0.04 A | 1.86 ± 0.05 A | 22.87 ± 0.48 C | 4.31 ± 0.12 B | 107.50 ± 3.12 B | 202.20 ± 6.70 C |
| ‘Autumn Royal’ | ND | 118.90 ± 3.25 A | ND | ND | ND | 18.12 ± 0.35 C | 4.67 ± 0.18 AB | 151.49 ± 2.39 A | 290.85 ± 4.19 B |
| Pulp + seed | |||||||||
| ‘Flame Seedless’ * | ND | 39.62 ± 1.39 c | 2.61 ± 0.01 b | 0.91 ± 0.03 b | 1.49 ± 0.05 b | ND | ND | 99.26 ± 2.59 b | 142.53 ± 4.30 d |
| ‘Superior’ * | 0.95 ± 0.03 | 58.41 ± 0.88 b | 2.67 ± 0.05 b | 0.99 ± 0.02 b | 1.71 ± 0.03 a | 3.32 ± 0.06 | 4.70 ± 0.05 a | 107.57 ± 1.46 a | 180.32 ± 2.57 b |
| ‘Perlette’ * | ND | 58.48 ± 0.71 b | 2.78 ± 0.02 b | ND | 1.65 ± 0.01 a | ND | ND | 110.48 ± 0.54 a | 173.39 ± 1.26 bc |
| ‘Red Globe’ | ND | 113.55 ± 0.55 a | 3.22 ± 0.10 a | 1.14 ± 0.05 a | 1.68 ± 0.05 a | ND | 3.82 ± 0.12 b | 110.59 ± 3.27 a | 232.73 ± 3.45 a |
| ‘Autumn Royal’ | ND | 58.92 ± 0.72 b | 2.62 ± 0.02 b | 1.00 ± 0.01 b | ND | ND | ND | 102.46 ± 1.00 ab | 164.66 ± 0.75 c |
| Sum: skin + (pulp + seed) | |||||||||
| ‘Flame Seedless’ * | ND | 135.88 ± 3.74 B | 5.93 ± 0.16 BC | 1.82 ± 0.06 B | 1.49 ± 0.05 B | 174.74 ± 2.15 A | 5.25 ± 0.13 C | 210.97 ± 4.91 B | 530.19 ± 17.75 A |
| ‘Superior’ * | 1.78 ± 0.04 | 165.45 ± 7.85 A | 5.56 ± 0.18 C | 2.18 ± 0.08 A | 3.40 ± 0.18 A | 23.50 ± 0.55 C | 9.58 ± 0.35 A | 222.12±1.60 B | 431.89±12.61 C |
| ‘Perlette’ * | ND | 156.31 ± 2.89 AB | 6.26 ± 0.11 B | 1.16 ± 0.04 C | 3.42 ± 0.04 A | 116.59 ± 2.86 B | ND | 220.74 ± 2.54 B | 505.35 ± 5.33 AB |
| ‘Red Globe’ | ND | 181.93 ± 5.03 A | 7.37 ± 0.20 A | 2.29 ± 0.09 A | 3.54 ± 0.10 A | 22.87 ± 0.48 C | 8.13 ± 0.24 B | 218.08 ± 6.25 B | 434.93 ± 13.40 C |
| ‘Autumn Royal’ | ND | 180.82 ± 3.25 A | 2.62 ± 0.02 D | 1.00 ± 0.01 C | ND | 18.12 ± 0.35 C | 4.67 ± 0.18 C | 252.36 ± 6.02 A | 457.33 ± 10.98 BC |
| Varieties | Protocatechuic Acid | Quercetin | p-Coumaric Acid | Ferulic Acid | Sinapic Acid | Rutin | Resveratrol | Catechin |
|---|---|---|---|---|---|---|---|---|
| Bioaccessible Compounds (Inside the Membrane) | ||||||||
| ‘Flame Seedless’ * | 31.67 ± 0.46 ab | 99.48 ± 0.76 a | ND | ND | ND | ND | ND | 1086.51 ± 1.83 a |
| ‘Superior’ * | 35.23 ± 0.13 a | 66.87 ± 3.78 c | ND | ND | ND | ND | ND | 847.67 ± 8.82 b |
| ‘Perlette’ * | 25.94 ± 2.17 bc | 73.69 ± 2.71 bc | ND | ND | ND | ND | ND | 787.52 ± 35.55 b |
| ‘Red Globe’ | 27.67 ± 0.85 b | 85.19 ± 1.90 ab | ND | ND | ND | ND | ND | 833.45 ± 33.33 b |
| ‘Autumn Royal’ | 20.47 ± 0.26 c | 53.53 ± 2.77 d | 31.54 ± 4.12 | ND | ND | ND | ND | 769.07 ± 11.97 b |
| Absorbed Compounds (Outside the Membrane) | ||||||||
| ‘Flame Seedless’ * | 18.58 ± 0.38 A | 440.02 ± 4.09 A | ND | ND | ND | ND | ND | 1579.71 ± 0.67 A |
| ‘Superior’ * | 12.44 ± 0.36 B | 317.78 ± 2.98 B | ND | ND | ND | ND | ND | 1247.14 ± 14.08 B |
| ‘Perlette’ * | 6.55 ± 0.72 D | 204.07 ± 4.12 D | ND | ND | ND | ND | ND | 1155.28 ± 53.10 B |
| ‘Red Globe’ | 8.54 ± 0.24 C | 244.20 ± 6.86 C | ND | ND | ND | ND | ND | 1223.59 ± 49.23 B |
| ‘Autumn Royal’ | 7.08 ± 0.27 CD | 205.95 ± 5.05 D | 42.83 ± 1.51 | ND | ND | ND | ND | 1093.38 ± 18.53 B |
| Sum of Bioaccessible + Absorbed Compounds | ||||||||
| Total ‘Flame Seedless’ * | 50.26 ± 0.38 a | 539.50 ± 4.09 a | ND | ND | ND | ND | ND | 2666.22 ± 0.67 a |
| Total ‘Superior’ * | 47.67 ± 0.36 b | 384.66 ± 2.98 b | ND | ND | ND | ND | ND | 2094.81 ± 14.08 b |
| Total ‘Perlette’ * | 32.49 ± 0.72 d | 277.76 ± 4.12 d | ND | ND | ND | ND | ND | 1942.80 ± 53.10 bc |
| Total ‘Red Globe’ | 36.21 ± 0.24 c | 329.39 ± 6.86 c | ND | ND | ND | ND | ND | 2057.04 ± 49.23 b |
| Total ‘Autumn Royal’ | 27.56 ± 0.27 e | 259.48 ± 5.05 d | 74.37 ± 1.51 | ND | ND | ND | ND | 1862.46 ± 18.53 c |
Disclaimer/Publisher’s Note: The statements, opinions and data contained in all publications are solely those of the individual author(s) and contributor(s) and not of MDPI and/or the editor(s). MDPI and/or the editor(s) disclaim responsibility for any injury to people or property resulting from any ideas, methods, instructions or products referred to in the content. |
© 2025 by the authors. Licensee MDPI, Basel, Switzerland. This article is an open access article distributed under the terms and conditions of the Creative Commons Attribution (CC BY) license (https://creativecommons.org/licenses/by/4.0/).
Share and Cite
Salazar-López, N.J.; Robles-Sánchez, R.M.; Armenta-Gorosave, J.C.; Domínguez-Avila, J.A.; González-Aguilar, G.A.; Magaña-Barajas, E. By-Products from Five Grape Varieties Grown in Northwest Mexico Are Sources of Bioaccessible and Bioavailable Phenolic Compounds in a Simulated Digestion. Resources 2025, 14, 65. https://doi.org/10.3390/resources14040065
Salazar-López NJ, Robles-Sánchez RM, Armenta-Gorosave JC, Domínguez-Avila JA, González-Aguilar GA, Magaña-Barajas E. By-Products from Five Grape Varieties Grown in Northwest Mexico Are Sources of Bioaccessible and Bioavailable Phenolic Compounds in a Simulated Digestion. Resources. 2025; 14(4):65. https://doi.org/10.3390/resources14040065
Chicago/Turabian StyleSalazar-López, Norma Julieta, Rosario Maribel Robles-Sánchez, Julio Cesar Armenta-Gorosave, J. Abraham Domínguez-Avila, Gustavo A. González-Aguilar, and Elisa Magaña-Barajas. 2025. "By-Products from Five Grape Varieties Grown in Northwest Mexico Are Sources of Bioaccessible and Bioavailable Phenolic Compounds in a Simulated Digestion" Resources 14, no. 4: 65. https://doi.org/10.3390/resources14040065
APA StyleSalazar-López, N. J., Robles-Sánchez, R. M., Armenta-Gorosave, J. C., Domínguez-Avila, J. A., González-Aguilar, G. A., & Magaña-Barajas, E. (2025). By-Products from Five Grape Varieties Grown in Northwest Mexico Are Sources of Bioaccessible and Bioavailable Phenolic Compounds in a Simulated Digestion. Resources, 14(4), 65. https://doi.org/10.3390/resources14040065

