Assessing the Application-Specific Substitutability of Lithium-Ion Battery Cathode Chemistries Based on Material Criticality, Performance, and Price
Abstract
:1. Introduction
2. Materials and Methods
2.1. Methodology of Criticality Assessment
2.2. Evaluation of the Substitutability of LIB Cathode Chemistries
3. Results
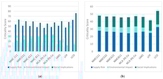
3.1. Criticality of Cathode Materials for Lithium-Ion Batteries
3.2. Performance and Price of the Considered Cathode Chemistries
3.3. Substitutability of Cathode Chemistries
4. Discussion
5. Conclusions
Supplementary Materials
Author Contributions
Funding
Data Availability Statement
Acknowledgments
Conflicts of Interest
References
- United Nations. Paris Agreement; UN: New York, NY, USA, 2015; Available online: https://unfccc.int/process-and-meetings/the-paris-agreement/the-paris-agreement (accessed on 30 July 2021).
- European Commission. The European Green Deal. COM 640; European Commission: Brussels, Belgium, 2019; Available online: https://eur-lex.europa.eu/legal-content/EN/TXT/?qid=1576150542719&uri=COM%3A2019%3A640%3AFIN (accessed on 30 July 2021).
- European Commission. ‘Fit for 55’: Delivering the EU's 2030 Climate Target on the Way to Climate Neutrality; COM(2021) 550 Final; European Commission: Brussels, Belgium, 2021; Available online: https://eur-lex.europa.eu/legal-content/EN/TXT/?uri=CELEX:52021DC0550 (accessed on 30 July 2021).
- Ritchie, H. Cars, Planes, Trains: Where Do CO2 Emissions from Transport Come from? 2020. Available online: https://ourworldindata.org/co2-emissions-from-transport (accessed on 30 July 2021).
- Zhang, R.; Fujimori, S. The role of transport electrification in global climate change mitigation scenarios. Environ. Res. Lett. 2020, 15. [Google Scholar] [CrossRef]
- IEA. Energy Technology Perspectives 2020; International Energy Agency: Paris, France, 2020; Available online: https://www.iea.org/reports/energy-technology-perspectives-2020 (accessed on 30 July 2021).
- Köse, E.; Sauer, A.; Pelzel, C. Energieflexibel durch bivalente Produktionsanlagen/Energy flexibility through bivalent production facilities—Using bivalent production processes to reduce energy costs and stabilize the electricity grid. Wt Werkstattstech. Online 2017, 107, 366–372. [Google Scholar] [CrossRef]
- Merriman, D. The EV Revolution: Impacts on Critical Raw Material Supply Chains. 2019. Available online: https://www.minersoc.org/wp-content/uploads/2019/05/3ICM-Merriman.pdf (accessed on 30 July 2021).
- Karabelli, D.; Kiemel, S.; Singh, S.; Koller, J.; Ehrenberger, S.; Miehe, R.; Weeber, M.; Birke, K.P. Tackling xEV battery chemistry in view of raw material supply shortfalls. Front. Energy Res. 2020, 8. [Google Scholar] [CrossRef]
- Olivetti, E.A.; Ceder, G.; Gaustad, G.G.; Fu, X. Lithium-ion battery supply chain considerations: Analysis of potential bottlenecks in critical metals. Joule 2017, 1, 229–243. [Google Scholar] [CrossRef] [Green Version]
- Haglund, D.G. Strategic minerals: A conceptual analysis. Resour. Policy 1984, 10, 146–152. [Google Scholar] [CrossRef]
- Erdmann, L.; Graedel, T.E. Criticality of non-fuel minerals: A review of major approaches and analyses. Environ. Sci. Technol. 2011, 45, 7620–7630. [Google Scholar] [CrossRef]
- Graedel, T.E.; Barr, R.; Chandler, C.; Chase, T.; Choi, J.; Christoffersen, L.; Friedlander, E.; Henly, C.; Jun, C.; Nassar, N.T.; et al. Methodology of metal criticality determination. Environ. Sci. Technol. 2012, 46, 1063–1070. [Google Scholar] [CrossRef]
- Kolotzek, C.; Helbig, C.; Thorenz, A.; Reller, A.; Tuma, A. A company-oriented model for the assessment of raw material supply risks, environmental impact and social implications. J. Clean. Prod. 2018, 176, 566–580. [Google Scholar] [CrossRef]
- Miehe, R.; Schneider, R.; Baaij, F.; Bauernhansl, T. Criticality of material resources in industrial enterprises—Structural basics of an operational model. Procedia CIRP 2016, 48, 1–9. [Google Scholar] [CrossRef]
- Schrijvers, D.; Hool, A.; Blengini, G.A.; Chen, W.-Q.; Dewulf, J.; Eggert, R.; van Ellen, L.; Gauss, R.; Goddin, J.; Habib, K.; et al. A review of methods and data to determine raw material criticality. Resour. Conserv. Recycl. 2020, 155, 104617. [Google Scholar] [CrossRef]
- Panousi, S.; Harper, E.M.; Nuss, P.; Eckelman, M.J.; Hakimian, A.; Graedel, T.E. Criticality of Seven Specialty Metals. J. Ind. Ecol. 2016, 20, 837–853. [Google Scholar] [CrossRef]
- Graedel, T.E.; Harper, E.M.; Nassar, N.T.; Nuss, P.; Reck, B.K. Criticality of metals and metalloids. Proc. Natl. Acad. Sci. USA 2015, 112, 4257–4262. [Google Scholar] [CrossRef] [Green Version]
- U.S. Department of Energy. Critical Materials Strategy; U.S. Department of Energy: Washington, DC, USA, 2011.
- European Commission. Study on the EU’s List of Critical Raw Materials; Final Report; European Commission: Brussels, Belgium, 2020. [Google Scholar]
- Nassar, N.T.; Barr, R.; Browning, M.; Diao, Z.; Friedlander, E.; Harper, E.M.; Henly, C.; Kavlak, G.; Kwatra, S.; Jun, C.; et al. Criticality of the geological copper family. Environ. Sci. Technol. 2012, 46, 1071–1078. [Google Scholar] [CrossRef]
- Nuss, P.; Harper, E.M.; Nassar, N.T.; Reck, B.K.; Graedel, T.E. Criticality of iron and its principal alloying elements. Environ. Sci. Technol. 2014, 48, 4171–4177. [Google Scholar] [CrossRef]
- Nassar, N.T.; Du, X.; Graedel, T.E. Criticality of the Rare Earth Elements. J. Ind. Ecol. 2015, 19, 1044–1054. [Google Scholar] [CrossRef]
- USGS. Mineral Commodity Summaries 2019; US Geological Survey: Reston, VA, USA, 2019. Available online: https://pubs.er.usgs.gov/publication/70202434 (accessed on 30 July 2021).
- USGS. Mineral Commodity Summaries 2015; US Geological Survey: Reston, VA, USA, 2015. Available online: https://www.usgs.gov/centers/nmic/mineral-commodity-summaries (accessed on 30 July 2021).
- Viebahn, P.; Soukup, O.; Samadi, S.; Teubler, J.; Wiesen, K.; Ritthoff, M. Assessing the need for critical minerals to shift the German energy system towards a high proportion of renewables. Renew. Sustain. Energy Rev. 2015, 49, 655–671. [Google Scholar] [CrossRef] [Green Version]
- Helbig, C.; Bradshaw, A.M.; Kolotzek, C.; Thorenz, A.; Tuma, A. Supply risks associated with CdTe and CIGS thin-film photovoltaics. Appl. Energy 2016, 178, 422–433. [Google Scholar] [CrossRef]
- Kiemel, S.; Smolinka, T.; Lehner, F.; Full, J.; Sauer, A.; Miehe, R. Critical materials for water electrolysers at the example of the energy transition in Germany. Int. J. Energy Res. 2021, 45, 9914–9935. [Google Scholar] [CrossRef]
- Yu, Y. Assessing the criticality of minerals used in emerging technologies in China. PAN 2020, 36, 5–20. [Google Scholar] [CrossRef]
- Helbig, C.; Bradshaw, A.M.; Wietschel, L.; Thorenz, A.; Tuma, A. Supply risks associated with lithium-ion battery materials. J. Clean. Prod. 2018, 172, 274–286. [Google Scholar] [CrossRef]
- Wentker, M.; Greenwood, M.; Asaba, M.C.; Leker, J. A raw material criticality and environmental impact assessment of state-of-the-art and post-lithium-ion cathode technologies. J. Energy Storage 2019, 26, 101022. [Google Scholar] [CrossRef]
- Simon, B.; Ziemann, S.; Weil, M. Criticality of metals for electrochemical energy storage systems—Development towards a technology specific indicator. Metall. Res. Technol. 2014, 111, 191–200. [Google Scholar] [CrossRef]
- Bach, V.; Finogenova, N.; Berger, M.; Winter, L.; Finkbeiner, M. Enhancing the assessment of critical resource use at the country level with the SCARCE method—Case study of Germany. Resour. Policy 2017, 53, 283–299. [Google Scholar] [CrossRef] [Green Version]
- Pavel, C.; Marmier, A.; Alves Dias, P.; Blagoeva, D.; Tzimas, E.; Schüler, D.; Schleicher, T.; Jenseit, W.; Degreif, S.; Buchert, M. Substitution of Critical Raw Materials in Low-Carbon Technologies: Lighting, Wind Turbines and Electric Vehicles; Publications Office of the European Union: Luxembourg, 2016. [Google Scholar]
- Halme, K.; Piirainen, K.; Vekinis, G.; Sievers, U.; Viljamaa, K. Substitutionability of Critical Raw Materials; European Parliament’s Committee on Industry: Brussels, Belgium, 2012; Available online: https://op.europa.eu/de/publication-detail/-/publication/36145a5a-2da8-4730-9b69-4b5eb7444b25 (accessed on 30 July 2021).
- Full, J.; Wanner, J.; Kiemel, S.; Miehe, R.; Weeber, M.; Sauer, A. Comparing technical criteria of various lithium-ion battery cell formats for deriving respective market potentials. In Proceedings of the 2020 IEEE Electric Power and Energy Conference (EPEC), Edmonton, AB, Canada, 9 November 2020; pp. 1–6. [Google Scholar] [CrossRef]
- Achzet, B.; Helbig, C. How to evaluate raw material supply risks—An overview. Resour. Policy 2013, 38, 435–437. [Google Scholar] [CrossRef]
- Goedkoop, M.; Heijungs, R.; Huijbregts, M.; de Schreyver, A.; Struijs, J.; van Zelm, R. ReCiPe 2008 A life Cycle Impact Assessment Method which Comprises Harmonised Category Indicators at the Midpoint and the Endpoint Level. Report I: Characterisation, 1st ed.; Ministerie van VROM: Den Haag, The Netherlands, 2009; Available online: https://www.leidenuniv.nl/cml/ssp/publications/recipe_characterisation.pdf (accessed on 30 July 2021).
- Buchholz, P. Angebotskonzentration bei Mineralischen Rohstoffen und Zwischenprodukten—Potenzielle Preis- und Lieferrisiken: DERA-Rohstoffliste 2012; DERA Rohstoffinformationen 24; DERA: Hannover, Germany, 2014. [Google Scholar]
- Stedman, A.; Green, K.P. Fraser Institute Annual. Survey of Mining Companies 2018; Fraser Institute: Vancouver, BC, Canada, 2019. [Google Scholar]
- Kaufmann, D.; Kraay, A.; Mastruzzi, M. The Worldwide Governance Indicators Project: Answering the Critics; Policy Research Working Paper No. 4149; World Bank: Washington, DC, USA, 2007; Available online: https://openknowledge.worldbank.org/handle/10986/7203 (accessed on 30 July 2021).
- UNDP. Human Development Index. 2019. Available online: http://hdr.undp.org/en/content/human-development-index-hdi (accessed on 30 July 2021).
- Nassar, N.T.; Graedel, T.E.; Harper, E.M. By-product metals are technologically essential but have problematic supply. Sci. Adv. 2015, 1, e1400180. [Google Scholar] [CrossRef] [PubMed] [Green Version]
- Marscheider-Weidemann, F.; Langkau, S.; Hummen, T.; Erdmann, L.; Tercero Espinoza, L.A.; Angerer, G.; Marwede, M.; Benecke, S. Rohstoffe für Zukunftstechnologien 2016: Auftragsstudie; DERA Rohstoffinformationen 28; DERA: Hannover, Germany, 2016. [Google Scholar]
- Graedel, T.E.; Harper, E.M.; Nassar, N.T.; Reck, B.K. On the materials basis of modern society. Proc. Natl. Acad. Sci. USA 2015, 112, 6295–6300. [Google Scholar] [CrossRef] [PubMed] [Green Version]
- Graedel, T.E.; Allwood, J.; Birat, J.-P.; Buchert, M.; Hagelüken, C.; Reck, B.K.; Sibley, S.F.; Sonnemann, G. What do we know about metal recycling rates? J. Ind. Ecol. 2011, 15, 355–366. [Google Scholar] [CrossRef]
- Wernet, G.; Bauer, C.; Steubing, B.; Reinhard, J.; Moreno-Ruiz, E.; Weidema, B. The ecoinvent database version 3 (part I): Overview and methodology. Int. J. Life Cycle Assess 2016, 21, 1218–1230. [Google Scholar] [CrossRef]
- Kaufmann, D.; Kraay, A.; Mastruzzi, M. The Worldwide Governance Indicators, 2019 Update. Aggregate Governance Indicators 1996–2018; World Bank: Washington, DC, USA, 2019; Available online: https://info.worldbank.org/governance/wgi/ (accessed on 30 July 2021).
- Schwab, K. The Global Competitiveness Report. Insight Report; World Economic Forum: Geneva, Switzerland, 2019; Available online: https://www.weforum.org/reports/how-to-end-a-decade-of-lost-productivity-growth (accessed on 30 July 2021).
- Wendling, Z.; Emerson, J.; Esty, D.C.; Levy, M.A.; Sherbinin, A. Environmental Performance Index; Global Metrics for the Environment: Ranking Country Performance on High-Priority Environmental Issues; Yale Center for Environmental Law & Policy: New Haven, CT, USA, 2018. [Google Scholar] [CrossRef]
- The Fund for Peace. Fragile State Index 2019. 2019. Available online: https://fragilestatesindex.org/excel/ (accessed on 30 July 2021).
- New Earth/Social Hotspots Database Project. 2021. Available online: http://www.socialhotspot.org/ (accessed on 30 July 2021).
- World Health Organization. Global Health Estimates 2016: Disease Burden by Cause, Age, Sex, by Country and by Region, 2000–2016; WHO: Geneva, Switzerland, 2018; Available online: http://www.who.int/healthinfo/global_burden_disease/en/ (accessed on 30 July 2021).
- Heidelberg Institute for International Conflict Research. Conflict Barometer 2018. 2019. Available online: https://hiik.de/2019/02/26/konfliktbarometer-2018/ (accessed on 30 July 2021).
- UNDP. Gender Inequality Index. 2018. Available online: http://hdr.undp.org/en/content/gender-inequality-index-gii (accessed on 30 July 2021).
- Dunn, J.B.; James, C.; Gaines, L.; Gallagher, K.; Dai, Q.; Kelly, J.C. Material and Energy Flows in the Production of Cathode and Anode Materials for Lithium Ion Batteries; Argonne National Laboratory: Argonne, IL, USA, 2015. Available online: https://greet.es.anl.gov/publication-anode-cathode-liion (accessed on 30 July 2021).
- Dai, Q.; Kelly, J.C.; Dunn, J.B.; Benavides, P.T. Update of Bill-of-Materials and Cathode Materials Production for Lithium-ion Batteries in the GREET Model; Argonne National Laboratory: Argonne, IL, USA, 2018. Available online: https://greet.es.anl.gov/publication-update_bom_cm (accessed on 30 July 2021).
- Benavides, P.T.; Dai, Q.; Kelly, J.; Dunn, J.B. Addition of Nickel Cobalt Aluminum (NCA) Cathode Material to GREET2; Argonne National Laboratory: Argonne, IL, USA, 2016. Available online: https://greet.es.anl.gov/publication-NCA-Cathode-2016 (accessed on 30 July 2021).
- Xie, J.; Gao, F.; Gong, X.; Wang, Z.; Liu, Y.; Sun, B. Life cycle assessment of LFP cathode material production for power lithium-ion batteries. In Advances in Energy and Environmental Materials. In Advances in Energy and Environmental Materials; Han, Y., Ed.; Springer: Singapore, 2017; pp. 513–522. [Google Scholar] [CrossRef]
- Notter, D.A.; Gauch, M.; Widmer, R.; Wäger, P.; Stamp, A.; Zah, R.; Althaus, H.-J. Contribution of Li-ion batteries to the environmental impact of electric vehicles. Environ. Sci. Technol. 2010, 44. [Google Scholar] [CrossRef]
- Lu, Q.; Wu, P.F.; Shen, W.X.; Wang, X.C.; Zhang, B.; Wang, C. Life cycle assessment of electric vehicle power battery. Mater. Sci. Forum 2016, 847, 403–410. [Google Scholar] [CrossRef]
- Zubi, G.; Dufo-López, R.; Carvalho, M.; Pasaoglu, G. The lithium-ion battery: State of the art and future perspectives. Renew. Sustain. Energy Rev. 2018, 89, 292–308. [Google Scholar] [CrossRef]
- Ding, Y.; Cano, Z.P.; Yu, A.; Lu, J.; Chen, Z. Automotive Li-Ion batteries: Current status and future perspectives. Electrochem. Energ. Rev. 2019, 2, 1–28. [Google Scholar] [CrossRef]
- Li, M. and Lu, J. Cobalt in lithium-ion batteries. Science 2020, 367, 979–980. [Google Scholar] [CrossRef] [PubMed]
- Croy, J.R.; Long, B.R.; Balasubramanian, M. A path toward cobalt-free lithium-ion cathodes. J. Power Sources 2019, 440, 227113. [Google Scholar] [CrossRef]
- Wood, M.; Li, J.; Ruther, R.E.; Du, Z.; Self, E.C.; Meyer, H.M.; Daniel, C.; Belharouak, I.; Wood, D.L. Chemical stability and long-term cell performance of low-cobalt, Ni-Rich cathodes prepared by aqueous processing for high-energy Li-Ion batteries. Energy Storage Mater. 2020, 24, 188–197. [Google Scholar] [CrossRef]
- Zhang, S.S. Problems and their origins of Ni-rich layered oxide cathode materials. Energy Storage Mater. 2020, 24, 247–254. [Google Scholar] [CrossRef]
- DERA; BGR. Preismonitor. Dezember 2019; Deutsche Rohstoffagentur—Bundesanstalt für Geowissenschaften und Rohstoffe: Berlin, Germany, 2019; Available online: https://www.deutsche-rohstoffagentur.de/DE/Themen/Min_rohstoffe/Produkte/Preisliste/pm_19_12.pdf?__blob=publicationFile&v=5 (accessed on 30 July 2021).
- Shulga, M. US Pig Iron: Prices Go Down on Weakening Scrap Market. 2018. Available online: https://www.metalbulletin.com/Article/3825289/US-PIG-IRON-Prices-go-down-on-weakening-scrap-market.html (accessed on 30 July 2021).
- Kelly, T.D.; Matos, G.R.; Buckingham, D.A.; DiFrancesco, C.A.; Porter, K.E. Historical Statistics for Mineral and Material Commodities in the United States. 2017–2018. Available online: https://www.usgs.gov/centers/nmic/historical-statistics-mineral-and-material-commodities-united-states (accessed on 30 July 2021).
- Connors, L.A.; Hayward, B.E. Trading für Profis. Mit Welchen Börsentechniken Sie von der Dummheit Vieler Anleger Profitieren; Börsenverl: Rosenheim, Germany, 1998. [Google Scholar]
- Saaty, T.L.; Vargas, L.G. Decision Making in Economic, Political, Social and Technological Environments. With the Analytic Hierarchy Process; The Analytic Hierarchy Process Series 7; RWS Publication: Pittsburgh, PA, USA, 1994. [Google Scholar]
- Meixner, O.; Haas, R. Wissensmanagement und Entscheidungstheorie: Mit 35 Tabellen; Facultas: Vienna, Austria, 2010. [Google Scholar]
- Velázquez-Martínez, V.; Santasalo-Aarnio, R.; Serna-Guerrero, R. A critical review of lithium-ion battery recycling processes from a circular economy perspective. Batteries 2019, 5, 68. [Google Scholar] [CrossRef] [Green Version]
- Rudisuela, K. Battle of the batteries—Cost versus Performance. 2020. Available online: https://nickelinstitute.org/blog/2020/june/battle-of-the-batteries-cost-versus-performance/ (accessed on 17 July 2021).
- Meeus, M. Overview of battery cell technologies. In Proceedings of the European Battery Cell R&I Workshop, Brussels, Belgium, 11–12 January 2018. [Google Scholar]
- Pillot, C. Impact of the xEV market growth on lithium-ion batteries and raw materials supply 2018–2030. In Proceedings of the Automotive Battery Conference, Strasbourg, France, 27–31 January 2019; Available online: https://www.emove360.com/wp-content/uploads/2019/10/Impact-of-the-xEV-Market-growth-on-Lithium-Ion-batteries-and-raw-matterials-supply-2018-2030.pdf (accessed on 30 July 2021).
- Or, T.; Gourley, S.W.D.; Kaliyappan, K.; Yu, A.; Chen, Z. Recycling of mixed cathode lithium-ion batteries for electric vehicles: Current status and future outlook. Carbon Energy 2020, 2, 6–43. [Google Scholar] [CrossRef] [Green Version]
- Anderson, M. EV batteries shift into high gear: Advances in anodes, cathodes, and electrolytes are poised to appear in future electric vehicles. IEEE Spectr. 2020, 57, 8–9. [Google Scholar] [CrossRef]
- Yoshio, M.; Brodd, R.J.; Kozawa, A. Lithium-Ion Batteries. Science and Technologies; Springer: New York, NY, USA, 2009; Available online: https://www.researchgate.net/publication/253140965_A_Review_of_Positive_Electrode_Materials_for_Lithium-Ion_Batteries (accessed on 30 July 2021).









| Dimension | Category | Indicator | Abbreviation | Reference | |
|---|---|---|---|---|---|
| Supply Risk | Concentration Risk | Company Concentration | CompC | [24] | |
| Country Concentration | CountC | [39] | |||
| Political Risk | Policy Perception Index | PPI | [40] | ||
| WGI: Political Stability and Absence of Violence/Terrorism | WGI-PV | [41] | |||
| Human Development Index: Regulation | HDI | [42] | |||
| Risk of Demand Increase | Companion Metal Fraction | CMF | [43] | ||
| Future Technology Demand | FTD | [44] | |||
| Substitutability (raw material) | Subs | [45] | |||
| Risk of Supply Reduction | Recycling Rate | RR | [46] | ||
| Static Reach Reserves | SRRV | [24] | |||
| Static Reach Resources | SRRC | [24] | |||
| Environmental Impact | Ecosystem Quality | Agricultural Land Occupation | ALO | [47] | |
| Climate Change, Ecosystem | CCE | [47] | |||
| Freshwater Ecotoxicity | FEuc | [47] | |||
| Freshwater Eutrophication | FEut | [47] | |||
| Marine Ecotoxicity | MEct | [47] | |||
| Natural Land Transformation | NLT | [47] | |||
| Terrestrial Acidification | Tacd | [47] | |||
| Terrestrial Ecotoxicity | Tect | [47] | |||
| Urban Land Occupation | ULO | [47] | |||
| Human Health | Climate Change, Human Health | CCHH | [47] | ||
| Human Toxicity | HAT | [47] | |||
| Ionising Radiation | IR | [47] | |||
| Ozone Depletion | OD | [47] | |||
| Particulate Matter Formation | PMF | [47] | |||
| Photochemical Oxidant Formation | POF | [47] | |||
| Social Implications | Local Community | Access to Immaterial Resources | WGI: Voice and Accountability | AIR | [48] |
| Global Competitiveness Report: FDI and technology transfer | [49] | ||||
| Access to Material Resources | Environmental Performance Index: Water and Sanitation | EPI-WS | [50] | ||
| Community Engagement | GCR: Public Trust of Politicians | CE | [49] | ||
| GCR: Transparency of Government Policymaking | [49] | ||||
| Cultural Heritage | Fragile State Index: Group Grievance | FSI-GG | [51] | ||
| Delocalization and Migration | Fragile State Index: Refugees and IDPs | FSI-R | [51] | ||
| Local Employment | Risk of Unemployment | LE | [52] | ||
| Respect of Indigenous Rights | Risk That a Country Does not Provide Laws to Protect Indigenous People | RIR | [52] | ||
| Risk that Indigenous People are Negatively Impacted | |||||
| Safe and Healthy Living Conditions | WHO: Age-standardized DALY rates | DALY | [53] | ||
| Secure Living Conditions | GCR: Security of Public Institutions | SLC | [49] | ||
| GCR: Reliability of Police Services | [49] | ||||
| Society | Corruption | WGI: Control of Corruption | WGI-CC | [48] | |
| Prevention and Mitigation of Armed Conflicts | HIIK Conflict Barometer | HIIK | [54] | ||
| Worker | Child Labor | Risk of Child Labor | CL | [52] | |
| Equal Opportunities/Discrimination | Gender Inequality Index | GII | [55] | ||
| Fair Salary | Risk of Average Wage Being Lower Than Non-Poverty Guideline | FS | [52] | ||
| Forced Labor | Risk of Forced Labor | FL | [52] | ||
| Freedom of Association and Bargaining | Risk of Not to Enforce the Right to Strike | FA&B | |||
| Risk of Not to Enforce Freedom of Association Rights | [52] | ||||
| Risk of Not to Enforce Collective Bargaining Rights | |||||
| Health and Safety | Risk of Non-Fatal Injuries | H&S | [52] | ||
| Risk of Fatal Injuries | |||||
| Working Hours | Risk of Excessive Working Time | WH | [52] | ||
| Li2CO3 | LiOH | NiSO4 | MnSO4 | MnO2 | CoSO4 | Al2(SO4)3 | FeSO4 | H3PO4 | Reference | |
|---|---|---|---|---|---|---|---|---|---|---|
| NMC 111 | 0.106 | 0.298 | 0.298 | 0.298 | [8] | |||||
| NMC 532 | 0.106 | 0.447 | 0.268 | 0.179 | [8] | |||||
| NMC 622 | 0.106 | 0.536 | 0.179 | 0.179 | [8] | |||||
| NMC 811 | 0.106 | 0.716 | 0.089 | 0.089 | [8] | |||||
| NCA 3% | 0.106 | 0.824 | 0.045 | 0.025 | [8] | |||||
| NCA 9% | 0.106 | 0.734 | 0.14 | 0.02 | [8] | |||||
| LMO | 0.06 | 0.94 | [8] | |||||||
| LFP | 0.04 | 0.36 | 0.6 | [8] | ||||||
| LCO | 0.11 | 0.89 | [61] |
| Full et al. 2020 [36] | Zubi et al. 2018 [62] | Considered? | Reason for Exclusion | |
|---|---|---|---|---|
| Yes | No | |||
| Energy density | Energy | X | ||
| Power density | Power | X | ||
| Stability | Safety | X | ||
| Lifespan | Durability | X | ||
| Thermal properties | X | No matchable indicator used by Zubi et al. | ||
| Sustainability | X | The sustainability assessment of cathode chemistries is covered by the categories “price of substitute“ and “criticality of substitute” | ||
| Degree of standardization | Maturity | X | ||
| Shape flexibility | X | No matchable indicator used by Zubi et al. | ||
| Cost | Affordability | X | Covered by the category “price of substitute” | |
| Materials | X | The assessment of utilized materials is the focus of the present article (“criticality of substitute”) | ||
| Performance | X | Covered by the category “performance of substitute” | ||
| Level/Category | Category/Indicator | Abbreviation | Weighting |
|---|---|---|---|
| Substitutability | Performance of the substitute | ws1 | 0.410 |
| Criticality of the substitute | ws2 | 0.269 | |
| Price of the substitute | ws3 | 0.321 | |
| ∑ | 1 | ||
| Criticality of substitute | Supply risk of the substitute | wc1 | 0.520 |
| Environmental risk of the substitute | wc2 | 0.244 | |
| Social risk of the substitute | wc3 | 0.236 | |
| ∑ | 1 | ||
| Price of substitute | Current price of the substitute | w€1 | 0.161 |
| Average price long-term of the substitute | w€2 | 0.273 | |
| Average price mid-term of the substitute | w€3 | 0.276 | |
| Volatility long-term of the substitute | w€4 | 0.134 | |
| Volatility mid-term of the substitute | w€5 | 0.157 | |
| ∑ | 1 |
Publisher’s Note: MDPI stays neutral with regard to jurisdictional claims in published maps and institutional affiliations. |
© 2021 by the authors. Licensee MDPI, Basel, Switzerland. This article is an open access article distributed under the terms and conditions of the Creative Commons Attribution (CC BY) license (https://creativecommons.org/licenses/by/4.0/).
Share and Cite
Kiemel, S.; Glöser-Chahoud, S.; Waltersmann, L.; Schutzbach, M.; Sauer, A.; Miehe, R. Assessing the Application-Specific Substitutability of Lithium-Ion Battery Cathode Chemistries Based on Material Criticality, Performance, and Price. Resources 2021, 10, 87. https://doi.org/10.3390/resources10090087
Kiemel S, Glöser-Chahoud S, Waltersmann L, Schutzbach M, Sauer A, Miehe R. Assessing the Application-Specific Substitutability of Lithium-Ion Battery Cathode Chemistries Based on Material Criticality, Performance, and Price. Resources. 2021; 10(9):87. https://doi.org/10.3390/resources10090087
Chicago/Turabian StyleKiemel, Steffen, Simon Glöser-Chahoud, Lara Waltersmann, Maximilian Schutzbach, Alexander Sauer, and Robert Miehe. 2021. "Assessing the Application-Specific Substitutability of Lithium-Ion Battery Cathode Chemistries Based on Material Criticality, Performance, and Price" Resources 10, no. 9: 87. https://doi.org/10.3390/resources10090087
APA StyleKiemel, S., Glöser-Chahoud, S., Waltersmann, L., Schutzbach, M., Sauer, A., & Miehe, R. (2021). Assessing the Application-Specific Substitutability of Lithium-Ion Battery Cathode Chemistries Based on Material Criticality, Performance, and Price. Resources, 10(9), 87. https://doi.org/10.3390/resources10090087

