An Overview of Indicator Choice and Normalization in Raw Material Supply Risk Assessments
Abstract
:1. Introduction
2. Method
3. Results
3.1. Concentration (A)
3.2. Scarcity (B)
3.3. Political Instability (C)
3.4. Regulations (D)
3.5. By-Product Dependence (E)
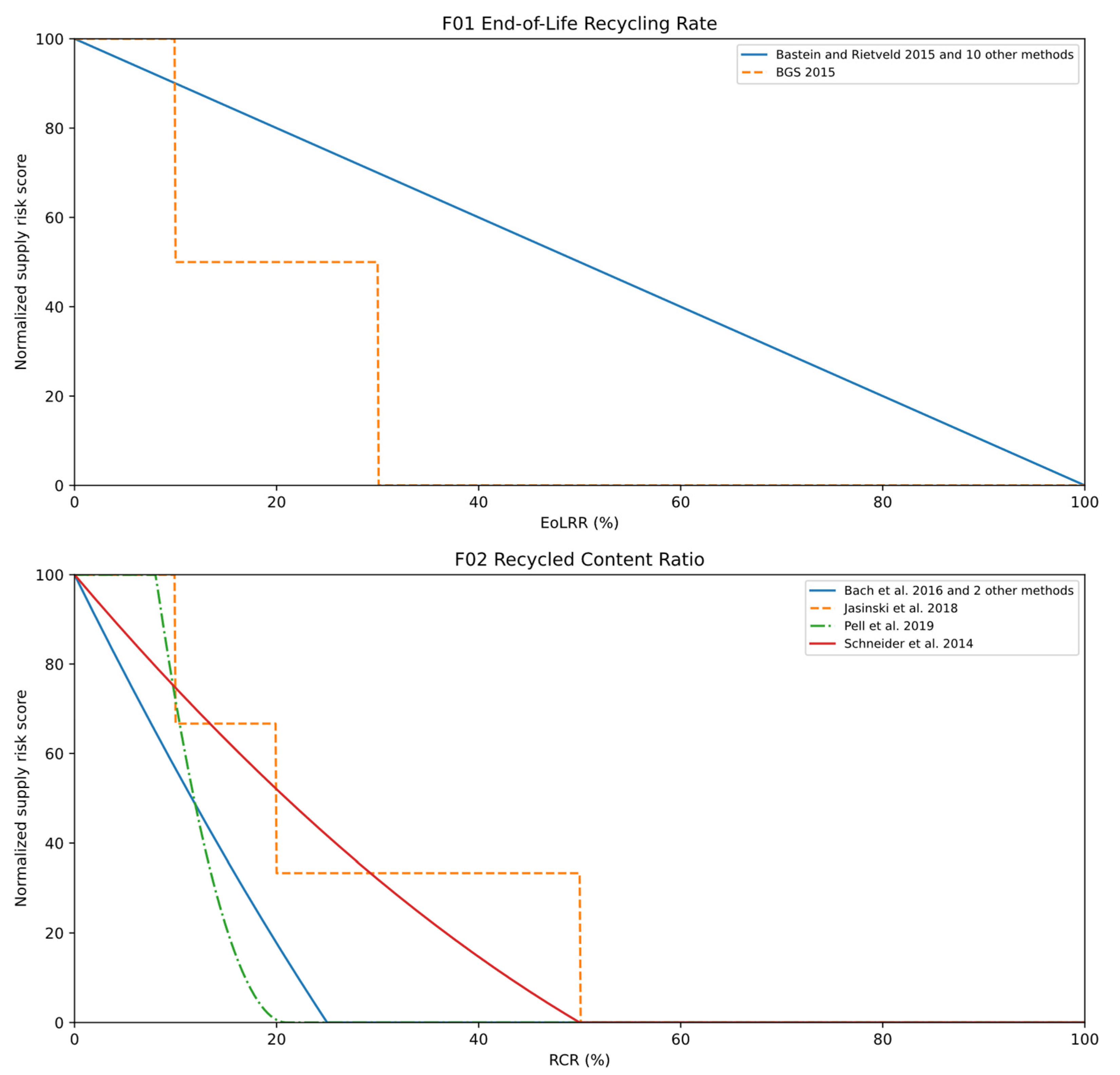
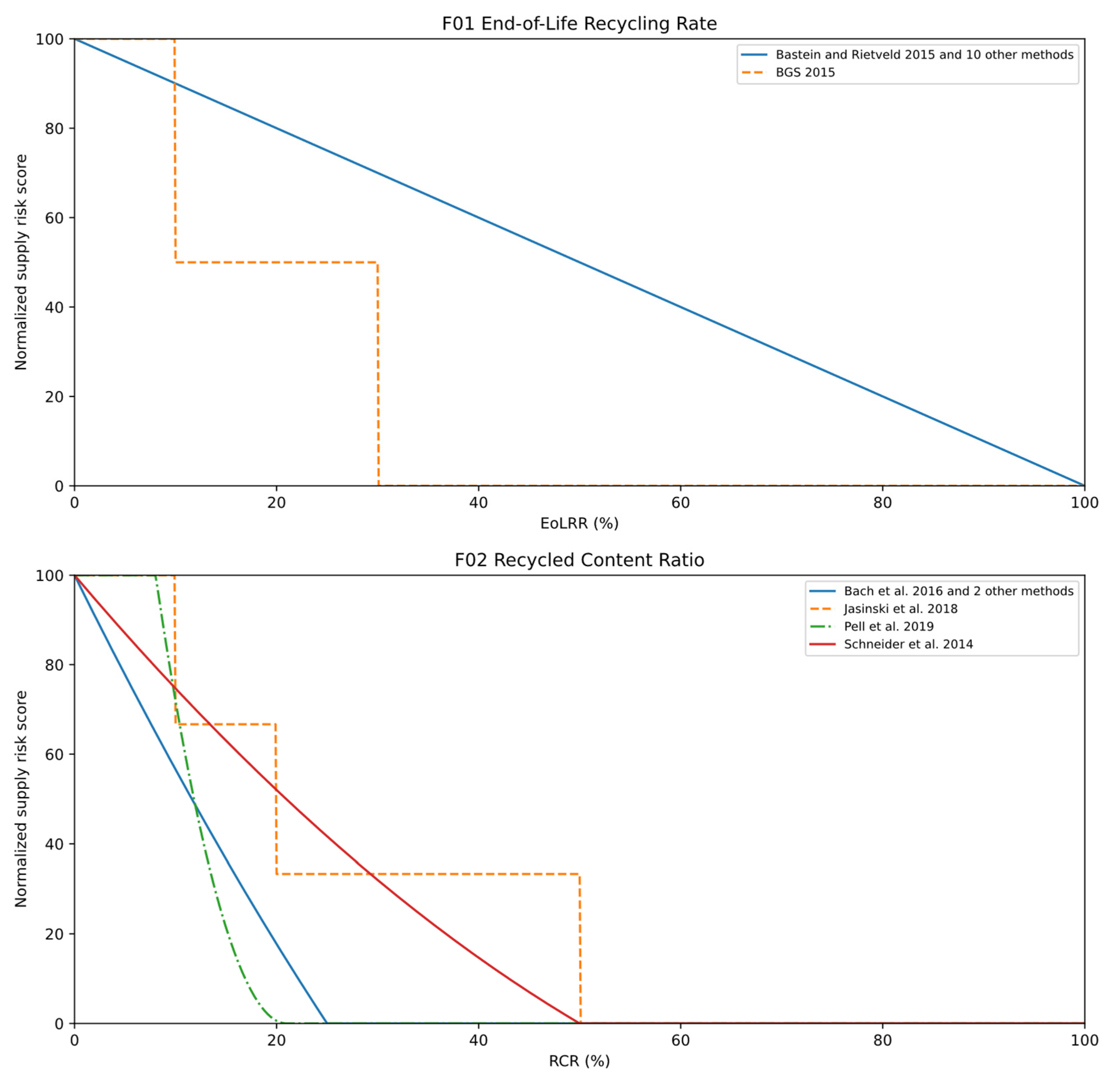
3.6. Dependence on Primary Production (F)
3.7. Demand Growth (G)
3.8. Lack of Substitution Options (H)
3.9. Price Volatility (I)
3.10. Import Dependency (J)
3.11. Other Indicators
4. Discussion and Conclusions
Supplementary Materials
Author Contributions
Funding
Institutional Review Board Statement
Informed Consent Statement
Data Availability Statement
Conflicts of Interest
Appendix A
| Short Name | Year | Type | Ref. |
|---|---|---|---|
| Adibi et al. 2017 | 2017 | assessment | [74] |
| Alonso et al. 2007 | 2007 | collection of indicators | [75] |
| Althaf and Babbit 2020 | 2020 | assessment | [70] |
| Apple 2019 | 2019 | collection of indicators | [69] |
| Ashby 2016 | 2016 | collection of indicators | [27] |
| Bach et al. 2016 | 2016 | assessment | [43] |
| Bach et al. 2017 RESPOL | 2017 | assessment | [71] |
| Bach et al. 2017 Sustainability | 2017 | assessment | [76] |
| Bach et al. 2018 | 2018 | assessment | [61] |
| Bastein and Rietveld 2015 | 2015 | assessment | [77] |
| Bauer et al. 2011 | 2011 | assessment | [78] |
| Behrendt et al. 2007 | 2007 | assessment | [26] |
| Beylot and Villeneuve 2015 | 2015 | assessment | [79] |
| BGS 2015 | 2015 | assessment | [48] |
| Blagoeva et al. 2016 | 2016 | assessment | [34] |
| Blengini et al. 2017 RESPOL | 2017 | assessment | [55] |
| Brown 2018 | 2018 | assessment | [80] |
| Buchert et al. 2009 | 2009 | assessment | [81] |
| Calvo et al. 2018 | 2018 | assessment | [82] |
| Ciacci et al. 2016 | 2016 | assessment | [45] |
| Cimprich et al. 2017 | 2017 | assessment | [83] |
| Cimprich et al. 2018 | 2018 | assessment | [84] |
| Coulomb et al. 2015 | 2015 | assessment | [85] |
| Daw 2017 | 2017 | assessment | [86] |
| DERA 2019 | 2019 | assessment | [35] |
| Duclos et al. 2010 | 2010 | assessment | [28] |
| European Commission 2014 | 2014 | assessment | [56] |
| Eggert et al. 2000 | 2000 | assessment | [19] |
| Eheliyagoda et al. 2020 | 2020 | assessment | [38] |
| Erdmann et al. 2011 | 2011 | assessment | [32] |
| Frenzel et al. 2017 RESPOL | 2017 | assessment | [87] |
| Frondel et al. 2006 | 2006 | single indicator | [18] |
| Fu et al. 2019 | 2019 | assessment | [88] |
| Gemechu et al. 2016 | 2016 | assessment | [31] |
| Glöser-Chahoud et al. 2016 | 2016 | assessment | [89] |
| Goddin 2019 | 2019 | assessment | [90] |
| Goe and Gaustad 2014 | 2014 | assessment | [58] |
| Graedel et al. 2012 | 2012 | assessment | [8] |
| Graedel et al. 2015 | 2015 | assessment | [91] |
| Grebe et al. 1977 | 1977 | assessment | [9] |
| Habib and Wenzel 2016 | 2016 | assessment | [23] |
| Habib et al. 2016 | 2016 | single indicator | [20] |
| Hatayama and Tahara 2015 | 2015 | assessment | [92] |
| Helbig et al. 2016 | 2016 | assessment | [12] |
| Helbig et al. 2017 | 2017 | assessment | [24] |
| Helbig et al. 2018 | 2018 | assessment | [72] |
| Helbig et al. 2020 | 2020 | assessment | [46] |
| Ioannidou et al. 2019 | 2019 | assessment | [93] |
| Jasinski et al. 2018 | 2018 | assessment | [36] |
| Kim et al. 2019 | 2019 | assessment | [94] |
| Kolotzek et al. 2018 | 2018 | assessment | [21] |
| Kosmol et al. 2018 | 2018 | assessment | [95] |
| Li et al. 2019 | 2019 | assessment | [59] |
| Malinauskiene et al. 2018 | 2018 | assessment | [65] |
| Marscheider-Weidemann et al. 2016 | 2016 | single indicator | [51] |
| Martins and Castro 2019 | 2019 | assessment | [96] |
| Mayer and Gleich 2015 | 2015 | assessment | [6] |
| Miyamoto et al. 2019 | 2019 | assessment | [97] |
| Morley and Eatherley 2008 | 2008 | assessment | [29] |
| Moss et al. 2013 | 2013 | assessment | [98] |
| Nansai et al. 2015 | 2015 | assessment | [99] |
| Nansai et al. 2017 | 2017 | assessment | [100] |
| Nassar et al. 2015 | 2015 | collection of indicators | [13] |
| Nassar et al. 2016 | 2016 | assessment | [33] |
| Nassar et al. 2020 | 2020 | assessment | [62] |
| NRC 2008 | 2008 | assessment | [101] |
| Parthemore 2011 | 2011 | assessment | [102] |
| Pell et al. 2019 | 2019 | assessment | [17] |
| Pfleger et al. 2015 | 2015 | assessment | [68] |
| Roelich et al. 2014 | 2014 | assessment | [47] |
| Rosenau-Tornow et al. 2009 | 2009 | assessment | [22] |
| Schneider et al. 2014 | 2014 | assessment | [15] |
| Shammugam et al. 2019 | 2019 | assessment | [103] |
| Simon et al. 2014 | 2014 | assessment | [104] |
| Spörri et al. 2017 | 2017 | assessment | [105] |
| Sun et al. 2019 | 2019 | assessment | [37] |
| Thomason et al. 2010 | 2010 | assessment | [39] |
| Tuma et al. 2014 | 2014 | assessment | [106] |
| van den Brink 2020 | 2020 | assessment | [107] |
| Viebahn et al. 2015 | 2015 | assessment | [108] |
| Wentker et al. 2019 | 2019 | assessment | [109] |
| Yan et al. 2020 | 2020 | assessment | [110] |
| Yuan et al. 2019 | 2019 | assessment | [111] |
| Zepf et al. 2014 | 2014 | assessment | [112] |
| Zhou et al. 2019 | 2019 | assessment | [66] |
| Zhou et al. 2020 JCLEPRO | 2020 | assessment | [67] |
| Zhou et al. 2020 RESPOL | 2020 | assessment | [14] |
References
- Schrijvers, D.; Hool, A.; Blengini, G.A.; Chen, W.-Q.; Dewulf, J.; Eggert, R.; van Ellen, L.; Gauss, R.; Goddin, J.; Habib, K.; et al. A review of methods and data to determine raw material criticality. Resour. Conserv. Recycl. 2020, 155, 104617. [Google Scholar] [CrossRef]
- Helbig, C.; Schrijvers, D.; Hool, A. Selecting and prioritizing material resources by criticality assessments. One Earth 2021, 4, 339–345. [Google Scholar] [CrossRef]
- Achzet, B.; Helbig, C. How to evaluate raw material supply risks—An overview. Resour. Policy 2013, 38, 435–447. [Google Scholar] [CrossRef]
- Helbig, C.; Wietschel, L.; Thorenz, A.; Tuma, A. How to evaluate raw material vulnerability—An overview. Resour. Policy 2016, 48, 13–24. [Google Scholar] [CrossRef]
- Hatayama, H.; Tahara, K. Adopting an objective approach to criticality assessment: Learning from the past. Resour. Policy 2018, 55, 96–102. [Google Scholar] [CrossRef]
- Mayer, H.; Gleich, B. Measuring Criticality of Raw Materials: An Empirical Approach Assessing the Supply Risk Dimension of Commodity Criticality. Nat. Resour. 2015, 6, 56–78. [Google Scholar] [CrossRef] [Green Version]
- Graedel, T.E.; Reck, B.K. Six Years of Criticality Assessments: What Have We Learned So Far? J. Ind. Ecol. 2016, 20, 692–699. [Google Scholar] [CrossRef]
- Graedel, T.E.; Barr, R.; Chandler, C.; Chase, T.; Choi, J.; Christoffersen, L.; Friedlander, E.; Henly, C.; Jun, C.; Nassar, N.T.; et al. Methodology of Metal Criticality Determination. Environ. Sci. Technol. 2012, 46, 1063–1070. [Google Scholar] [CrossRef] [PubMed]
- Grebe, W.H.; Krauß, U.; Kurszona, M.; Schmidt, H.; Kamphausen, D.; Liebrucks, M.; Rumberger, M.; Wettig, E.; Bäse, K.; Jägeler, F.; et al. Ausfallrisiko bei 31 Rohstoffen: Bergwirtschaftliche und Rohstoffwirtschafliche Kriterien für das Angebot und die Nachfrage wichtiger Rohstoffe; Bundesanstalt Für Geowissenschaften und Rohstofe, Deutsches Institut für Wirtschaftforschung, Institut zur Erforschung Technologischer Entwicklungslinien: Berlin, Germany, 1977. [Google Scholar]
- Herfindahl, O.C. Concentration in the US Steel Industry. Ph.D. Thesis, Columbia University, New York, NY, USA, 1950. [Google Scholar]
- Hirschman, A.O. National Power and the Structure of Foreign Trade; University of California Press: Berkeley, CA, USA, 1980; ISBN 9780520040823. [Google Scholar]
- Helbig, C.; Bradshaw, A.M.; Kolotzek, C.; Thorenz, A.; Tuma, A. Supply risks associated with CdTe and CIGS thin-film photovoltaics. Appl. Energy 2016, 178, 422–433. [Google Scholar] [CrossRef]
- Nassar, N.T.; Graedel, T.E.; Harper, E.M. By-product metals are technologically essential but have problematic supply. Sci. Adv. 2015, 1, e1400180. [Google Scholar] [CrossRef] [PubMed] [Green Version]
- Zhou, N.; Wu, Q.; Hu, X.; Zhu, Y.; Su, H.; Xue, S. Synthesized indicator for evaluating security of strategic minerals in China: A case study of lithium. Resour. Policy 2020, 69, 101915. [Google Scholar] [CrossRef]
- Schneider, L.; Berger, M.; Schüler-Hainsch, E.; Knöfel, S.; Ruhland, K.; Mosig, J.; Bach, V.; Finkbeiner, M. The economic resource scarcity potential (ESP) for evaluating resource use based on life cycle assessment. Int. J. Life Cycle Assess. 2014, 19, 601–610. [Google Scholar] [CrossRef]
- Frischknecht, R.; Steiner, R.; Jungbluth, N. The Ecological Scarcity Method—Eco-Factors 2006. A Method for Impact Assessment in LCA; Federal Office for the Environment: Bern, Switzerland, 2009. [Google Scholar]
- Pell, R.S.; Wall, F.; Yan, X.; Bailey, G. Applying and advancing the economic resource scarcity potential (ESP) method for rare earth elements. Resour. Policy 2019, 62, 472–481. [Google Scholar] [CrossRef]
- Frondel, M.; Angerer, G.; Buchholz, P. Trends der Angebots-und Nachfragesituation bei Mineralischen Rohstoffen; BMWi: Berlin, Germany, 2006. [Google Scholar]
- Eggert, P.; Haid, A.; Wettig, E.; Dahlheimer, M.; Kruszona, M.; Wagner, H. Auswirkungen der Weltweiten Konzentration in der Bergbauproduktion auf die Rohstoffversorgung der Deutschen Wirtschaft; Deutsches Institut für Wirtschaftsforschung: Berlin, Germany, 2000; Volume 184, ISBN 3428102738. [Google Scholar]
- Habib, K.; Hamelin, L.; Wenzel, H. A dynamic perspective of the geopolitical supply risk of metals. J. Clean. Prod. 2016, 133, 850–858. [Google Scholar] [CrossRef]
- Kolotzek, C.; Helbig, C.; Thorenz, A.; Reller, A.; Tuma, A. A company-oriented model for the assessment of raw material supply risks, environmental impact and social implications. J. Clean. Prod. 2018, 176, 566–580. [Google Scholar] [CrossRef]
- Rosenau-Tornow, D.; Buchholz, P.; Riemann, A.; Wagner, M. Assessing the long-term supply risks for mineral raw materials-a combined evaluation of past and future trends. Resour. Policy 2009, 34, 161–175. [Google Scholar] [CrossRef]
- Habib, K.; Wenzel, H. Reviewing resource criticality assessment from a dynamic and technology specific perspective—using the case of direct-drive wind turbines. J. Clean. Prod. 2016, 112, 3852–3863. [Google Scholar] [CrossRef]
- Helbig, C.; Kolotzek, C.; Thorenz, A.; Reller, A.; Tuma, A.; Schafnitzel, M.; Krohns, S. Benefits of resource strategy for sustainable materials research and development. Sustain. Mater. Technol. 2017, 12, 1–8. [Google Scholar] [CrossRef] [Green Version]
- Li, X.Y.; Ge, J.P.; Chen, W.Q.; Wang, P. Scenarios of rare earth elements demand driven by automotive electrification in China: 2018–2030. Resour. Conserv. Recycl. 2019, 145, 322–331. [Google Scholar] [CrossRef]
- Behrendt, S.; Scharp, M.; Kahlenborn, W.; Feil, M.; Dereje, C.; Bleischwitz, R.; Delzeit, R. Maßnahmen und Konzepte zur Lösung des Problems konfliktverschärfender Rohstoffausbeutung am Beispiel Coltan; Umweltbundesamt: Berlin, Germany, 2007. [Google Scholar]
- Ashby, M.F. Materials and Sustainable Development; Butterworth-Heinemann: Oxford, UK, 2016. [Google Scholar]
- Duclos, S.J.; Otto, J.P.; Konitzer, D.G. Design in an Era of Constrained Resources: As Global Competition for Materials strains the Supply Chain, Companies must know where a Shortage can hurt and then plan around it. Mech. Eng. 2010, 132, 36–40. [Google Scholar] [CrossRef] [Green Version]
- Morley, N.; Eatherley, D. Material Security—Ensuring Resource Availability for the UK Economy; C-Tech Innovations: Chester, UK, 2008. [Google Scholar]
- Kaufmann, D.; Kraay, A.; Mastruzzi, M. The Worldwide Governance Indicators: Methodology and Analytical Issues. World Bank Policy Res. Work. Pap. 2010, 5430, 1–31. [Google Scholar] [CrossRef]
- Gemechu, E.D.; Helbig, C.; Sonnemann, G.; Thorenz, A.; Tuma, A. Import-based Indicator for the Geopolitical Supply Risk of Raw Materials in Life Cycle Sustainability Assessments. J. Ind. Ecol. 2016, 20, 154–165. [Google Scholar] [CrossRef]
- Erdmann, L.; Behrendt, S.; Feil, M. Kritische Rohstoffe für Deutschland; KfW Bankengruppe: Berlin, Germany, 2011. [Google Scholar]
- Nassar, N.T.; Xun, S.; Fortier, S.M.; Schoeberlein, D. Assessment of Critical Minerals: Screening Methodology and Initial Application; Executive Office of the President of the United States: Washington, DC, USA, 2016. [Google Scholar]
- Blagoeva, D.T.; Alves Dias, P.; Marmier, A.; Pavel, C.C. Assessment of Potential Bottlenecks along the Materials Supply Chain for the Future Deployment of Low-Carbon Energy and Transport Technologies in the EU. Wind Power, Photovoltaic and Electric Vehicles Technologies, Time Frame: 2015–2030; European Commission: Brussels, Belgium, 2016. [Google Scholar]
- DERA. DERA-Rohstoffliste 2019; Deutsche Rohstoffagentur in der Bundesanstalt für Geowissenschaften und Rohstoffe: Berlin, Germany, 2019.
- Jasiński, D.; Cinelli, M.; Dias, L.C.; Meredith, J.; Kirwan, K. Assessing supply risks for non-fossil mineral resources via multi-criteria decision analysis. Resour. Policy 2018, 58, 150–158. [Google Scholar] [CrossRef]
- Sun, X.; Hao, H.; Hartmann, P.; Liu, Z.; Zhao, F. Supply risks of lithium-ion battery materials: An entire supply chain estimation. Mater. Today Energy 2019, 14, 100347. [Google Scholar] [CrossRef]
- Eheliyagoda, D.; Zeng, X.; Li, J. A method to assess national metal criticality: The environment as a foremost measurement. Humanit. Soc. Sci. Commun. 2020, 7, 43. [Google Scholar] [CrossRef]
- Thomason, S.J.; Atweill, R.; Bajraktari, Y.; Bell, J.; Barnett, D.; Karvonides, N.; Niles, M.; Schwartz, E. From National Defense Stockpile (NDS) to Strategic Materials Security Program (SMSP): Evidence and Analytic Support; Institute for Defense Analysis: Washington, DC, USA, 2010. [Google Scholar]
- Yunis, J.; Elmira, A. Survey of Mining Companies 2020. Fraser Inst. Annu. 2018. Available online: http://www.fraserinstitute.org (accessed on 3 August 2021).
- UNDP. The Next Frontier: Human Development and the Anthropocene; UNDP: New York, NY, USA, 2020; ISBN 9789211264425. [Google Scholar]
- Wendling, Z.A.; Emerson, J.W.; de Sherbinin, A.; Esty, D.C. 2020 Environmental Performance Index; Yalce Center for Environmental Law & Policy: New Haven, CT, USA, 2020. [Google Scholar]
- Bach, V.; Berger, M.; Henßler, M.; Kirchner, M.; Leiser, S.; Mohr, L.; Rother, E.; Ruhland, K.; Schneider, L.; Tikana, L.; et al. Integrated method to assess resource efficiency—ESSENZ. J. Clean. Prod. 2016, 137, 118–130. [Google Scholar] [CrossRef] [Green Version]
- UNDP. 2020 Human Development Report: Technical Notes; UNEP: Nairobi, Kenya, 2020. [Google Scholar]
- Ciacci, L.; Nuss, P.; Reck, B.K.; Werner, T.T.; Graedel, T.E. Metal Criticality Determination for Australia, the US, and the Planet—Comparing 2008 and 2012 Results. Resources 2016, 5, 29. [Google Scholar] [CrossRef]
- Helbig, C.; Bradshaw, A.M.; Thorenz, A.; Tuma, A. Supply Risk Considerations for the Elements in Nickel-Based Superalloys. Resources 2020, 9, 106. [Google Scholar] [CrossRef]
- Roelich, K.; Dawson, D.A.; Purnell, P.; Knoeri, C.; Revell, R.; Busch, J.; Steinberger, J.K. Assessing the dynamic material criticality of infrastructure transitions: A case of low carbon electricity. Appl. Energy 2014, 123, 378–386. [Google Scholar] [CrossRef] [Green Version]
- BGS Risk. List 2015—An Update to the Supply Risk Index for Elements or Element Groups that are of Economic Value; British Geological Survey: Keyworth, UK, 2015. [Google Scholar]
- Graedel, T.E.; Allwood, J.M.; Birat, J.-P.; Reck, B.K.; Sibley, S.F.; Sonnemann, G.; Buchert, M.; Hagelüken, C. Recycling Rates of Metals—A Status Report, A Report of the Working Group on the Global Metal Flows to the International Resource Panel; UNEP: Nairobi, Kenya, 2011. [Google Scholar]
- Angerer, G.; Marscheider-Weidemann, F.; Lüllmann, A.; Erdmann, L.; Scharp, M.; Handke, V.; Marwede, M. Raw Materials for Emerging Technologies; Frauenhofer IRB Verlag: Stuttgart, Germany, 2009. [Google Scholar]
- Marscheider-Weidemann, F.; Langkau, S.; Hummen, T.; Erdmann, L.; Tercero Espinoza, L.A.; Angerer, G.; Marwede, M.; Benecke, S. Rohstoffe für Zukunftstechnologien 2016; Deutsche Rohstoffagentur (DERA): Berlin, Germany, 2016. [Google Scholar]
- Nassar, N.T. Limitations to elemental substitution as exemplified by the platinum-group metals. Green Chem. 2015, 17, 2226–2235. [Google Scholar] [CrossRef]
- Graedel, T.E.; Harper, E.M.; Nassar, N.T.; Reck, B.K. On the materials basis of modern society. Proc. Natl. Acad. Sci. USA 2015, 112, 6295–6300. [Google Scholar] [CrossRef] [Green Version]
- European Commission. Critical Raw Materials for the EU; European Commission: Brussels, Belgium, 2010. [Google Scholar]
- Blengini, G.A.; Nuss, P.; Dewulf, J.; Nita, V.; Peirò, L.T.; Vidal-Legaz, B.; Latunussa, C.; Mancini, L.; Blagoeva, D.; Pennington, D.; et al. EU methodology for critical raw materials assessment: Policy needs and proposed solutions for incremental improvements. Resour. Policy 2017, 53, 12–19. [Google Scholar] [CrossRef] [Green Version]
- European Commission. Report on Critical Raw Materials for the EU: Report of the Ad hoc Working Group on Defining Critical Raw Materials; European Commission: Brussels, Belgium, 2014. [Google Scholar]
- European Commission. Study on the Review of the List of Critical Raw Materials; European Commission: Brussels, Belgium, 2017; ISBN 978-92-79-47937-3. [Google Scholar]
- Goe, M.; Gaustad, G.G. Identifying critical materials for photovoltaics in the US: A multi-metric approach. Appl. Energy 2014, 123, 387–396. [Google Scholar] [CrossRef]
- Li, S.; Yan, J.; Pei, Q.; Sha, J.; Mou, S.; Xiao, Y. Risk Identification and Evaluation of the Long-term Supply of Manganese Mines in China Based on the VW-BGR Method. Sustainability 2019, 11, 2683. [Google Scholar] [CrossRef] [Green Version]
- Blengini, G.A. European Commission Study on the EU’s List of Critical Raw Materials-Final Report; European Commission: Brussels, Belgium, 2020; ISBN 978-92-79-72119-9. [Google Scholar]
- Bach, V.; Berger, M.; Forin, S.; Finkbeiner, M. Comprehensive approach for evaluating different resource types—Case study of abiotic and biotic resource use assessment methodologies. Ecol. Indic. 2018, 87, 314–322. [Google Scholar] [CrossRef]
- Nassar, N.T.; Brainard, J.; Gulley, A.; Manley, R.; Matos, G.; Lederer, G.; Bird, L.R.; Pineault, D.; Alonso, E.; Gambogi, J.; et al. Evaluating the mineral commodity supply risk of the U.S. manufacturing sector. Sci. Adv. 2020, 6, eaay8647. [Google Scholar] [CrossRef] [PubMed] [Green Version]
- Blengini, G.; Blagoeva, D.; Dewulf, J.; Torres De Matos, C.; Nita, V.; Vidal-Legaz, B.; Latunussa, C.; Kayam, Y.; Talens Peiró, L.; Baranzelli, C.; et al. Assessment of the Methodology for Establishing the EU List of Critical Raw Materials; European Commission: Brussels, Belgium, 2017; ISBN 9789279696114. [Google Scholar]
- Nassar, N.T.; Fortier, S.M. Methodology and Technical Input for the 2021 Review and Revision of the U.S.; Unites States Geological Survey: Reston, VA, USA, 2021.
- Malinauskienė, M.; Kliopova, I.; Hugi, C.; Staniškis, J.K. Geostrategic Supply Risk and Economic Importance as Drivers for Implementation of Industrial Ecology Measures in a Nitrogen Fertilizer Production Company. J. Ind. Ecol. 2018, 22, 422–433. [Google Scholar] [CrossRef]
- Zhou, Y.; Li, J.; Wang, G.; Chen, S.; Xing, W.; Li, T. Assessing the short-to medium-term supply risks of clean energy minerals for China. J. Clean. Prod. 2019, 215, 217–225. [Google Scholar] [CrossRef]
- Zhou, Y.; Li, J.; Rechberger, H.; Wang, G.; Chen, S.; Xing, W.; Li, P. Dynamic criticality of by-products used in thin-film photovoltaic technologies by 2050. J. Clean. Prod. 2020, 263, 121599. [Google Scholar] [CrossRef]
- Pfleger, P.; Lichtblau, K.; Bardt, H.; Bertenrath, R. Rohstoffsituation der Bayerischen Wirtschaft; Vereinigung der Bayerischen Wirtschaft: München, Germany, 2015. [Google Scholar]
- Apple. Material Impact Profiles; Apple Inc.: Los Altos, CA, USA, 2019. [Google Scholar]
- Althaf, S.; Babbitt, C.W. Disruption risks to material supply chains in the electronics sector. Resour. Conserv. Recycl. 2020, 167, 105248. [Google Scholar] [CrossRef]
- Bach, V.; Finogenova, N.; Berger, M.; Winter, L.; Finkbeiner, M. Enhancing the assessment of critical resource use at the country level with the SCARCE method—Case study of Germany. Resour. Policy 2017, 53, 283–299. [Google Scholar] [CrossRef] [Green Version]
- Helbig, C.; Bradshaw, A.M.; Wietschel, L.; Thorenz, A.; Tuma, A. Supply risks associated with lithium-ion battery materials. J. Clean. Prod. 2018, 172, 274–286. [Google Scholar] [CrossRef]
- Erdmann, L.; Graedel, T.E. Criticality of Non-Fuel Minerals: A Review of Major Approaches and Analyses. Environ. Sci. Technol. 2011, 45, 7620–7630. [Google Scholar] [CrossRef]
- Adibi, N.; Lafhaj, Z.; Yehya, M.; Payet, J. Global Resource Indicator for life cycle impact assessment: Applied in wind turbine case study. J. Clean. Prod. 2017, 165, 1517–1528. [Google Scholar] [CrossRef]
- Alonso, E.; Gregory, J.; Field, F.R.; Kirchain, R. Material availability and the supply chain: Risks, effects, and responses. Environ. Sci. Technol. 2007, 41, 6649–6656. [Google Scholar] [CrossRef] [Green Version]
- Bach, V.; Berger, M.; Finogenova, N.; Finkbeiner, M. Assessing the availability of terrestrial Biotic Materials in Product Systems (BIRD). Sustainability 2017, 9, 137. [Google Scholar] [CrossRef] [Green Version]
- Bastein, T.; Rietveld, E. Materials in the Dutch Economy: A Vulnerability Assessment; TNO: Delft, The Netherlands, 2015. [Google Scholar]
- Bauer, D.; Diamond, D.; Li, J.; McKittrick, M.; Sandalow, D.; Telleen, P.U.S. Department of Energy Critical Materials Strategy; Diane Publishing: Collingdale, PA, USA, 2011. [Google Scholar]
- Beylot, A.; Villeneuve, J. Assessing the national economic importance of metals: An Input-Output approach to the case of copper in France. Resour. Policy 2015, 44, 161–165. [Google Scholar] [CrossRef]
- Brown, T. Measurement of mineral supply diversity and its importance in assessing risk and criticality. Resour. Policy 2018, 58, 202–218. [Google Scholar] [CrossRef]
- Buchert, M.; Schüler, D.; Bleher, D. Critical Metals for Future Sustainable Technologies and Their Recycling Potential; United Nations Environment Programme: Berlin, Germany, 2009.
- Calvo, G.; Valero, A.; Valero, A. Thermodynamic Approach to Evaluate the Criticality of Raw Materials and Its Application through a Material Flow Analysis in Europe. J. Ind. Ecol. 2018, 22, 839–852. [Google Scholar] [CrossRef] [Green Version]
- Cimprich, A.; Young, S.B.; Helbig, C.; Gemechu, E.D.; Thorenz, A.; Tuma, A.; Sonnemann, G. Extension of geopolitical supply risk methodology: Characterization model applied to conventional and electric vehicles. J. Clean. Prod. 2017, 162, 754–763. [Google Scholar] [CrossRef] [Green Version]
- Cimprich, A.; Karim, K.S.; Young, S.B. Extending the geopolitical supply risk method: Material “substitutability” indicators applied to electric vehicles and dental X-ray equipment. Int. J. Life Cycle Assess. 2018, 23, 2024–2042. [Google Scholar] [CrossRef]
- Coulomb, R.; Dietz, S.; Godunova, M.; Nielsen, T.B. Critical Minerals Today and in 2030: An Analysis for OECD Countries. OECD Environ. Work. Pap. 2015, 91, 49. [Google Scholar] [CrossRef]
- Daw, G. Security of mineral resources: A new framework for quantitative assessment of criticality. Resour. Policy 2017, 53, 173–189. [Google Scholar] [CrossRef]
- Frenzel, M.; Mikolajczak, C.; Reuter, M.A.; Gutzmer, J. Quantifying the relative availability of high-tech by-product metals—The cases of gallium, germanium and indium. Resour. Policy 2017, 52, 327–335. [Google Scholar] [CrossRef]
- Fu, X.; Polli, A.; Olivetti, E. High-Resolution Insight into Materials Criticality: Quantifying Risk for By-Product Metals from Primary Production. J. Ind. Ecol. 2019, 23, 452–465. [Google Scholar] [CrossRef]
- Glöser-Chahoud, S.; Tercero Espinoza, L.A.; Walz, R.; Faulstich, M. Taking the Step towards a More Dynamic View on Raw Material Criticality: An Indicator Based Analysis for Germany and Japan. Resources 2016, 5, 45. [Google Scholar] [CrossRef] [Green Version]
- Goddin, J.R.J. Identifying Supply Chain Risks for Critical and Strategic Materials. In Critical Materials-Underlying Causes and Sustainable Mitigation Strategies; World Scientific Publishing Co. Pte. Ltd.: Singapore, 2019; pp. 117–150. [Google Scholar]
- Graedel, T.E.; Harper, E.M.; Nassar, N.T.; Nuss, P.; Reck, B.K. Criticality of metals and metalloids. Proc. Natl. Acad. Sci. USA 2015, 112, 4257–4262. [Google Scholar] [CrossRef] [Green Version]
- Hatayama, H.; Tahara, K. Criticality Assessment of Metals for Japan’s Resource Strategy. Mater. Trans. 2015, 56, 229–235. [Google Scholar] [CrossRef] [Green Version]
- Ioannidou, D.; Pommier, R.; Habert, G.; Sonnemann, G. Evaluating the risks in the construction wood product system through a criticality assessment framework. Resour. Conserv. Recycl. 2019, 146, 68–76. [Google Scholar] [CrossRef]
- Kim, J.; Lee, J.; Kim, B.; Kim, J. Raw material criticality assessment with weighted indicators: An application of fuzzy analytic hierarchy process. Resour. Policy 2019, 60, 225–233. [Google Scholar] [CrossRef]
- Kosmol, J.; Müller, F.; Keßler, H. The Critical Raw Materials Concept: Subjective, Multifactorial and Ever-Developing. In Factor X; Lehmann, H., Ed.; Springer: Cham, Germany, 2018; pp. 71–92. ISBN 9783319500799. [Google Scholar]
- Martins, F.; Castro, H. Significance ranking method applied to some EU critical raw materials in a circular economy—Priorities for achieving sustainability. Procedia CIRP 2019, 84, 1059–1062. [Google Scholar] [CrossRef]
- Miyamoto, W.; Kosai, S.; Hashimoto, S. Evaluating Metal Criticality for Low-Carbon Power Generation Technologies in Japan. Minerals 2019, 9, 95. [Google Scholar] [CrossRef] [Green Version]
- Moss, R.L.; Tzimas, E.; Willis, P.; Arendorf, J.; Tercero Espinoza, L.A. Critical Metals in the Path towards the Decarbonisation of the EU Energy Sector; Publications Office of the European Union: Luxembourg, 2013. [Google Scholar]
- Nansai, K.; Nakajima, K.; Kagawa, S.; Kondo, Y.; Shigetomi, Y.; Suh, S. Global Mining Risk Footprint of Critical Metals Necessary for Low-Carbon Technologies: The Case of Neodymium, Cobalt, and Platinum in Japan. Environ. Sci. Technol. 2015, 49, 2022–2031. [Google Scholar] [CrossRef]
- Nansai, K.; Nakajima, K.; Suh, S.; Kagawa, S.; Kondo, Y.; Takayanagi, W.; Shigetomi, Y. The role of primary processing in the supply risks of critical metals. Econ. Syst. Res. 2017, 29, 1–22. [Google Scholar] [CrossRef] [Green Version]
- U.S. National Research Council. Minerals, Critical Minerals, and the U.S. Economy; The National Academies Press: Washington, DC, USA, 2008.
- Parthemore, C. Elements of Security: Mitigating the Risks of U.S. Dependence on Critical Minerals; Center for a New American Security: Washington, DC, USA, 2011. [Google Scholar]
- Shammugam, S.; Rathgeber, A.; Schlegl, T. Causality between metal prices: Is joint consumption a more important determinant than joint production of main and by-product metals? Resour. Policy 2019, 61, 49–66. [Google Scholar] [CrossRef]
- Simon, B.; Ziemann, S.; Weil, M. Criticality of metals for electrochemical energy storage systems—Development towards a technology specific indicator. Metall. Res. Technol. 2014, 111, 191–200. [Google Scholar] [CrossRef]
- Spörri, A.; Wäger, P. Metal Risk Check. Available online: https://www.metal-risk-check.ch/ (accessed on 2 March 2021).
- Tuma, A.; Reller, A.; Thorenz, A.; Kolotzek, C.; Helbig, C. Nachhaltige Ressourcenstrategien in Unternehmen: Identifikation kritischer Rohstoffe und Erarbeitung von Handlungsempfehlungen zur Umsetzung einer Ressourceneffizienten Produktion; Deutsche Bundesstiftung Umwelt: Augsburg, Germany, 2014. [Google Scholar]
- van den Brink, S.; Kleijn, R.; Sprecher, B.; Tukker, A. Identifying supply risks by mapping the cobalt supply chain. Resour. Conserv. Recycl. 2020, 156, 104743. [Google Scholar] [CrossRef]
- Viebahn, P.; Soukup, O.; Samadi, S.; Teubler, J.; Wiesen, K.; Ritthoff, M. Assessing the need for critical minerals to shift the German energy system towards a high proportion of renewables. Renew. Sustain. Energy Rev. 2015, 49, 655–671. [Google Scholar] [CrossRef] [Green Version]
- Wentker, M.; Greenwood, M.; Asaba, M.C.; Leker, J. A raw material criticality and environmental impact assessment of state-of-the-art and post-lithium-ion cathode technologies. J. Energy Storage 2019, 26, 101022. [Google Scholar] [CrossRef]
- Yan, W.; Cao, H.; Zhang, Y.; Ning, P.; Song, Q.; Yang, J.; Sun, Z. Rethinking Chinese supply resilience of critical metals in lithium-ion batteries. J. Clean. Prod. 2020, 256, 120719. [Google Scholar] [CrossRef]
- Yuan, Y.; Yellishetty, M.; Muñoz, M.A.; Northey, S.A. Toward a dynamic evaluation of mineral criticality: Introducing the framework of criticality systems. J. Ind. Ecol. 2019, 23, 1264–1277. [Google Scholar] [CrossRef]
- Zepf, V.; Simmons, J.; Reller, A.; Ashfield, M.; Rennie, C. Materials Critical to the Energy Industry. An Introduction, 2nd ed.; BP p.l.c.: London, UK, 2014. [Google Scholar]












| Column Name | Explanation |
|---|---|
| Method | Scientific publication (peer-reviewed, technical report, book, book section, or website) with a novel approach to assess supply risk |
| Original criterion name | Name of indicator as it appeared in the publication |
| Criterion harmonized | The overarching term for indicators expressing the same risk |
| Category harmonized | The overarching term for indictors used to express similar risks |
| Year | Year of publication |
| Type | Assessment: Indicators aggregated to an overall supply risk Collection of indicators: Indicators assessing supply risk without aggregation Single indicator: Only one indicator presented |
| Measurement | Determination approach of an indicator |
| Unit | Unit of measurement |
| Norm. type | Level: Subdivision of indicator values into supply risk levels Points: Assignment of discrete indicator values or qualitative descriptions of indicator values to supply risk point Normalization: Formula to transform indicator values into a supply risk score |
| Criterion Codes | Category Name | Frequency |
|---|---|---|
| A01–A18 | Concentration | 137 |
| B01–B25 | Scarcity | 93 |
| C01–C09 | Political instability | 75 |
| D01–D15 | Regulations | 68 |
| E01–E02 | By-product dependence | 44 |
| F01–F08 | Dependence on primary production | 43 |
| G01–G11 | Demand growth | 32 |
| H01–H03 | Lack of substitution options | 26 |
| I01 | Price volatility | 17 |
| J01–J04 | Import dependence | 16 |
| X01–X53 | Other indicators | 67 |
Publisher’s Note: MDPI stays neutral with regard to jurisdictional claims in published maps and institutional affiliations. |
© 2021 by the authors. Licensee MDPI, Basel, Switzerland. This article is an open access article distributed under the terms and conditions of the Creative Commons Attribution (CC BY) license (https://creativecommons.org/licenses/by/4.0/).
Share and Cite
Helbig, C.; Bruckler, M.; Thorenz, A.; Tuma, A. An Overview of Indicator Choice and Normalization in Raw Material Supply Risk Assessments. Resources 2021, 10, 79. https://doi.org/10.3390/resources10080079
Helbig C, Bruckler M, Thorenz A, Tuma A. An Overview of Indicator Choice and Normalization in Raw Material Supply Risk Assessments. Resources. 2021; 10(8):79. https://doi.org/10.3390/resources10080079
Chicago/Turabian StyleHelbig, Christoph, Martin Bruckler, Andrea Thorenz, and Axel Tuma. 2021. "An Overview of Indicator Choice and Normalization in Raw Material Supply Risk Assessments" Resources 10, no. 8: 79. https://doi.org/10.3390/resources10080079
APA StyleHelbig, C., Bruckler, M., Thorenz, A., & Tuma, A. (2021). An Overview of Indicator Choice and Normalization in Raw Material Supply Risk Assessments. Resources, 10(8), 79. https://doi.org/10.3390/resources10080079

