Design of a Programmable Passive SoC for Biomedical Applications Using RFID ISO 15693/NFC5 Interface
Abstract
:1. Introduction
- Battery-less system (completely passive)
- RFID (ISO-15693) /NFC (NFC5) communication interface
- Power management unit
- Sensor readout unit including 12-bit ADC
- 32-bit microcontroller
- RAM (Random Access Memory)
- ROM (Read Only Memory)
Organization of the Paper
2. SoC Application Example and Advantage of 13.56 MHz Frequency Range in Biomedical Applications
3. Ultra Low Power Design Techniques
3.1. Digital Power Consumption
3.2. Analog Power Consumption
4. System Architecture and Design Details of the SoC
4.1. RFID/NFC Communication and Power Management Unit
4.1.1. Power Supply Management Unit
Over-Voltage Protection Circuit
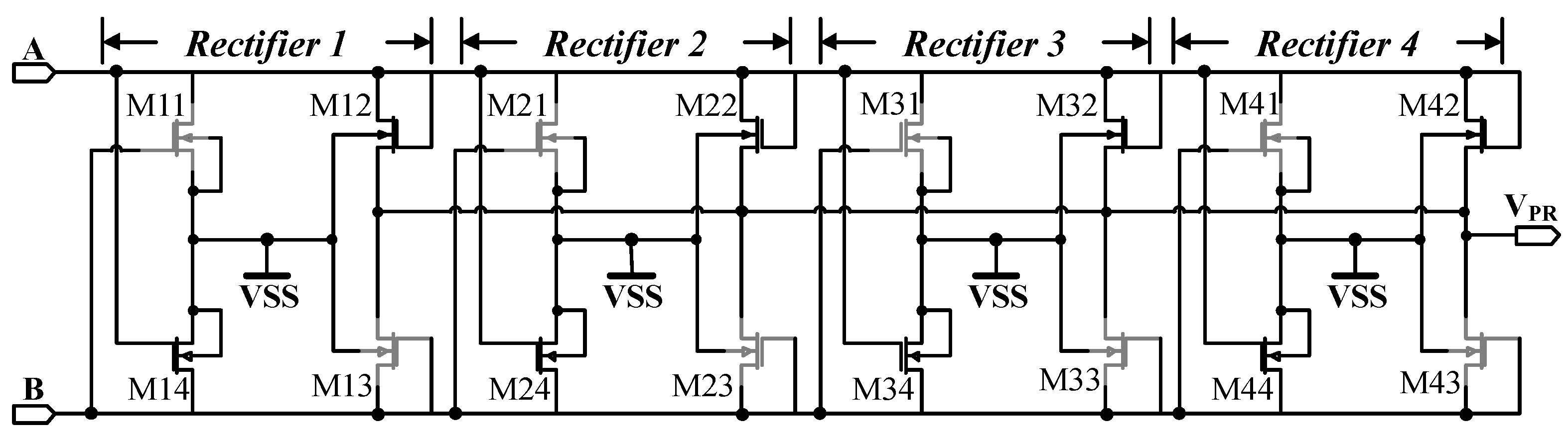
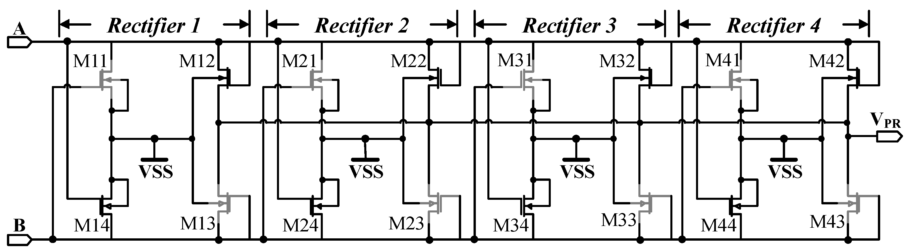
4.1.2. Power Rectifier Unit
Bandgap Reference
Low Drop out Regulators—LDO1 and LDO2
4.1.3. RF Communication Unit
4.1.4. Field Detector Unit
4.1.5. Clock Regenerator Unit
4.2. Sensor Readout Unit
4.2.1. Channel Selector, Bias Generator Circuit and Virtual Ground Generator
4.2.2. Programmable Gain Amplifier—PGA
4.2.3. SAR (Successive approximation register) type ADC (analog to digital converter)
Sample and Hold Circuit
ADC Comparator
ADC Capacitive array
4.3. Power Consumption Distribution of the Analog Part
4.4. Digital Design
4.5. Duty Cycle of Operation
5. Complete Layout of the SoC
6. Functional Verification and Testing
7. Conclusions
Acknowledgments
Author Contributions
Conflicts of Interest
References
- Leon-Chaffee, E.; Light, R.U. A method for the remote control of electrical stimulation of the nervous system. Yale J. Biol. Med. 1949, 7, 83–128. [Google Scholar]
- Breakell, C.C.; Manc, L.D.S.; Parker, C.S.; Christopherson, F. Radio transmission of the human electroencephalogram and other electrophysiological data. Electroencephalogr. Clin. Nerophysiol. 1949, 1, 243–244. [Google Scholar]
- Farrar, J.T.; Zworykin, V.K. Pressure-Sensitive Telemetering Capsule for Study of Gastrointestinal Motility. Science 1957, 126, 975–976. [Google Scholar] [CrossRef] [PubMed]
- Cardullo, M.W. Transponder Apparatus and System. U.S. Patent 3,713,148 A, 23 January 1973. [Google Scholar]
- Landt, J. Shrouds of Time: The History of RFID; AIM: Pittsburgh, PA, USA, 2001; pp. 8–11. [Google Scholar]
- Wang, D.; Hu, J.; Tan, H.Z. A Highly Stable and Reliable 13.56-MHz RFID Tag IC for Contactless Payment. IEEE Trans. Ind. Electron. 2015, 62, 545–554. [Google Scholar] [CrossRef]
- Volk, T.; Gorbey, S.; Bhattacharyya, M.; Grünwald, W.; Lemmer, B.; Reindl, L.M.; Stieglitz, T.; Jansen, D. RFID Technology for Continuous Monitoring of Physiological Signals in Small Animals. IEEE Trans. Biomed. Circuits Syst. 2015, 62, 4365–4373. [Google Scholar] [CrossRef] [PubMed]
- Xiao, Z.; Tan, X.; Chen, X.; Chen, S.; Zhang, Z.; Zhang, H.; Wang, J.; Huang, Y.; Zhang, P.; Zheng, L.; et al. An Implantable RFID Sensor Tag toward Continuous Glucose Monitoring. IEEE Trans. Biomed. Circuits Syst. 2015, 19, 910–919. [Google Scholar] [CrossRef] [PubMed]
- 1974: DigitalWatch is First System-On-Chip Integrated Circuit. Available online: http://www.computerhistory.org/ (accessed on 03.11.2017).
- DeHennis, A.; Getzlaff, S.; Grice, D.; Mailand, M. An NFC-Enabled CMOS IC for a Wireless Fully Implantable Glucose Sensor. IEEE J. Biomed. Health Inform. 2016, 20, 18–28. [Google Scholar] [CrossRef] [PubMed]
- Cheong, J.H.; Yan Ng, S.S.; Liu, X.; Xue, R.-F.; Jen Lim, H.; Basappa Khannur, P.; Lim Chan, K.; Astuti Lee, A.; Kang, K.; Shiah Lim, L.; et al. An Inductively Powered Implantable Blood Flow Sensor Microsystem for Vascular Grafts. IEEE Trans. Biomed. Eng. 2012, 59, 2466–2475. [Google Scholar] [CrossRef] [PubMed]
- Huang, Y.J.; Tzeng, T.H.; Lin, T.W.; Huang, C.W.; Yen, P.W.; Kuo, P.H.; Lin, C.T.; Lu, S.S. A Self-Powered CMOS Reconfigurable Multi-Sensor SoC for Biomedical Applications. IEEE J. Solid-State Circuits 2014, 49, 851–866. [Google Scholar] [CrossRef]
- Zhang, Y.; Zhang, F.; Shakhsheer, Y.; Silver, J.D.; Klinefelter, A.; Nagaraju, M.; Boley, J.; Pandey, J.; Shrivastava, A.; Carlson, E.J.; et al. A Batteryless 19 μW MICS/ISM-Band Energy Harvesting Body Sensor Node SoC for ExG Applications. IEEE J. Solid-State Circuits 2013, 48, 199–213. [Google Scholar]
- Sharma, A.; Polley, A.; Lee, S.; Narayanan, S.; Li, W.; Sculley, T.; Ramaswamy, S. A Sub-60-μA Multimodal Smart Biosensing SoC with >80-dB SNR, 35-μA Photoplethysmography Signal Chain. IEEE J. Solid-State Circuits 2017, 52, 1021–1033. [Google Scholar] [CrossRef]
- Yip, M.; Jin, R.; Heidi Nakajima, H.; Stankovic, K.M.; Chandrakasan, A.P. A Fully-Implantable Cochlear Implant SoC With Piezoelectric Middle-Ear Sensor and Arbitrary Waveform Neural Stimulation. IEEE J. Solid-State Circuits 2015, 50, 214–229. [Google Scholar] [CrossRef] [PubMed]
- Khayatzadeh, M.; Zhang, X.; Tan, J.; Liew, W.-S.; Lian, Y. A 0.7-V 17.4-μW 3-Lead Wireless ECG SoC. IEEE Trans. Biomed. Circuits Syst. 2013, 7, 583–592. [Google Scholar] [CrossRef] [PubMed]
- Bhattacharyya, M.; Grünwald, W.; Dusch, B.; Aghassi-Hagmann, J.; Jansen, D.; Reindl, L. A RFID/NFC based Programmable SoC for biomedical applications. In Proceedings of the International SoC Design Conference (ISOCC), Jeju, Korea, 3–6 November 2014; pp. 80–81. [Google Scholar]
- Bhattacharyya, M.; Dusch, B.; Jansen, D.; Mackensen, E. Design and Verification of a Mixed-Signal SoC for Biomedical Applications; Hochschule Ulm: Ulm, Germany, 2015; pp. 43–48. ISSN 1868-9221. [Google Scholar]
- Nehler, M.R.; Duval, S.; Diao, L.; Annex, B.H.; Hiatt, W.R.; Rogers, K.; Zakharyan, A.; Hirsch, A.T. Epidemiology of peripheral arterial disease and critical limb ischemia in an insured national population. J. Vasc. Surg. 2014, 60, 686–695. [Google Scholar] [CrossRef] [PubMed]
- Anderson, J.L.; Halperin, J.L.; Albert, N.M.; Bozkurt, B.; Brindis, R.G.; Curtis, L.H.; DeMets, D.; Guyton, R.A.; Hochman, J.S.; Kovacs, R.J.; et al. Management of Patients With Peripheral Artery Disease. J. Am. Coll. Cardiol. 2013, 127, 1425–1443. [Google Scholar]
- Fowkes, F.-G.R.; Rudan, D.; Rudan, I.; Aboyans, V.; Denenberg, J.O.; McDermott, M.M.; Norman, P.E.; Sampson, U.K.A.; Williams, L.J.; Mensah, G.A.; et al. Comparison of global estimates of prevalence and risk factors for peripheral artery disease in 2000 and 2010: A systematic review and analysis. Lancet 2013, 382, 1329–1338. [Google Scholar] [CrossRef]
- Federal Communications Commission. FCC Body Tissue Dielectric Parameters; Federal Communications Commission: Washington, DC, USA, 2017.
- Alioto, M. Ultra-Low Power VLSI Circuit Design Demystified and Explained: A Tutorial. IEEE Trans. Circuits Syst. I Regul. Pap. 2012, 59, 3–29. [Google Scholar] [CrossRef]
- Sarpeshkar, R. Universal Principles for Ultra Low Power and Energy Efficient Design. IEEE Trans. Circuits Syst. II 2012, 59, 193–198. [Google Scholar] [CrossRef]
- Tajalli, A.; Leblebici, Y. Design Trade-offs in Ultra-Low-Power Digital Nanoscale CMOS. IEEE Trans. Circuits Syst. I Regul. Pap. 2011, 58, 2189–2200. [Google Scholar] [CrossRef]
- Lundager, K.; Zeinali, B.; Tohidi, M.; Madsen, J.K.; Moradi, F. Low Power Design for FutureWearable and Implantable Devices. J. Low Power Electron. Appl. 2016, 6, 20. [Google Scholar] [CrossRef]
- Comer, D.J.; Comer, D.T. Using the Weak Inversion Region to Optimize Input Stage Design of CMOS Op Amps. IEEE Trans. Circuits Syst. II 2004, 51, 8–14. [Google Scholar] [CrossRef]
- Rabaey, J. Low Power Design Essentials; Springer: Berlin, Germany, 2009. [Google Scholar]
- Lotze, N.; Manoli, Y. Ultra-Sub-Threshold Operation of Always-On Digital Circuits for IoT Applications by Use of Schmitt Trigger Gates. IEEE Trans. Circuits Syst. I Regul. Pap. 2017, 64, 2920–2933. [Google Scholar] [CrossRef]
- Lu, C.; Li, J.-A.; Lin, T.H. A 13.56-MHz passive (NFC) tag IC in 0.18-μm CMOS process for biomedical applications. In Proceedings of the International Symposium on VLSI Design, Automation and Test (VLSI-DAT), Hsinchu, Taiwan, 25–27 April 2016; pp. 1–4. [Google Scholar]
- Lee, J.W.; Vo, D.; Hong, S.H.; Huynh, Q.H. A fully integrated high security NFC target IC using 0.18 μm CMOS process. In Proceedings of the ESSCIRC (ESSCIRC), Helsinki, Finland, 12–16 September 2011; pp. 551–554. [Google Scholar]
- Lee, J.W.; Vo, D.H.T.; Huynh, Q.H.; Hong, S.H. A Fully Integrated HF-Band Passive RFID Tag IC Using 0.18 μm CMOS Technology for Low-Cost Security Applications. IEEE Trans. Ind. Electron. 2011, 58, 2531–2540. [Google Scholar]
- Dongsheng, L.; Huan, L.; Xuecheng, Z.; Liang, G.; Ke, Y.; Zilong, L. A High Sensitivity Analog Front-end Circuit for Semi-Passive HF RFID Tag Applied to Implantable Devices. IEEE Trans. Circuits Syst. I Regul. Pap. 2015, 62, 1991–2002. [Google Scholar] [CrossRef]
- Haddad, P.A.; Gosset, G.; Raskin, J.P.; Flandre, D. Automated Design of a 13.56 MHz 19 μW Passive Rectifier with 72% Efficiency Under 10 μA load. IEEE J. Solid-State Circuits 2016, 51, 1290–1301. [Google Scholar] [CrossRef]
- Li, X.; Tsui, C.-Y.; Ki, W.-H. A 13.56 MHz Wireless Power Transfer System With Reconfigurable Resonant Regulating Rectifier and Wireless Power Control for Implantable Medical Devices. IEEE J. Solid-State Circuits 2015, 50, 978–989. [Google Scholar] [CrossRef]
- Hashemi, S.; Sawan, M.; Savaria, Y. A High-Efficiency Low-Voltage CMOS Rectifier for Harvesting Energy in Implantable Devices. IEEE Trans. Biomed. Circuits Syst. 2012, 6, 326–335. [Google Scholar] [CrossRef] [PubMed]
- Duan, Q.; Roh, J. A 1.2-V 4.2-ppm/°C High-Order Curvature-Compensated CMOS Bandgap Reference. IEEE Trans. Circuits Syst. I Regul. Pap. 2015, 62, 662–670. [Google Scholar] [CrossRef]
- Abbasi, M.U.; Raikos, G.; Saraswat, R.; Rodriguez-Villegas, E. A high PSRR, ultra-low power 1.2 V curvature corrected Bandgap Reference for Wearable EEG application. In Proceedings of the IEEE 13th International New Circuits and Systems Conference (NEWCAS), Grenoble, France, 7–10 June 2015; pp. 1–4. [Google Scholar]
- Ma, B.; Yu, F. A Novel 1.2-V 4.5-ppm/°C Curvature-Compensated CMOS Bandgap Reference. IEEE Trans. Circuits Syst. I Regul. Pap. 2014, 61, 1026–1035. [Google Scholar] [CrossRef]
- Tsividis, Y.P. Accurate analysis of temperature effects in IC/-VBE characteristics with application to bandgap reference sources. IEEE J. Solid-State Circuits 1980, 15, 1076–1084. [Google Scholar] [CrossRef]
- Widlar, R.J. New developments in IC voltage regulators. IEEE J. Solid-State Circuits 1971, 6, 2–7. [Google Scholar] [CrossRef]
- Wang, B.; Law, M.K.; Bermak, A.; Luong, H.C. A Passive RFID Tag Embedded Temperature Sensor With Improved Process Spreads Immunity for a 30 °C to 60 °C Sensing Range. IEEE Trans. Circuits Syst. I Regul. Pap. 2014, 61, 337–346. [Google Scholar] [CrossRef]
- Maity, A.; Patra, A. A Single-Stage Low-Dropout Regulator With a Wide Dynamic Range for Generic Applications. IEEE Trans. Very Large Scale Integr. (VLSI) Syst. 2016, 24, 2117–2127. [Google Scholar] [CrossRef]
- Huang, C.H.; Ma, Y.T.; Liao, W.C. Design of a Low-Voltage Low-Dropout Regulator. IEEE Trans. Very Large Scale Integr. (VLSI) Syst 2014, 22, 1308–1313. [Google Scholar] [CrossRef]
- Heng, S.; Pham, C.K. A Low-Power High-PSRR Low-Dropout Regulator With Bulk-Gate Controlled Circuit. IEEE Trans. Circuits Syst. II 2010, 57, 245–249. [Google Scholar] [CrossRef]
- Lau, S.K.; Mok, P.K.T.; Leung, K.N. A Low-Dropout Regulator for SoC With Q-Reduction. IEEE J. Solid-State Circuits 2007, 42, 658–664. [Google Scholar] [CrossRef]
- Dusch, B. Entwicklung und Layout Eines Analog-Digital-Wandlers mit 12 Bit Auflösung in Einer 180 nm-CMOS-Zieltechnologie. Master’s Thesis, University of Applied Sciences, Offenburg, Germany, 2014. [Google Scholar]
- Melek, L.A.P.; da Silva, A.L.; Schneider, M.C.; Galup-Montoro, C. Analysis and Design of the Classical CMOS Schmitt Trigger in Subthreshold Operation. IEEE Trans. Circuits Syst. I Regul. Pap. 2017, 64, 869–878. [Google Scholar] [CrossRef]
- Dusch, B.; Bhattacharyya, M.; Jansen, D. Entwicklung und Layoutentwurf Eines Analog-Digital-Wandlers mit 12 Bit Auflösung in Einer 180 nm-CMOS-Technologie; Hochschule Ulm: Ulm, Germany, February 2015; pp. 13–21. ISSN 1868-9221. [Google Scholar]
- Butti, F.; Piotto, M.; Bruschi, P. A Chopper Instrumentation Amplifier With Input Resistance Boosting by Means of Synchronous Dynamic Element Matching. IEEE Trans. Circuits Syst. I Regul. Pap. 2017, 64, 753–764. [Google Scholar] [CrossRef]
- Worapishet, A.; Demosthenous, A.; Liu, X. A CMOS Instrumentation Amplifier with 90-dB CMRR at 2-MHz Using Capacitive Neutralization: Analysis, Design Considerations, and Implementation. IEEE Trans. Circuits Syst. I Regul. Pap. 2011, 58, 699–710. [Google Scholar] [CrossRef]
- Wu, R.; Makinwa, K.A.A.; Huijsing, J.H. A Chopper Current-Feedback Instrumentation Amplifier With a 1 MHz 1/f Noise Corner and an AC-Coupled Ripple Reduction Loop. IEEE J. Solid-State Circuits 2009, 44, 3232–3243. [Google Scholar] [CrossRef]
- Saberi, M.; Lotfi, R.; Mafinezhad, K.; Serdijn, W.A. Analysis of Power Consumption and Linearity in Capacitive Digital-to-Analog Converters Used in Successive Approximation ADCs. IEEE Trans. Circuits Syst. I Regul Pap. 2011, 58, 1736–1748. [Google Scholar] [CrossRef]
- Zhu, Z.; Liang, Y. A 0.6-V 38-nW 9.4-ENOB 20-kS/s SAR ADC in 0.18-μm CMOS for Medical Implant Devices. IEEE Trans. Circuits Syst. I Regul. Pap. 2015, 62, 2167–2176. [Google Scholar] [CrossRef]
- Nandi, P.; Talukdar, H.; Kumar, D.; Kumar, A.; Katakwar, G. A Novel Approach to Design SAR-ADC: Design Partitioning Method. IEEE Tran. Comput.-Aided Des. Integr. Circuits Syst. 2016, 35, 1277–1287. [Google Scholar] [CrossRef]
- Rahiminejad, E.; Saberi, M.; Lotfi, R. A Power-Efficient Signal-Specific ADC for Sensor-Interface Applications. IEEE Trans. Circuits Syst. II 2017, 64, 1032–1036. [Google Scholar] [CrossRef]
- Venuto, D.E.; Castro, D. Ultra low-power 12 bit SAR ADC for RFID Aapplications. In Proceedings of the Design, Automation and Test in Europe Conference and Exhibition, Dresden, Germany, 8–12 March 2010; pp. 1071–1075. [Google Scholar]
- Van Elzakker, M.; van Tuijl, E.; Geraedts, P.; Schinkel, D.; Klumperink1, E.; Nauta1, B. A 1.9 μW 4.4fJ/Conversion-step 10b 1MS/s Charge-Redistribution ADC. In Proceedings of the IEEE International Solid-State Circuits Conference Digest of Technical Papers (ISSCC), San Francisco, CA, USA, 3–7 February 2008; pp. 244–245. [Google Scholar]
- Lin, K.T.; Cheng, Y.W.; Tang, K.T. A 0.5 V 1.28-MS/s 4.68-fJ/Conversion-Step SAR ADC with Energy-Efficient DAC and Trilevel Switching Scheme. IEEE Trans. Very Large Scale Integr. (VLSI) Syst. 2016, 24, 1441–1449. [Google Scholar] [CrossRef]
- Huang, G.Y.; Chang, S.J.; Liu, C.-C.; Lin, Y.Z. 10-bit 30-MS/s SAR ADC Using a Switchback Switching Method. IEEE Trans. Very Large Scale Integr. (VLSI) Syst. 2013, 21, 584–588. [Google Scholar] [CrossRef]
- Zhang, D.; Bhide, A.; Alvandpour, A. A 53-nW 9.1-ENOB 1-kS/s SAR ADC in 0.13-μm CMOS for Medical Implant Devices. IEEE J. Solid-State Circuits 2012, 47, 1585–1595. [Google Scholar] [CrossRef]
- Cho, S.H.; Lee, C.K.; Lee, S.G.; Ryu, S.T. A Two-Channel Asynchronous SAR ADC With Metastable-Then-Set Algorithm. IEEE Trans. Very Large Scale Integr. (VLSI) Syst. 2012, 20, 765–769. [Google Scholar] [CrossRef]
- Harpe, P.J.A.; Zhou, C.; Bi, Y.; van der Meijs, N.P.; Wang, X.; Philips, K.; Dolmans, G.; de Groot, H. A 26 μW 8 bit 10 MS/s Asynchronous SAR ADC for Low Energy Radios. IEEE J. Solid-State Circuits 2011, 46, 1585–1595. [Google Scholar]
- Lee, S.K.; Park, S.J.; Park, H.J.; Sim, J.Y. A 21 fJ/Conversion-Step 100 kS/s 10-bit ADC With a Low-Noise Time-Domain Comparator for Low-Power Sensor Interface. IEEE J. Solid-State Circuits 2011, 46, 651–659. [Google Scholar] [CrossRef]
- Zhu, Y.; Chan, C.-H.; Chio, U.-F.; Sin, S.-W.; Seng-Pan, U.; Martins, R.P.; Maloberti, F. A 10-bit 100-MS/s Reference-Free SAR ADC in 90 nm CMOS. IEEE J. Solid-State Circuits 2010, 45, 1111–1121. [Google Scholar] [CrossRef]
- Ahmadi, M.; Namgoong, W. Comparator Power Minimization Analysis for SAR ADC Using Multiple Comparators. IEEE Trans. Circuits Syst. I Regul. Pap. 2015, 62, 2369–2379. [Google Scholar] [CrossRef]
- Verma, N.; Chandrakasan, A.P. An Ultra Low Energy 12-bit Rate-Resolution Scalable SAR ADC for Wireless Sensor Nodes. IEEE J. Solid-State Circuits 2007, 42, 1196–1205. [Google Scholar] [CrossRef]
- Fredenburg, J.A.; Flynn, M.P. Statistical Analysis of ENOB and Yield in Binary Weighted ADCs and DACS With Random Element Mismatch. IEEE Trans. Circuits Syst. I Regul. Pap. 2012, 59, 1396–1408. [Google Scholar] [CrossRef]
- Lee, Y.; Song, J.; Park, I.C. Statistical modeling of capacitor mismatch effects for successive approximation register ADCs. In Proceedings of the International SoC Design Conference (ISOCC), Jeju, Korea, 17–18 November 2011; pp. 302–305. [Google Scholar]
- Haenzsch, S.; Henker, S.; Schüffny, R. Modelling of Capacitor Mismatch and Non-Linearity Effects in Charge Redistribution SAR ADCs. In Proceedings of the 17th International Conference Mixed Design of Integrated Circuits and Systems (MIXDES), Wroclaw, Poland, 24–26 June 2010; pp. 300–305. [Google Scholar]
- Tripathi, V.; Murmann, B. Mismatch Characterization of Small Metal Fringe Capacitors. IEEE Trans. Circuits Syst. I Regul. Pap. 2014, 61, 2236–2242. [Google Scholar] [CrossRef]
- Li, Y.; Zhang, Z.; Chua, D.; Lian, Y. Placement for Binary-Weighted Capacitive Array in SAR ADC Using Multiple Weighting Methods. IEEE Tran. Comput.-Aided Des. Integr. Circuits Syst. 2014, 33, 1277–1287. [Google Scholar]
- Jansen, D.; Fawaz, N.; Bau, D.; Durrenberger, M. A small high performance microprocessor core SIRIUS for embedded low power designs, demonstrated in a medical mass application of an electronic pill (EPILLE). In Proceedings of the International Federation for Information Processing (IFIP), Portland, OR, USA, 29–31 July 2007; pp. 363–372, ISBN 978-0-387-72257-3. [Google Scholar]
- Fawaz, N.; Jansen, D. A SoC Electronic Pill (ePille®) with 32bit SIRIUS Processor and Bidirectional Communication System used for Biomedical Telemetry Applications. In Proceedings of the Information and Communication technologies (ICTTA), Damascus, Syria, 7–11 April 2008; pp. 1–3, ISBN 978-1-4244-1751-3. [Google Scholar]
- Roth, M. Redesign und Optimierung Eines 16/32-Bit Mikroprozessorkerns “SIRIUS Janua 2.0” in Formal Abstraker Codierung Sowie Verifikation in Einem Altera Cyclone FPGA. Master’s Thesis, University of Applied Sciences, Offenburg, Germany, 2012. [Google Scholar]
- Hwang, Y.S.; Lin, H.C. A New CMOS Analog Front End for RFID Tags. IEEE Trans. Ind. Electron. 2009, 56, 2299–2307. [Google Scholar] [CrossRef]
- Cho, J.H.; Kim, J.; Kim, J.W.; Lee, K.; Ahn, K.D.; Kim, S. An NFC transceiver with RF-powered RFID transponder mode. In Proceedings of the IEEE Asian Solid-State Circuits Conference, Jeju City, Korea, 12–14 November 2007; pp. 172–175. [Google Scholar]




















| Year
[Ref] | CMOS
(µm) | Wireless
comm. | Power
Source | PMU | Sensor
readout | Integ.
ADC | Re-config.
/Prog | Integ.
µC | Internal
memory | Application |
|---|---|---|---|---|---|---|---|---|---|---|
| 2017 [14] | 0.13 | Bluetooth | Battery | Yes | TIA, INA, CA | 14-bit SAR ADC | Yes | No | No | PPG and ECG meas. |
| 2016 [10] | 0.6 | NFC, ISO 15693 | Battery-less | Yes | MUX, TIA | 11-bit sigma-delta | Yes | No | Yes | Glucose meas. |
| 2015 [8] | 0.13 | NFC, ISO 15693 | Battery-less | Yes | Pstat, MUX | 10-bit sigma-delta | N.A | No | No | Cont. glucose monitoring |
| 2015 [15] | 0.18 | N.A | Battery | No | CA, PGA, INA | 9-bit SAR ADC | Yes | No | No | Cochlear implant |
| 2014 [12] | 0.35 | OOK | RF-DC energy harvester | Yes | MUX, TIA, VA, PGA | 10-bit SAR ADC | Yes | No | No | Glucose, temp., pH and protein conc. meas. |
| 2013 [16] | 0.13 | MICS band, OOK receive/FSK transmit | N.A | No | PA, PGA | 8-bit SAR ADC | Yes | 16-bit RISC | Yes | Wireless ECG meas. |
| 2013 [13] | 0.13 | 400/433 MHz Freq-multiplying transmitter | RF/Th. energy harvester | Yes | LNA, VA, MUX | 8-bit SAR ADC | Yes | 8-bit | Yes | ECG, EMG and EEG meas. |
| 2012 [11] | 0.18 | carrier freq. | Ind. power | Yes | Integrator, SC | 10 bit SAR ADC | No | No | No | Blood flow monitoring |
| Body Tissue | |||
|---|---|---|---|
| Blood | 210.67 | 1.12 | 1.52 |
| Fat | 11.83 | 0.03 | 6.43 |
| Skin (dry) | 285.25 | 0.23 | 1.31 |
| Skin (wet) | 177.13 | 0.38 | 1.66 |
| Avg. Muscle | 132.07 | 0.65 | 1.92 |
| Avg. Brain | 208.23 | 0.25 | 1.53 |
| Avg. Skull | 44.93 | 0.09 | 3.3 |
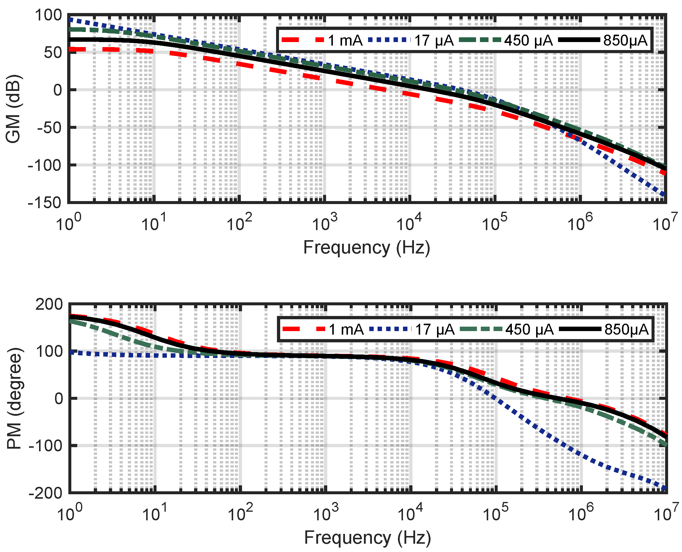
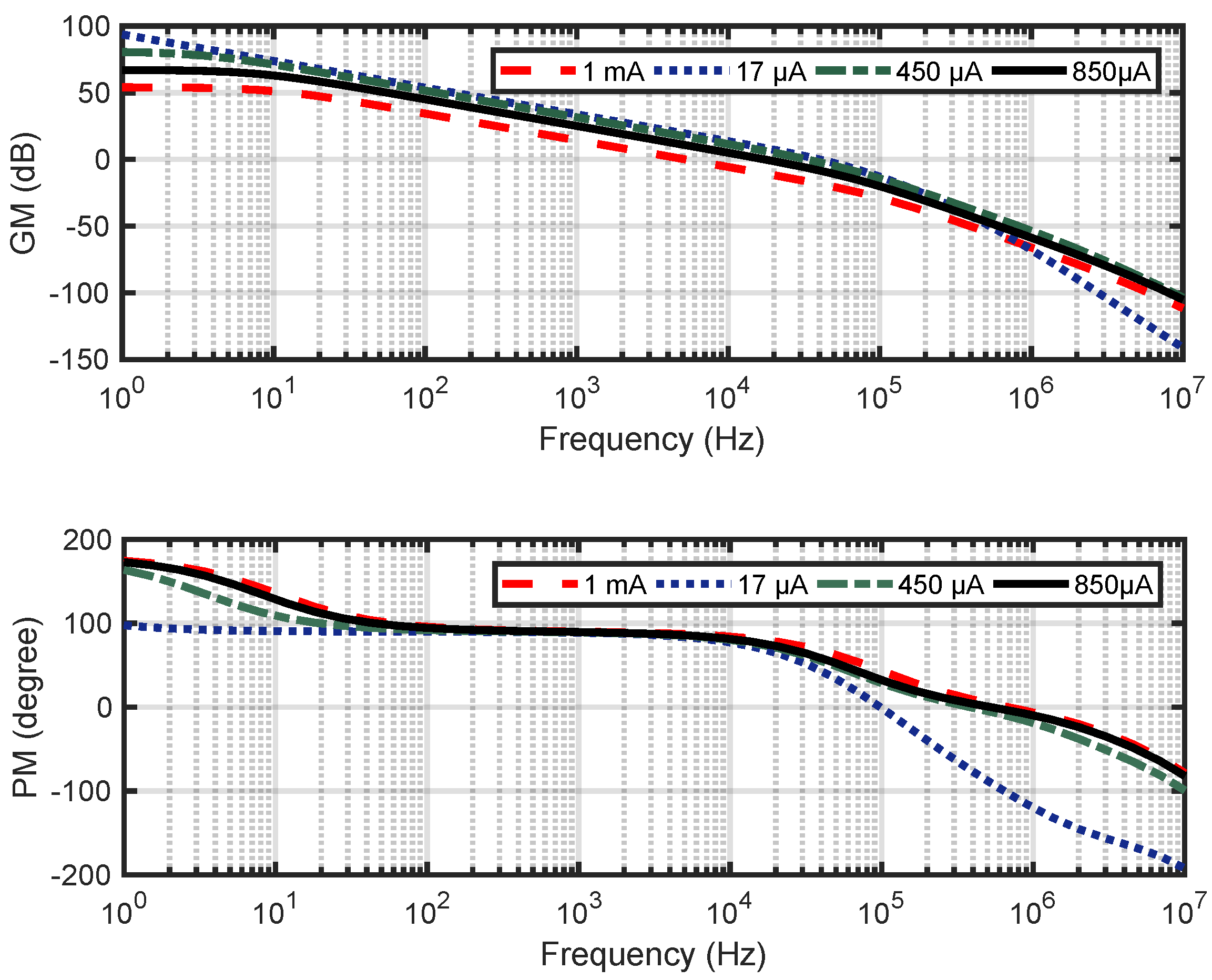
| (µA) | GM (dB) | PM (degree) | UGF (kHz) |
|---|---|---|---|
| 17 | 18 | 57 | 23.1 |
| 450 | 31.4 | 46 | 46 |
| 550 | 33.1 | 47 | 45 |
| 850 | 37.2 | 49 | 42 |
| 1000 | 38.8 | 50 | 40 |
| Parameters | Value |
|---|---|
| Input offset voltage | at nominal condition |
| Bandwidth | |
| Gain margin | at |
| Slew rate | @ 27 °C |
| Propagation delay | |
| Input noise voltage | at |
| CMR | |
| Power consumption | |
| Layout area |
| Parameters | Values |
|---|---|
| Total load capacitance of the clock tree | |
| Rise/fall delay | |
| Total standard cell area | |
| Total I/O pad cell area | |
| Total number of instances | 35,573 |
| Total number of nets | 17,194 |
| Total number of standard cells | 35,209 |
| Total I/O pad cell number | 541 |
| Parameters | Values |
|---|---|
| Energy source | Inductive coupling, Passive |
| Carrier frequency | |
| Communication protocol | ISO 15693, NFC 5 |
| Modulation type and index | ASK 10% NRZ |
| Data rate (max) | |
| Supply (analog) | V |
| Supply (digital) | V to V |
| Analog power (min) | µW |
| Analog power (max) | µW |
| Integrated microcontroller | 32-bit, RISC |
| ADC | 12-bit SAR ADC |
| Operating temperature | −30 °C to 85 °C |
| Technology | CMOS µm |
| Die Area | including pads |
| Type of external sensors | Temperature, ECG electrodes, Pressure sensor |
| Parameters | This work * | [10] | [12] | [13] |
|---|---|---|---|---|
| CMOS Tech. | µm | µm | µm | µm |
| Energy source | Passive | Passive | Solar/RF powered | TEG/RF power |
| Communication | OOK/403 MHz | 402/403 MHz | ||
| Protocol | ISO 15693, NFC 5 | ISO 15693 | ||
| Supply (analog) | NA | |||
| Supply (digital) | to | NA | NA | |
| Integ. µC | 32-bit RISC | No | No | 8-bit RISC |
| ADC | 12-bit SAR ADC | 11-bit sigma delta ADC | 10-bit SAR ADC | 8-bit SAR ADC |
| Power (min) | µW(analog) | NA | µW | NA |
| Power (max) | µW(analog) | µW | µW | µW |
| Die Area | ||||
| including pads | including pads | |||
| Application | Temperature, pressure and ECG measurement | Glucose sensor measurement | Temperature, glucose, protein concentration and pH value | ECG/EMG/EEG measurement |
© 2018 by the authors. Licensee MDPI, Basel, Switzerland. This article is an open access article distributed under the terms and conditions of the Creative Commons Attribution (CC BY) license (http://creativecommons.org/licenses/by/4.0/).
Share and Cite
Bhattacharyya, M.; Gruenwald, W.; Jansen, D.; Reindl, L.; Aghassi-Hagmann, J. Design of a Programmable Passive SoC for Biomedical Applications Using RFID ISO 15693/NFC5 Interface. J. Low Power Electron. Appl. 2018, 8, 3. https://doi.org/10.3390/jlpea8010003
Bhattacharyya M, Gruenwald W, Jansen D, Reindl L, Aghassi-Hagmann J. Design of a Programmable Passive SoC for Biomedical Applications Using RFID ISO 15693/NFC5 Interface. Journal of Low Power Electronics and Applications. 2018; 8(1):3. https://doi.org/10.3390/jlpea8010003
Chicago/Turabian StyleBhattacharyya, Mayukh, Waldemar Gruenwald, Dirk Jansen, Leonhard Reindl, and Jasmin Aghassi-Hagmann. 2018. "Design of a Programmable Passive SoC for Biomedical Applications Using RFID ISO 15693/NFC5 Interface" Journal of Low Power Electronics and Applications 8, no. 1: 3. https://doi.org/10.3390/jlpea8010003
APA StyleBhattacharyya, M., Gruenwald, W., Jansen, D., Reindl, L., & Aghassi-Hagmann, J. (2018). Design of a Programmable Passive SoC for Biomedical Applications Using RFID ISO 15693/NFC5 Interface. Journal of Low Power Electronics and Applications, 8(1), 3. https://doi.org/10.3390/jlpea8010003

