Distributed Consensus Gossip-Based Data Fusion for Suppressing Incorrect Sensor Readings in Wireless Sensor Networks
Abstract
1. Introduction
1.1. Wireless Sensor Networks
- ⋄
- Scalability;
- ⋄
- Financial affordability;
- ⋄
- Energy efficiency;
- ⋄
- Monitoring in real time;
- ⋄
- Infrastructure-less architecture;
- ⋄
- Compatibility.
- ⋄
- Signal interference;
- ⋄
- Limited power source;
- ⋄
- Low memory capabilities;
- ⋄
- Security issues;
- ⋄
- Constrained transmission range;
- ⋄
- Narrow bandwidth;
- ⋄
- Limited sensing capabilities.
1.2. Sensor Fusion in Wireless Sensor Networks
1.3. Our Contribution
1.4. Paper Organization
- Section 1 (Introduction)—This section, divided into four subsections, provides a theoretical overview of the topics under consideration (WSNs and sensor fusion in WSNs), highlights our contribution and outlines the organization of the paper.
- Section 2 (Related Work)—In this section, we provide a list of the most recent and best-cited papers dealing with how to suppress incorrect sensor readings in sensor networks.
- Section 3 (Theoretical Background)—This section is divided into three subsections and focuses on the theoretical background of the topic. Specifically, we introduce the applied graph model (RGGs), the model of incorrect sensor readings, the used stopping criterion, and the examined algorithms.
- Section 4 (Applied Research Methodology and Metrics)—This section introduces the applied research methodology and the metrics used to evaluate the performance of the examined algorithms.
- Section 5 (Experiments and Discussion)—This section consists of the experimental results obtained using MATLAB 2018b, along with a discussion of observable phenomena.
2. Related Work
3. Theoretical Background
- Distributed Consensus Gossip-based Sensor Fusion in Wireless Sensor Networks (Section 3.1)—This subsection provides the model of incorrect sensor readings, insight into distributed consensus gossip sensor fusion, and the applied stopping criterion.
- Random Geometric Graphs (Section 3.2)—In this subsection, we introduce the mathematical used model to model WSNs (RGGs).
- Examined Distributed Consensus Gossip Algorithms (Section 3.3)—Here, we introduce seven algorithms chosen for evaluation in this paper.
3.1. Distributed Consensus Gossip-Based Sensor Fusion in Wireless Sensor Networks
3.2. Random Geometric Graphs
3.3. Examined Distributed Consensus Gossip Algorithms
4. Applied Research Methodology and Metrics
- ⋄
- P = 10−1.
- ⋄
- P = 10−2.
- ⋄
- P = 10−3.
- ⋄
- P = 10−4.
- ⋄
- = 1.
- ⋄
- = 5.
- ⋄
- = 0.1 (later referred to as BG 1).
- ⋄
- = 0.5 (later referred to as BG 2).
- ⋄
- = 0.9 (later referred to as BG 3).
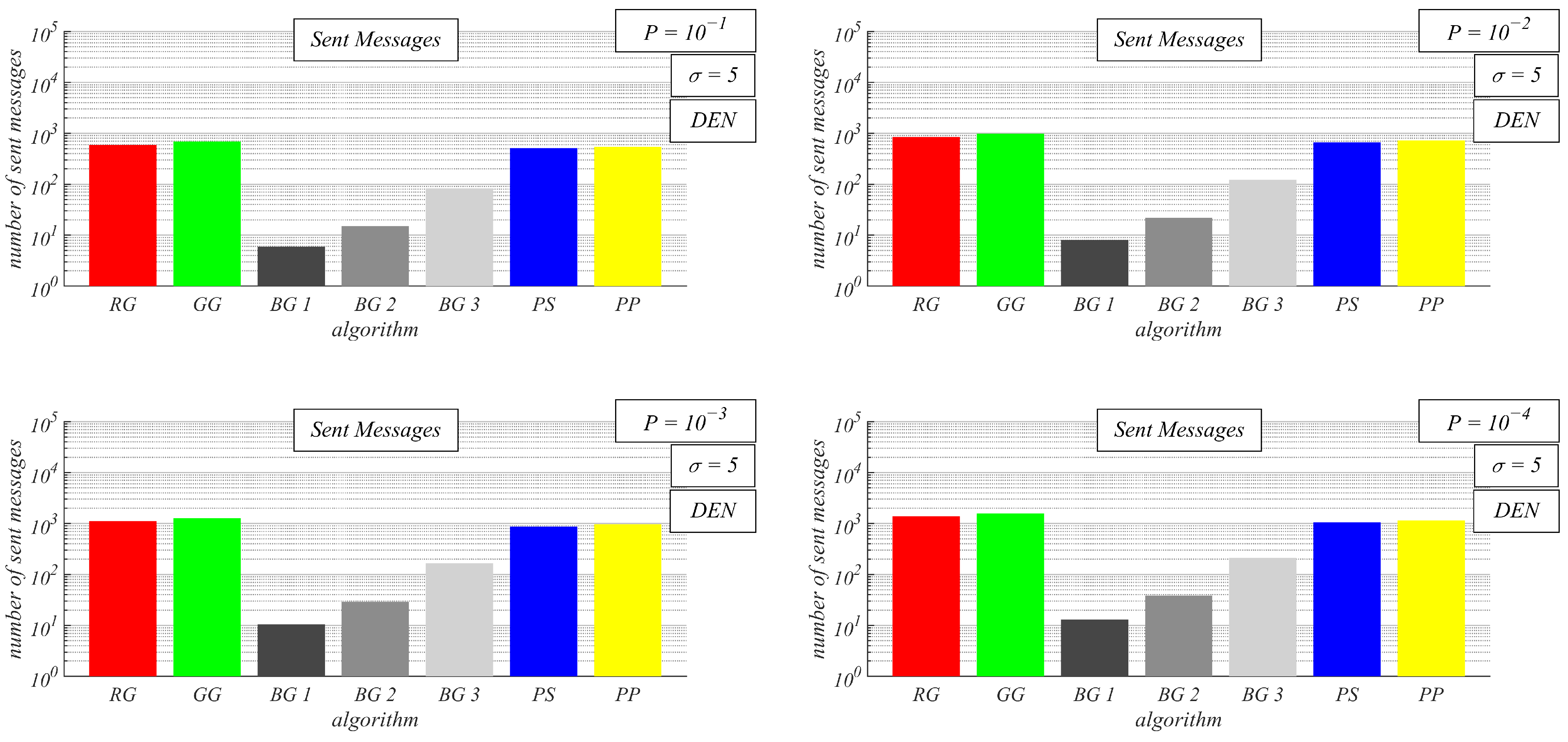
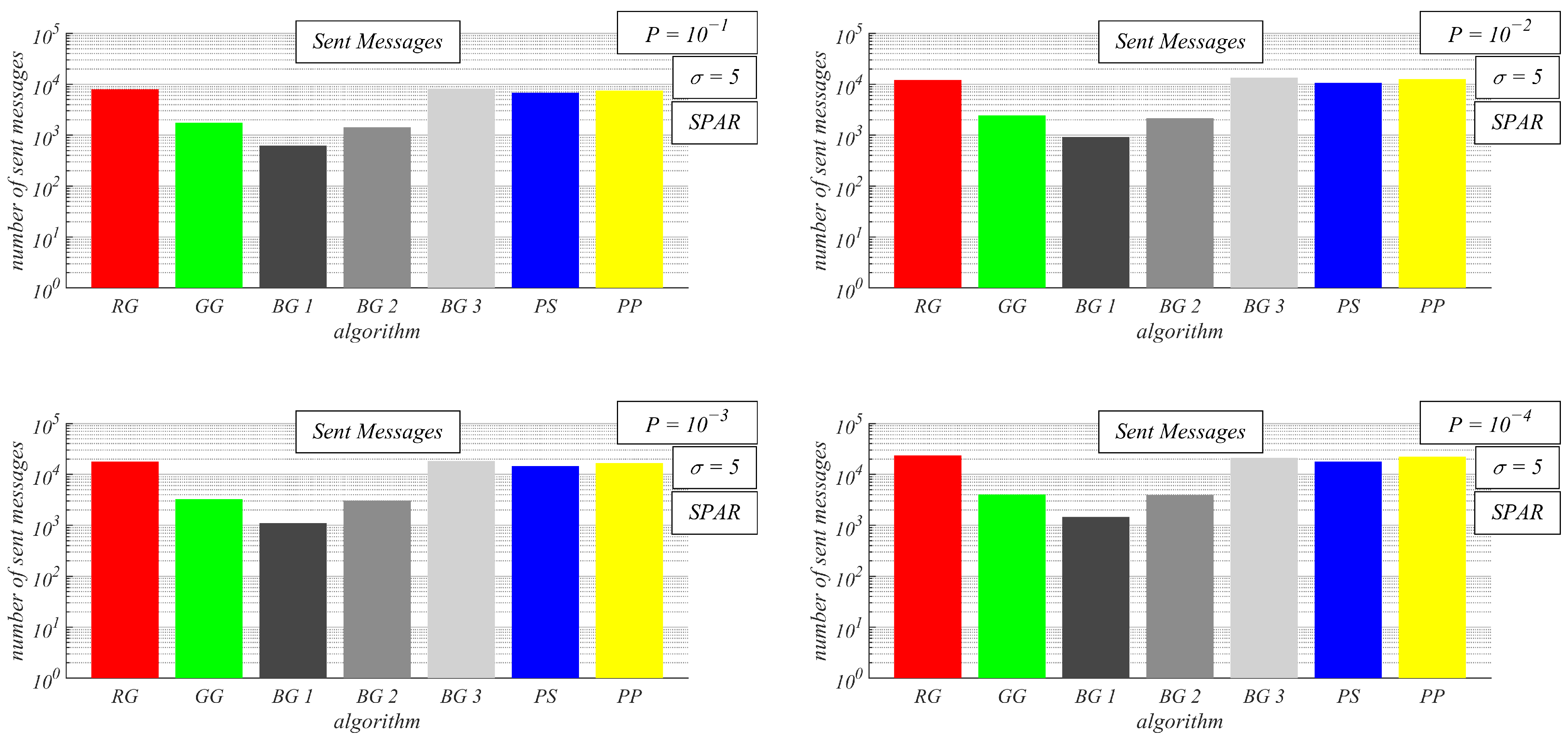
5. Experiments and Discussion
6. Future Plans
7. Conclusions
Author Contributions
Funding
Institutional Review Board Statement
Informed Consent Statement
Data Availability Statement
Acknowledgments
Conflicts of Interest
Abbreviations
| RG | Randomized Gossip algorithm |
| GG | Geographic Gossip algorithm |
| BG | Broadcast Gossip algorithm |
| PS | Push-Sum protocol |
| PP | Push-Pull protocol |
| WSN | Wireless Sensor Network |
| RGG | Random Geometric Graph |
| IoT | Internet of Things |
| MSE | Mean Square Error |
| IID | Independent and Identically Distributed |
| DEN | Densely connected Random Geometric Graph |
| SPAR | Sparsely connected Random Geometric Graph |
| BG 1 | Broadcast Gossip algorithm with = 0.1 |
| BG 2 | Broadcast Gossip algorithm with = 0.5 |
| BG 3 | Broadcast Gossip algorithm with = 0.9 |
| Zigbee | Zonal Intercommunication Global Standard |
| BLE | Bluetooth Low Energy |
| LoRa | Long Range |
| IEEE | Institute of Electrical and Electronics Engineers |
| UAV | Unmanned Aerial Vehicle |
| QoS | Quality of Service |
| CO2 | Carbon dioxide |
| O3 | Ozone |
| SO2 | Sulfur Dioxide |
| NO2 | Nitrogen Dioxide |
| CO | Carbon Monoxide |
| CH4 | Methane |
Appendix A

References
- Li, Y.; Im, P.; Lee, S.; Bae, Y.; Yoon, Y.; Lee, S. Sensor incipient fault impacts on building energy performance: A case study on a multi-zone commercial building. Buildings 2023, 13, 520. [Google Scholar] [CrossRef]
- Kraft, R.; Hofmann, F.; Reichert, M.; Pryss, R. Dealing with inaccurate sensor data in the context of mobile crowdsensing and mhealth. IEEE J. Biomed. Health Inform. 2022, 26, 5439–5449. [Google Scholar] [CrossRef] [PubMed]
- Carvajal, A.; Garcia-Colon, V.R. High capacity motors on-line diagnosis based on ultra wide band partial discharge detection. In Proceedings of the 4th IEEE International Symposium on Diagnostics for Electric Machines, Power Electronics and Drives, Atlanta, GA, USA, 24–26 August 2003. [Google Scholar]
- Izadi, D.; Abawajy, J.H.; Ghanavati, S.; Herawan, T. A data fusion method in wireless sensor networks. Sensors 2015, 15, 2964–2979. [Google Scholar] [CrossRef] [PubMed]
- Selvaraj, S.K.; Pundikai, V.B. Outlier tolerant adaptive sampling rate approach for wireless sensor node. Indones. J. Electr. Eng. Comput. Sci. 2022, 27, 281–289. [Google Scholar] [CrossRef]
- Shao, T. Distributed filtering in sensor networks based on linear minimum mean square error criterion with limited sensing range. Int. J. Distrib. Sens. Netw. 2022, 18, 15501329221110810. [Google Scholar] [CrossRef]
- Jamshed, M.A.; Ali, K.; Abbasi, Q.H.; Imran, M.A.; Ur-Rehman, M. Challenges, applications, and future of wireless sensors in Internet of Things: A review. IEEE Sens. J. 2022, 22, 5482–5494. [Google Scholar] [CrossRef]
- Ouni, R.; Saleem, K. Framework for sustainable wireless sensor network based environmental monitoring. Sustainability 2022, 14, 8356. [Google Scholar] [CrossRef]
- Ahmad, R.; Wazirali, R.; Abu-Ain, T. Machine learning for wireless sensor networks security: An overview of challenges and issues. Sensors 2022, 22, 4730. [Google Scholar] [CrossRef]
- Nakas, C.; Kandris, D.; Visvardis, G. Energy efficient routing in wireless sensor networks: A comprehensive survey. Algorithms 2020, 13, 72. [Google Scholar] [CrossRef]
- Behera, T.M.; Samal, U.C.; Mohapatra, S.K.; Khan, M.S.; Appasani, B.; Bizon, N.; Thounthong, P. Energy-efficient routing protocols for wireless sensor networks: Architectures, strategies, and performance. Electronics 2022, 11, 2282. [Google Scholar] [CrossRef]
- Chen, S.; Zhang, L.; Tang, Y.; Shen, C.; Kumar, R.; Yu, K.; Tariq, U.; Bashir, A.K. Indoor temperature monitoring using wireless sensor networks: A SMAC application in smart cities. Sustain. Cities Soc. 2020, 61, 102333. [Google Scholar] [CrossRef]
- Vidaña-Vila, E.; Navarro, J.; Borda-Fortuny, C.; Stowell, D.; Alsina-Pagès, R.M. Low-cost distributed acoustic sensor network for real-time urban sound monitoring. Electronics 2020, 9, 2119. [Google Scholar] [CrossRef]
- Metia, S.; Nguyen, H.A.; Ha, Q.P. IoT-enabled wireless sensor networks for air pollution monitoring with extended fractional-order Kalman filtering. Sensors 2021, 21, 5313. [Google Scholar] [CrossRef] [PubMed]
- Mabrouki, J.; Azrour, M.; Dhiba, D.; Farhaoui, Y.; El Hajjaji, S. IoT-based data logger for weather monitoring using arduino-based wireless sensor networks with remote graphical application and alerts. Big Data Min. Anal. 2021, 4, 25–32. [Google Scholar] [CrossRef]
- Aminian, M.; Naji, H.R. A hospital healthcare monitoring system using wireless sensor networks. J. Health Med. Inf. 2013, 4, 121. [Google Scholar] [CrossRef]
- Nourildean, S.W.; Hassib, M.D.; Mohammed, Y.A. Internet of things based wireless sensor network: A review. Indones. J. Electr. Eng. Comput. Sci 2022, 27, 246–261. [Google Scholar] [CrossRef]
- Ragnoli, M.; Leoni, A.; Barile, G.; Ferri, G.; Stornelli, V. LoRa-Based Wireless Sensors Network for Rockfall and Landslide Monitoring: A Case Study in Pantelleria Island with Portable LoRaWAN Access. J. Low Power Electron. Appl. 2022, 12, 47. [Google Scholar] [CrossRef]
- Labib, M.I.; ElGazzar, M.; Ghalwash, A.; AbdulKader, S.N. An efficient networking solution for extending and controlling wireless sensor networks using low-energy technologies. PeerJ Comput. Sci. 2021, 7, e780. [Google Scholar] [CrossRef]
- Suji Prasad, S.J.; Thangatamilan, M.; Suresh, M.; Panchal, H.; Rajan, C.A.; Sagana, C.; Gunapriya, B.; Sharmag, A.; Panchal, T.; Sadasivuni, K.K. An efficient LoRa-based smart agriculture management and monitoring system using wireless sensor networks. Int. J. Ambient Energy 2022, 43, 5447–5450. [Google Scholar] [CrossRef]
- Akbar, M.S.; Hussain, Z.; Sheng, M.; Shankaran, R. Wireless body area sensor networks: Survey of mac and routing protocols for patient monitoring under IEEE 802.15.4 and IEEE 802.15.6. Sensors 2022, 22, 8279. [Google Scholar] [CrossRef]
- Malik, N.N.; Alosaimi, W.; Uddin, M.I.; Alouffi, B.; Alyami, H. Wireless sensor network applications in healthcare and precision agriculture. J. Healthc. Eng. 2020, 1, 8836613. [Google Scholar] [CrossRef]
- Zhang, H.; Xing, S.; Wang, J. Security and application of wireless sensor network. Procedia Comput. Sci. 2021, 183, 486–492. [Google Scholar]
- Ullo, S.L.; Sinha, G.R. Advances in smart environment monitoring systems using IoT and sensors. Sensors 2020, 20, 3113. [Google Scholar] [CrossRef] [PubMed]
- Majid, M.; Habib, S.; Javed, A.R.; Rizwan, M.; Srivastava, G.; Gadekallu, T.R.; Lin, J.C.W. Applications of wireless sensor networks and internet of things frameworks in the industry revolution 4.0: A systematic literature review. Sensors 2022, 22, 2087. [Google Scholar] [CrossRef] [PubMed]
- Dampage, U.; Bandaranayake, L.; Wanasinghe, R.; Kottahachchi, K.; Jayasanka, B. Forest fire detection system using wireless sensor networks and machine learning. Sci. Rep. 2022, 12, 46. [Google Scholar] [CrossRef]
- Arshad, J.; Rehman, A.U.; Othman, M.T.B.; Ahmad, M.; Tariq, H.B.; Khalid, M.A.; Moosa, M.A.R.; Shafiq, M.; Hamam, H. Deployment of wireless sensor network and iot platform to implement an intelligent animal monitoring system. Sustainability 2022, 14, 6249. [Google Scholar] [CrossRef]
- Ragnoli, M.; Barile, G.; Leoni, A.; Ferri, G.; Stornelli, V. An autonomous low-power LoRa-based flood-monitoring system. J. Low Power Electron. Appl. 2020, 10, 15. [Google Scholar] [CrossRef]
- Abdollahi, A.; Rejeb, K.; Rejeb, A.; Mostafa, M.M.; Zailani, S. Wireless sensor networks in agriculture: Insights from bibliometric analysis. Sustainability 2021, 13, 12011. [Google Scholar] [CrossRef]
- Haque, M.E.; Asikuzzaman, M.; Khan, I.U.; Ra, I.H.; Hossain, M.S.; Shah, S.B.H. Comparative study of IoT-based topology maintenance protocol in a wireless sensor network for structural health monitoring. Remote Sens. 2020, 12, 2358. [Google Scholar] [CrossRef]
- Ezeigweneme, C.A.; Nwasike, C.N.; Adekoya, O.O.; Biu, P.W.; Gidiagba, J.O. Wireless communication in electro-mechanical systems: Investigating the rise and implications of cordless interfaces for system enhancement. Eng. Sci. Technol. J. 2024, 5, 21–42. [Google Scholar] [CrossRef]
- Sungheetha, A.; Sharma, R. Real time monitoring and fire detection using internet of things and cloud based drones. J. Soft Comput. Paradig. 2020, 2, 168–174. [Google Scholar] [CrossRef]
- Amutha, J.; Sharma, S.; Nagar, J. WSN strategies based on sensors, deployment, sensing models, coverage and energy efficiency: Review, approaches and open issues. Wirel. Pers. Commun. 2020, 111, 1089–1115. [Google Scholar] [CrossRef]
- Sigrist, L.; Ahmed, R.; Gomez, A.; Thiele, L. Harvesting-aware optimal communication scheme for infrastructure-less sensing. ACM Trans. Internet Things 2020, 1, 1–26. [Google Scholar] [CrossRef]
- Alghamdi, T.A. Energy efficient protocol in wireless sensor network: Optimized cluster head selection model. Telecommun. Syst. 2020, 74, 331–345. [Google Scholar] [CrossRef]
- Yun, W.K.; Yoo, S.J. Q-learning-based data-aggregation-aware energy-efficient routing protocol for wireless sensor networks. IEEE Access 2021, 9, 10737–10750. [Google Scholar] [CrossRef]
- Sachan, S.; Sharma, R.; Sehgal, A. Energy efficient scheme for better connectivity in sustainable mobile wireless sensor networks. Sustain. Comput. Informatics Syst. 2021, 30, 100504. [Google Scholar] [CrossRef]
- Landaluce, H.; Arjona, L.; Perallos, A.; Falcone, F.; Angulo, I.; Muralter, F. A review of IoT sensing applications and challenges using RFID and wireless sensor networks. Sensors 2020, 20, 2495. [Google Scholar] [CrossRef]
- Dobrescu, R.; Popescu, D.; Nicolae, M.; Mocanu, S. Hybrid wireless sensor network for homecare monitoring of chronic patients. Int. J. Biol. Biomed. Eng. 2009, 3, 19–26. [Google Scholar]
- Lata, S.; Mehfuz, S.; Urooj, S.; Alrowais, F. Fuzzy clustering algorithm for enhancing reliability and network lifetime of wireless sensor networks. IEEE Access 2020, 8, 66013–66024. [Google Scholar] [CrossRef]
- Chamam, A.; Pierre, S. On the planning of wireless sensor networks: Energy-efficient clustering under the joint routing and coverage constraint. IEEE Trans. Mob. Comput. 2009, 8, 1077–1086. [Google Scholar] [CrossRef]
- Buratti, C.; Conti, A.; Dardari, D.; Verdone, R. An overview on wireless sensor networks technology and evolution. Sensors 2009, 9, 6869–6896. [Google Scholar] [CrossRef] [PubMed]
- Bissadu, K.D.; Hossain, G.; Velagala, L.P. Identifying Sensors Data Integrity Threats of Smart Agriculture: A Collaborative Filtering Approach. Appl. Eng. Agric. 2024, 40, 565–575. [Google Scholar] [CrossRef]
- Bonnet, P.; Gehrke, J.; Seshadri, P. Towards sensor database systems. Lect. Notes Comput. Sci. 2001, 1987, 3–14. [Google Scholar]
- Pirayesh, H.; Zeng, H. Jamming attacks and anti-jamming strategies in wireless networks: A comprehensive survey. IEEE Commun. Surv. 2022, 24, 767–809. [Google Scholar] [CrossRef]
- Kavousi-Fard, A.; Su, W.; Jin, T. A machine-learning-based cyber attack detection model for wireless sensor networks in microgrids. IEEE Trans. Ind. Informatics 2020, 17, 650–658. [Google Scholar] [CrossRef]
- Krishnamurthi, R.; Kumar, A.; Gopinathan, D.; Nayyar, A.; Qureshi, B. An overview of IoT sensor data processing, fusion, and analysis techniques. Sensors 2020, 20, 6076. [Google Scholar] [CrossRef]
- Yeong, D.J.; Velasco-Hernandez, G.; Barry, J.; Walsh, J. Sensor and sensor fusion technology in autonomous vehicles: A review. Sensors 2021, 21, 2140. [Google Scholar] [CrossRef]
- Wei, Y.; Wu, D.; Terpenny, J. Robust incipient fault detection of complex systems using data fusion. IEEE Trans. Instrum. Meas. 2020, 69, 9526–9534. [Google Scholar] [CrossRef]
- Kong, L.; Peng, X.; Chen, Y.; Wang, P.; Xu, M. Multi-sensor measurement and data fusion technology for manufacturing process monitoring: A literature review. Int. J. Extrem. Manuf. 2020, 2, 022001. [Google Scholar] [CrossRef]
- Li, D.; Wang, Y.; Wang, J.; Wang, C.; Duan, Y. Recent advances in sensor fault diagnosis: A review. Sens. Actuators A Phys. 2020, 309, 111990. [Google Scholar] [CrossRef]
- Xiao, L.; Boyd, S.; Lall, S. A scheme for robust distributed sensor fusion based on average consensus. In Proceedings of the IPSN 2005, Fourth International Symposium on Information Processing in Sensor Networks, Boise, ID, USA, 15 April 2005; pp. 63–70. [Google Scholar]
- Shrimali, B.; Patel, H.B. Blockchain state-of-the-art: Architecture, use cases, consensus, challenges and opportunities. J. King Saud Univ.-Comput. Inf. Sci. 2022, 34, 6793–6807. [Google Scholar] [CrossRef]
- Mostefaoui, A.; Raynal, M. Leader-based consensus. Parallel Process. Lett. 2001, 11, 95–107. [Google Scholar] [CrossRef]
- Merezeanu, D.; Nicolae, M. Consensus control of discrete-time multi-agent systems. Univ. Politeh. Buchar. Ser. A 2017, 79, 167–174. [Google Scholar]
- Stamatescu, G.; Stamatescu, I.; Popescu, D. Consensus-based data aggregation for wireless sensor networks. J. Control Eng. Appl. Informatics 2017, 19, 43–50. [Google Scholar]
- Dragana, C.; Mihai, V.; Stamatescu, G.; Popescu, D. In-network stochastic consensus for WSN surveillance applications. In Proceedings of the 9th International Conference on Electronics, Computers and Artificial Intelligence, ECAI 2017, Targoviste, Romania, 29 June–1 July 2017; pp. 1–6. [Google Scholar]
- Lizzio, F.F.; Capello, E.; Guglieri, G. A review of consensus-based multi-agent UAV implementations. J. Intell. Robot. Syst. 2022, 106, 43. [Google Scholar] [CrossRef]
- Sharma, A.B.; Golubchik, L.; Govindan, R. Sensor faults: Detection methods and prevalence in real-world datasets. ACM Trans. Sens. Networks (TOSN) 2010, 6, 1–39. [Google Scholar] [CrossRef]
- Clegg, M.; Marzullo, K. Predicting physical processes in the presence of faulty sensor readings. In Proceedings of the IEEE 27th International Symposium on Fault Tolerant Computing, Seattle, WA, USA, 24–27 June 1997; pp. 373–378. [Google Scholar]
- Elnahrawy, E.; Nath, B. Cleaning and querying noisy sensors. In Proceedings of the 2nd ACM International Conference on Wireless Sensor Networks and Applications, New York, NY, USA, 19 September 2003; pp. 78–87. [Google Scholar]
- Chen, Y.; Jiang, S.; Yang, J.; Song, K.; Wang, Q. Grey bootstrap method for data validation and dynamic uncertainty estimation of self-validating multifunctional sensors. Chemom. Intell. Lab. Syst. 2015, 146, 63–76. [Google Scholar] [CrossRef]
- Yu, Y.; Li, H. Virtual in-situ calibration method in building systems. Autom. Constr. 2015, 59, 59–67. [Google Scholar] [CrossRef]
- Solomakhina, N.; Hubauer, T.; Lamparter, S.; Roshchin, M.; Grimm, S. Extending statistical data quality improvement with explicit domain models. In Proceedings of the 2014 12th IEEE International Conference on Industrial Informatics (INDIN), Porto Alegre, Brazil, 27–30 July 2014; pp. 720–725. [Google Scholar]
- Scheffel, R.M.; Fröhlich, A.A. Increasing sensor reliability through confidence attribution. J. Braz. Comput. Soc. 2019, 25, 13. [Google Scholar] [CrossRef]
- Sinha, A.; Das, D. SNRepair: Systematically addressing sensor faults and self-calibration in IoT networks. IEEE Sens. J. 2023, 23, 14915–14922. [Google Scholar] [CrossRef]
- Ayanoglu, M.B.; Uysal, I. ML Approach to Improve the Costs and Reliability of a Wireless Sensor Network. Sensors 2023, 23, 4303. [Google Scholar] [CrossRef] [PubMed]
- Kenyeres, M.; Kenyeres, J. Average Consensus with Perron Matrix for Alleviating Inaccurate Sensor Readings Caused by Gaussian Noise in Wireless Sensor Networks. Lect. Notes Netw. Syst. 2021, 230, 391–405. [Google Scholar]
- Kenyeres, M.; Kenyeres, J. Using Metropolis-Hastings Algorithm with Stopping Criterion to Suppress Incorrect Sensor Data. Lect. Notes Netw. Syst. 2024; accepted. [Google Scholar]
- Meng, J.; Li, H.; Han, Z. Sparse event detection in wireless sensor networks using compressive sensing. In Proceedings of the 2009 43rd Annual Conference on Information Sciences and Systems, Baltimore, MD, USA, 18–20 March 2009; pp. 181–185. [Google Scholar]
- Banos, O.; Damas, M.; Pomares, H.; Rojas, I. On the use of sensor fusion to reduce the impact of rotational and additive noise in human activity recognition. Sensors 2012, 12, 8039–8054. [Google Scholar] [CrossRef] [PubMed]
- Kenyeres, M.; Kenyeres, J. Comparative Study of Distributed Consensus Gossip Algorithms for Network Size Estimation in Multi-Agent Systems. Future Internet 2021, 13, 134. [Google Scholar] [CrossRef]
- Sasikumar, P.; Khara, S. K-means clustering in wireless sensor networks. In Proceedings of the 2012 Fourth International Conference on Computational Intelligence and Communication Networks, Mathura, India, 3–5 November 2012. [Google Scholar]
- Park, J.; Moon, K.; Yoo, S.; Lee, S. Optimal stop points for data gathering in sensor networks with mobile sinks. Wirel. Sens. Netw. 2011, 4, 8–17. [Google Scholar] [CrossRef]
- Dong, Q. Maximizing system lifetime in wireless sensor networks. In Proceedings of the IPSN 2005, Fourth International Symposium on Information Processing in Sensor Networks, Boise, ID, USA, 15 April 2005. [Google Scholar]
- Fraser, B.; Coyle, A.; Hunjet, R.; Szabo, C. An Analytic Latency Model for a Next-Hop Data-Ferrying Swarm on Random Geometric Graphs. IEEE Access 2020, 8, 48929–48942. [Google Scholar] [CrossRef]
- Gulzar, M.M.; Rizvi, S.T.H.; Javed, M.Y.; Munir, U.; Asif, H. Multi-agent cooperative control consensus: A comparative review. Electronics 2018, 7, 22. [Google Scholar] [CrossRef]
- Bonato, A.; Lozier, M.; Mitsche, D.; Pérez-Giménez, X.; Prałat, P. The domination number of on-line social networks and random geometric graphs. In Proceedings of the Theory and Applications of Models of Computation: 12th Annual Conference, TAMC 2015, Singapore, 18–20 May 2015; pp. 150–163. [Google Scholar]
- Kenniche, H.; Ravelomananana, V. Random geometric graphs as model of wireless sensor networks. In Proceedings of the 2010 The 2nd International Conference on Computer and Automation Engineering (ICCAE), Singapore, 26–28 February 2010; pp. 103–107. [Google Scholar]
- Gutierrez-Gutierrez, J.; Zarraga-Rodriguez, M.; Insausti, X. Analysis of Known Linear Distributed Average Consensus Algorithms on Cycles and Paths. Sensors 2018, 18, 968. [Google Scholar] [CrossRef]
- Dimakis, A.A.G.; Sarwate, A.D.; Wainwright, M.J.; Scaglione, A. Geographic gossip: Efficient averaging for sensor networks. IEEE Trans. Signal Process. 2008, 56, 1205–1216. [Google Scholar] [CrossRef]
- Aysal, T.C.; Yildiz, M.E.; Sarwate, A.D.; Scaglione, A. Broadcast gossip algorithms for consensus. IEEE Trans. Signal Process. 2009, 57, 2748–2761. [Google Scholar] [CrossRef]
- Kempe, D.; Dobra, A.; Gehrke, J. Gossip-based computation of aggregate information. In Proceedings of the 44th Annual IEEE Symposium on Foundations of Computer Science, FOCS 2003, Cambridge, MA, USA, 11–14 October 2003; pp. 482–491. [Google Scholar]
- Jelasity, M.; Montresor, A.; Babaoglu, O. Gossip-based aggregation in large dynamic networks. ACM Trans. Comput. Syst. (TOCS) 2005, 23, 219–252. [Google Scholar] [CrossRef]
- Bhandari, S.; Bergmann, N.; Jurdak, R.; Kusy, B. Time series data analysis of wireless sensor network measurements of temperature. Sensors 2017, 17, 1221. [Google Scholar] [CrossRef] [PubMed]
- Ayday, C.; Safak, S. Application of wireless sensor networks with GIS on the soil moisture distribution mapping. In Proceedings of the Symposium GIS Ostrava 2009, Ostrava, Czech Republic, 25–28 January 2009. [Google Scholar]
- Peckens, C.; Porter, C.; Rink, T. Wireless sensor networks for long-term monitoring of urban noise. Sensors 2018, 18, 3161. [Google Scholar] [CrossRef] [PubMed]
- Mangundu, E.M.; Mateus, J.N.; Zodi, G.A.L.; Johson, J. A wireless sensor network for rainfall monitoring, using cellular network: A case for namibia. In Proceedings of the 2017 Global Wireless Summit (GWS), Cape Town, South Africa, 15–18 October 2017. [Google Scholar]
- Yi, W.Y.; Lo, K.M.; Mak, T.; Leung, K.S.; Leung, Y.; Meng, M.L. A survey of wireless sensor network based air pollution monitoring systems. Sensors 2015, 15, 31392–31427. [Google Scholar] [CrossRef]
- Barroca, N.; Borges, L.M.; Velez, F.J.; Monteiro, F.; Górski, M.; Castro-Gomes, J. Wireless sensor networks for temperature and humidity monitoring within concrete structures. Constr. Build. Mater. 2013, 40, 1156–1166. [Google Scholar] [CrossRef]
- Al-Hemyari, Z.A.; Abbasi, J.N.A. Modelling and analysing the daily temperature of several cities using mixture Gaussian distributions. Int. J. Comput. Sci. Math. 2023, 17, 320–341. [Google Scholar] [CrossRef]
- Mu, H.; Li, Z.; Wang, X.; Liu, S. Temperature distribution measurement using the Gaussian process regression method. Math. Probl. Eng. 2017, 2017, 2147935. [Google Scholar] [CrossRef]
- Pan, S.; Han, Y.; Wei, S.; Wei, Y.; Xia, L.; Xie, L.; Kong, X.; Yu, W. A model based on Gauss Distribution for predicting window behavior in building. Build. Environ. 2019, 149, 210–219. [Google Scholar] [CrossRef]
- Barber, M.; Grings, F.; Perna, P.; Piscitelli, M.; Maas, M.; Bruscantini, C.; Jacobo-Berlles, J.; Karszenbaum, H. Speckle noise and soil heterogeneities as error sources in a Bayesian soil moisture retrieval scheme for SAR data. IEEE J. Sel. Top. Appl. Earth Obs. Remote. Sens. 2012, 5, 942–951. [Google Scholar] [CrossRef]
- De Lannoy, G.J.; Houser, P.R.; Pauwels, V.R.; Verhoest, N.E. Assessment of model uncertainty for soil moisture through ensemble verification. J. Geophys. Res. Atmos. 2006, 111, 1–18. [Google Scholar] [CrossRef]
- Cai, M.; Lan, Z.; Zhang, Z.; Wang, H. Evaluation of road traffic noise exposure based on high-resolution population distribution and grid-level noise data. Build. Environ. 2019, 147, 211–220. [Google Scholar] [CrossRef]
- Wilson, P.S.; Toumi, R. A fundamental probability distribution for heavy rainfall. Geophys. Res. Lett. 2005, 32, L14812. [Google Scholar] [CrossRef]
- Fernandes, A.P.; Rafael, S.; Lopes, D.; Coelho, S.; Borrego, C.; Lopes, M. The air pollution modelling system URBAIR: How to use a Gaussian model to accomplish high spatial and temporal resolutions. Air Qual. Atmos. Health 2021, 14, 1969–1988. [Google Scholar] [CrossRef]
- Spichtinger, P.; Gierens, K.; Smit, H.G.J.; Ovarlez, J.; Gayet, J.F. On the distribution of relative humidity in cirrus clouds. Atmos. Chem. Phys. 2004, 4, 639–647. [Google Scholar] [CrossRef]
- Alemdar, A.; Ibnkahla, M. Wireless sensor networks: Applications and challenges. In Proceedings of the 2007 9th International Symposium on Signal Processing and Its Applications, Sharjah, United Arab Emirates, 12–15 February 2007. [Google Scholar]
- Skorpil, V.; Stastny, J. Back-propagation and k-means algorithms comparison. In Proceedings of the 2006 8th International Conference on Signal Processing, ICSP 2006, Guilin, China, 16–20 November 2006; pp. 374–378. [Google Scholar]
- Lee, C.S.; Michelusi, N.; Scutari, G. Finite rate distributed weight-balancing and average consensus over digraphs. IEEE Trans. Autom. Control 2020, 66, 4530–4545. [Google Scholar] [CrossRef]
- Sirocchi, C.; Bogliolo, A. Topological network features determine convergence rate of distributed average algorithms. Sci. Rep. 2022, 12, 21831. [Google Scholar] [CrossRef]
















Disclaimer/Publisher’s Note: The statements, opinions and data contained in all publications are solely those of the individual author(s) and contributor(s) and not of MDPI and/or the editor(s). MDPI and/or the editor(s) disclaim responsibility for any injury to people or property resulting from any ideas, methods, instructions or products referred to in the content. |
© 2025 by the authors. Licensee MDPI, Basel, Switzerland. This article is an open access article distributed under the terms and conditions of the Creative Commons Attribution (CC BY) license (https://creativecommons.org/licenses/by/4.0/).
Share and Cite
Kenyeres, M.; Kenyeres, J.; Hassankhani Dolatabadi, S. Distributed Consensus Gossip-Based Data Fusion for Suppressing Incorrect Sensor Readings in Wireless Sensor Networks. J. Low Power Electron. Appl. 2025, 15, 6. https://doi.org/10.3390/jlpea15010006
Kenyeres M, Kenyeres J, Hassankhani Dolatabadi S. Distributed Consensus Gossip-Based Data Fusion for Suppressing Incorrect Sensor Readings in Wireless Sensor Networks. Journal of Low Power Electronics and Applications. 2025; 15(1):6. https://doi.org/10.3390/jlpea15010006
Chicago/Turabian StyleKenyeres, Martin, Jozef Kenyeres, and Sepideh Hassankhani Dolatabadi. 2025. "Distributed Consensus Gossip-Based Data Fusion for Suppressing Incorrect Sensor Readings in Wireless Sensor Networks" Journal of Low Power Electronics and Applications 15, no. 1: 6. https://doi.org/10.3390/jlpea15010006
APA StyleKenyeres, M., Kenyeres, J., & Hassankhani Dolatabadi, S. (2025). Distributed Consensus Gossip-Based Data Fusion for Suppressing Incorrect Sensor Readings in Wireless Sensor Networks. Journal of Low Power Electronics and Applications, 15(1), 6. https://doi.org/10.3390/jlpea15010006

