The Application of Blockchain Technology in Fresh Food Supply Chains: A Game-Theoretical Analysis Under Carbon Cap-and-Trade Policy and Consumer Dual Preferences
Abstract
1. Introduction
- (1)
- How do the impacts of CAT and consumer dual preferences (for low-carbon attributes and freshness) on the FFSC’s emission reduction efforts, freshness preservation efforts, and pricing strategies differ under various blockchain adoption models?
- (2)
- What are the specific aspects of the interaction between consumers’ low-carbon preferences and freshness preferences after adopting blockchain technology in the supply chain?
- (3)
- Which blockchain adoption model can achieve a “win-win” situation for supply chain members? How can supply chain participants be guided to adopt this model?
2. Literature Review
2.1. Carbon Cap-and-Trade Policy and Supply Chain Emission Reduction Strategies
2.2. Preferences
2.3. Application of Blockchain Technology
3. Problem Description and Underlying Assumptions
4. Model Construction and Solution
4.1. Consumer Demand Function
4.2. Decision Model for Fresh Food Supply Chain in NN Model
4.3. Decision Model for Fresh Food Supply Chain in NB Model
4.4. Decision Model of Fresh Food Supply Chain Under BN Model
4.5. Decision Model of Fresh Food Supply Chain in BB Model
5. Comparison and Analysis
5.1. The Impact of Blockchain Adoption Strategy on Supply Chain



5.2. The Impact of CTP and Consumer Preferences on Blockchain Adoption Strategies

6. Numerical Analysis
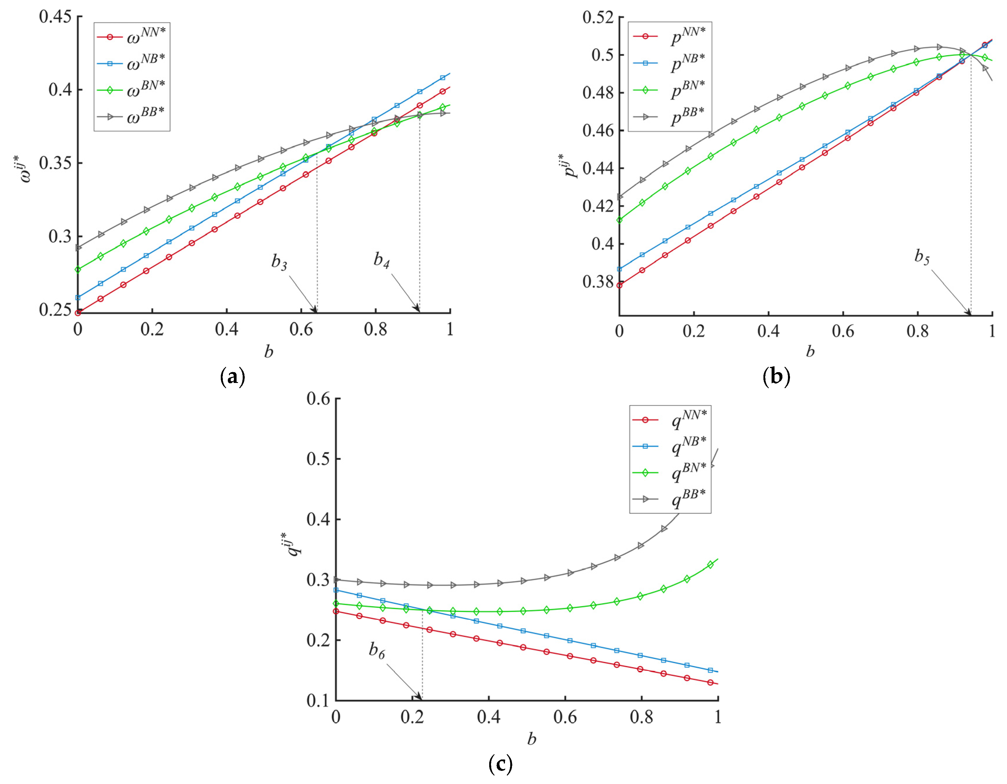
6.1. The Impact of Consumer Preferences on Preservation and Emission Reduction Efforts Under Different Blockchain Adoption Models
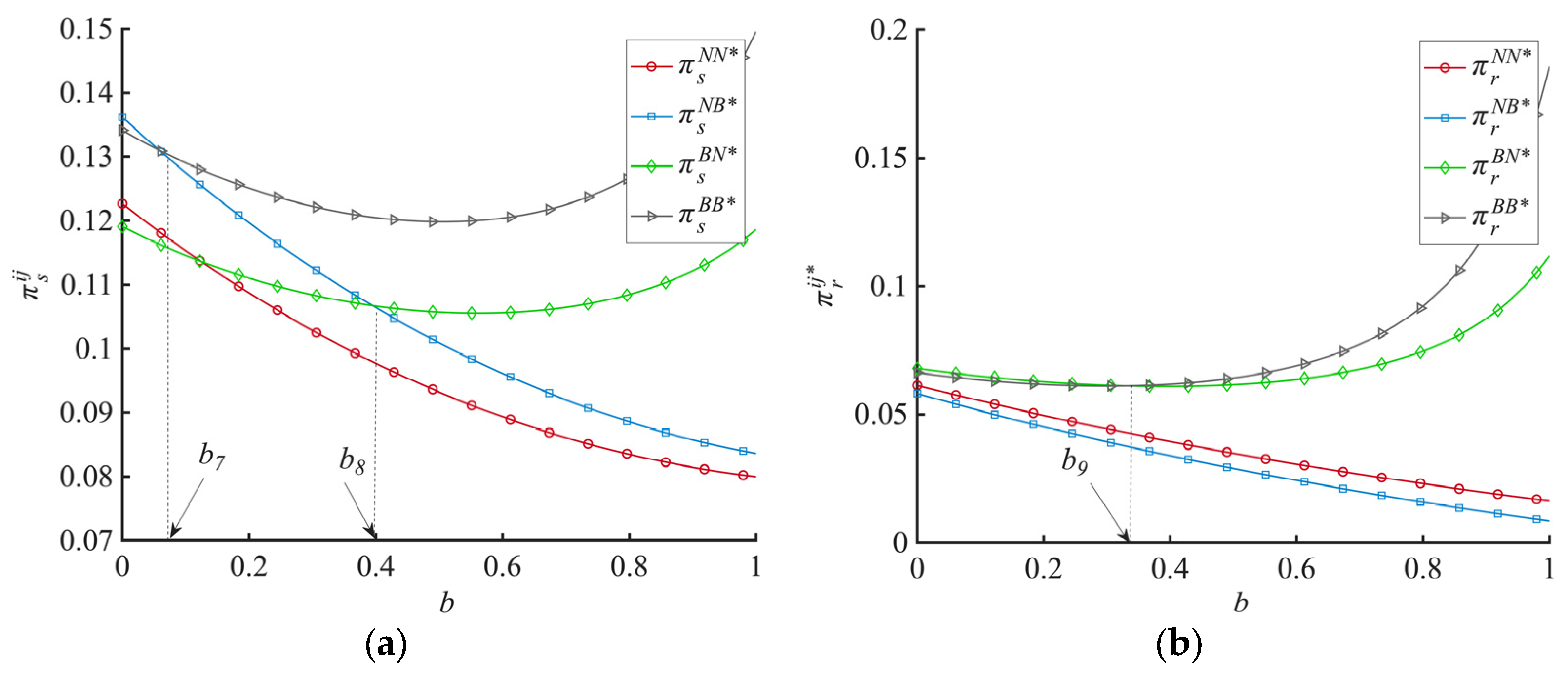
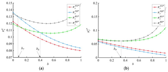
6.2. The Impact of Consumer Preferences on Supply Chain Profits Under Different Blockchain Adoption Models
7. Conclusions
7.1. Main Findings
7.2. Management Insights
- (1)
- Emission reduction and freshness preservation can be achieved synergistically, and complete information disclosure has significant market value. The study shows that through the collaborative adoption of blockchain upstream and downstream in the supply chain (the BB model), enterprises can not only effectively cope with the pressure of carbon costs but also achieve dual improvements in emission reduction and freshness preservation. Blockchain technology enables emission reduction efforts (such as the use of clean energy) and freshness preservation measures (such as cold chain optimization) to be completely recorded and presented to consumers in an immutable manner. This transparency significantly enhances consumers’ perception and trust in the “green attributes” and “fresh quality” of products, thereby converting dual preferences into actual purchase willingness and brand loyalty. Therefore, in markets with high carbon prices and strong consumer awareness of environmental protection and freshness, enterprises should give priority to promoting the collaborative implementation of blockchain and transform the transparent supply chain into a core competitiveness.
- (2)
- Consumers respond positively to integrated information on “emission reduction—freshness preservation”, with significant marketing value. Managers should completely change the practice of spreading information on emission reduction and freshness preservation separately. The study confirms that consumers particularly recognize the synergistic relationship between the two (such as how low-carbon logistics promotes freshness preservation and how high-quality cold chains reduce carbon emissions). With the credible traceability platform provided by blockchain, enterprises can systematically display the whole-process efforts of products from low-carbon production to efficient freshness preservation, such as highlighting integrated information like “solar-powered cold chain transportation reduces carbon emissions and ensures freshness at the same time”. This marketing strategy can maximize the emotional resonance and persuasive effect of information, significantly improving consumers’ willingness to pay, especially in the high-end fresh food market.
- (3)
- Dynamically grasp the timing of adoption and use one party’s investment to reduce the other party’s risks. Although the synergy between emission reduction and freshness preservation is ideal, its realization depends on an appropriate blockchain adoption strategy. Enterprises need to realize that the early investment of either party (such as suppliers with strong carbon policy constraints taking the lead in emission reduction, or retailers driven by quality demands giving priority to freshness preservation) will create more favorable conditions for the subsequent participation of the other party by reducing information asymmetry (such as sharing data to reduce verification costs). Therefore, enterprises should regularly evaluate external policies (carbon prices) and internal preferences (changes in consumers’ attention to low carbon and freshness) and dynamically adjust investment strategies. After suppliers have proven emission reduction effectiveness with the help of blockchain, retailers’ introduction of freshness preservation traceability will achieve twice the result with half the effort, and vice versa. Through this strategic step-by-step implementation, enterprises can more steadily move towards a virtuous cycle of “emission reduction—freshness preservation—information transparency”.
7.3. Research Prospects
- (1)
- The research framework only focuses on a two-echelon supply chain structure composed of suppliers and retailers and fails to include more market entities, such as third-party logistics enterprises, upstream producers, and terminal service providers into the analysis scope. As a result, it is difficult to fully reflect the complex ecology of multi-agent collaborative operations in the actual FFSC, and it is also unable to accurately capture the interactive game relationships among different subjects in the process of blockchain technology adoption.
- (2)
- Regarding the cost consideration in the application of blockchain technology, it is only set from a static perspective, and factors such as technological iteration and upgrading, dynamic cost changes brought about by economies of scale, and differences in technological input capabilities among different enterprises are not included. This reduces the applicability of the research conclusions in cost-sensitive scenarios.
- (3)
- In the analysis of the policy environment, in-depth exploration of the impact of variables, such as regional differences in the implementation intensity of CTP and the adjustment frequency of policy details on the decision-making of supply chain subjects, is lacking. Thus, it is difficult to fully reveal the logic of blockchain adoption strategy selection under policy uncertainty.
- (4)
- In the risk assessment of blockchain investment decisions, there is no systematic differentiation between the risk exposure differences of buyers (retailers) and sellers (suppliers), nor has a risk–return trade-off model similar to the “acceptance sampling operation curve” been constructed.
- (5)
- The model fails to account for preference heterogeneity among consumer groups. For instance, some consumers prioritize low-carbon attributes, others focus more on freshness, and others demand both. As a result, it is difficult to reveal the differentiated value propositions and adoption benefits of blockchain technology for different market segments.
- (1)
- The research model can be extended to a three-echelon or higher multi-echelon supply chain system, and a collaborative decision-making framework involving multiple subjects, such as producers, suppliers, retailers, and third-party logistics, can be constructed. This will be more in line with the actual operation of the entire FFSC from the production source to the consumer terminal.
- (2)
- Emphasis should be placed on incorporating the analysis of dynamic fluctuations in blockchain technology costs, comprehensively considering the changing laws of technology procurement costs, maintenance costs, and upgrade costs over time and with application scale. At the same time, the heterogeneous characteristics of policies in different regions and of different types should be introduced, such as differences in carbon quota allocation methods and gradients of policy implementation intensity, to enhance the adaptability of the model to the real economic environment.
- (3)
- It is possible to combine the actual operation cases of typical fresh food enterprises, verify the practical applicability of the theoretical model through data verification and model correction, and promote the research conclusions from the theoretical level to practical application.
- (4)
- A buyer–seller risk-balancing framework for blockchain investment could be introduced and a supply chain-specific “blockchain operation curve” constructed.
- (5)
- In the future, consumer questionnaires and cluster analysis can be used to identify customer groups with different preference types. Furthermore, the differences in the marginal impact of blockchain technology on the purchasing decisions of various groups can be analyzed, thereby helping enterprises formulate blockchain adoption and marketing strategies with clearer target markets and higher input–output efficiency.
Author Contributions
Funding
Data Availability Statement
Conflicts of Interest
Abbreviations
| FFSC | Fresh food supply chain |
| CAT | Carbon cap-and-trade policy |
| CTP | Carbon trading price |
Appendix A
Appendix B. Robustness Testing of Numerical Simulation Examples





References
- Habib, M.; Singh, S.; Bist, Y.; Kumar, Y.; Jan, K.; Bashir, K.; Jan, S.; Saxena, D. Carbon pricing and the food system: Implications for sustainability and equity. Trends Food Sci. Technol. 2024, 150, 104577. [Google Scholar] [CrossRef]
- Chen, J.; Liao, W.; Yu, C. Route optimization for cold chain logistics of front warehouses based on traffic congestion and carbon emission. Comput. Ind. Eng. 2021, 161, 107663. [Google Scholar] [CrossRef]
- Bian, Z.; Liu, J.; Zhang, Y.; Peng, B.; Jiao, J. A green path towards sustainable development: The impact of carbon emissions trading system on urban green transformation development. J. Clean. Prod. 2024, 442, 140943. [Google Scholar] [CrossRef]
- Komijani, M.; Sajadieh, M.S. An integrated planning approach for perishable goods with stochastic lifespan: Production, inventory, and routing. Clean. Logist. Supply Chain 2024, 12, 100163. [Google Scholar] [CrossRef]
- Centobelli, P.; Cerchione, R.; Del Vecchio, P.; Oropallo, E.; Secundo, G. Blockchain technology for bridging trust, traceability and transparency in circular supply chain. Inf. Manag. 2022, 59, 103508. [Google Scholar] [CrossRef]
- Verna, E.; Genta, G.; Galetto, M. Enhanced Food Quality by Digital Traceability in Food Processing Industry. Food Eng. Rev. 2025, 17, 359–383. [Google Scholar] [CrossRef]
- Yang, Y.; Yao, G. Fresh-Keeping Decision and Coordination of Fresh Agricultural Product Supply Chain Considering Carbon Cap-and-Trade under Different Dominance. J. Syst. Sci. Syst. Eng. 2024, 33, 30–51. [Google Scholar] [CrossRef]
- Wang, M.; Zhao, L.; Herty, M. Joint replenishment and carbon trading in FFSCs. Eur. J. Oper. Res. 2019, 277, 561–573. [Google Scholar] [CrossRef]
- Liu, Z.; Huang, N.; Han, C.; Yang, M.; Zhao, Y.; Sun, W.; Arya, V.; Gupta, B.B.; Shi, L. An optimal decision for fresh products’ cold chain considering freshness and carbon emission reduction. Br. Food J. 2024, 126, 2477–2499. [Google Scholar] [CrossRef]
- Bai, Q.; Chen, M.; Xu, L. Revenue and promotional cost-sharing contract versus two-part tariff contract in coordinating sustainable supply chain systems with deteriorating items. Int. J. Prod. Econ. 2017, 187, 85–101. [Google Scholar] [CrossRef]
- Ma, X.; Wang, J.; Bai, Q.; Wang, S. Optimization of a three-echelon cold chain considering freshness-keeping efforts under cap-and-trade regulation in Industry 4.0. Int. J. Prod. Econ. 2020, 220, 107457. [Google Scholar] [CrossRef]
- Zhang, Y.; Fu, S.; Ma, F.; Miao, B. The complexity analysis of decision-making for horizontal fresh supply chains under a trade-off between fresh-keeping and carbon emission reduction. Chaos Solitons Fractals 2024, 183, 114893. [Google Scholar] [CrossRef]
- Dhanda, A.; Aggarwal, D.; Jain, L.; Tyagi, P.; Mittal, M.; Bansal, A. Optimizing Fresh Food Supply Chains: Leveraging 3PL for Carbon Reduction and Profit Maximization—A Game-Theoretic Analysis. In Proceedings of the 2024 IEEE International Conference on Electronics, Computing and Communication Technologies (CONECCT), Bangalore, India, 12–14 July 2024; pp. 1–6. [Google Scholar]
- Richartz, C.; Stark, S.; Kuhlen, M. Sustainability and crisis: Shifting consumer preferences for food products under the influence of the COVID-19 pandemic in Germany. J. Clean. Prod. 2025, 496, 145089. [Google Scholar] [CrossRef]
- Xu, J.; Xiong, S.; Cui, T.; Zhang, D.; Li, Z. Incorporating Consumers’ Low-Carbon and Freshness Preferences in Dual-Channel Agri-Foods Supply Chains: An Analysis of Decision-Making Behavior. Agriculture 2023, 13, 1647. [Google Scholar] [CrossRef]
- Joshi, A.; Pani, A.; Sahu, P.K.; Majumdar, B.B.; Tavasszy, L. Gender and generational differences in omnichannel shopping travel decisions: What drives consumer choices to pick up in-store or ship direct? Res. Transp. Econ. 2024, 103, 101403. [Google Scholar] [CrossRef]
- Du, S.; Zhu, J.; Jiao, H.; Ye, W. Game-theoretical analysis for supply chain with consumer preference to low carbon. Int. J. Prod. Res. 2014, 53, 3753–3768. [Google Scholar] [CrossRef]
- Meng, Q.; Li, M.; Liu, W.; Li, Z.; Zhang, J. Pricing policies of dual-channel green supply chain: Considering government subsidies and consumers’ dual preferences. Sustain. Prod. Consum. 2021, 26, 1021–1030. [Google Scholar] [CrossRef]
- Liu, M.-L.; Li, Z.-H.; Anwar, S.; Zhang, Y. Supply chain carbon emission reductions and coordination when consumers have a strong preference for low-carbon products. Environ. Sci. Pollut. Res. 2021, 28, 19969–19983. [Google Scholar] [CrossRef]
- Fan, R.; Lin, J.; Zhu, K. Study of game models and the complex dynamics of a low-carbon supply chain with an altruistic retailer under consumers’ low-carbon preference. Phys. A Stat. Mech. Its Appl. 2019, 528, 121460. [Google Scholar] [CrossRef]
- Cao, Y.; Tao, L.; Wu, K.; Wan, G. Coordinating joint greening efforts in an agri-food supply chain with environmentally sensitive demand. J. Clean. Prod. 2020, 277, 123883. [Google Scholar] [CrossRef]
- Bera, S.; Giri, B.C. Impact of consumer preferences on pricing and strategic decisions in a triopoly with heterogeneous smart sustainable supply chains. Expert Syst. Appl. 2024, 247, 123348. [Google Scholar] [CrossRef]
- Chen, X.; Shang, J.; Zada, M.; Zada, S.; Ji, X.; Han, H.; Ariza-Montes, A.; Ramírez-Sobrino, J. Health Is Wealth: Study on Consumer Preferences and the Willingness to Pay for Ecological Agricultural Product Traceability Technology: Evidence from Jiangxi Province China. Int. J. Environ. Res. Public Health 2021, 18, 11761. [Google Scholar] [CrossRef] [PubMed]
- Contini, C.; Boncinelli, F.; Piracci, G.; Scozzafava, G.; Casini, L. Can blockchain technology strengthen consumer preferences for credence attributes? Agric. Econ. 2023, 11, 27. [Google Scholar] [CrossRef]
- Zhang, Y.; Zhang, H.; Cheng, Y. The adoption strategy of blockchain technology for new and remanufactured products considering price and consumer preference. J. Ind. Prod. Eng. 2025, 42, 103–126. [Google Scholar] [CrossRef]
- Patel, D.; Sinha, A.; Bhansali, T.; Usha, G.; Velliangiri, S. Blockchain in Food Supply Chain. Procedia Comput. Sci. 2022, 215, 321–330. [Google Scholar] [CrossRef]
- Liu, Y.; Ma, D.; Hu, J.; Zhang, Z. Sales mode selection of FFSC based on blockchain technology under different channel competition. Comput. Ind. Eng. 2021, 162, 107730. [Google Scholar] [CrossRef]
- Li, Y.; Tan, C.; Ip, W.; Wu, C. Dynamic blockchain adoption for freshness-keeping in the fresh agricultural product supply chain. Expert Syst. Appl. 2023, 217, 119494. [Google Scholar] [CrossRef]
- Xu, Y.; Wang, J.; Cao, K. Interaction between joining platform blockchain technology and channel encroachment for fresh agricultural product firms. Int. Trans. Oper. Res. 2024, 31, 3565–3591. [Google Scholar] [CrossRef]
- de Carvalho, P.R.; Naoum-Sawaya, J.; Elhedhli, S. Blockchain-Enabled supply chains: An application in fresh-cut flowers. Appl. Math. Model. 2022, 110, 841–858. [Google Scholar] [CrossRef]
- Yi, Y.; Bremer, P.; Mather, D.; Mirosa, M. Factors affecting the diffusion of traceability practices in an imported fresh produce supply chain in China. Br. Food J. 2022, 124, 1350–1364. [Google Scholar] [CrossRef]
- Keskin, N.B.; Li, C.; Song, J.-S. The Blockchain Newsvendor: Value of Freshness Transparency and Smart Contracts. Manag. Sci. 2025, 71, 6666–6682. [Google Scholar] [CrossRef]
- Yuan, H.; Zhang, L.; Cao, B.-B.; Chen, W. Optimizing traceability scheme in a fresh product supply chain considering product competition in blockchain era. Expert Syst. Appl. 2024, 258, 125127. [Google Scholar] [CrossRef]
- Liu, Z.; Huang, Y.-Q.; Shang, W.-L.; Zhao, Y.-J.; Yang, Z.-L.; Zhao, Z. Precooling energy and carbon emission reduction technology investment model in a fresh food cold chain based on a differential game. Appl. Energy 2022, 326, 119945. [Google Scholar] [CrossRef]
- Du, H.; Lu, K. Visualization service investment strategies for a self-operated fresh agricultural product e-tailer. J. Retail. Consum. Serv. 2023, 75, 103455. [Google Scholar] [CrossRef]
- Li, Z.; Xu, X.; Bai, Q.; Chen, C.; Wang, H.; Xia, P. Implications of information sharing on blockchain adoption in reducing carbon emissions: A mean–variance analysis. Transp. Res. Part E Logist. Transp. Rev. 2023, 178, 103254. [Google Scholar] [CrossRef]
- Dou, G.; Wei, K.; Sun, T.; Ma, L. Blockchain technology adoption in a supply chain: Channel leaderships and environmental implications. Transp. Res. Part E Logist. Transp. Rev. 2024, 192, 103788. [Google Scholar] [CrossRef]
- Wang, Y.-Y.; Tao, F.; Wang, J. Information disclosure and blockchain technology adoption strategy for competing platforms. Inf. Manag. 2021, 59, 103506. [Google Scholar] [CrossRef]
- Bai, Q.; Gong, M.; Xu, X. Effects of carbon emission reduction on supply chain coordination with vendor-managed deteriorating product inventory. Int. J. Prod. Econ. 2019, 208, 83–99. [Google Scholar] [CrossRef]
- Iyke-Ofoedu, M.I.; Takon, S.M.; Ugwunta, D.O.; Ezeaku, H.C.; Nsofor, E.S.; Egbo, O.P. Impact of CO2 emissions embodied in the agricultural sector on carbon sequestration in South Africa: The role of environmental taxes and technological innovation. J. Clean. Prod. 2024, 444, 141210. [Google Scholar] [CrossRef]
- Muzumdar, A.; Modi, C.; Vyjayanthi, C. A permissioned blockchain enabled trustworthy and incentivized emission trading system. J. Clean. Prod. 2022, 349, 131274. [Google Scholar] [CrossRef]



| Authors | Blockchain | Low-Carbon Preference | Freshness Preference | Carbon Cap-and-Trade Policy |
|---|---|---|---|---|
| Zhang et al. (2024) [12] | √ | √ | ||
| Meng et al. (2021) [18] | √ | |||
| Cao et al. (2020) [21] | √ | |||
| Daksh et al. (2022) [26] | √ | |||
| Keskin et al. (2021) [32] | √ | √ | ||
| This paper | √ | √ | √ | √ |
| Parameter | Definition |
|---|---|
| b | Carbon trading price |
| C | Carbon limit |
| q | The average output of fresh food produced by suppliers per cycle |
| e | Carbon emissions from the production and transportation of fresh food in units |
| p | Retail price of fresh food per unit |
| w | Wholesale price of fresh food in the unit |
| c | Production cost of fresh food per unit |
| cq | The cost of introducing blockchain to enterprises |
| α | The degree of information disclosure by suppliers regarding products |
| β | Retailers’ disclosure level of product information |
| r | Carbon reduction efforts of fresh food units |
| k | Emission reduction cost coefficient |
| m | Preservation cost coefficient |
| τ | Preservation effort level |
| θ | Consumers’ preference for low carbon |
| δ | Consumers’ preference for freshness |
| η | Unit emission reduction/preservation cost reduction ratio parameter |
| , | Supplier/retailer revenue, |
Disclaimer/Publisher’s Note: The statements, opinions and data contained in all publications are solely those of the individual author(s) and contributor(s) and not of MDPI and/or the editor(s). MDPI and/or the editor(s) disclaim responsibility for any injury to people or property resulting from any ideas, methods, instructions or products referred to in the content. |
© 2025 by the authors. Licensee MDPI, Basel, Switzerland. This article is an open access article distributed under the terms and conditions of the Creative Commons Attribution (CC BY) license (https://creativecommons.org/licenses/by/4.0/).
Share and Cite
Liu, Z.; Yang, T.; Hu, B.; Shi, L. The Application of Blockchain Technology in Fresh Food Supply Chains: A Game-Theoretical Analysis Under Carbon Cap-and-Trade Policy and Consumer Dual Preferences. Systems 2025, 13, 737. https://doi.org/10.3390/systems13090737
Liu Z, Yang T, Hu B, Shi L. The Application of Blockchain Technology in Fresh Food Supply Chains: A Game-Theoretical Analysis Under Carbon Cap-and-Trade Policy and Consumer Dual Preferences. Systems. 2025; 13(9):737. https://doi.org/10.3390/systems13090737
Chicago/Turabian StyleLiu, Zheng, Tianchen Yang, Bin Hu, and Lihua Shi. 2025. "The Application of Blockchain Technology in Fresh Food Supply Chains: A Game-Theoretical Analysis Under Carbon Cap-and-Trade Policy and Consumer Dual Preferences" Systems 13, no. 9: 737. https://doi.org/10.3390/systems13090737
APA StyleLiu, Z., Yang, T., Hu, B., & Shi, L. (2025). The Application of Blockchain Technology in Fresh Food Supply Chains: A Game-Theoretical Analysis Under Carbon Cap-and-Trade Policy and Consumer Dual Preferences. Systems, 13(9), 737. https://doi.org/10.3390/systems13090737

