Urban Ecological Economic Resilience in China: Spatio-Temporal Evolution, Influencing Factors, and Trend Prediction
Abstract
1. Introduction
2. Literature Review
3. Data and Methodology
3.1. Study Area
3.2. Indicator System Construction
3.3. Data Sources
3.4. Research Methodology
3.4.1. Entropy Method
3.4.2. Exploratory Spatio-Temporal Data Analysis (ESTDA)
3.4.3. Spatial Markov Chains
3.4.4. Geographic Detector
4. Analysis and Results
4.1. Spatio-Temporal Evolution Characteristics
4.2. Exploratory Spatio-Temporal Data Analysis
4.2.1. Spatial Correlation Analysis
4.2.2. LISA Time Path Characterization
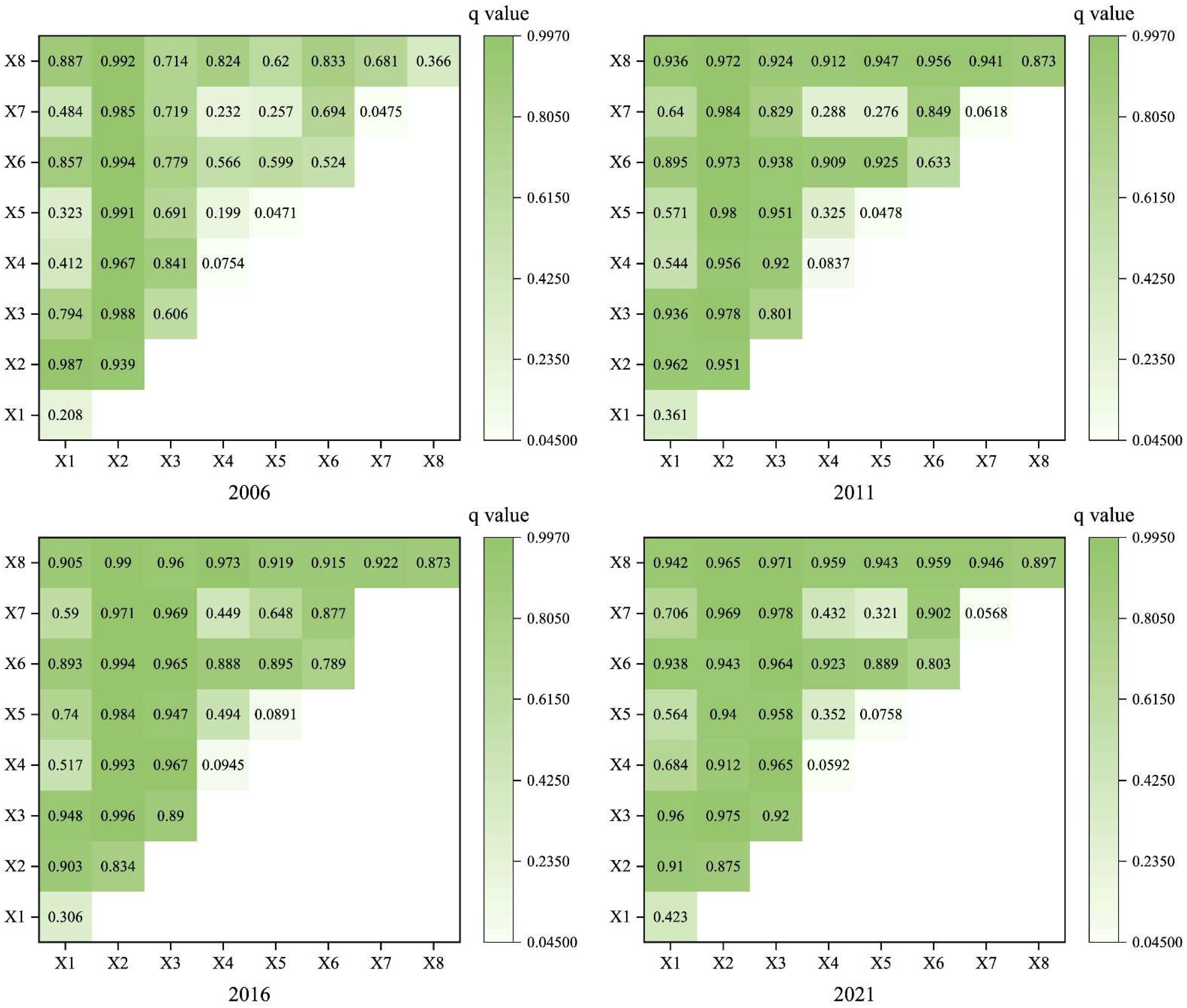
4.3. Influence Factor Analysis
4.4. Future Trend Prediction
5. Discussion
5.1. Analysis of Commonalities and Differences in the Evolutionary Trends of EER
5.2. Theoretical Contributions
5.3. Practical Implications
6. Conclusions and Policy Implications
6.1. Conclusions
- (1)
- Urban EER exhibited a significant overall enhancement trend during the study period. Cities with higher levels of EER are mainly concentrated in Beijing, Shanghai, Guangzhou, Chengdu, and others, forming a typical “rhombus” pattern in spatial distribution. In contrast, cities with lower levels are mostly clustered in the northeast and western regions, where economic development is relatively sluggish. Despite some progress being made by various regions in enhancing EER, low and lower levels of resilience still dominate the overall picture. Notably, inter-regional disparities are gradually widening, and the issue of uneven development in EER is increasingly prominent.
- (2)
- There is a clear spatial agglomeration relationship in EER, mainly manifested as high-value agglomeration areas in the east and low-value agglomeration areas in the west. The number of high–high agglomeration areas shows an upward trend, and the scope of these areas is gradually expanding, while the scope of low–low agglomeration areas is shrinking. High–low agglomeration areas are mainly concentrated in provincial capitals and core regions with faster economic development. During EER development, the Matthew Effect is significant, meaning that the strong continue to grow stronger while the weak continue to weaken, and this differentiation trend persists.
- (3)
- Cities with relatively short lengths are widely distributed, and the spatial structure of EER is relatively stable overall. The distribution of areas with relatively low curvature is extensive and accounts for a large proportion, and they are relatively less affected by the spillover or siphon effects from neighboring cities. Cities with coordinated development of EER in China account for a high proportion, and the spatial pattern evolution demonstrates strong spatial integration. The overall trend of high or low growth in EER among urban units and adjacent cities is relatively evident.
- (4)
- From the perspective of influencing factor analysis, social development, economic support, ecological restoration, and innovation transformation are the dominant factors affecting the development of EER. In terms of the interactive driving effects among these factors, the combined action of any two driving factors will enhance their intensity of influence on EER. The interactions of social development, economic support, ecological restoration, and innovation transformation with other factors are particularly prominent, becoming the core force driving EER.
- (5)
- Compared to the traditional Markov probability transition matrix, the spatial Markov probability transition matrix undergoes significant changes due to the influence of neighboring cities’ EER. Under the condition of incorporating intertemporal transitions, the EER of each city still tends to maintain its current state of stability. The phenomenon of “club convergence” remains evident. China’s urban EER exhibits a clear spatial spillover effect, and no city can achieve cross-level leapfrogging development.
6.2. Policy Implications
- (1)
- To narrow the development gap in regional EER, differentiated policies should be implemented for different regions. In the eastern regions, particularly the Beijing–Tianjin–Hebei, Yangtze River Delta, and Pearl River Delta economic circles centered on Beijing, Shanghai, and Guangzhou, they should continue to play their demonstrative and leading roles, radiating and driving EER development in the central and western regions as well as the northeastern region through their advanced experiences and technological advantages. Meanwhile, due to the natural EE advantages of the central and western regions, these areas should focus on developing green industries and strengthening the sustainable development of EE. In contrast, the northeastern region is characterized by its resource-based economy, with a severely rigid urban structure and difficulties in industrial structural development and, transformation and upgrading. Therefore, continuous policy preferences and support should be provided to help the northeastern region accelerate the transformation and upgrading of traditional industries and the cultivation and development of emerging industries.
- (2)
- It is important to emphasize the driving role of core explanatory factors, as social development and economic support play crucial roles in enhancing EER. Cities should stabilize the pace of urban construction, accelerate the transformation of industries towards green and low-carbon directions, and ensure the harmonious coexistence of urban development and ecological protection. Increased financial investment and preferential tax policies for EE projects should be implemented to encourage social capital participation in EE construction, forming a diversified investment pattern and effectively promoting the enhancement of EER. At the same time, it is recommended that efforts be intensified in the utilization of industrial solid waste, non-hazardous disposal of household waste, and sewage treatment, formulating detailed implementation plans and action plans with clear responsible entities and timelines. Additionally, the green area and green coverage in built-up areas should be continuously expanded, and a long-term management mechanism for improving EER should be established and improved.
- (3)
- High-level cities should be leveraged to demonstrate and drive development. Cities with high EER in China have a positive spillover effect, and the “leading” role of high-level cities can help promote state transitions in other cities. High-level cities should be actively encouraged to share advanced experiences and economic and technological advantages, for example, by establishing an information-sharing platform for EER, to drive EER development in low-level cities, maximizing the positive spatial spillover effect of high-level cities with strong EER and promoting regional coordination and common development nationwide. At the same time, policies that restrict EER development should be promptly adjusted to ensure that policy adjustment schemes are coordinated with the overall development strategies of the country, regions, and cities.
6.3. Limitations and Future Research
Author Contributions
Funding
Data Availability Statement
Acknowledgments
Conflicts of Interest
References
- Norman, M.R. Infrastructure Investment and Jobs Act (IIJA). ITE J. 2022, 92, 24. [Google Scholar]
- Kenter, J.O.; Reed, M.S.; Irvine, K.N.; O’Brien, L.; Brady, E.; Bryce, R.; Christie, M.; Church, A.; Cooper, N.; Davies, A. UK National Ecosystem Assessment Follow-On. Work Package Report 6: Shared, Plural and Cultural Values of Ecosystems. UK National Ecosystem Assessment; The University of York: Yorkshire, England, 2014. [Google Scholar]
- The quality of the ecological environment has continued to improve, and the comprehensive promotion of Beautiful China construction has been carried out. Econ. Financ. Circ. 2024, 28, 12–15. (In Chinese)
- Statistical communique of the people’s republic of China on the 2023 national economic and social development. China Stat. 2024, 3, 4–21. (In Chinese)
- Chen, S. Environmental pollution emissions, regional productivity growth and ecological economic development in China. China Econ. Rev. 2015, 35, 171–182. [Google Scholar] [CrossRef]
- Meng, F.; Guo, J.; Guo, Z.; Lee, J.C.; Liu, G.; Wang, N. Urban ecological transition: The practice of ecological civilization construction in China. Sci. Total Environ. 2021, 755, 142633. [Google Scholar] [CrossRef]
- Li, Y.; Wang, J.; Ma, L.; Lian, P.; Ma, L.; Wen, X.; Yue, H. Eco-economic Basis of Progress Leading to Victory and Its Relationship with Soil and Water Conservation. J. Soil Water Conserv. 2023, 30, 470–476. [Google Scholar]
- Wang, H.; Wu, W.; Xiong, L.; Wang, F. Is there an environment and economy trade-off for the National Key Ecological Function Area policy in China? Environ. Impact Assess. Rev. 2024, 104, 107347. [Google Scholar] [CrossRef]
- Lu, H.; Zhou, L.; Chen, Y.; An, Y.; Hou, C. Degree of coupling and coordination of eco-economic system and the influencing factors: A case study in Yanchi County, Ningxia Hui Autonomous Region, China. J. Arid Land 2017, 9, 446–457. [Google Scholar] [CrossRef]
- Bi, A.-P.; Zhu, H.-J. Research of coupling of eco-economic systems of soil erosion regions based on the PSR model—A case study of Zhuxi River Basin. Chin. J. Eco-Agric. 2013, 21, 1023–1030. [Google Scholar] [CrossRef]
- Yuan, K.; Hu, B.; Li, X.; Niu, T.; Zhang, L. Exploration of Coupling Effects in the Digital Economy and Eco-Economic System Resilience in Urban Areas: Case Study of the Beijing-Tianjin-Hebei Urban Agglomeration. Sustainability 2023, 15, 7258. [Google Scholar] [CrossRef]
- Zhang, Z.; Chang, T.; Qiao, X.; Yang, Y.; Guo, J.; Zhang, H. Eco-Economic Coordination Analysis of the Yellow River Basin in China: Insights from Major Function-Oriented Zoning. Sustainability 2021, 13, 2715. [Google Scholar] [CrossRef]
- Li, S.; Jia, B.; Zhong, Y.; Ren, T. Temporal and spatial differences of eco-economic efficiency in the Yangtze River Economic Belt and its driving factors. Stat. Decis. 2023, 39, 74–78. (In Chinese) [Google Scholar]
- Zhang, Z.; Zhang, Y.; Shao, X. Coupling coordination analysis and spatiotemporal heterogeneity of the agricultural eco-economic system in the main grain-producing areas of Jilin Province. Environ. Sci. Pollut. Res. 2023, 30, 41782–41793. [Google Scholar] [CrossRef] [PubMed]
- Yuan, C. Statistical Measurement of China’s Ecological Economy Development Level. Stat. Decis. 2024, 40, 106–111. (In Chinese) [Google Scholar]
- Hou, J.; An, Y.; Song, H.; Chen, J. The Impact of Haze Pollution on Regional Eco-Economic Treatment Efficiency in China: An Environmental Regulation Perspective. Environ. Sci. Pollut. Res. 2019, 16, 4059. [Google Scholar] [CrossRef]
- Jinli, D.; Manhong, S.; Xuan, Y. Study on the eco-economic efficiency of China’s mariculture based on undesirable output. Front. Mar. Sci. 2023, 10, 1254537. [Google Scholar] [CrossRef]
- Zhang, J.; Wang, Y.; Li, J. Maximize Eco-Economic Benefits with Minimum Land Resources Input: Evaluation and Evolution of Land Use Eco-Efficiency of Agglomerations in Middle Reaches of Yangtze River, China. Environ. Sci. Pollut. Res. 2023, 20, 1985. [Google Scholar] [CrossRef]
- Li, X.; Lei, L.; Li, J. Integrating ecosystem service value into the evaluation of sustainable land use in fast-growing cities: A case study of Qingdao, China. Ecol. Indic. 2023, 153, 110434. [Google Scholar] [CrossRef]
- Pan, Y.; Zhang, B.; Wu, Y.; Tian, Y. Sustainability assessment of urban ecological-economic systems based on emergy analysis: A case study in Simao, China. Ecol. Indic. 2021, 121, 107157. [Google Scholar] [CrossRef]
- Ye, C.; Chen, L.; Ni, S.; Zhou, J. Evaluation model of forest eco economic benefits based on discrete particle swarm optimization. Environ. Technol. Innov. 2021, 22, 101426. [Google Scholar] [CrossRef]
- Jin, Z.; Cao, H.; Xia, S.; Liu, Q.; Jia, M.; Wang, R. Research on the Synergy Measurement for Wetland Ecological-Economic-Social Composite System Based on Fractional Order Dynamic System. Discrete Dyn. Nat. Soc. 2022, 2022, 1934271. [Google Scholar] [CrossRef]
- Yuan, L.; Li, R.; He, W.; Wu, X.; Kong, Y.; Degefu, D.M.; Ramsey, T.S. Coordination of the industrial-ecological economy in the Yangtze River Economic Belt, China. Front. Environ. Sci. 2022, 10, 882221. [Google Scholar] [CrossRef]
- Li, L.; Fan, Z.; Feng, W.; Yuxin, C.; Keyu, Q. Coupling coordination degree spatial analysis and driving factor between socio-economic and eco-environment in northern China. Ecol. Indic. 2022, 135, 108555. [Google Scholar] [CrossRef]
- Holling, C.S. Resilience and stability of ecological systems. Annu. Rev. Ecol. Evol. Syst. 1973, 4, 460–482. [Google Scholar] [CrossRef]
- Berkes, F.; Folke, C.; Colding, J. Linking social and ecological systems: Management practices and social mechanisms for building resilience. J. R. Anthropol. Inst. 2001, 7, 387–389. [Google Scholar]
- Carpenter, S.; Walker, B.; Anderies, J.M.; Abel, N. From Metaphor to Measurement: Resilience of What to What? Ecosystems 2001, 4, 765–781. [Google Scholar] [CrossRef]
- Folke, C. Resilience: The emergence of a perspective for social–ecological systems analyses. Global Environ. Chang. 2006, 16, 253–267. [Google Scholar] [CrossRef]
- McPhearson, T.; Andersson, E.; Elmqvist, T.; Frantzeskaki, N. Resilience of and through urban ecosystem services. Ecosyst. Serv. 2015, 12, 152–156. [Google Scholar] [CrossRef]
- Botequilha-Leitão, A.; Díaz-Varela, E.R. Performance Based Planning of complex urban social-ecological systems: The quest for sustainability through the promotion of resilience. Sustain. Cities Soc. 2020, 56, 102089. [Google Scholar] [CrossRef]
- Ireni-Saban, L. Challenging disaster administration: Toward community-based disaster resilience. Adm. Soc. 2013, 45, 651–673. [Google Scholar] [CrossRef]
- Wang, S.; Cui, Z.; Lin, J.; Xie, J.; Su, K. The coupling relationship between urbanization and ecological resilience in the Pearl River Delta. J. Geogr. Sci. 2022, 32, 44–64. [Google Scholar] [CrossRef]
- Tao, J.; Dong, P.; Lu, Y. Spatial-temporal Analysis and Influencing Factors of Ecological Resilience in Yangtze River Delta. Resour. Environ. Yangtze Basin 2022, 31, 1975–1987. (In Chinese) [Google Scholar]
- Shi, C.; Zhu, X.; Wu, H.; Li, Z. Assessment of urban ecological resilience and its influencing factors: A case study of the Beijing-Tianjin-Hebei urban agglomeration of China. Land 2022, 11, 921. [Google Scholar] [CrossRef]
- Zhang, Y.; Yang, Y.; Chen, Z.; Zhang, S. Multi-criteria assessment of the resilience of ecological function areas in China with a focus on ecological restoration. Ecol. Indic. 2020, 119, 106862. [Google Scholar] [CrossRef]
- He, J.; Shi, X.; Fu, Y. Identifying vegetation restoration effectiveness and driving factors on different micro-topographic types of hilly Loess Plateau: From the perspective of ecological resilience. J. Environ. Manag. 2021, 289, 112562. [Google Scholar] [CrossRef]
- Adger, W.N. Social and ecological resilience: Are they related? Prog. Hum. Geogr. 2000, 24, 347–364. [Google Scholar] [CrossRef]
- Brakman, S.; Garretsen, H.; Van Marrewijk, C. Regional resilience across Europe: On urbanisation and the initial impact of the Great Recession. Camb. J. Reg. Econ. Soc. 2015, 8, 225–240. [Google Scholar] [CrossRef]
- Davies, S. Regional resilience in the 2008–2010 downturn: Comparative evidence from European countries. Camb. J. Reg. Econ. Soc. 2011, 4, 369–382. [Google Scholar] [CrossRef]
- Martin, R.; Sunley, P.; Gardiner, B.; Tyler, P. How regions react to recessions: Resilience and the role of economic structure. Reg. Stud. 2016, 50, 561–585. [Google Scholar] [CrossRef]
- Martin, R. Regional economic resilience, hysteresis and recessionary shocks. J. Econ. Geogr. 2012, 12, 1–32. [Google Scholar] [CrossRef]
- Boschma, R. Towards an evolutionary perspective on regional resilience. Reg. Stud. 2015, 49, 733–751. [Google Scholar] [CrossRef]
- Cheng, K.; Wang, X.; Liu, S.; Zhuang, Y. Spatial differences and dynamic evolution of economic resilience: From the perspective of China’s eight comprehensive economic zones. Econ. Chang. Restruct. 2024, 57, 73. [Google Scholar] [CrossRef]
- Brada, J.C.; Gajewski, P.; Kutan, A.M. Economic resiliency and recovery, lessons from the financial crisis for the COVID-19 pandemic: A regional perspective from Central and Eastern Europe. Int. Rev. Financ. Anal. 2021, 74, 101658. [Google Scholar] [CrossRef] [PubMed]
- Simone, C.; Iandolo, F.; Fulco, I.; Loia, F. Rome was not built in a day. Resilience and the eternal city: Insights for urban management. Cities 2021, 110, 103070. [Google Scholar] [CrossRef]
- González, D.P.; Monsalve, M.; Moris, R.; Herrera, C. Risk and Resilience Monitor: Development of multiscale and multilevel indicators for disaster risk management for the communes and urban areas of Chile. Appl. Geogr. 2018, 94, 262–271. [Google Scholar] [CrossRef]
- Gao, L.; Bao, W.; Shi, L. Governance mechanism and performance of marine eco-economic system: Evidence from China. Ecol. Indic. 2022, 136, 108668. [Google Scholar] [CrossRef]
- Kitchen, L.; Marsden, T. Creating sustainable rural development through stimulating the eco-economy: Beyond the eco-economic paradox? Sociol. Rural. 2009, 49, 273–294. [Google Scholar] [CrossRef]
- Li, J.; Sun, W.; Song, H.; Li, R.; Hao, J. Toward the construction of a circular economy eco-city: An emergy-based sustainability evaluation of Rizhao city in China. Sustain. Cities Soc. 2021, 71, 102956. [Google Scholar] [CrossRef]
- Guerci, J.R. Space-Time Adaptive Processing for Radar; Artech House: Washington, DC, USA, 2014. [Google Scholar]
- Møller, J. Markov chain Monte Carlo and spatial point processes. In Stochastic Geometry; Routledge: Abingdon, UK, 2019; pp. 141–172. [Google Scholar]
- Feng, R.; Wang, F.; Wang, K.; Wang, H.; Li, L. Urban ecological land and natural-anthropogenic environment interactively drive surface urban heat island: An urban agglomeration-level study in China. Environ. Int. 2021, 157, 106857. [Google Scholar] [CrossRef]
- Wang, J.; Zhou, X. Measurement and synergistic evolution analysis of economic resilience and green economic efficiency: Evidence from five major urban agglomeration, China. Appl. Geogr. 2024, 168, 103302. [Google Scholar] [CrossRef]
- Hu, H.; Yan, K.; Shi, Y.; Lv, T.; Zhang, X.; Wang, X. Decrypting resilience: The spatiotemporal evolution and driving factors of ecological resilience in the Yangtze River Delta Urban Agglomeration. Environ. Impact Assess. Rev. 2024, 106, 107540. [Google Scholar] [CrossRef]
- Huang, J.; Zhong, P.; Zhang, J.; Zhang, L. Spatial-temporal differentiation and driving factors of ecological resilience in the Yellow River Basin, China. Ecol. Indic. 2023, 154, 110763. [Google Scholar] [CrossRef]
- Li, W.; Yi, P.; Zhang, D.; Zhou, Y. Assessment of coordinated development between social economy and ecological environment: Case study of resource-based cities in Northeastern China. Sustain. Cities Soc. 2020, 59, 102208. [Google Scholar] [CrossRef]
- Chen, Y.; Tian, W.; Zhou, Q.; Shi, T. Spatiotemporal and driving forces of Ecological Carrying Capacity for high-quality development of 286 cities in China. J. Clean. Prod. 2021, 293, 126186. [Google Scholar] [CrossRef]








| Dimension | Subdimension | Specific Indicators |
|---|---|---|
| Resistance | Pollution emissions (x1) | Industrial wastewater discharge |
| Industrial sulfur dioxide emissions | ||
| Industrial fume and dust emissions | ||
| Industrial NOx emissions | ||
| Social development (x2) | Percentage of land area in built-up areas | |
| Total urban water supply | ||
| Population density | ||
| Gross industrial output value above scale | ||
| Adaptive | Economic support (x3) | GDP per capita |
| Advanced industrial structure (value added of tertiary industry as a share of GDP) | ||
| Revenue from the general budget of the local treasury | ||
| Environmental quality (x4) | PM2.5 | |
| Pollution control (x5) | Comprehensive utilization rate of general industrial solid waste | |
| Non-hazardous treatment rate of domestic waste | ||
| Sewage treatment rate | ||
| Ecological investment (x6) | Urban construction and maintenance expenditure | |
| Investment in landscaping | ||
| Investment in amenities and sanitation | ||
| Drainage and sewage investments | ||
| Restorative | Ecological restoration (x7) | Road area per capita |
| Green space per capita in parks | ||
| Greening coverage in built-up areas | ||
| Innovative transformation (x8) | Share of education, science, and technology expenditure in general public budget expenditure | |
| Number of employees in the information transmission, computer services, and software industries as a share of total employment | ||
| Number of green patents granted |
| Basis of Division | Typology |
|---|---|
| Nonlinear weakening | |
| Single-factor nonlinear attenuation | |
| Two-factor enhancement | |
| Stand alone | |
| Nonlinear enhancement |
| Year | Moran’s I | Z-Value | p-Value |
|---|---|---|---|
| 2006 | 0.102 | 7.306 | 0.000 |
| 2007 | 0.106 | 7.586 | 0.000 |
| 2008 | 0.101 | 7.186 | 0.000 |
| 2009 | 0.097 | 6.875 | 0.000 |
| 2010 | 0.101 | 7.097 | 0.000 |
| 2011 | 0.097 | 6.771 | 0.000 |
| 2012 | 0.099 | 6.854 | 0.000 |
| 2013 | 0.088 | 6.170 | 0.000 |
| 2014 | 0.081 | 5.710 | 0.000 |
| 2015 | 0.089 | 6.195 | 0.000 |
| 2016 | 0.078 | 5.496 | 0.000 |
| 2017 | 0.082 | 5.751 | 0.000 |
| 2018 | 0.088 | 6.108 | 0.000 |
| 2019 | 0.095 | 6.510 | 0.000 |
| 2020 | 0.108 | 7.325 | 0.000 |
| 2021 | 0.104 | 7.084 | 0.000 |
| t/t + 1 | Ⅰ | Ⅱ | Ⅲ | Ⅳ | N |
|---|---|---|---|---|---|
| Ⅰ | 0.832 | 0.168 | 0.000 | 0.000 | 1144 |
| Ⅱ | 0.065 | 0.767 | 0.166 | 0.002 | 1105 |
| Ⅲ | 0.000 | 0.054 | 0.865 | 0.081 | 1050 |
| Ⅳ | 0.000 | 0.001 | 0.029 | 0.970 | 1051 |
| t/t + 1 | Ⅰ | Ⅱ | Ⅲ | Ⅳ | N | |
|---|---|---|---|---|---|---|
| Ⅰ | Ⅰ | 0.832 | 0.168 | 0.000 | 0.000 | 1144 |
| Ⅱ | 0.065 | 0.767 | 0.166 | 0.002 | 1105 | |
| Ⅲ | 0.000 | 0.054 | 0.865 | 0.081 | 1050 | |
| Ⅳ | 0.000 | 0.001 | 0.029 | 0.970 | 1051 | |
| Ⅱ | Ⅰ | 0.852 | 0.148 | 0.000 | 0.000 | 330 |
| Ⅱ | 0.089 | 0.785 | 0.126 | 0.000 | 246 | |
| Ⅲ | 0.000 | 0.067 | 0.872 | 0.060 | 149 | |
| Ⅳ | 0.000 | 0.000 | 0.032 | 0.968 | 124 | |
| Ⅲ | Ⅰ | 0.791 | 0.209 | 0.000 | 0.000 | 358 |
| Ⅱ | 0.072 | 0.769 | 0.157 | 0.002 | 446 | |
| Ⅲ | 0.000 | 0.061 | 0.867 | 0.072 | 376 | |
| Ⅳ | 0.000 | 0.000 | 0.041 | 0.959 | 293 | |
| Ⅳ | Ⅰ | 0.779 | 0.221 | 0.000 | 0.000 | 204 |
| Ⅱ | 0.036 | 0.746 | 0.215 | 0.003 | 331 | |
| Ⅲ | 0.000 | 0.040 | 0.863 | 0.098 | 502 | |
| Ⅳ | 0.000 | 0.004 | 0.026 | 0.970 | 532 |
Disclaimer/Publisher’s Note: The statements, opinions and data contained in all publications are solely those of the individual author(s) and contributor(s) and not of MDPI and/or the editor(s). MDPI and/or the editor(s) disclaim responsibility for any injury to people or property resulting from any ideas, methods, instructions or products referred to in the content. |
© 2024 by the authors. Licensee MDPI, Basel, Switzerland. This article is an open access article distributed under the terms and conditions of the Creative Commons Attribution (CC BY) license (https://creativecommons.org/licenses/by/4.0/).
Share and Cite
Wang, K.; Zhang, B.; Jiang, S.; Ding, R. Urban Ecological Economic Resilience in China: Spatio-Temporal Evolution, Influencing Factors, and Trend Prediction. Systems 2024, 12, 525. https://doi.org/10.3390/systems12120525
Wang K, Zhang B, Jiang S, Ding R. Urban Ecological Economic Resilience in China: Spatio-Temporal Evolution, Influencing Factors, and Trend Prediction. Systems. 2024; 12(12):525. https://doi.org/10.3390/systems12120525
Chicago/Turabian StyleWang, Kexin, Bowen Zhang, Shuyue Jiang, and Rui Ding. 2024. "Urban Ecological Economic Resilience in China: Spatio-Temporal Evolution, Influencing Factors, and Trend Prediction" Systems 12, no. 12: 525. https://doi.org/10.3390/systems12120525
APA StyleWang, K., Zhang, B., Jiang, S., & Ding, R. (2024). Urban Ecological Economic Resilience in China: Spatio-Temporal Evolution, Influencing Factors, and Trend Prediction. Systems, 12(12), 525. https://doi.org/10.3390/systems12120525

