Evaluation of the Smart Logistics Based on the SLDI Model: Evidence from China
Abstract
1. Introduction
2. Methodology
2.1. Construction of the SLDI Model
2.1.1. Selection of Indicators
2.1.2. Determination of the Weight
2.2. ETDK Method
2.2.1. Entropy Weight—TOPSIS Method
2.2.2. Dagum Gini Coefficient
2.2.3. Kernel Density Estimation
2.3. Data from China
3. Results
3.1. Closeness Degree Analysis
3.2. Horizontal Regional Difference Analysis
3.3. Spatial-Temporal Differentiation Analysis of SL Development in China
3.3.1. Development Difference of SL in Each Region
3.3.2. Differences in SL Development among Different Regions
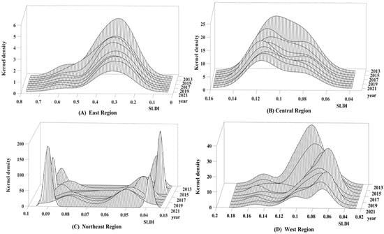
3.4. Distribution Characteristics of SL Development
- Distribution Position
- Distribution Pattern of Main Peaks
- Distribution Malleability
- Number of Peaks
4. Discussions
5. Conclusions
Author Contributions
Funding
Data Availability Statement
Conflicts of Interest
References
- Feng, B.; Ye, Q. Operations Management of Smart Logistics: A Literature Review and Future Research. Front. Eng. Manag. 2021, 8, 344–355. [Google Scholar] [CrossRef]
- Tang, X. Research on Smart Logistics Model Based on Internet of Things Technology. IEEE Access 2020, 8, 151150–151159. [Google Scholar] [CrossRef]
- Stević, Ž.; Korucuk, S.; Karamaşa, Ç.; Demir, E.; Zavadskas, E.K. A Novel Integrated Fuzzy-Rough MCDM Model for Assessment of Barriers Related to Smart Logistics Applications and Demand Forecasting Method in the COVID-19 Period. Int. J. Inf. Technol. Decis. Mak. 2022, 21, 1647–1678. [Google Scholar] [CrossRef]
- Song, Y.; Yu, F.R.; Zhou, L.; Yang, X.; He, Z. Applications of the Internet of Things (iot) in Smart Logistics: A Comprehensive Survey. IEEE Internet Things J. 2021, 8, 4250–4274. [Google Scholar] [CrossRef]
- Woschank, M.; Rauch, E.; Zsifkovits, H. A Review of Further Directions for Artificial Intelligence, Machine Learning, and Deep Learning in Smart Logistics. Sustainability 2020, 12, 3760. [Google Scholar] [CrossRef]
- Issaoui, Y.; Khiat, A.; Bahnasse, A.; Ouajji, H. Toward Smart Logistics: Engineering Insights and Emerging Trends. Arch. Computat. Methods Eng. 2021, 28, 3183–3210. [Google Scholar] [CrossRef]
- Cioffi, R.; Travaglioni, M.; Piscitelli, G.; Petrillo, A.; de Felice, F. Artificial Intelligence and Machine Learning Applications in Smart Production: Progress, Trends, and Directions. Sustainability 2020, 12, 492. [Google Scholar] [CrossRef]
- Zsifkovits, H.; Woschank, M. Smart Logistics–Technologiekonzepte und Potentiale. BHM Berg Hüttenmännische Monatshefte 2019, 164, 42–45. [Google Scholar] [CrossRef]
- Lee, C.K.M.; Lv, Y.; Ng, K.K.H.; Ho, W.; Choy, K.L. Design and Application of Internet of Things—Based Warehouse Management System for Smart Logistics. Int. J. Prod. Res. 2018, 56, 2753–2768. [Google Scholar] [CrossRef]
- Zhou, F.; Yu, K.; Xie, W.; Lyu, J.; Zheng, Z.; Zhou, S. Digital Twin-Enabled Smart Maritime Logistics Management in the Context of Industry 5.0. IEEE Access 2024, 12, 10920–10931. [Google Scholar] [CrossRef]
- McFarlane, D.; Giannikas, V.; Lu, W. Intelligent Logistics: Involving the Customer. Comput. Ind. 2016, 81, 105–115. [Google Scholar] [CrossRef]
- Lagorio, A.; Cimini, C.; Pinto, R.; Cavalieri, S. 5G in Logistics 4.0: Potential Applications and Challenges. Procedia Comput. Sci. 2023, 217, 650–659. [Google Scholar] [CrossRef]
- Ding, Y.; Jin, M.; Li, S.; Feng, D. Smart Logistics Based on the Internet of Things Technology: An Overview. Int. J. Logist. Res. Appl. 2020, 24, 323–345. [Google Scholar] [CrossRef]
- Brunetti, M.; Mes, M.; Lalla-Ruiz, E. Smart Logistics Nodes: Concept and Classification. Int. J. Logist. Res. Appl. 2024, 27, 1–37. [Google Scholar] [CrossRef]
- Issaoui, Y.; Khiat, A.; Haricha, K.; Bahnasse, A.; Ouajji, H. An Advanced System to Enhance and Optimize Delivery Operations in a Smart Logistics Environment. IEEE Access 2022, 10, 6175–6193. [Google Scholar] [CrossRef]
- Liu, W.; Zhang, J.; Shi, Y.; Tae-Woo Lee, P.; Liang, Y. Intelligent Logistics Transformation Problems in Efficient Commodity Distribution. Transp. Res. Part E Logist. Transp. Rev. 2022, 163, 102735. [Google Scholar] [CrossRef]
- Stanislawski, R.; Szymonik, A. Assessment of Barriers to the Implementation of Intelligent (Smart) Logistics on the Example of Selected Systems Among Manufacturing Companies in Poland. Eur. Res. Stud. J. 2021, XXIV, 480–508. [Google Scholar] [CrossRef]
- Fu, Y.; Zhu, J. Operation Mechanisms for Intelligent Logistics System: A Blockchain Perspective. IEEE Access 2019, 7, 144202–144213. [Google Scholar] [CrossRef]
- Alshdadi, A.; Irshad, A. PDAC-SL: A PUF-Enabled Drone Access Control Technique for Smart Logistics. Alex. Eng. J. 2024, 107, 747–756. [Google Scholar] [CrossRef]
- Khatib, J.; Barco, R. Optimization of 5G Networks for Smart Logistics. Energies 2021, 14, 1758. [Google Scholar] [CrossRef]
- Tao, J.; Ni, S.; Ding, T. Research on Collaborative Innovation Evaluation of Intelligent Logistics Park. IEEE Trans. Eng. Manag. 2023, 70, 4048–4061. [Google Scholar] [CrossRef]
- Li, H.; Lu, L.; Yang, L. Study on the Extension Evaluation of Smart Logistics Distribution of Fresh Agricultural Products Based on the Perspective of Customers. J. Intell. Fuzzy Syst. 2022, 43, 615–626. [Google Scholar] [CrossRef]
- Huo, Y.F.; Tang, H.Y.; Hu, H.J. Construction of an Evaluation Index System for the Development Level of Regional Smart Logistics. Logist. Technol. 2024, 43, 151–160. [Google Scholar]
- Göçmen, E. Smart Airport: Evaluation of Performance Standards and Technologies for a Smart Logistics Zone. Transp. Res. Rec. 2021, 7, 480–490. [Google Scholar] [CrossRef]
- Liu, W.; Wang, S.; Dong, D.; Wang, J. Evaluation of the Intelligent Logistics Eco-index: Evidence from China. J. Clean. Prod. 2020, 274, 123127. [Google Scholar] [CrossRef]
- Wang, Z. Evaluation and Analysis of Intelligent Logistics Distribution Using the Expectation-Maximization Algorithm Calculation Model. Math. Probl. Eng. 2022, 2022, 5001467. [Google Scholar] [CrossRef]
- Wang, X.; He, S.; Zhang, X.; An, Y. On the Thermal Field Characteristics and Evaluation Method of Intelligent Logistics Storage Space. Int. J. Heat Technol. 2022, 40, 1340–1347. [Google Scholar] [CrossRef]
- Liu, W.; Wei, W.; Yan, X.; Dong, D.; Chen, Z. Sustainability Risk Management in A Smart Logistics Ecological Chain: An Evaluation Framework Based on Social Network Analysis. J. Clean. Prod. 2020, 276, 124189. [Google Scholar] [CrossRef]
- Zhang, X. Construction of an Evaluation Index System for Smart Ports. Port Sci. Technol. 2020, 42, 1–3. [Google Scholar]
- Wei, G.; Ji, X. Comprehensive Evaluation of the Logistics Development Level in the Beijing-Tianjin-Hebei Region. J. Comm. Econ. 2019, 38, 101–103. [Google Scholar]
- Ma, R.; Luo, H.; Wang, H.; Wang, T. Study on the Evaluation Index System and Measurement of High-quality Regional Economic Development in China. China Soft Sci. 2019, 34, 60–67. [Google Scholar]
- Meng, M.; Wang, Y.; Ye, F. Research on High-Quality Development Level Measurement and Spatial Distribution Characteristics of China’s Logistics Industry. J. Ind. Technol. Econ. 2022, 40, 103–110. [Google Scholar]
- Zhu, Y.; He, H.; Zhang, W.; Du, S. Assessment of Water Resources Vulnerability in Changchun City Based on the DPSIR-TOPSIS Model. Bull. Soil Water Conserv. 2022, 42, 1–7. [Google Scholar]
- Hu, W.; Xi, N.; Wang, W.; Zhu, R.; Xiao, J. Spatial Differences and Dynamic Evolution of Health Human Resources Distribution in China: An Empirical Study Based on Dagum’s Gini Coefficient Decomposition and Kernel Density Estimation. Chin. J. Health Policy 2022, 15, 17–23. [Google Scholar]
- Zhang, Z.; Zhang, T.; Feng, D. Research on the Regional Difference, Dynamic Evolution, and Convergence of Carbon Emission Intensity in China. J. Quant. Technol. Econ. 2022, 39, 67–87. [Google Scholar]
- Zhu, Z.; Yang, F.; Li, W. Analysis of the Three-Dimensional Innovation Ecosystem and Level Measurement of New-Quality Productivity. Yunnan Univ. Financ. Econ. J. 2024, 40, 1–14. [Google Scholar]
- National Bureau of Statistics of China. China Statistical Yearbook; China Statistics Press: Beijing, China, 2014. [Google Scholar]
- National Bureau of Statistics of China. China Statistical Yearbook; China Statistics Press: Beijing, China, 2015. [Google Scholar]
- National Bureau of Statistics of China. China Statistical Yearbook; China Statistics Press: Beijing, China, 2016. [Google Scholar]
- National Bureau of Statistics of China. China Statistical Yearbook; China Statistics Press: Beijing, China, 2017. [Google Scholar]
- National Bureau of Statistics of China. China Statistical Yearbook; China Statistics Press: Beijing, China, 2018. [Google Scholar]
- National Bureau of Statistics of China. China Statistical Yearbook; China Statistics Press: Beijing, China, 2019. [Google Scholar]
- National Bureau of Statistics of China. China Statistical Yearbook; China Statistics Press: Beijing, China, 2020. [Google Scholar]
- National Bureau of Statistics of China. China Statistical Yearbook; China Statistics Press: Beijing, China, 2021. [Google Scholar]
- National Bureau of Statistics of China. China Statistical Yearbook; China Statistics Press: Beijing, China, 2022. [Google Scholar]
- National Bureau of Statistics of China. China Population and Employment Statistical Yearbook; China Statistics Press: Beijing, China, 2014. [Google Scholar]
- National Bureau of Statistics of China. China Population and Employment Statistical Yearbook; China Statistics Press: Beijing, China, 2015. [Google Scholar]
- National Bureau of Statistics of China. China Population and Employment Statistical Yearbook; China Statistics Press: Beijing, China, 2016. [Google Scholar]
- National Bureau of Statistics of China. China Population and Employment Statistical Yearbook; China Statistics Press: Beijing, China, 2017. [Google Scholar]
- National Bureau of Statistics of China. China Population and Employment Statistical Yearbook; China Statistics Press: Beijing, China, 2018. [Google Scholar]
- National Bureau of Statistics of China. China Population and Employment Statistical Yearbook; China Statistics Press: Beijing, China, 2019. [Google Scholar]
- National Bureau of Statistics of China. China Population and Employment Statistical Yearbook; China Statistics Press: Beijing, China, 2020. [Google Scholar]
- National Bureau of Statistics of China. China Population and Employment Statistical Yearbook; China Statistics Press: Beijing, China, 2021. [Google Scholar]
- National Bureau of Statistics of China. China Population and Employment Statistical Yearbook; China Statistics Press: Beijing, China, 2022. [Google Scholar]
- National Bureau of Statistics of China. China Energy Statistical Yearbook; China Statistics Press: Beijing, China, 2014. [Google Scholar]
- National Bureau of Statistics of China. China Energy Statistical Yearbook; China Statistics Press: Beijing, China, 2015. [Google Scholar]
- National Bureau of Statistics of China. China Energy Statistical Yearbook; China Statistics Press: Beijing, China, 2016. [Google Scholar]
- National Bureau of Statistics of China. China Energy Statistical Yearbook; China Statistics Press: Beijing, China, 2017. [Google Scholar]
- National Bureau of Statistics of China. China Energy Statistical Yearbook; China Statistics Press: Beijing, China, 2018. [Google Scholar]
- National Bureau of Statistics of China. China Energy Statistical Yearbook; China Statistics Press: Beijing, China, 2019. [Google Scholar]
- National Bureau of Statistics of China. China Energy Statistical Yearbook; China Statistics Press: Beijing, China, 2020. [Google Scholar]
- National Bureau of Statistics of China. China Energy Statistical Yearbook; China Statistics Press: Beijing, China, 2021. [Google Scholar]
- National Bureau of Statistics of China. China Energy Statistical Yearbook; China Statistics Press: Beijing, China, 2022. [Google Scholar]
- National Bureau of Statistics of China. China Statistical Yearbook of the Tertiary Industry; China Statistics Press: Beijing, China, 2014. [Google Scholar]
- National Bureau of Statistics of China. China Statistical Yearbook of the Tertiary Industry; China Statistics Press: Beijing, China, 2015. [Google Scholar]
- National Bureau of Statistics of China. China Statistical Yearbook of the Tertiary Industry; China Statistics Press: Beijing, China, 2016. [Google Scholar]
- National Bureau of Statistics of China. China Statistical Yearbook of the Tertiary Industry; China Statistics Press: Beijing, China, 2017. [Google Scholar]
- National Bureau of Statistics of China. China Statistical Yearbook of the Tertiary Industry; China Statistics Press: Beijing, China, 2018. [Google Scholar]
- National Bureau of Statistics of China. China Statistical Yearbook of the Tertiary Industry; China Statistics Press: Beijing, China, 2019. [Google Scholar]
- National Bureau of Statistics of China. China Statistical Yearbook of the Tertiary Industry; China Statistics Press: Beijing, China, 2020. [Google Scholar]
- National Bureau of Statistics of China. China Statistical Yearbook of the Tertiary Industry; China Statistics Press: Beijing, China, 2021. [Google Scholar]
- National Bureau of Statistics of China. China Statistical Yearbook of the Tertiary Industry; China Statistics Press: Beijing, China, 2022. [Google Scholar]
- National Bureau of Statistics of China. China Statistics Yearbook on High Technology Industry; China Statistics Press: Beijing, China, 2014. [Google Scholar]
- National Bureau of Statistics of China. China Statistics Yearbook on High Technology Industry; China Statistics Press: Beijing, China, 2015. [Google Scholar]
- National Bureau of Statistics of China. China Statistics Yearbook on High Technology Industry; China Statistics Press: Beijing, China, 2016. [Google Scholar]
- National Bureau of Statistics of China. China Statistics Yearbook on High Technology Industry; China Statistics Press: Beijing, China, 2017. [Google Scholar]
- National Bureau of Statistics of China. China Statistics Yearbook on High Technology Industry; China Statistics Press: Beijing, China, 2018. [Google Scholar]
- National Bureau of Statistics of China. China Statistics Yearbook on High Technology Industry; China Statistics Press: Beijing, China, 2019. [Google Scholar]
- National Bureau of Statistics of China. China Statistics Yearbook on High Technology Industry; China Statistics Press: Beijing, China, 2020. [Google Scholar]
- National Bureau of Statistics of China. China Statistics Yearbook on High Technology Industry; China Statistics Press: Beijing, China, 2021. [Google Scholar]
- National Bureau of Statistics of China. China Statistics Yearbook on High Technology Industry; China Statistics Press: Beijing, China, 2022. [Google Scholar]
- Editorial Committee of Finance Yearbook of China. Finance Yearbook of China; China State Finance Magazine: Beijing, China, 2014. [Google Scholar]
- Editorial Committee of Finance Yearbook of China. Finance Yearbook of China; China State Finance Magazine: Beijing, China, 2015. [Google Scholar]
- Editorial Committee of Finance Yearbook of China. Finance Yearbook of China; China State Finance Magazine: Beijing, China, 2016. [Google Scholar]
- Editorial Committee of Finance Yearbook of China. Finance Yearbook of China; China State Finance Magazine: Beijing, China, 2017. [Google Scholar]
- Editorial Committee of Finance Yearbook of China. Finance Yearbook of China; China State Finance Magazine: Beijing, China, 2018. [Google Scholar]
- Editorial Committee of Finance Yearbook of China. Finance Yearbook of China; China State Finance Magazine: Beijing, China, 2019. [Google Scholar]
- Editorial Committee of Finance Yearbook of China. Finance Yearbook of China; China State Finance Magazine: Beijing, China, 2020. [Google Scholar]
- Editorial Committee of Finance Yearbook of China. Finance Yearbook of China; China State Finance Magazine: Beijing, China, 2021. [Google Scholar]
- Editorial Committee of Finance Yearbook of China. Finance Yearbook of China; China State Finance Magazine: Beijing, China, 2022. [Google Scholar]
- Ma, Y. Research on Spatial Spillover Effects of Total Factor Productivity in China’s Regional Logistics Industry from a Low-carbon Perspective. Macroeconomics 2016, 62, 90–101+144. [Google Scholar]
- Zhang, B.; Gao, J.; Tan, X.; Meng, L.; Yu, Y. Evaluation of High-Quality Development Level and Regional Difference Evolution of China’s Logistics Industry. Econ. Geogr. 2023, 43, 111–120. [Google Scholar]






| Level 1 Indicators | Level 2 Indicators | Level 3 Indicators | Unit | Indicator Nature |
|---|---|---|---|---|
| Driving force D (0.1857) | Personnel input D1 (0.0146) | The average wage of employed personnel in non-private units in logistics towns D11 (0.0146) | Yuan | + |
| Capital input D2 (0.0261) | Logistics industry fixed assets investment D21 (0.0261) | 100 million | + | |
| Industrial structure D3 (0.0125) | Proportion of the logistics industry value-added in the tertiary industry value-added D31 (0.0125) | % | + | |
| Information network popularity D4 (0.1325) | Size of Internet broadband users D41 (0.0284) | Ten thousand households | + | |
| Number of IPv4 addresses D42 (0.0567) | Ten thousand | + | ||
| Number of computers used in the logistics industry D43 (0.0474) | Piece | + | ||
| Pressure P (0.1058) | Talent pressure P1 (0.0333) | Proportion of talents with bachelor’s degree or above P11 (0.0333) | % | + |
| Technical pressure P2 (0.0721) | Technology market transaction volume P21 (0.0721) | Ten thousand yuan | + | |
| Cost pressure P3 (0.0004) | Social logistics cost P31 (0.0004) | Billions of yuan | − | |
| State S (0.3459) | Service level S1 (0.1764) | Turnover of freight traffic S11 (0.0410) | Billion tons per kilometer | + |
| Express volume S12 (0.0782) | Ten thousand pieces | + | ||
| Total postal service volume S13 (0.0572) | Billions of yuan | + | ||
| Technical level S2 (0.1695) | E-commerce sales volume S21 (0.0565) | Billions of yuan | + | |
| Number of valid invention patents in the electronics and communication equipment manufacturing industry S22 (0.113) | Piece | + | ||
| Impact I (0.1749) | Industry operation I1 (0.0027) | Logistics industry value-added index I11 (0.0027) | % | + |
| Industry website popularity degree I2 (0.0826) | The number of enterprise websites I21 (0.0393) | Individual | + | |
| Number of enterprises with e-commerce transactions I22 (0.0433) | Individual | + | ||
| IT benefit I3 (0.0849) | Information transmission, software, and IT services revenue I31 (0.0849) | Billions of yuan | + | |
| Green development I4 (0.0047) | Carbon emissions I41 (0.0047) | Ten thousand tons | − | |
| Response R (0.1877) | Technology input R1 (0.1741) | R&D investment in electronics & communication equipment manufacturing R11 (0.0883) | Ten thousand yuan | + |
| R&D personnel in electronics & communication equipment manufacturing industry R12 (0.0858) | Person | + | ||
| Policy response R2 (0.0136) | Proportion of transportation expenditure in the total expenditure in the financial expenditure R21 (0.0136) | % | + |
| Year | Driving Force Index | Pressure Index | State Index | Impact Index | Response Index | Relative Closeness Degrees |
|---|---|---|---|---|---|---|
| 2013 | 0.1096 | 0.1060 | 0.0674 | 0.1734 | 0.1108 | 0.0777 |
| 2014 | 0.1364 | 0.1073 | 0.0800 | 0.1884 | 0.1151 | 0.0897 |
| 2015 | 0.1397 | 0.1198 | 0.0639 | 0.2132 | 0.1003 | 0.0931 |
| 2016 | 0.1567 | 0.1269 | 0.0728 | 0.2185 | 0.0874 | 0.0996 |
| 2017 | 0.1954 | 0.1323 | 0.0848 | 0.2183 | 0.0921 | 0.1105 |
| 2018 | 0.2168 | 0.1469 | 0.0946 | 0.2238 | 0.0969 | 0.1208 |
| 2019 | 0.2346 | 0.1660 | 0.1089 | 0.1895 | 0.0998 | 0.1223 |
| 2020 | 0.2456 | 0.1844 | 0.1162 | 0.1895 | 0.1192 | 0.1318 |
| 2021 | 0.2846 | 0.2125 | 0.1334 | 0.2535 | 0.1267 | 0.1632 |
| Area | 2013 | 2014 | 2015 | 2016 | 2017 | 2018 | 2019 | 2020 | 2021 | Average Closeness Degree | Ranking |
|---|---|---|---|---|---|---|---|---|---|---|---|
| Beijing | 0.180 | 0.261 | 0.197 | 0.219 | 0.302 | 0.320 | 0.312 | 0.320 | 0.422 | 0.281 | 2 |
| Tianjin | 0.068 | 0.066 | 0.074 | 0.076 | 0.077 | 0.088 | 0.088 | 0.092 | 0.113 | 0.082 | 16 |
| Hebei | 0.080 | 0.088 | 0.081 | 0.088 | 0.098 | 0.106 | 0.110 | 0.125 | 0.133 | 0.101 | 12 |
| Shanxi | 0.039 | 0.040 | 0.043 | 0.044 | 0.045 | 0.052 | 0.058 | 0.062 | 0.069 | 0.050 | 22 |
| Inner Mongolia | 0.045 | 0.045 | 0.041 | 0.044 | 0.047 | 0.050 | 0.053 | 0.054 | 0.061 | 0.049 | 25 |
| Liaoning | 0.088 | 0.096 | 0.088 | 0.079 | 0.087 | 0.081 | 0.079 | 0.075 | 0.090 | 0.085 | 14 |
| Jilin | 0.035 | 0.040 | 0.035 | 0.038 | 0.043 | 0.045 | 0.049 | 0.045 | 0.091 | 0.047 | 26 |
| Heilongjiang | 0.033 | 0.035 | 0.036 | 0.038 | 0.040 | 0.040 | 0.044 | 0.049 | 0.053 | 0.041 | 28 |
| Shanghai | 0.121 | 0.155 | 0.162 | 0.175 | 0.192 | 0.210 | 0.217 | 0.225 | 0.304 | 0.196 | 5 |
| Jiangsu | 0.191 | 0.211 | 0.225 | 0.239 | 0.251 | 0.263 | 0.245 | 0.277 | 0.370 | 0.252 | 3 |
| Zhejiang | 0.149 | 0.170 | 0.183 | 0.211 | 0.224 | 0.250 | 0.264 | 0.304 | 0.356 | 0.235 | 4 |
| Anhui | 0.075 | 0.088 | 0.090 | 0.100 | 0.101 | 0.109 | 0.114 | 0.121 | 0.152 | 0.106 | 10 |
| Fujian | 0.081 | 0.085 | 0.092 | 0.106 | 0.114 | 0.126 | 0.120 | 0.125 | 0.150 | 0.111 | 8 |
| Jiangxi | 0.044 | 0.045 | 0.047 | 0.050 | 0.056 | 0.064 | 0.071 | 0.078 | 0.091 | 0.061 | 20 |
| Shandong | 0.114 | 0.137 | 0.141 | 0.169 | 0.181 | 0.206 | 0.183 | 0.195 | 0.264 | 0.177 | 6 |
| Henan | 0.068 | 0.082 | 0.083 | 0.094 | 0.104 | 0.115 | 0.119 | 0.131 | 0.147 | 0.105 | 11 |
| Hubei | 0.067 | 0.082 | 0.089 | 0.103 | 0.106 | 0.118 | 0.123 | 0.129 | 0.158 | 0.108 | 9 |
| Hunan | 0.055 | 0.064 | 0.066 | 0.077 | 0.081 | 0.092 | 0.093 | 0.104 | 0.123 | 0.084 | 15 |
| Guangdong | 0.299 | 0.346 | 0.381 | 0.445 | 0.509 | 0.566 | 0.564 | 0.617 | 0.776 | 0.500 | 1 |
| Guangxi | 0.042 | 0.044 | 0.043 | 0.049 | 0.053 | 0.062 | 0.068 | 0.081 | 0.105 | 0.061 | 19 |
| Hainan | 0.030 | 0.034 | 0.031 | 0.033 | 0.036 | 0.036 | 0.041 | 0.042 | 0.062 | 0.038 | 29 |
| Chongqing | 0.044 | 0.050 | 0.054 | 0.062 | 0.067 | 0.074 | 0.076 | 0.081 | 0.109 | 0.069 | 18 |
| Sichuan | 0.075 | 0.091 | 0.095 | 0.116 | 0.127 | 0.147 | 0.148 | 0.153 | 0.184 | 0.126 | 7 |
| Guizhou | 0.041 | 0.051 | 0.042 | 0.046 | 0.054 | 0.060 | 0.057 | 0.060 | 0.062 | 0.053 | 21 |
| Yunnan | 0.054 | 0.062 | 0.055 | 0.059 | 0.074 | 0.081 | 0.093 | 0.098 | 0.103 | 0.075 | 17 |
| Shanxi | 0.050 | 0.062 | 0.116 | 0.067 | 0.076 | 0.084 | 0.090 | 0.100 | 0.130 | 0.086 | 13 |
| Gansu | 0.037 | 0.042 | 0.058 | 0.038 | 0.042 | 0.047 | 0.050 | 0.051 | 0.055 | 0.047 | 27 |
| Qinghai | 0.056 | 0.053 | 0.049 | 0.044 | 0.037 | 0.045 | 0.047 | 0.060 | 0.058 | 0.050 | 23 |
| Ningxia | 0.027 | 0.031 | 0.039 | 0.035 | 0.037 | 0.037 | 0.042 | 0.045 | 0.045 | 0.038 | 30 |
| Xinjiang | 0.042 | 0.036 | 0.056 | 0.044 | 0.053 | 0.051 | 0.052 | 0.054 | 0.060 | 0.050 | 24 |
| Region | Distribution Position | Distribution Pattern of Main Peak | Distribution Ductility | Number of Peaks |
|---|---|---|---|---|
| Nationwide | Left | The height decreases and the width increases | Left tail, extension, and widening | Multi-peak or double-peak |
| East | Left | The height decreases and the width increases | Left tail, extension, and widening | Single peak or double peak |
| Center | Left | The height decreases and the width increases | Right tail, extension, and widening | Doublet |
| Northeast | First right, then left | The height decreases first and then increases; the width first increases and then decreases | No significant tailing is present | Doublet |
| West | First right, then left | The height increases and the width decreases | Left tail, extension, and widening | Double peak or multi-peak |
Disclaimer/Publisher’s Note: The statements, opinions and data contained in all publications are solely those of the individual author(s) and contributor(s) and not of MDPI and/or the editor(s). MDPI and/or the editor(s) disclaim responsibility for any injury to people or property resulting from any ideas, methods, instructions or products referred to in the content. |
© 2024 by the authors. Licensee MDPI, Basel, Switzerland. This article is an open access article distributed under the terms and conditions of the Creative Commons Attribution (CC BY) license (https://creativecommons.org/licenses/by/4.0/).
Share and Cite
Liu, Y.; Zhao, J. Evaluation of the Smart Logistics Based on the SLDI Model: Evidence from China. Systems 2024, 12, 405. https://doi.org/10.3390/systems12100405
Liu Y, Zhao J. Evaluation of the Smart Logistics Based on the SLDI Model: Evidence from China. Systems. 2024; 12(10):405. https://doi.org/10.3390/systems12100405
Chicago/Turabian StyleLiu, Yan, and Jiaqi Zhao. 2024. "Evaluation of the Smart Logistics Based on the SLDI Model: Evidence from China" Systems 12, no. 10: 405. https://doi.org/10.3390/systems12100405
APA StyleLiu, Y., & Zhao, J. (2024). Evaluation of the Smart Logistics Based on the SLDI Model: Evidence from China. Systems, 12(10), 405. https://doi.org/10.3390/systems12100405

