Changes in Surface Soil Organic Carbon Fractions and Their Pool Management Indices Along an Altitudinal Gradient in Karst Mountains in Relation to the Expansion Degrees of Chimonobambusa utilis
Simple Summary
Abstract
1. Introduction
2. Materials and Methods
2.1. Site Description
2.2. Experimental Design
2.3. Root and Soil Sample Measurements
2.4. Soil Organic Carbon Fractions
2.5. Soil Organic Carbon Stock and Pool Management Index
2.6. Statistical Analysis
3. Results
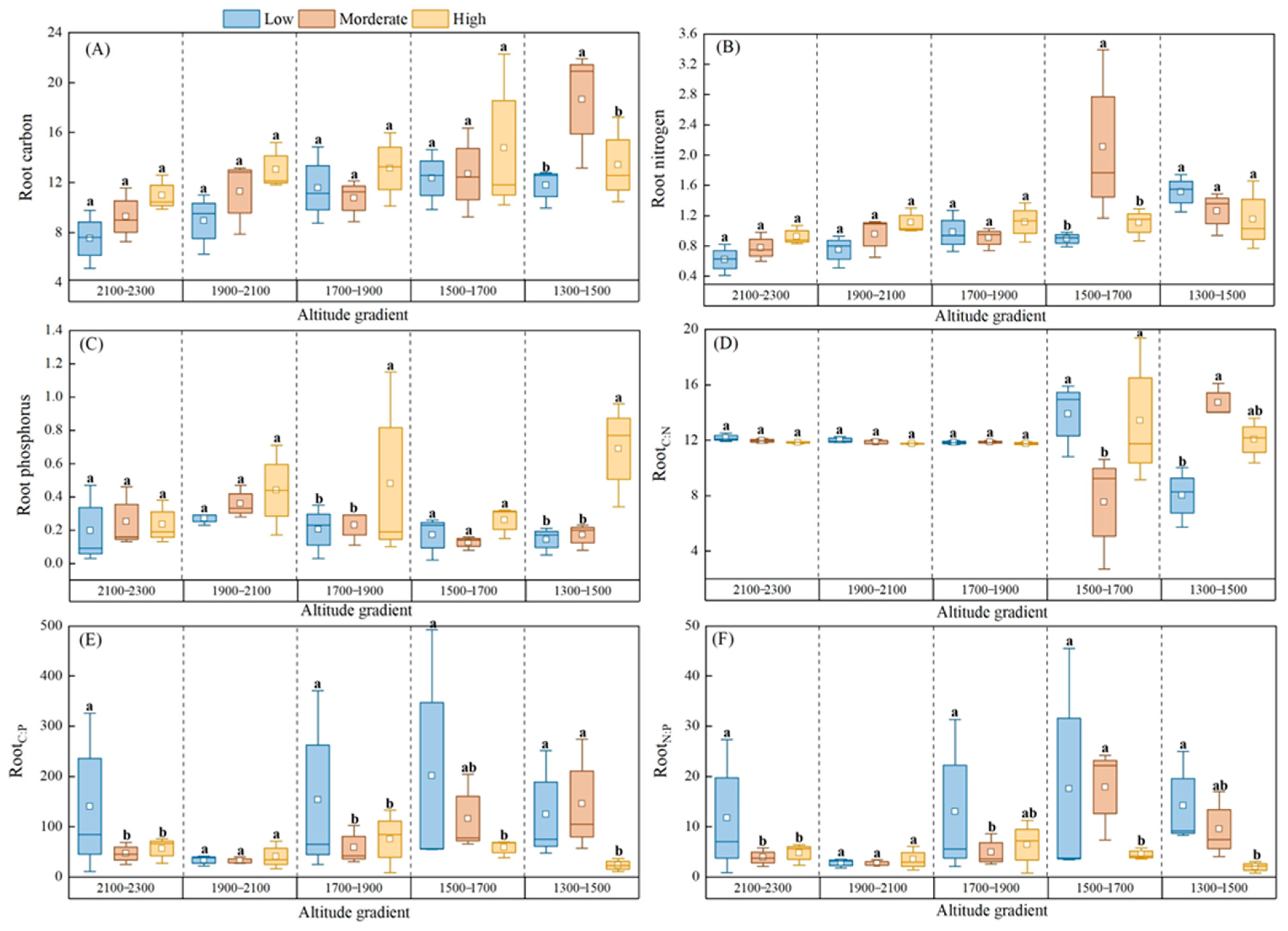
3.1. Changes in Root Elemental Composition and Stoichiometry
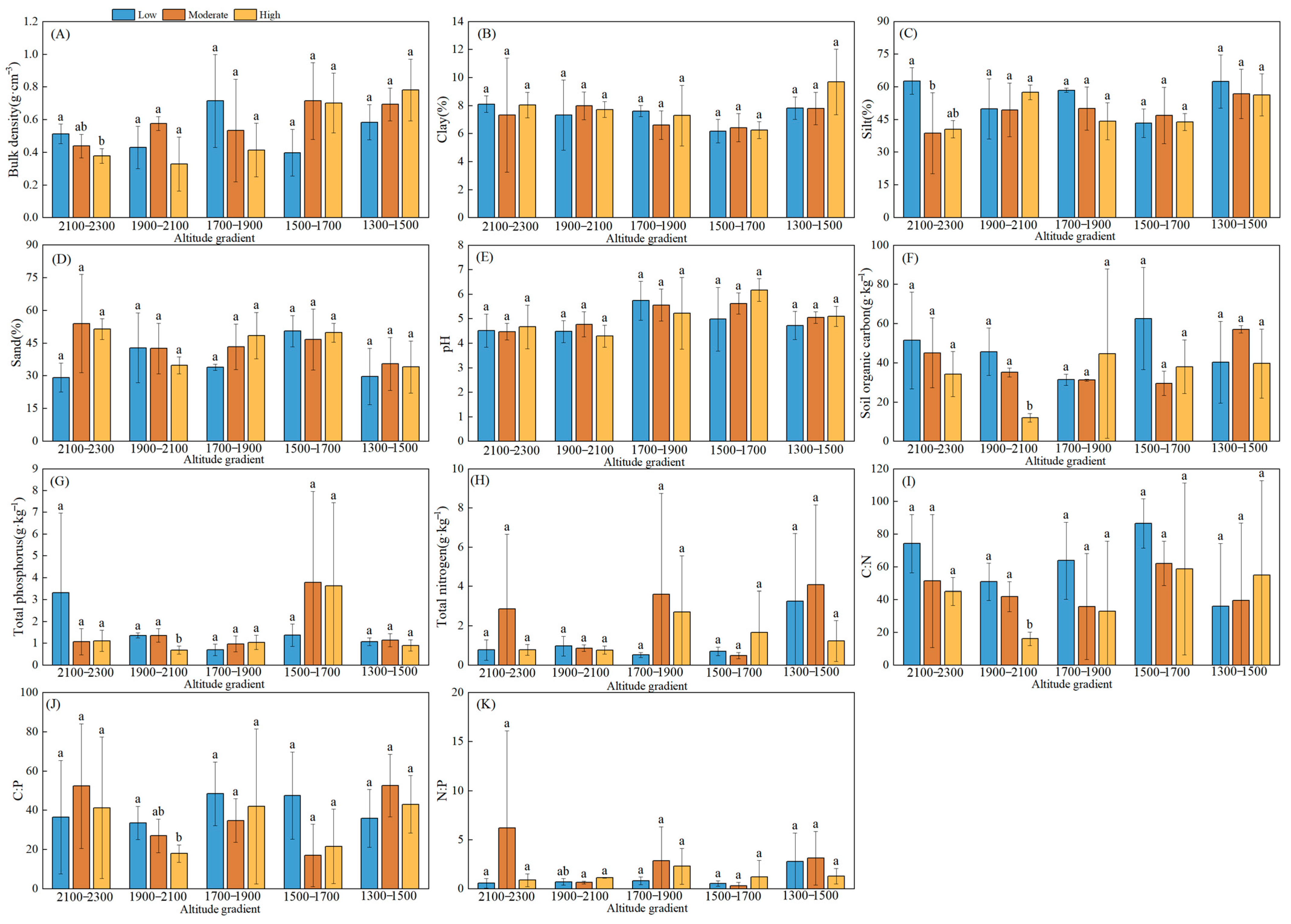
3.2. Changes in Soil Physicochemical Properties and Stoichiometry
3.3. Changes in Soil Organic Carbon Fractions
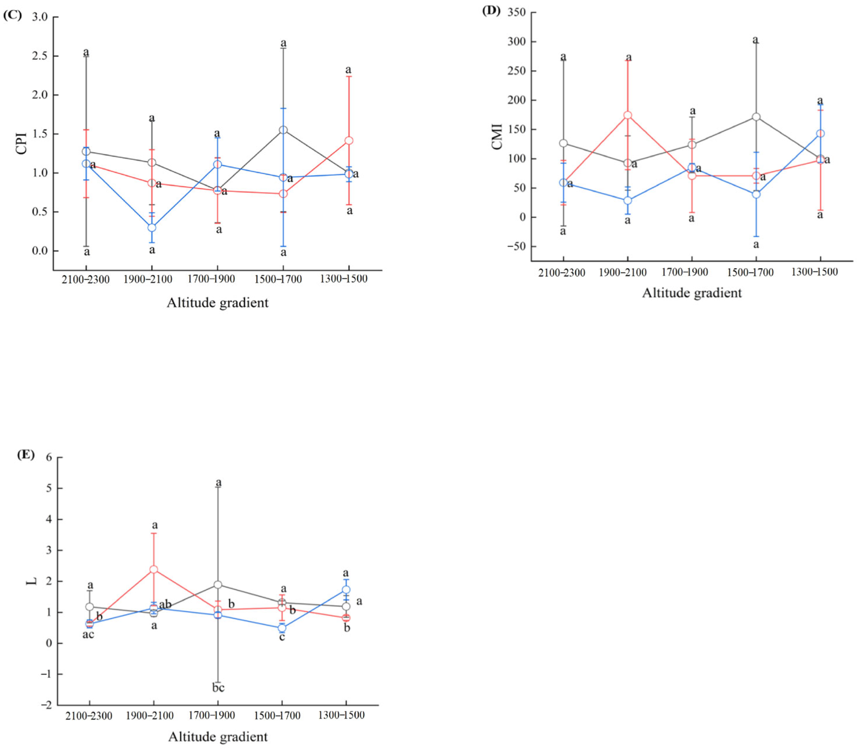
3.4. Changes in the Soil Organic Carbon Stock and Pool Management Index
3.5. Relationships Between Soil Carbon Fractions, Pool Management Index, and Environmental Factors
4. Discussion
4.1. Altitude Effects on Root-Soil C-N-P Stoichiometry Across Varying Expansion Degrees of Chimonobambusa utilis
4.2. Altitude Effects on Soil Organic Carbon Fractions and Pool Management Index Across Varying Expansion Degrees of Chimonobambusa utilis
4.3. Contribution of Variables to Soil Organic Carbon Fractions and Pool Management Index Across Varying Expansion Degrees of Chimonobambusa utilis
4.4. Practical Applications and Future Research Prospects
5. Conclusions
Author Contributions
Funding
Institutional Review Board Statement
Informed Consent Statement
Data Availability Statement
Acknowledgments
Conflicts of Interest
References
- Andrade, A.J.; Tomback, D.F.; Seastedt, T.R.; Mellmann-Brown, S.J. Soil moisture regime and canopy closure structure subalpine understory development during the first three decades following fire. For. Ecol. Manag. 2020, 483, 118783. [Google Scholar] [CrossRef]
- Cai, X.; Long, Z.J.; Li, Y.Y.; Cao, Y.; Wang, B.Y.; Zhao, B.; Ren, P.; Zhao, X.; Huang, Y.; Lu, X.Q.; et al. Divergent assembly of soil microbial necromass from microbial and organic fertilizers in Chimonobambusa hejiangensis forest. Front. Microbiol. 2024, 15, 1291947. [Google Scholar] [CrossRef]
- Camenzind, T.; Mason-Jones, K.; Mansour, I.; Rillig, M.C.; Lehmann, J. Formation of necromass-derived soil organic carbon determined by microbial death pathways. Nat. Geosci. 2023, 16, 115–122. [Google Scholar] [CrossRef]
- Chen, G.; Hong, Q.; Ji, N.; Wu, W.; Ma, L.J. Influences of different drying methods on the structural characteristics and prebiotic activity of polysaccharides from bamboo shoot (Chimonobambusa quadrangularis) residues. Int. J. Biol. Macromol. 2020, 155, 674–684. [Google Scholar] [CrossRef]
- Chen, L.; Zhou, S.L.; Zhang, Q.; Zou, M.M.; Yin, Q.Q.; Qiu, Y.F.; Qin, W.D. Effect of organic material addition on active soil organic carbon and microbial diversity: A meta-analysis. Soil Tillage Res. 2024, 241, 106128. [Google Scholar] [CrossRef]
- Cheng, X.F.; Shi, P.J.; Hui, C.; Wang, F.S.; Liu, G.H.; Li, B.L. An optimal proportion of mixing broad-leaved forest for enhancing the effective productivity of moso bamboo. Ecol. Evol. 2015, 5, 1576–1584. [Google Scholar] [CrossRef] [PubMed]
- Feng, Y.; Wang, Q.Y.; Xu, Z.C.; He, Y.; Chen, M.L.; Li, Y.J. Flexural properties of moso bamboo induced by hydrothermal treatment. Ind. Crops Prod. 2024, 222, 119720. [Google Scholar] [CrossRef]
- Gong, C.; Zeng, X.X.; Zhu, X.L.; Huang, W.H.; Compson, Z.G.; Ren, Z.W.; Ran, H.; Song, Q.N.; Yang, Q.P.; Huang, D.M.; et al. Bamboo expansion promotes radial growth of surviving trees in a broadleaf forest. Front. Plant Sci. 2023, 14, 1242364. [Google Scholar] [CrossRef] [PubMed]
- Chen, M.; Guo, L.; Ramakrishnan, M.; Fei, Z.J.; Vinod, K.K.; Ding, Y.L.; Jiao, C.; Gao, Z.P.; Zha, R.F.; Wang, C.Y.; et al. Rapid growth of Moso bamboo (Phyllostachys edulis): Cellular roadmaps, transcriptome dynamics, and environmental factors. Plant Cell 2022, 34, 3577–3610. [Google Scholar] [CrossRef] [PubMed]
- Huang, L.X.; Liao, X.T.; Ma, D.C.; Li, Z.L.; Xu, Z.G. The relationship between growth, anatomical structure, and quality in different parts and stages of edible bamboo shoots of Dendrocalamus latiflorus. BMC Plant Biol. 2025, 25, 314. [Google Scholar] [CrossRef]
- Kong, Y.N.; Liu, C.L.; Li, T.S.; Fang, J.; Liu, G.H. Identification and Expression Characteristics of the Cryptochrome Gene Family in Chimonobambusa sichuanensis. Plants 2025, 14, 1637. [Google Scholar] [CrossRef]
- Kuang, H.; Li, J.; Wang, X. Karst study of Jinfo Mountain based on image analysis. Heliyon 2023, 9, e19657. [Google Scholar] [CrossRef] [PubMed]
- Li, J.; Chen, L.; Zhang, C.; Han, C.; Feng, B.; Ma, D.; Zhou, G.; Zhang, J. Organic amendments with low C/N ratios enhanced the deposition of crop root exudates into stable soil organic carbon in a sodic soil. Plant Soil 2025, 13, 89–106. [Google Scholar] [CrossRef]
- Liu, L.; Zhao, G.; Yao, D.; Zong, N.; He, Y.; Wu, W.; Jiang, Q.; Zhang, Y. Precipitation regulates soil organic carbon affected by shrub encroachment along the altitude gradient. Catena 2025, 249, 108616. [Google Scholar] [CrossRef]
- Liu, Y.; Li, Q.; Tian, H.; Liu, S.; Ma, C.; Wang, M.; Wang, H.; Ming, A. Nitrogen-fixing tree species enhance the positive effects of tree species richness on soil organic carbon sequestration by increasing fine root phosphorus loss. Catena 2025, 254, 108927. [Google Scholar] [CrossRef]
- Yu, L.; Yue, J.J.; Dai, Y.X.; Zhang, L.; Wang, Q.; Yuan, J.L. Characterization of color variation in bamboo sheath of Chimonobambusa hejiangensis by UPLC-ESI-MS/MS and RNA sequencing. BMC Plant Biol. 2023, 23, 466. [Google Scholar] [CrossRef]
- Liu, X.; Xu, Y.; Ameen, A. Precipitation, elevation, and bamboo-to-tree ratio regulate soil organic carbon accumulation in mixed Moso bamboo forests. Plant Soil 2025, 514, 2923–2938. [Google Scholar] [CrossRef]
- Li, S.; Yang, Q.; Sun, X. The behavior and mechanism of longitudinal liquid permeation in Moso bamboo (Phyllostachys edulis). Ind. Crops Prod. 2025, 232, 121255. [Google Scholar] [CrossRef]
- Oladi, R.; Aliverdikhani, R.; Abdi, E. Linking root xylem anatomy to tensile strength: Insights from four broadleaved tree species in the Hyrcanian forests. Plant Soil 2024, 512, 1311–1326. [Google Scholar] [CrossRef]
- Pisarčik, M.; Haki, J.; Tolelkiene, M.; Fuksa, P.; Rasmussen, J.; Hood-Nowotny, R. Role of cover crop roots in soil organic carbon accrual—A review. Eur. J. Soil Sci. 2024, 75, e13532. [Google Scholar] [CrossRef]
- Lin, C.; Li, X.; Sun, H.; Su, X.; Li, H.; Liu, R.; Li, C.; Hou, Y.; Zhu, S.; Yu, D.; et al. Changes in soil organic carbon and its forms in recovering alpine meadows of various lengths in relation to altitude. Catena 2025, 256, 109135. [Google Scholar] [CrossRef]
- Liu, X.; Zhou, S.X.; Hu, J.X.; Zhu, W.Y.; Zhou, Y.L.; Pan, X.M.; Wang, Y.X.; Lei, Y.; Xiao, L.; Huang, C.D. Density Management Is More Cost Effective than Fertilization for Chimonobambusa pachystachys Bamboo-Shoot Yield and Economic Benefits. Forests 2022, 13, 1054. [Google Scholar] [CrossRef]
- Liu, Z.; Si, J.; Jia, B.; Zhou, D.; Zhu, X.; Ndayambaza, B.; Bai, X.; Wang, B. Soil organic carbon distribution and multi-scale drivers in semi-arid alpine Regions: Implications for carbon storage function stability. J. Environ. Manag. 2025, 393, 126989. [Google Scholar] [CrossRef]
- Pulatoglu, A.O. Variation of nickel accumulation in some broad-leaved plants by traffic density. Environ. Monit. Assess. 2025, 197, 515. [Google Scholar] [CrossRef] [PubMed]
- Mo, X.N.; Bao, J.; Zhang, Q.; Yuan, D.X.; Jin, Z.J. Spatial heterogeneity of nitrogen transformation in karst groundwater: Influences of porosity types and land use. J. Environ. Chem. Eng. 2025, 13, 118176. [Google Scholar] [CrossRef]
- Tong, L.; Zeng, Q.; Guo, Y.; Li, Y.; Li, H.; Chen, L.; Liu, X. Functional characterization in Chimonobambusa utilis reveals the role of bHLH gene family in bamboo sheath color variation. Front. Plant Sci. 2025, 16, 1514703. [Google Scholar] [CrossRef]
- Wang, W.H.; Peng, S.L.; Shu, H.; Fu, X.; Ye, X.Y. Potential adaptive habitats for the narrowly distributed and rare bamboo species Chimonobambusa tumidissinoda J. R. Xue & T. P. Yi ex Ohrnb. under future climate change in China. Ecol. Evol. 2024, 14, e70314. [Google Scholar] [CrossRef]
- Wu, G.; Huang, G.; Lin, S.; Huang, Z.; Cheng, H.; Su, Y. Changes in soil organic carbon stocks and its physical fractions along an elevation in a subtropical mountain forest. J. Environ. Manag. 2024, 351, 119823. [Google Scholar] [CrossRef] [PubMed]
- Sawarkar, A.D.; Shrimankar, D.D.; Manekar, S.C.; Kumar, M.; Garlapati, P.K.; Singh, L. Bamboo as a sustainable crop for land restoration in India: Challenges and opportunities. Environ. Dev. Sustain. 2025, 27, 157–189. [Google Scholar] [CrossRef]
- Wang, J.; Wang, X.; Yan, Y.J.; Wang, L.J.; Hu, H.B.; Ma, B.; Zhou, H.W.; Liu, J.C.; Gan, F.L.; Fan, Y.C. Peak Soil Erosion Risk in Mixed Forests: A Critical Transition Phase Driven by Moso Bamboo Expansion. Agriculture 2025, 15, 1772. [Google Scholar] [CrossRef]
- Shao, L.L.; Yan, P.X.; Ye, S.Q.; Bai, H.; Zhang, R.; Shi, G.Y.; Hu, Y.; Pang, D.B.; Niu, X.; Ni, X.L. Soil organic matter and water content affect the community characteristics of arbuscular mycorrhizal fungi in Helan mountain, an arid desert grassland area in China. Front. Microbiol. 2024, 15, 1377763. [Google Scholar] [CrossRef]
- Sun, K.; Yang, R.; Che, Z.; Zhao, W.Z.; Song, S.J.; Ren, H.Q. Soil texture modulates microbial responses to irrigation: Implications for nutrient cycling in arid agroecosystem. Soil Tillage Res. 2026, 256, 106838. [Google Scholar] [CrossRef]
- Wang, S.; Sun, H.; Zhang, W. Natural colonization of broad-leaved trees decreases the soil microbial abundance of Chinese fir plantation. Appl. Soil Ecol. 2025, 212, 106181. [Google Scholar] [CrossRef]
- Sun, X.; Ye, Y.; Ma, Q.; Guan, Q.; Jones, D.L. Variation in enzyme activities involved in carbon and nitrogen cycling in rhizosphere and bulk soil after organic mulching. Rhizosphere 2021, 19, 100376. [Google Scholar] [CrossRef]
- Wu, M.; Wu, J.; Zhang, H.; Zhang, Q.; Cheng, X. Mineral protection rather than aggregate stability improved soil organic carbon contents at high altitudes of Yulong Mountain in southwest China. J. Plant Ecol. 2025, 18, rtaf050. [Google Scholar] [CrossRef]
- Xu, Z.; Wang, Y.; Li, H.; Dong, Y.; Wang, Z.; Liu, Z.; Liu, S.; Sun, D.; Zhao, H.; Wang, S. Soil moisture and bacterial carbon limitation regulate the soil organic carbon in mountain peatlands. Catena 2024, 234, 107610. [Google Scholar] [CrossRef]
- Xiong, J.; Shao, X.; Li, N. Effects of land-use on soil C, N, and P stocks and stoichiometry in coastal wetlands dependent on soil depth and altitude. Catena 2024, 240, 107999. [Google Scholar] [CrossRef]
- Ye, X.Y.; Wang, W.H.; Wei, G.R.; Li, B.; Li, Y.; Ma, P.F. Genetic structure of a narrowly distributed species Chimonobambusa tumidissinoda in the Yunnan-Guizhou Plateau, and its implications for conservation. Glob. Ecol. Conserv. 2024, 53, e03028. [Google Scholar] [CrossRef]
- Yin, S.; Chen, X.L.; Piton, G.; Terrer, C.; Zhou, Z.H.; De Deyn, G.B.; Bertrand, I.; Rasse, D.; Chen, J.; Navarro-Cano, J.A.; et al. The complementarity hypothesis reversed: Root trait similarity in species mixtures promotes soil organic carbon in agroecosystems. Soil Biol. Biochem. 2025, 203, 109736. [Google Scholar] [CrossRef]
- Zhang, C.; Yan, J.; Pei, J.; Jiang, Y. Hydrochemical variations of epikarst springs in vertical climate zones: A case study in Jinfo Mountain National Nature Reserve of China. Environ. Earth Sci. 2011, 63, 375–381. [Google Scholar] [CrossRef]
- Zhang, M.M.; Fan, S.H.; Yan, X.R.; Zhou, Y.Q.; Guan, F.Y. Relationships between stand spatial structure characteristics and influencing factors of bamboo and broad-leaved mixed forest. J. For. Res. 2020, 25, 83–91. [Google Scholar] [CrossRef]
- Zhang, S.B.; Fang, Y.Y.; Luo, Y.; Li, Y.C.; Ge, T.; Wang, Y.X.; Chang, S.X. Linking soil carbon availability, microbial community composition and enzyme activities to organic carbon mineralization of a bamboo forest soil amended with pyrogenic and fresh organic matter. Sci. Total Environ. 2021, 801, 149717. [Google Scholar] [CrossRef]
- Zhang, W.W.; Wu, Y.H.; Xu, F.; Qin, Y.H.; Chen, H.; Wang, L.; Hu, M.J.; Li, S. The co-incorporation of rice straw and Chinese milk vetch enhances soil carbon retention by regulating the transformation of labile organic carbon fractions in paddy fields. Eur. J. Agron. 2025, 171, 127810. [Google Scholar] [CrossRef]
- Zhang, Y.; Wang, J.; Feng, Y. The effects of biochar addition on soil physicochemical properties: A review. Catena 2021, 202, 105284. [Google Scholar] [CrossRef]
- Zhao, G.X.; Zhang, Z.H.; Wang, W.Q.; Cong, M.F.; Dong, X.P.; Gao, Y.J.; Mu, Z.B.; Lu, Y.; Li, L.; Tariq, A.; et al. Soil minerals regulate soil organic carbon accumulation through glomalin-related soil protein along an elevation gradient in a mountain arid ecosystem. Environ. Res. 2025, 270, 121041. [Google Scholar] [CrossRef]
- Zhou, S.Y.; Zhang, Y.X. Open-pit coal mining alters vegetation cover, soil microbial metabolic profile and nutrient cycling potential in an arid shrubland. J. Environ. Chem. Eng. 2025, 13, 118804. [Google Scholar] [CrossRef]
- Zhou, Y.; Li, S.; Fan, S.; Guan, F.; Yao, H.; Zhang, L. Evaluation of Spatial Structure and Homogeneity of Bamboo and Broad-Leaved Mixed Forest. Forests 2025, 16, 100. [Google Scholar] [CrossRef]









Disclaimer/Publisher’s Note: The statements, opinions and data contained in all publications are solely those of the individual author(s) and contributor(s) and not of MDPI and/or the editor(s). MDPI and/or the editor(s) disclaim responsibility for any injury to people or property resulting from any ideas, methods, instructions or products referred to in the content. |
© 2025 by the authors. Licensee MDPI, Basel, Switzerland. This article is an open access article distributed under the terms and conditions of the Creative Commons Attribution (CC BY) license.
Share and Cite
Tong, L.; Zeng, Q.; Chen, L.; Zeng, X.; Shen, L.; Gan, F.; Liang, M.; Chen, L.; Zhang, X.; Qi, L. Changes in Surface Soil Organic Carbon Fractions and Their Pool Management Indices Along an Altitudinal Gradient in Karst Mountains in Relation to the Expansion Degrees of Chimonobambusa utilis. Biology 2026, 15, 25. https://doi.org/10.3390/biology15010025
Tong L, Zeng Q, Chen L, Zeng X, Shen L, Gan F, Liang M, Chen L, Zhang X, Qi L. Changes in Surface Soil Organic Carbon Fractions and Their Pool Management Indices Along an Altitudinal Gradient in Karst Mountains in Relation to the Expansion Degrees of Chimonobambusa utilis. Biology. 2026; 15(1):25. https://doi.org/10.3390/biology15010025
Chicago/Turabian StyleTong, Long, Qingping Zeng, Lijie Chen, Xiaoying Zeng, Ling Shen, Fengling Gan, Minglan Liang, Lixia Chen, Xiaoyan Zhang, and Lianghua Qi. 2026. "Changes in Surface Soil Organic Carbon Fractions and Their Pool Management Indices Along an Altitudinal Gradient in Karst Mountains in Relation to the Expansion Degrees of Chimonobambusa utilis" Biology 15, no. 1: 25. https://doi.org/10.3390/biology15010025
APA StyleTong, L., Zeng, Q., Chen, L., Zeng, X., Shen, L., Gan, F., Liang, M., Chen, L., Zhang, X., & Qi, L. (2026). Changes in Surface Soil Organic Carbon Fractions and Their Pool Management Indices Along an Altitudinal Gradient in Karst Mountains in Relation to the Expansion Degrees of Chimonobambusa utilis. Biology, 15(1), 25. https://doi.org/10.3390/biology15010025
