Biosensor-Based Comparison of Stress Responses in Qingtian Paddy Field Carp (Cyprinus carpio var. qingtianensis) and Xingguo Red Carp (Cyprinus carpio var. singuonensis) Under Acute Shallow Water Conditions
Simple Summary
Abstract
1. Introduction
2. Materials and Methods
2.1. Reagents
2.2. Test Environment
2.3. Enzyme Sensor Preparation
2.4. Sensor Performance Evaluation in Buffer Solution
2.5. Sensor Implantation
2.6. Real-Time Monitoring of the Fish Stress Response Using the Biosensor System
2.7. Water Level Stress Experimental Design and Sample Collection
2.8. Data Analysis of Biosensor
2.9. Biochemical Analysis
2.10. Statistical Analysis
3. Results
3.1. Biosensor Calibration Curve
3.2. Real-Time Stress Response Monitoring of Qingtian Paddy Field Carp and Xingguo Red Carp
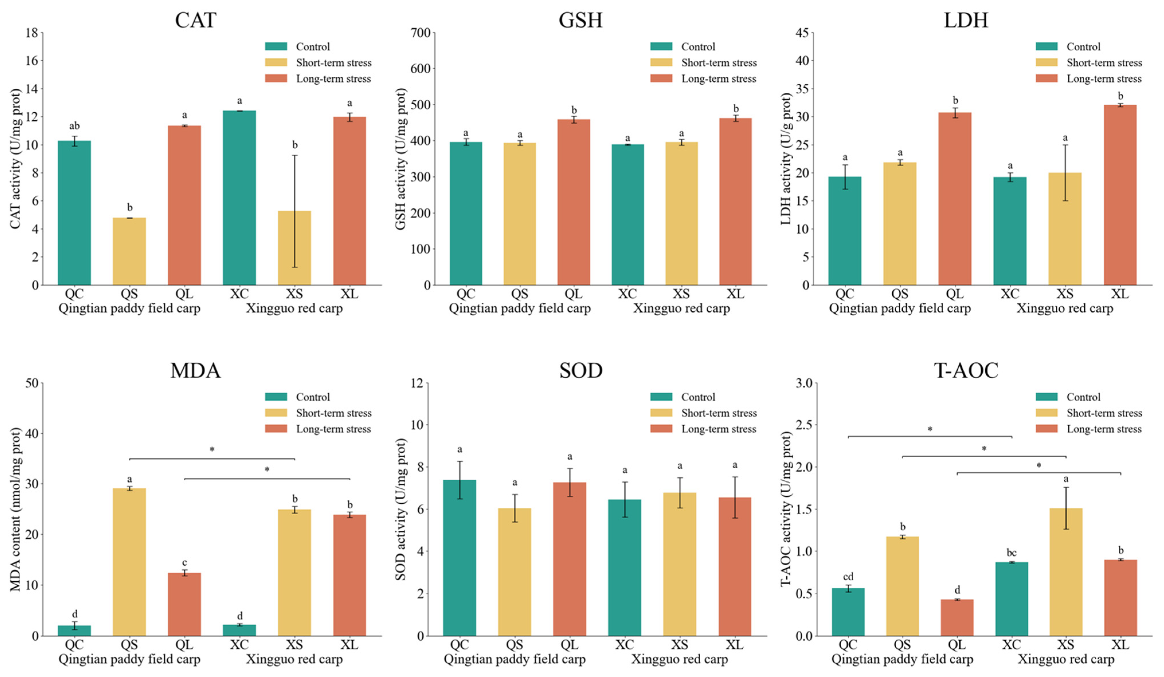
3.3. Physiological Indices of Hepatopancreas in Qingtian Paddy Field Carp and Xingguo Red Carp Under Acute Shallow-Water Stress
3.4. Physiological Indices of Gill Tissues in Qingtian Paddy Field Carp and Xingguo Red Carp Under Acute Shallow-Water Stress
3.5. Physiological Indices of Serum in Qingtian Paddy Field Carp and Xingguo Red Carp Under Acute Shallow-Water Stress
4. Discussion
4.1. Biosensors: A New Paradigm for Stress Physiology
4.2. Oxidative Damage Recovery: An Evolutionary Signature
4.3. Metabolic Flexibility: Energy Strategy for Fluctuating Environments
5. Conclusions
Author Contributions
Funding
Institutional Review Board Statement
Informed Consent Statement
Data Availability Statement
Acknowledgments
Conflicts of Interest
Abbreviations
| FAO | Food and Agriculture Organization |
| GIAHS | Globally Important Agricultural Heritage Systems |
| HPI | Hypothalamic–pituitary–interrenal |
| HSPs | Heat shock proteins |
| AMPK | AMP-activated protein kinase |
| GOx | Glucose oxidase |
| BSA | Bovine serum albumin |
| PBS | Phosphate-buffer solution |
| AISF | Abdominal interstitial fluid |
| SOD | Superoxide dismutase |
| MDA | Malondialdehyde |
| LDH | Lactate dehydrogenase |
| CAT | Catalase |
| GSH | Reduced glutathione |
| T-AOC | Total antioxidant capacity |
| TP | Total protein |
| GLU | Glucose |
| ALB | Albumin |
| ALT | Alanine aminotransferase |
| AST | Aspartate aminotransferase |
| TG | Triglyceride |
| TC | Total cholesterol |
| ANOVA | One-way analysis of variance |
| SEM | Standard error of the mean |
| QC | Qingtian paddy field carp control group |
| QS | Qingtian paddy field carp short-term stress group |
| QL | Qingtian paddy field carp long-term stress group |
| XC | Xingguo red carp control group |
| XS | Xingguo red carp short-term stress group |
| XL | Xingguo red carp long-term stress group |
Appendix A
| Biochemical Parameter | Assay Kit Name | Coefficient of Variation | Detection Ranges |
|---|---|---|---|
| SOD | Superoxide Dismutase (SOD) typed assay kit (Hydroxylamine method) | 1.7% | 5–122.1 U/mL |
| MDA | Malondialdehyde (MDA) assay kit (TBA method) | 2.3% | 0–113 nmol/mL |
| LDH | Lactate dehydrogenase assay kit | 1.5% | 9.0–5000 U/L |
| CAT | Catalase (CAT) assay kit (Visible light) | 1.7% | 0.2–24.8 U/mL |
| GSH | Glutathione Peroxidase (GSH-PX) assay kit | 3.1% | 20–330 U/mL |
| T-AOC | Total antioxidant capacity assay kit | 3.2% | 0.2–55.2 U/mL |
| ALT | Alanine Aminotransferase Test Kit (IFCC Method) | 3.5% | 4–1000 U/L |
| AST | Aspartate Aminotransferase Test Kit (IFCC Method) | 3.5% | 4–800 U/L |
| ALB | Albumin Kit (BCG Method) | 2.5% | 3–60 g/L |
| TC | Total Cholesterol Determination Kit (COD—PAP Method) | 3.0% | 0.1–20.0 mmol/L |
| TG | Triglycerides Kit (GPO-POD Method) | 3.0% | 0.1–12.5 mmol/L |
| GLU | Glucose Assay Kit (Glucose Oxidase Method) | 3.0% | 0.3–25 mmol/L |
References
- Larson, G.; Fuller, D.Q. The Evolution of Animal Domestication. Annu. Rev. Ecol. Evol. Syst. 2014, 45, 115–136. [Google Scholar] [CrossRef]
- Ahmad, H.I.; Ahmad, M.J.; Jabbir, F.; Ahmar, S.; Ahmad, N.; Elokil, A.A.; Chen, J. The Domestication Makeup: Evolution, Survival, and Challenges. Front. Ecol. Evol. 2020, 8, 103. [Google Scholar] [CrossRef]
- Teletchea, F.; Fontaine, P. Levels of Domestication in Fish: Implications for the Sustainable Future of Aquaculture. Fish Fish. 2014, 15, 181–195. [Google Scholar] [CrossRef]
- Nakajima, T.; Hudson, M.J.; Uchiyama, J.; Makibayashi, K.; Zhang, J. Common Carp Aquaculture in Neolithic China Dates Back 8000 Years. Nat. Ecol. Evol. 2019, 3, 1415–1418. [Google Scholar] [CrossRef]
- Balon, E.K. About the Oldest Domesticates among Fishes. J. Fish Biol. 2004, 65, 1–27. [Google Scholar] [CrossRef]
- Nedoluzhko, A.V.; Slobodova, N.V.; Sharko, F.; Shalgimbayeva, G.M.; Tsygankova, S.V.; Boulygina, E.S.; Jeney, Z.; Nguyen, V.Q.; Pham, T.T.; Nguyen, Đ.T.; et al. A New Strain Group of Common Carp: The Genetic Differences and Admixture Events between Cyprinus carpio Breeds. Ecol. Evol. 2020, 10, 5431–5439. [Google Scholar] [CrossRef]
- Qi, M.; Wu, Q.; Liu, T.; Hou, Y.; Miao, Y.; Hu, M.; Liu, Q. Hepatopancreas Transcriptome Profiling Analysis Reveals Physiological Responses to Acute Hypoxia and Reoxygenation in Juvenile Qingtian Paddy Field Carp Cyprinus carpio Var Qingtianensis. Front. Physiol. 2020, 11, 1110. [Google Scholar] [CrossRef]
- Li, F.; Sun, Z.; Qi, H.; Zhou, X.; Xu, C.; Wu, D.; Fang, F.; Feng, J.; Zhang, N. Effects of Rice-Fish Co-Culture on Oxygen Consumption in Intensive Aquaculture Pond. Rice Sci. 2019, 26, 50–59. [Google Scholar] [CrossRef]
- Cheng, X.; Li, F.; Lu, J.; Wen, Y.; Li, Z.; Liao, J.; Cao, J.; He, X.; Sun, J.; Liu, Q. Transcriptome Analysis in Gill Reveals the Adaptive Mechanism of Domesticated Common Carp to the High Temperature in Shallow Rice Paddies. Aquaculture 2024, 578, 740107. [Google Scholar] [CrossRef]
- Duan, Y.; Liu, L.; Tang, R.; Xie, S.; Yang, M.; Zhang, Z.; Li, D. Assessing Changes in China’s Pond Water Quality From 1989 to 2020: Implications for Green Development in Aquaculture. Rev. Aquac. 2025, 17, e12997. [Google Scholar] [CrossRef]
- Liu, X.; Ye, X.; Liang, H.; Zhou, L.; Zhou, X.; Zou, G.; Hu, G. Mitochondrial Genome Sequences Reveal the Evolutionary Relationship among Different Common Carp Varieties (Cyprinus carpino L.). Meta Gene 2019, 19, 82–90. [Google Scholar] [CrossRef]
- Zhou, J.; Wu, Q.; Wang, Z.; Ye, Y. Molecular Phylogeny of Three Subspecies of Common Carp Cyprinus carpio, Based on Sequence Analysis of Cytochrome b and Control Region of mtDNA. J. Zool. Syst. Evol. Res. 2004, 42, 266–269. [Google Scholar] [CrossRef]
- He, X.; Wen, Y.; Li, Z.; Zhou, Y.; Hu, W.; Sun, J.; Liu, Q. Body Color Selection of Domesticated Carp (Cyprinus carpio) in Traditional Agricultural Systems: Insight Provided by Growth Performance, Nutritional Quality, and Genetic Diversity. Aquaculture 2023, 572, 739528. [Google Scholar] [CrossRef]
- Liu, D.; Feng, Q.; Zhang, J.; Zhang, K.; Tian, J.; Xie, J. Ecosystem Services Analysis for Sustainable Agriculture Expansion: Rice-Fish Co-Culture System Breaking Through the Hu Line. Ecol. Indic. 2021, 133, 108385. [Google Scholar] [CrossRef]
- Zhang, K.; Peng, H.-H.; Xia, Y.; Gong, W.-B.; Li, Z.-F.; Yu, E.-M.; Tian, J.-J.; Wang, G.-J.; Xie, J. Evaluating Ecological Mechanisms and Optimization Strategy of Rice–Fish Co–Culture System by Ecosystem Approach. Aquaculture 2022, 560, 738561. [Google Scholar] [CrossRef]
- Lu, J.; Li, X. Review of Rice–Fish-Farming Systems in China—One of the Globally Important Ingenious Agricultural Heritage Systems (GIAHS). Aquaculture 2006, 260, 106–113. [Google Scholar] [CrossRef]
- Liang, Z.; Zou, L.; Tian, L.; Liu, M.; Li, C.; Xiao, G.; Cai, J.; Zhang, Y.; Li, S.; An, M.; et al. Genetic Origin and Differentiation of Ten Paddy Field–Farmed Cyprinus carpio Strains in China. Aquaculture 2022, 561, 738573. [Google Scholar] [CrossRef]
- Pijanowski, L.; Jurecka, P.; Irnazarow, I.; Kepka, M.; Szwejser, E.; Verburg-van Kemenade, B.M.L.; Chadzinska, M. Activity of the Hypothalamus-Pituitary-Interrenal Axis (HPI Axis) and Immune Response in Carp Lines with Different Susceptibility to Disease. Fish Physiol. Biochem. 2015, 41, 1261–1278. [Google Scholar] [CrossRef]
- Yuan, M.; Fang, Q.; Lu, W.; Wang, X.; Hao, T.; Chong, C.-M.; Chen, S. Stress in Fish: Neuroendocrine and Neurotransmitter Responses. Fishes 2025, 10, 307. [Google Scholar] [CrossRef]
- Kassahn, K.S.; Crozier, R.H.; Pörtner, H.O.; Caley, M.J. Animal Performance and Stress: Responses and Tolerance Limits at Different Levels of Biological Organisation. Biol. Rev. 2009, 84, 277–292. [Google Scholar] [CrossRef]
- Schultze, S.M.; Hemmings, B.A.; Niessen, M.; Tschopp, O. PI3K/AKT, MAPK and AMPK Signalling: Protein Kinases in Glucose Homeostasis. Expert Rev. Mol. Med. 2012, 14, e1. [Google Scholar] [CrossRef]
- Cheng, X.; Li, F.; Kumilamba, G.; Liao, J.; Cao, J.; Sun, J.; Liu, Q. Transcriptome Analysis in Hepatopancreases Reveals the Response of Domesticated Common Carp to a High-Temperature Environment in the Agricultural Heritage Rice-Fish System. Front. Physiol. 2023, 14, 1294729. [Google Scholar] [CrossRef] [PubMed]
- Jiang, Y.; Qi, M.; Zhang, J.; Wen, Y.; Sun, J.; Liu, Q. Metabolomic Profiling Analysis of Physiological Responses to Acute Hypoxia and Reoxygenation in Juvenile Qingtian Paddy Field Carp Cyprinus carpio Var Qingtianensis. Front. Physiol. 2022, 13, 853850. [Google Scholar] [CrossRef] [PubMed]
- Li, F.; Cheng, X.; He, X.; Kumilamba, G.; Liao, J.; Cao, J.; Liu, Q.; Sun, J. Molecular Responses of Paddy Field Carp (Cyprinus carpio) in the Agricultural Heritage to Major Environmental Factors in Paddy Fields. Comp. Biochem. Physiol. Part D Genom. Proteom. 2025, 54, 101410. [Google Scholar] [CrossRef] [PubMed]
- Liu, T.; Wu, H.; Murata, M.; Matsumoto, H.; Ohnuki, H.; Endo, H. Real-Time Glucose Monitoring Biosensor System Assesses the Effects of Different Environmental Light Colors on Nile Tilapia Stress Response. Fish. Sci. 2024, 90, 745–754. [Google Scholar] [CrossRef]
- Wu, H.; Aoki, A.; Arimoto, T.; Nakano, T.; Ohnuki, H.; Murata, M.; Ren, H.; Endo, H. Fish Stress Become Visible: A New Attempt to Use Biosensor for Real-Time Monitoring Fish Stress. Biosens. Bioelectron. 2015, 67, 503–510. [Google Scholar] [CrossRef]
- Endo, H.; Yonemori, Y.; Hibi, K.; Ren, H.; Hayashi, T.; Tsugawa, W.; Sode, K. Wireless Enzyme Sensor System for Real-Time Monitoring of Blood Glucose Levels in Fish. Biosens. Bioelectron. 2009, 24, 1417–1423. [Google Scholar] [CrossRef]
- Morita, C.; Liu, T.; Wu, H.; Murata, M.; Matsumoto, H.; Ohnuki, H.; Endo, H. Development of Flexible Glucose Biosensor for Fish Stress Monitoring. Fish. Sci. 2025, 91, 25–32. [Google Scholar] [CrossRef]
- Saberioon, M.; Gholizadeh, A.; Cisar, P.; Pautsina, A.; Urban, J. Application of Machine Vision Systems in Aquaculture with Emphasis on Fish: State-of-the-Art and Key Issues. Rev. Aquac. 2017, 9, 369–387. [Google Scholar] [CrossRef]
- Xu, W.; Liu, C.; Wang, G.; Zhao, Y.; Yu, J.; Muhammad, A.; Li, D. Behavioral Response of Fish under Ammonia Nitrogen Stress Based on Machine Vision. Eng. Appl. Artif. Intell. 2024, 128, 107442. [Google Scholar] [CrossRef]
- Horiguchi, Y.; Wu, H.; Murata, M.; Matsumoto, H.; Ohnuki, H.; Endo, H. Development of a Remote Monitoring System for Stress Response in Fish from a Physiological and Behavioral Perspective. Fish Physiol. Biochem. 2025, 51, 74. [Google Scholar] [CrossRef]
- Clarke, T.M.; Whitmarsh, S.K.; Hounslow, J.L.; Gleiss, A.C.; Payne, N.L.; Huveneers, C. Using Tri-Axial Accelerometer Loggers to Identify Spawning Behaviours of Large Pelagic Fish. Mov. Ecol. 2021, 9, 26. [Google Scholar] [CrossRef] [PubMed]
- Evans, D.H.; Piermarini, P.M.; Choe, K.P. The Multifunctional Fish Gill: Dominant Site of Gas Exchange, Osmoregulation, Acid-Base Regulation, and Excretion of Nitrogenous Waste. Physiol. Rev. 2005, 85, 97–177. [Google Scholar] [CrossRef] [PubMed]
- Lushchak, V.I. Environmentally Induced Oxidative Stress in Aquatic Animals. Aquat. Toxicol. 2011, 101, 13–30. [Google Scholar] [CrossRef]
- Ba, B. Stress in Fishes: A Diversity of Responses with Particular Reference to Changes in Circulating Corticosteroids. Integr. Comp. Biol. 2002, 42, 517–525. [Google Scholar] [CrossRef]
- Dudzińska, E.; Gryzinska, M.; Ognik, K.; Gil-Kulik, P.; Kocki, J. Oxidative Stress and Effect of Treatment on the Oxidation Product Decomposition Processes in IBD. Oxid. Med. Cell. Longev. 2018, 2018, 7918261. [Google Scholar] [CrossRef]
- Wu, L.; Chen, Q.; Dong, B.; Geng, H.; Wang, Y.; Han, D.; Zhu, X.; Liu, H.; Zhang, Z.; Yang, Y.; et al. Resveratrol Alleviates Lipopolysaccharide-Induced Liver Injury by Inducing SIRT1/P62-Mediated Mitophagy in Gibel Carp (Carassius gibelio). Front. Immunol. 2023, 14, 1177140. [Google Scholar] [CrossRef]
- Tkachenko, H.; Kurhaluk, N.; Grudniewska, J.; Andriichuk, A. Tissue-Specific Responses of Oxidative Stress Biomarkers and Antioxidant Defenses in Rainbow Trout Oncorhynchus Mykiss during a Vaccination against Furunculosis. Fish Physiol. Biochem. 2014, 40, 1289–1300. [Google Scholar] [CrossRef]
- Li, P.; Li, T.; Xing, S.; Liu, L.; Li, Z.-H. Physiological Function Disturbances and Adaptive Responses in Nile Tilapia (Oreochromis niloticus) Under Different Salinity Stresses. Fishes 2024, 9, 498. [Google Scholar] [CrossRef]
- Góth, L.; Rass, P.; Páy, A. Catalase Enzyme Mutations and Their Association with Diseases. Mol. Diagn. 2004, 8, 141–149. [Google Scholar] [CrossRef] [PubMed]
- Liu, Y.; Wang, J.; Ding, J.; Zhang, Y.; Hou, C.; Shen, W.; Wu, X.; Zhu, J. Effects of Hypoxia Stress on Oxidative Stress, Apoptosis and Microorganisms in the Intestine of Large Yellow Croaker (Larimichthys crocea). Aquaculture 2024, 581, 740444. [Google Scholar] [CrossRef]
- Chelikani, P.; Fita, I.; Loewen, P.C. Diversity of Structures and Properties among Catalases. Cell. Mol. Life Sci. 2004, 61, 192–208. [Google Scholar] [CrossRef]
- Jiang, Y.; Cheng, X.; Lu, J.; Xu, G.; Liu, Q.; Sun, J. Thermal Stress Induces Metabolic Responses in Juvenile Qingtian Paddy Field Carp Cyprinus carpio Var Qingtianensis. Animals 2022, 12, 3395. [Google Scholar] [CrossRef] [PubMed]
- Eyckmans, M.; Blust, R.; De Boeck, G. Subcellular Differences in Handling Cu Excess in Three Freshwater Fish Species Contributes Greatly to Their Differences in Sensitivity to Cu. Aquat. Toxicol. 2012, 118–119, 97–107. [Google Scholar] [CrossRef] [PubMed]
- Zhang, G.; Zhang, J.; Wen, X.; Zhao, C.; Zhang, H.; Li, X.; Yin, S. Comparative iTRAQ-Based Quantitative Proteomic Analysis of Pelteobagrus Vachelli Liver under Acute Hypoxia: Implications in Metabolic Responses. Proteomics 2017, 17, 1700140. [Google Scholar] [CrossRef]
- Belanger, J.M.; Son, J.H.; Laugero, K.D.; Moberg, G.P.; Doroshov, S.I.; Lankford, S.E.; Cech, J.J. Effects of Short-Term Management Stress and ACTH Injections on Plasma Cortisol Levels in Cultured White Sturgeon, Acipenser transmontanus. Aquaculture 2001, 203, 165–176. [Google Scholar] [CrossRef]
- Yang, S.; Chen, Q.; Zhang, C.; Miao, Y.; Feng, L.; Tan, C.; Xu, W.; Li, D.; Huang, X.; Wu, J.; et al. The Dynamic Response of HPI Axis to Two Different Transport Modes in Acipenser baerii, Acipenser schrenckii and Its Hybrids (A. baerii♀ × A. schrenckii♂). Aquaculture 2024, 579, 740146. [Google Scholar] [CrossRef]
- Polakof, S.; Panserat, S.; Soengas, J.L.; Moon, T.W. Glucose Metabolism in Fish: A Review. J. Comp. Physiol. B 2012, 182, 1015–1045. [Google Scholar] [CrossRef]
- Yang, L.; Zhi, S.; Yang, G.; Qin, C.; Yan, X.; Niu, M.; Zhang, W.; Liu, M.; Zhao, M.; Nie, G. Molecular Identification of Glucose Transporter 4: The Responsiveness to Starvation, Glucose, Insulin and Glucagon on Glucose Transporter 4 in Common Carp (Cyprinus carpio L.). J. Fish Biol. 2021, 99, 1843–1856. [Google Scholar] [CrossRef]
- Ma, Q.; Luo, Y.; Zhong, J.; Limbu, S.M.; Li, L.-Y.; Chen, L.-Q.; Qiao, F.; Zhang, M.-L.; Lin, Q.; Du, Z.-Y. Hypoxia Tolerance in Fish Depends on Catabolic Preference between Lipids and Carbohydrates. Zool. Res. 2023, 44, 954–966. [Google Scholar] [CrossRef]
- Li, M.; Wang, X.; Qi, C.; Li, E.; Du, Z.; Qin, J.G.; Chen, L. Metabolic Response of Nile tilapia (Oreochromis niloticus) to Acute and Chronic Hypoxia Stress. Aquaculture 2018, 495, 187–195. [Google Scholar] [CrossRef]
- Boone, L.; Meyer, D.; Cusick, P.; Ennulat, D.; Bolliger, A.P.; Everds, N.; Meador, V.; Elliott, G.; Honor, D.; Bounous, D.; et al. Selection and Interpretation of Clinical Pathology Indicators of Hepatic Injury in Preclinical Studies. Vet. Clin. Pathol. 2005, 34, 182–188. [Google Scholar] [CrossRef] [PubMed]
- Ahmed, H.; Bakry, K.A.; Abdeen, A.; El bahgy, H.E.K.; Abdo, M.; Imbrea, F.; Fericean, L.; Elshemy, M.A.; Ibrahim, S.F.; Shukry, M.; et al. The Involvement of Antioxidant, Stress, and Immune-Related Genes in the Responsive Mechanisms of Common Carp (Cyprinus carpio) to Hypersalinity Exposure. Front. Mar. Sci. 2023, 10, 1195016. [Google Scholar] [CrossRef]







Disclaimer/Publisher’s Note: The statements, opinions and data contained in all publications are solely those of the individual author(s) and contributor(s) and not of MDPI and/or the editor(s). MDPI and/or the editor(s) disclaim responsibility for any injury to people or property resulting from any ideas, methods, instructions or products referred to in the content. |
© 2025 by the authors. Licensee MDPI, Basel, Switzerland. This article is an open access article distributed under the terms and conditions of the Creative Commons Attribution (CC BY) license (https://creativecommons.org/licenses/by/4.0/).
Share and Cite
Liu, T.; Han, R.; Jiang, Y.; Sun, J.; Wu, H.; Liu, Q. Biosensor-Based Comparison of Stress Responses in Qingtian Paddy Field Carp (Cyprinus carpio var. qingtianensis) and Xingguo Red Carp (Cyprinus carpio var. singuonensis) Under Acute Shallow Water Conditions. Biology 2025, 14, 1303. https://doi.org/10.3390/biology14091303
Liu T, Han R, Jiang Y, Sun J, Wu H, Liu Q. Biosensor-Based Comparison of Stress Responses in Qingtian Paddy Field Carp (Cyprinus carpio var. qingtianensis) and Xingguo Red Carp (Cyprinus carpio var. singuonensis) Under Acute Shallow Water Conditions. Biology. 2025; 14(9):1303. https://doi.org/10.3390/biology14091303
Chicago/Turabian StyleLiu, Tengyu, Rui Han, Yuhan Jiang, Jiamin Sun, Haiyun Wu, and Qigen Liu. 2025. "Biosensor-Based Comparison of Stress Responses in Qingtian Paddy Field Carp (Cyprinus carpio var. qingtianensis) and Xingguo Red Carp (Cyprinus carpio var. singuonensis) Under Acute Shallow Water Conditions" Biology 14, no. 9: 1303. https://doi.org/10.3390/biology14091303
APA StyleLiu, T., Han, R., Jiang, Y., Sun, J., Wu, H., & Liu, Q. (2025). Biosensor-Based Comparison of Stress Responses in Qingtian Paddy Field Carp (Cyprinus carpio var. qingtianensis) and Xingguo Red Carp (Cyprinus carpio var. singuonensis) Under Acute Shallow Water Conditions. Biology, 14(9), 1303. https://doi.org/10.3390/biology14091303

