Unveiling Genetic Variation in the Seed Bug Spilostethus pandurus (Scopoli, 1763) (Hemiptera: Lygaeidae) in Thailand Using Mitochondrial CO1 Sequence
Simple Summary
Abstract
1. Introduction
2. Materials and Methods
2.1. Sample Collection and Molecular Analysis
2.2. DNA Sequence Analyses
2.3. Phylogenetic Tree Reconstruction
2.4. Species Delimitation Analysis
3. Results
3.1. Genetic Diversity Analyses
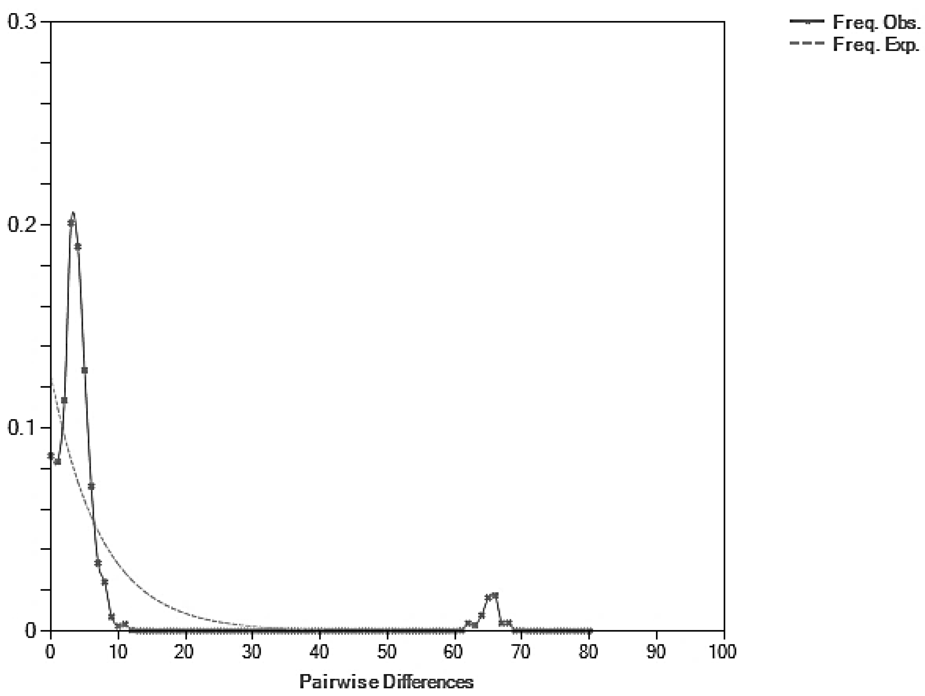
3.2. Neutrality Tests and Demographic Analyses
3.3. Genetic Differences, Genetic Structure, and Haplotype Analyses
3.4. Phylogenetic Tree and Species Delimitation Analyses
4. Discussion
5. Conclusions
Supplementary Materials
Author Contributions
Funding
Institutional Review Board Statement
Informed Consent Statement
Data Availability Statement
Acknowledgments
Conflicts of Interest
References
- Rollins, L.A.; Woolnough, A.P.; Sherwin, W.B. Population genetic tools for pest management: A review. Wildl. Res. 2006, 33, 251–261. [Google Scholar] [CrossRef]
- Thongphak, D.; Khongthawie, S. A Preliminary Survey of Insect Pests at the Community Forests of Khon Kaen Province, Thailand. Int. J. Environ. Rural Dev. 2014, 5, 23–27. [Google Scholar]
- Wijeweera, W.P.S.N.; Senaratne, K.A.D.W.; Dhileepan, K.; de Silva, M.P.K.S.K. Insect diversity on Calotropis gigantea (L.) in Sri Lanka. Ceylon J. Sci. 2022, 51, 121–128. [Google Scholar] [CrossRef]
- Burdfield-Steel, E.R.; Shuker, D.M. The evolutionary ecology of the Lygaeidae. Ecol. Evol. 2014, 4, 2278–2295. [Google Scholar] [CrossRef]
- Burdfield-Steel, E.R.; Dougherty, L.R.; Smith, L.A.; Collins, L.A.; Shuker, D.M. Variation in social and sexual behaviour in four species of aposematic seed bugs (Hemiptera: Lygaeidae): The role of toxic and non-toxic food. Behav. Process. 2013, 99, 52–61. [Google Scholar] [CrossRef] [PubMed]
- Dellapé, P.M.; Henry, T.J. Lygaeoidea Species File (version May 2025). In Catalogue of Life (Annual Checklist 2025); Bánki, O., Roskov, Y., Döring, M., Ower, G., Hernández Robles, D.R., Plata Corredor, C.A., Stjernegaard Jeppesen, T., Örn, A., Pape, T., Hobern, D., et al., Eds.; Catalogue of Life Foundation: Amsterdam, The Netherlands, 2025. [Google Scholar]
- Mahmoud, M.A.; Zalat, S.M.; El-Akkad, S.S.; Gilbert, F. Genetic structure of the populations of Spilostethus pandurus in the wadis of the St Katherine Protectorate, South Sinai. Egypt. J. Biol. 2008, 10, 68–75. [Google Scholar]
- Leftwich, P.T.; Spurgin, L.G.; Harvey-Samuel, T.; Thomas, C.J.E.; Paladino, L.C.; Edgington, M.P.; Alphey, L. Genetic pest management and the background genetics of release strains. Philos. Trans. R. Soc. B Biol. Sci. 2021, 376, 20190805. [Google Scholar] [CrossRef]
- Macken, W.L.; Lucassen, A.M.; Hanna, M.G.; Pitceathly, R.D.S. Mitochondrial DNA variants in genomic data: Diagnostic uplifts and predictive implications. Nat. Rev. Genet. 2021, 22, 547–548. [Google Scholar] [CrossRef]
- Hebert, P.D.N.; Cywinska, A.; Ball, S.L.; deWaard, J.R. Biological identifications through DNA barcodes. Proc. R. Soc. Lond. Ser. B Biol. Sci. 2003, 270, 313–321. [Google Scholar] [CrossRef]
- Ratnasingham, S.; Hebert, P.D.N. BOLD: The Barcode of Life Data System (www.barcodinglife.org). Mol. Ecol. Notes 2007, 7, 355–364. [Google Scholar] [CrossRef]
- Pradit, N.; Tantrawatpan, C.; Thanee, I.; Jayareon, P.; Pilap, W.; Saijuntha, W. Genetic variation of the giant water bug Lethocerus indicus (Lepeletier and Serville, 1825) (Hemiptera: Belostomatidae) collected from natural habitats in northeastern Thailand. Aquat. Insects 2022, 43, 307–318. [Google Scholar] [CrossRef]
- Vangno, W.; Pradit, N.; Pilap, W.; Jaroenchaiwattanachote, C.; Duangkhamchan, W.; Saijuntha, J.; Thanee, I.; Plant, A.R.; Tawong, W.; Saijuntha, W. Revealing a cryptic species of mole cricket genus Gryllotalpa Latreille, 1802 (Orthoptera: Gryllotalpidae) in Roi Et Province, Thailand, detected by mitochondrial DNA sequences. Biologia 2025, 80, 323–333. [Google Scholar] [CrossRef]
- Thaenasa, A.; Pradit, N.; Pilap, W.; Jaroenchaiwattnachote, C.; Wongpakam, K.; Inkhavilay, K.; Saijuntha, J.; Tawong, W.; Suksavate, W.; Tantrawatpan, C.; et al. Exploring the Genetic Diversity of the Jewel Beetles Sternocera aequisignata Saunders, 1866, and S. ruficornis Saunders, 1866 (Coleoptera: Buprestidae) in Thailand and Lao PDR. Insects 2025, 16, 322. [Google Scholar] [CrossRef]
- Vivas, L. Algunos datos sobre distribución y biología de Spilostethus furcula (Herrich-Schaeffer, 1850) (Hemiptera: Heteroptera: Lygaeidae) y clave para los ligeinos ibéricos. BVNews Publicaciones Cient. 2012, 1, 59–74. (In Spanish) [Google Scholar]
- Larkin, M.A.; Blackshields, G.; Brown, N.P.; Chenna, R.; McGettigan, P.A.; McWilliam, H.; Valentin, F.; Wallace, I.M.; Wilm, A.; Lopez, R.; et al. Clustal W and Clustal X version 2.0. Bioinformatics 2007, 23, 2947–2948. [Google Scholar] [CrossRef]
- Hall, T.A. BioEdit: A user-friendly biological sequence alignment editor and analysis program for Windows 95/98/NT. Nucleic Acids Symp. Ser. 1999, 41, 95–98. [Google Scholar]
- Librado, P.; Rozas, J. DnaSP v5: A software for comprehensive analysis of DNA polymorphism data. Bioinformatics 2009, 25, 1451–1452. [Google Scholar] [CrossRef]
- Kimura, M. A simple method for estimating evolutionary rate of base substitutions through comparative studies of nucleotide sequences. J. Mol. Evol. 1980, 16, 111–120. [Google Scholar] [CrossRef]
- Kumar, S.; Stecher, G.; Li, M.; Knyaz, C.; Tamura, K. MEGA X: Molecular evolutionary genetics analysis across computing platforms. Mol. Biol. Evol. 2018, 35, 1547–1549. [Google Scholar] [CrossRef]
- Bandelt, H.J.; Forster, P.; Röhl, A. Median-joining networks for inferring intraspecific phylogenies. Mol. Biol. Evol. 1999, 16, 37–48. [Google Scholar] [CrossRef]
- Excoffier, L.; Lischer, H.E. Arlequin suite ver 3.5: A new series of programs to perform population genetics analyses under Linux and Windows. Mol. Ecol. Resour. 2010, 10, 564–567. [Google Scholar] [CrossRef] [PubMed]
- Nei, M.; Kumar, S. Molecular Evolution and Phylogenetics; Oxford University Press: New York, NY, USA, 2000. [Google Scholar]
- Saitou, N.; Nei, M. The neighbor-joining method: A new method for reconstructing phylogenetic trees. Mol. Biol. Evol. 1987, 4, 406–425. [Google Scholar] [CrossRef]
- Nylander, J.A.A. MrModeltest v2; Program Distributed by the Author; Evolutionary Biology Centre, Uppsala University: Uppsala, Sweden, 2004. [Google Scholar]
- Maddison, W.P.; Maddison, D.R. Mesquite: A Modular System for Evolutionary Analysis. Version 3.81. 2023. Available online: http://www.mesquiteproject.org (accessed on 25 May 2025).
- Huelsenbeck, J.P.; Ronquist, F. MRBAYES: Bayesian inference of phylogeny. Bioinformatics 2001, 17, 754–755. [Google Scholar] [CrossRef]
- Rambaut, A.; Drummond, A.J.; Xie, D.; Baele, G.; Suchard, M.A. Posterior summarisation in Bayesian phylogenetics using Tracer 1.7. Syst. Biol. 2018, 67, 901–904. [Google Scholar] [CrossRef]
- Puillandre, N.; Brouillet, S.; Achaz, G. ASAP: Assemble species by automatic partitioning. Mol. Ecol. Res. 2021, 21, 609–620. [Google Scholar] [CrossRef] [PubMed]
- Zhang, J.; Kapli, R.; Pavlidis, P.; Stamatakis, A. A general species delimitation method with applications to phylogenetic placments. Bioinformatics 2013, 29, 2869–2876. [Google Scholar] [CrossRef]
- Kikuchi, Y.; Fukatsu, T. Diversity of Wolbachia endosymbionts in heteropteran bugs. Appl. Environ. Microbiol. 2003, 69, 6082–6090. [Google Scholar] [CrossRef]
- Kawecki, T.J.; Ebert, D. Conceptual issues in local adaptation. Ecol. Lett. 2004, 7, 1225–1241. [Google Scholar] [CrossRef]
- Excoffier, L.; Ray, N. Surfing during population expansions promotes genetic revolutions and structuration. Trends Ecol. Evol. 2008, 23, 347–351. [Google Scholar] [CrossRef] [PubMed]
- Drès, M.; Mallet, J. Host races in plant–feeding insects and their importance in sympatric speciation. Philos. Trans. R. Soc. Lond. Ser. B Biol. Sci. 2002, 357, 471–492. [Google Scholar] [CrossRef]
- Mallet, J. Subspecies, Semispecies, Superspecies. Encycl. Biodivers. 2007, 7, 1–5. [Google Scholar]






| Code | n | District | Province | Coordinates | Region |
|---|---|---|---|---|---|
| MKM | 9 | Mueang | Maha Sarakham | 16°14′42.6″ N, 103°16′23.6″ E | Northeast |
| NBP | 10 | Mueang | Nong Bue Lumphu | 17°11′07.6″ N, 102°26′05.7″ E | Northeast |
| UBN | 10 | Khemarat | Ubon Ratchathani | 15°58′12.9″ N, 105°12′47.3″ E | Northeast |
| YST | 6 | Kut Chum | Yasothon | 16°01′04.5″ N, 104°20′11.2″ E | Northeast |
| KKN | 6 | Mueang | Khon Kaen | 16°29′51.6″ N, 102°52′48.8 ″E | Northeast |
| ACR | 1 | Mueang | Amnat Charoen | 15°52′14.0″ N, 104°40′40.1″ E | Northeast |
| CPM | 8 | Mueang | Chaiyaphum | 15°42′30.0″ N, 102°00′53.0″ E | Northeast |
| KSN | 3 | Sahatsakhan | Kalasin | 16°42′41.2″ N, 103°33′50.6″ E | Northeast |
| RET | 9 | Mueang | Roi Et | 15°58′56.9″ N, 103°35′57.8″ E | Northeast |
| SRN | 9 | Chompon Buri | Surin | 15°22′14.3″ N, 103°16′19.6″ E | Northeast |
| BRM | 10 | Satuek | Buri Ram | 15°15′49.4″ N, 103°15′54.2″ E | Northeast |
| NMA | 2 | Dan Khun Thot | Nakhon Ratchasima | 15°13′43.7″ N, 101°46′44.7″ E | Northeast |
| LPG | 10 | Mueang | Lampang | 18°15′14.8″ N, 99°32′25.5″ E | North |
| PLK | 10 | Wang Thong | Phitsanulok | 16°49′51.9″ N, 100°24′25.0″ E | North |
| PRE | 7 | Song | Phrae | 18°26′04.4″ N, 100°10′13.2″ E | North |
| PNB | 9 | Lom Sak | Phetchabun | 16°46′09.4″ N, 101°15′19.8″ E | North |
| PYO | 10 | Mueang | Phayao | 19°06′56.6″ N, 99°54′17.7″ E | North |
| UTT | 10 | Mueang | Uttaradit | 17°28′22.1″ N, 100°14′15.0″ E | North |
| LRI | 10 | Tha Luang | Lop Buri | 15°03′33.5″ N, 101°09′00.1″ E | Central |
| PTE | 9 | Khlong Luang | Pathum Thani | 14°03′59.0″ N, 100°42′03.1″ E | Central |
| SRI | 8 | Mueang | Saraburi | 14°32′33.4″ N, 100°54′54.3″ E | Central |
| NYK | 5 | Ongkharak | Nakhon Nayok | 14°05′56.6″ N, 101°01′12.5″ E | Central |
| RBR | 7 | Suan Phueng | Ratchaburi | 13°35′00.3″ N, 99°14′22.6″ E | Central |
| PRI | 10 | Kabin Buri | Prachin Buri | 13°57′53.8″ N, 101°51′27.2″ E | East |
| RYG | 9 | Mu-Mueang | Rayong | 12°40′33.3″ N, 101°17′12.6″ E | East |
| SKW | 1 | Watthana Nakhon | Sa Kaeo | 13°31′59.6″ N, 102°09′59.0″ E | East |
| CBI | 4 | Phanat Nikhom | Chon Buri | 13°27′36.7″ N, 101°02′59.3″ E | East |
| Total | 202 |
| Populations | Molecular Diversity Indices | Neutrality Test | ||||||
|---|---|---|---|---|---|---|---|---|
| n | S | H | Uh | Hd ± SD | Nd ± SD | Tajima’s D | Fu’s Fs | |
| MKM | 9 | 14 | 7 | 0 | 0.917 ± 0.092 | 0.0057 ± 0.0014 | −1.5903 * | −2.1655 |
| NBP | 10 | 8 | 6 | 3 | 0.889 ± 0.075 | 0.0041 ± 0.0006 | −0.2799 | −1.1223 |
| UBN | 10 | 9 | 8 | 4 | 0.956 ± 0.059 | 0.0039 ± 0.0006 | −0.8920 | −4.1589 * |
| YST | 6 | 6 | 4 | 0 | 0.867 ± 0.129 | 0.0041 ± 0.0008 | 0.0848 | 0.0220 |
| KKN | 6 | 14 | 6 | 1 | 1.000 ± 0.096 | 0.0076 ± 0.0014 | −1.2666 | −2.2144 * |
| ACR | 1 | 0 | 1 | 0 | 0.000 ± 0.000 | 0.0000 ± 0.0000 | 0.0000 | 0.0000 |
| CPM | 8 | 7 | 5 | 1 | 0.786 ± 0.151 | 0.0030 ± 0.0011 | −1.3593 | −1.2317 |
| KSN | 3 | 6 | 3 | 1 | 1.000 ± 0.272 | 0.0062 ± 0.0018 | 0.0000 | 0.1335 |
| RET | 9 | 8 | 6 | 2 | 0.833 ± 0.127 | 0.0033 ± 0.0009 | −1.2835 | −2.0335 |
| SRN | 9 | 15 | 7 | 0 | 0.944 ± 0.070 | 0.0074 ± 0.0012 | −0.6481 | −1.3381 |
| BRM | 10 | 11 | 8 | 3 | 0.933 ± 0.077 | 0.0047 ± 0.0009 | −0.9718 | −3.5050 * |
| NMA | 2 | 0 | 1 | 0 | 0.000 ± 0.000 | 0.0000 ± 0.0000 | 0.0000 | 0.0000 |
| LPG | 10 | 5 | 3 | 0 | 0.511 ± 0.164 | 0.0028 ± 0.0009 | 0.0739 | 1.7262 |
| PLK | 10 | 14 | 8 | 3 | 0.956 ± 0.059 | 0.0053 ± 0.0014 | −1.3922 | −3.0952 * |
| PRE | 7 | 8 | 4 | 1 | 0.810 ± 0.130 | 0.0053 ± 0.0011 | 0.2627 | 0.9276 |
| PNB | 9 | 11 | 7 | 3 | 0.944 ± 0.070 | 0.0052 ± 0.0009 | −0.8291 | −2.0807 |
| PYO | 10 | 13 | 6 | 3 | 0.889 ± 0.075 | 0.0057 ± 0.0009 | −0.9416 | −0.3538 |
| UTT | 10 | 13 | 6 | 2 | 0.889 ± 0.075 | 0.0060 ± 0.0011 | −0.7435 | −0.2283 |
| LRI | 10 | 16 | 8 | 1 | 0.956 ± 0.059 | 0.0062 ± 0.0013 | −1.3734 | −2.6455 |
| PTE | 9 | 13 | 7 | 3 | 0.944 ± 0.070 | 0.0066 ± 0.0010 | −0.5595 | −1.6394 |
| SRI | 8 | 11 | 5 | 1 | 0.857 ± 0.108 | 0.0053 ± 0.0012 | −1.0001 | −0.0273 |
| NYK | 5 | 8 | 3 | 1 | 0.700 ± 0.218 | 0.0078 ± 0.0025 | −0.3817 | 2.4613 |
| RBR | 7 | 8 | 5 | 2 | 0.857 ± 0.137 | 0.0041 ± 0.0013 | −0.9631 | −0.9428 |
| PRI | 10 | 8 | 5 | 2 | 0.822 ± 0.097 | 0.0039 ± 0.0008 | −0.8100 | −0.7457 |
| RYG | 9 | 11 | 5 | 1 | 0.722 ± 0.159 | 0.0063 ± 0.0016 | 0.0096 | 0.7196 |
| SKW | 1 | 0 | 1 | 1 | 0.000 ± 0.000 | 0.0000 ± 0.0000 | 0.0000 | 0.0000 |
| CBI | 4 | 8 | 3 | 0 | 0.833 ± 0.222 | 0.0070 ± 0.0019 | 0.3090 | 1.3432 |
| Total | 202 | 54 | 58 | 39 | 0.906 ± 0.013 | 0.0053 ± 0.0003 | −0.6045 | −0.3471 |
| Source of Variation | d.f. | Ss | Vc | %Va | Fixation Indices |
|---|---|---|---|---|---|
| Among groups | 3 | 214.08 | 9.06121 | 85.41 | FCT = 0.85414 ** |
| Among populations within groups | 28 | 55.004 | 0.06936 | 0.65 | FSC = 0.04483 * |
| Within populations | 182 | 268.986 | 1.47794 | 13.93 | FST = 0.86068 ** |
Disclaimer/Publisher’s Note: The statements, opinions and data contained in all publications are solely those of the individual author(s) and contributor(s) and not of MDPI and/or the editor(s). MDPI and/or the editor(s) disclaim responsibility for any injury to people or property resulting from any ideas, methods, instructions or products referred to in the content. |
© 2025 by the authors. Licensee MDPI, Basel, Switzerland. This article is an open access article distributed under the terms and conditions of the Creative Commons Attribution (CC BY) license (https://creativecommons.org/licenses/by/4.0/).
Share and Cite
Pilap, W.; Pradit, N.; Jaroenchaiwattanachote, C.; Saijuntha, J.; Kongbuntad, W.; Tawong, W.; Tantrawatpan, C.; Saijuntha, W. Unveiling Genetic Variation in the Seed Bug Spilostethus pandurus (Scopoli, 1763) (Hemiptera: Lygaeidae) in Thailand Using Mitochondrial CO1 Sequence. Biology 2025, 14, 1022. https://doi.org/10.3390/biology14081022
Pilap W, Pradit N, Jaroenchaiwattanachote C, Saijuntha J, Kongbuntad W, Tawong W, Tantrawatpan C, Saijuntha W. Unveiling Genetic Variation in the Seed Bug Spilostethus pandurus (Scopoli, 1763) (Hemiptera: Lygaeidae) in Thailand Using Mitochondrial CO1 Sequence. Biology. 2025; 14(8):1022. https://doi.org/10.3390/biology14081022
Chicago/Turabian StylePilap, Warayutt, Nakorn Pradit, Chavanut Jaroenchaiwattanachote, Jatupon Saijuntha, Watee Kongbuntad, Wittaya Tawong, Chairat Tantrawatpan, and Weerachai Saijuntha. 2025. "Unveiling Genetic Variation in the Seed Bug Spilostethus pandurus (Scopoli, 1763) (Hemiptera: Lygaeidae) in Thailand Using Mitochondrial CO1 Sequence" Biology 14, no. 8: 1022. https://doi.org/10.3390/biology14081022
APA StylePilap, W., Pradit, N., Jaroenchaiwattanachote, C., Saijuntha, J., Kongbuntad, W., Tawong, W., Tantrawatpan, C., & Saijuntha, W. (2025). Unveiling Genetic Variation in the Seed Bug Spilostethus pandurus (Scopoli, 1763) (Hemiptera: Lygaeidae) in Thailand Using Mitochondrial CO1 Sequence. Biology, 14(8), 1022. https://doi.org/10.3390/biology14081022

