Transgenerational Effects of Cadmium and Copper Exposure on Development, Reproduction, and Midgut Integrity in Culex pipiens (Diptera: Culicidae): Implications for Vector Ecology Under Metal Pollution
Simple Summary
Abstract
1. Background
2. Materials and Methods
2.1. Mosquito Colony
2.2. Chemicals
2.3. Larvicidal Activity
2.4. Development Time of the Immature Stages
2.5. Fecundity and Egg Hatchability
2.6. Histopathological Examination and Histomorphometry Measurements
2.7. Statistical Analysis
3. Results
3.1. Metal Toxicity
3.2. Development Time of the Immature Stages
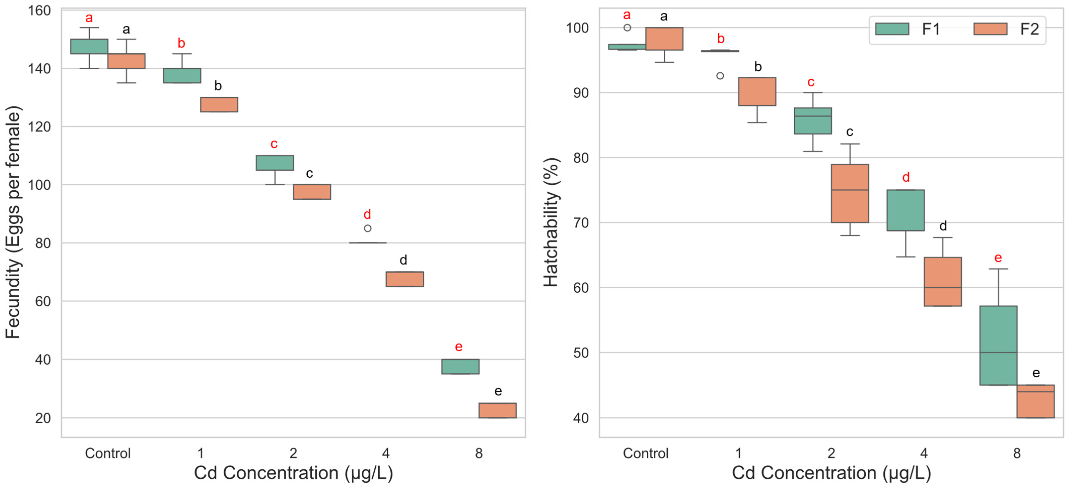
3.3. Fecundity and Egg Hatchability
3.4. Histological Examination and Histomorphometry Measurements
4. Discussion
5. Conclusions
Author Contributions
Funding
Institutional Review Board Statement
Informed Consent Statement
Data Availability Statement
Acknowledgments
Conflicts of Interest
References
- Driscoll, C.T.; Mason, R.P.; Chan, H.M.; Jacob, D.J.; Pirrone, N. Mercury as a global pollutant: Sources, pathways, and effects. Environ. Sci. Technol. 2013, 47, 4967–4983. [Google Scholar] [CrossRef]
- Islam, M.S.; Ahmed, M.K.; Raknuzzaman, M.; Habibullah, A.l.; Mamun, M.; Islam, M.K. Heavy metal pollution in surface water and sediment: A preliminary assessment of an urban river in a developing country. Ecol. Indic. 2015, 48, 282–291. [Google Scholar] [CrossRef]
- Erasmus, J.H.; Malherbe, W.; Zimmermann, S.; Lorenz, A.W.; Nachev, M.; Wepener, V.; Sures, B.; Smit, N.J. Metal accumulation in riverine macroinvertebrates from a platinum mining region. Sci. Total Environ. 2020, 703, 134738. [Google Scholar] [CrossRef] [PubMed]
- Neff, E.; Coleman, A.L.; Maness, R.W.; Tanelus, M.; Xu, X.; Dharmarajan, G. Effects of methylmercury on mosquito oviposition behavior: Maladaptive response to non-toxic exposure. Sci. Total Environ. 2019, 667, 248–254. [Google Scholar] [CrossRef] [PubMed]
- Kraus, J.M.; Schmidt, T.S.; Walters, D.M.; Wanty, R.B.; Zuellig, R.E.; Wolf, R.E. Cross-ecosystem impacts of stream pollution reduce resource and contaminant flux to riparian food webs. Ecol. Appl. 2014, 24, 235–243. [Google Scholar] [CrossRef]
- Jeanrenaud, A.; Brooke, B.D.; Oliver, S.V. Second generation effects of larval metal pollutant exposure on reproduction, longevity and insecticide tolerance in the major malaria vector Anopheles arabiensis (Diptera: Culicidae). Parasites Vectors 2020, 13, 4. [Google Scholar] [CrossRef]
- Mireji, P.O.; Keating, J.; Hassanali, A.; Charles, M.M.; Hudson, N.; Samuel, K.; John, C.B. Heavy metals in mosquito larval habitats in urban Kisumu and Malindi, Kenya, and their impact. Ecotoxicol. Environ. Saf. 2008, 70, 147–153. [Google Scholar] [CrossRef]
- Mirčić, D.; Blagojević, D.; Perić-Mataruga, V. Cadmium effects on the fitness-related traits and antioxidative defense of Lymantria dispar L. larvae. Environ. Sci. Pollut. Res. 2013, 20, 209–218. [Google Scholar] [CrossRef]
- Angelé-Martínez, C.; Nguyen, K.V.; Ameer, F.S.; Anker, J.N.; Brumaghim, J.L. Reactive oxygen species generation by copper (II) oxide nanoparticles determined by DNA damage assays and EPR spectroscopy. Nanotoxicology 2017, 11, 278–288. [Google Scholar] [CrossRef]
- Stohs, S.J.; Bagchi, D. Oxidative mechanisms in the toxicity of metal ions. Free Radic. Biol. Med. 1995, 18, 321–336. [Google Scholar] [CrossRef]
- Rayms-Keller, A.; Olson, K.E.; McGaw, M.; Oray, C.; Carlson, J.O.; Beaty, B.J. Effect of heavy metals on Aedes aegypti (Diptera: Culicidae) larvae. Ecotoxicol. Environ. Saf. 1998, 39, 41–47. [Google Scholar] [CrossRef] [PubMed]
- Perez, M.H.; Noriega, F.G. Sub-lethal metal stress response of larvae of Aedes aegypti. Physiol. Entomol. 2014, 39, 111–119. [Google Scholar] [CrossRef] [PubMed]
- Kinuthia, G.K.; Ngure, V.; Kamau, L. Urban mosquitoes and filamentous green algae: Their biomonitoring role in heavy metal pollution in open drainage channels in Nairobi industrial area, Kenya. BMC Ecol. Evol. 2021, 21, 188. [Google Scholar] [CrossRef]
- Fitzgerald, D.J. Safety guidelines for copper in water. Am. J. Clin. Nutr. 1998, 67, 1098–1102. [Google Scholar] [CrossRef]
- World Health Organization. WHO 2005, HO/CDS/WHOPES/GCDPP/1.3. Available online: https://apps.who.int/iris/handle/10665/69296 (accessed on 29 January 2024).
- Rak, S.S.; Ishii, T. Characters eggs and egg masses obtained by induced oviposition in Culex pipiens L. J. Sci. Univ. Tokushima 1989, 22, 25–31. [Google Scholar]
- Singaravadivelan, A.; Vijayakumar, P.; Ramachandran, M.; Nithiaselvi, R.; Vasanthakumar, T.; Sivakumar, T. Behaviours, Health Status and Growth Performance of Crossbred Jersey Calves Reared Under Different Weaning System. Int. J. Livest. Res. 2021, 11, 92–97. [Google Scholar] [CrossRef]
- Snedecor, G.; Cochran, W. Statistical Methods, 6th ed.; Oxford and IBH Publishing Co.: Calcutta, India, 1994. [Google Scholar]
- Saravanan, P.; Saravanan, V.; Rajeshkannan, R.; Arnica, G.; Rajasimman, M.; Baskar, G.; Pugazhendhi, A. Comprehensive review on toxic heavy metals in the aquatic system: Sources, identification, treatment strategies, and health risk assessment. Environ. Res. 2024, 258, 119440. [Google Scholar] [CrossRef]
- El-Sheikh, E.S.M.; Fouda, M.A.; Hassan, M.I.; Abd-Elghaphar, A.E.A.; Hasaballah, A.I. Toxicological effects of some heavy metal ions on Culex pipiens L. (Diptera: Culicidae). Egypt. Acad. J. Biol. Sci. F. Toxicol. Pest Control 2010, 2, 63–76. [Google Scholar] [CrossRef]
- Jeanrenaud, A.; Brooke, B.D.; Oliver, S.V. The effects of larval organic fertiliser exposure on the larval development, adult longevity and insecticide tolerance of zoophilic members of the Anopheles gambiae complex (Diptera: Culicidae). PLoS ONE 2019, 14, e0215552. [Google Scholar] [CrossRef]
- Lee, S.M.; Shin, B.S. Effects of Heavy Metals on Mortality and Metabolite Changes in Mosquitoes, Culex pipiens pallens (Diptera: Culicidae). Korean J. Environ. Biol. 2018, 36, 694–700. [Google Scholar] [CrossRef]
- Williams, K.A.; Green, D.W.J.; Pascoe, D.; Gower, D.E. Effect of cadmium on oviposition and egg viability in Chironomus riparius (Diptera: Chironomidae). Bull. Environ. Contam. Toxicol. 1987, 38, 86–90. [Google Scholar] [CrossRef]
- Pölkki, M.; Rantala, M.J. Exposure to copper during larval development has intra- and trans-generational influence on fitness in later life. Ecotoxicol. Environ. Saf. 2020, 207, 111133. [Google Scholar] [CrossRef]
- Zhang, Y.; Xiong, W.; Yang, S.; AI, H.; Zou, Z.; Xia, B. Effects of Long-Term Exposure to Cadmium on Development, Reproduction and Antioxidant Enzymes of Aleuroglyphus ovatus (Acari: Acaridae). Insects 2022, 13, 895. [Google Scholar] [CrossRef]
- Zhao, S.; Miao, W.; Sheng, S.; Pan, X.; Li, P.; Zhou, W.; Wu, F. Cadmium Exposure Impairs Development, Detoxification Mechanisms and Gene Expression of Glyphodes pyloalis Walker (Lepidoptera: Pyralidae). Agronomy 2024, 14, 626. [Google Scholar] [CrossRef]
- Honorio, R.; Depierrefixe, P.; Devers, S.; Rouelle, M.; Meunier, J.; Lécureuil, C. Effects of cadmium ingestion on reproduction and maternal egg care in the European earwig. Anim. Behav. 2023, 195, 1–8. [Google Scholar] [CrossRef]
- Wu, G.; Gao, X.; Ye, G.; Li, K.; Hu, C.; Cheng, J. Ultrastructural alterations in midgut and Malpighian tubules of Boettcherisca peregrina exposure to cadmium and copper. Ecotoxicol. Environ. Saf. 2009, 72, 1137–1147. [Google Scholar] [CrossRef]
- Straalen, N.; Butovsky, R.; Pokarzhevskii, A.; Zaitsev, A.; Verhoef, S. Metal concentrations in soil and invertebrates in the vicinity of a metallurgical factory near Tula (Russia). Pedobiologia 2001, 45, 451–466. [Google Scholar] [CrossRef]
- Cervera, A.; Maymó, A.C.; Sendra, M.; Martínez-Pardo, R.; Garcerá, M.D. Cadmium effects on development and reproduction of Oncopeltus fasciatus (Heteroptera: Lygaeidae). J. Insect Physiol. 2004, 50, 737–749. [Google Scholar] [CrossRef] [PubMed]
- Huang, D.; Kong, J.; Seng, Y. Effects of the heavy metal Cu2+ on growth, development, and population dynamics of Spodoptera litura (Lepidoptera: Noctuidae). J. Econ. Entomol. 2012, 105, 288–294. [Google Scholar] [CrossRef] [PubMed]
- Su, H.; Wu, M.; Yang, Y.; Deng, Y.; Yang, Y.; Sun, Q. Tissue distribution of cadmium and its effect on reproduction in Spodoptera exigua. J. Integr. Agric. 2024, 23, 195–204. [Google Scholar] [CrossRef]






| Generation | Instar/Stage | LC50 (LCL–UCL) (μg/L) | LC90 (LCL–UCL) (μg/L) | Regression Equation | χ2 (d. f.) | Statistic Summary |
|---|---|---|---|---|---|---|
| F1 | 1st larval instar | 8.661 (6.82–12.35) | 51.92 (29.82–128.25) | Y = 6.0X + 1.52 | 1.85 n.s. (4) | p < 0.001, R2 = 0.97, F = 131.836 |
| 2nd larval instar | 10.08 (6.99–19.38) | 77.57 (33.94–384.35) | Y = 5.313X + 3.06 | 2.23 n.s. (4) | p < 0.005, R2 = 0.936, F = 59.069 | |
| 3rd larval instar | 13.081 (7.8–40.5) | 104.45 (35.49–281.82) | Y = 5.093X − 0.953 | 7.675 n.s. (4) | p < 0.002, R2 = 0.964, F = 107.268 | |
| 4th larval instar | 20.8 (8.77–128.65) | 293.43 (48.76–1266.8) | Y = 4.709X + 1.439 | 6.772 n.s. (4) | p < 0.001, R2 = 0.971, F = 135.188 | |
| Pupae | 23.62 (7.73–172.35) | 263.88 (31.21–1152.41) | Y = 6.145X − 2.613 | 7.29 n.s. (4) | p < 0.004, R2 = 0.941, F = 64.829 | |
| F2 | 1st larval instar | 6.84 (5.47–9.42) | 48.4 (27.63–120.98) | Y = 6.78X + 3.98 | 3.519 n.s. (4) | p < 0.001, R2 = 0.974, F = 153.433 |
| 2nd larval instar | 9.165 (6.21–19.35) | 55.66 (24.38–308.41) | Y = 6.565X + 0.087 | 12.71 n.s. (4) | p < 0.000, R2 = 0.994, F = 640.62 | |
| 3rd larval instar | 12.76 (8.31–29.26) | 88.25 (35.93–558.78) | Y = 4.895X + 0.564 | 3.825 n.s. (4) | p < 0.001, R2 = 0.981, F = 207.816 | |
| 4th larval instar | 18.85 (7.89–94.06) | 265.50 (152.43–940.43) | Y = 5.166X + 1.817 | 6.992 n.s. (4) | p < 0.001, R2 = 0.98, F = 201.141 | |
| Pupae | 44.91 (10.97–186.34) | 285.383 (45.97–1076.22) | Y = 1.988X + 1.483 | 14.719 n.s. (4) | p < 0.002, R2 = 0.96, F = 97.078 |
| Generation | Instar/Stage | LC50 (LCL–UCL) (μg/L) | LC90 (LCL–UCL) (μg/L) | Regression Equation | χ2 (d. f.) | Statistic Summary |
|---|---|---|---|---|---|---|
| F1 | 1st larval instar | 175.63 (106.85–254.89) | 1343.84 (634.62–8792.73) | Y = 0.064X + 27.04 | 9.522 n.s. (4) | p < 0.118, R2 = 0.483, F = 4.732 |
| 2nd larval instar | 219.94 (169.94–357.59) | 579.74 (356.89–2607.64) | Y = 0.055X + 23.34 | 15.568 n.s. (4) | p < 0.202, R2 = 0.292, F = 2.65 | |
| 3rd larval instar | 278.45 (198.89–423.28) | 3911.48 (1512.89–8645.62) | Y = 0.047X + 24.061 | 8.429 n.s. (4) | p < 0.191, R2 = 0.315, F = 2.838 | |
| 4th larval instar | 345.58 (211.33–4081.75) | 1439.21 (494.44–4046.33) | Y = 0.119X + 4.176 | 13.302 n.s. (4) | p < 0.018, R2 = 0.947, F = 55.132 | |
| Pupae | 374.69 (328.44–428.76) | 1514.50 (1178.57–2142.42) | Y = 0.082X + 7.960 | 6.079 n.s. (3) | p < 0.005, R2 = 0.928, F = 52.397 | |
| F2 | 1st larval instar | 139.22 (92.047–182.74) | 288.74 (207.79–1507.51) | Y = 0.191X + 11.086 | 9.875 n.s. (3) | p < 0.03, R2 = 0.91, F = 31.381 |
| 2nd larval instar | 202.53 (139.28–1004.29) | 850.83 (383.71–3026.42) | Y = 0.194X + 4.46 | 2.939 n.s. (3) | p < 0.006, R2 = 0.983, F = 179.706 | |
| 3rd larval instar | 220.52 (149.31–553.68) | 1741.79 (631.05–6442.34) | Y = 0.161X + 7.84 | 5.173 n.s. (3) | p < 0.023, R2 = 0.931, F = 41.289 | |
| 4th larval instar | 302.56 (236.76–468.69) | 1816.3 (893.62–12,196.56) | Y = 0.133X + 5.396 | 4.670 n.s. (3) | p < 0.015, R2 = 0.955, F = 65.157 | |
| Pupae | 328.68 (280.97–400.18) | 1459.71 (976.294–2930.32) | Y = 0.130X + 2.720 | 5.293 n.s. (3) | p < 0. 006, R2 = 0.983, F = 176.759 |
| Parameter | Thickness of Gut Wall (µm) | Diameter of Lumen (mm) | Thickness of Inferior Protuberance (µm) | Thickness of Brushing Border (µm) | Intensity of Vacuoles | |
|---|---|---|---|---|---|---|
| Groups | ||||||
| A | 50.46 ± 4.11 c | 2.42 ± 0.17 c | 245.71 ± 13.02 c | 24.66 ± 2.001 c | 0.99 ± 0.14 a | |
| B | 38.28 ± 2.05 b | 1.57 ± 0.08 a | 86.07 ± 3.53 a | 14.27 ± 0.71 b | 15.48 ± 0.67 c | |
| C | 26.78 ± 1.57 b | 1.48 ± 0.08 b | 157.25 ± 4.11 b | 6.85 ± 0.40 a | 18.96 ± 0.71 d | |
| D | 21.07 ± 1.02 a | 0.86 ± 0.02 b | 132.94 ± 6.52 b | 4.52 ± 0.17 a | 12.25 ± 0.90 b | |
| E | 22.47 ± 0.73 a | 0.77 ± 0.011 a | 76.81 ± 2.20 a | 4.77 ± 0.45 a | 14.16 ± 0.92 b,c | |
| p value | <0.001 | <0.001 | <0.001 | <0.001 | <0.001 | |
Disclaimer/Publisher’s Note: The statements, opinions and data contained in all publications are solely those of the individual author(s) and contributor(s) and not of MDPI and/or the editor(s). MDPI and/or the editor(s) disclaim responsibility for any injury to people or property resulting from any ideas, methods, instructions or products referred to in the content. |
© 2025 by the authors. Licensee MDPI, Basel, Switzerland. This article is an open access article distributed under the terms and conditions of the Creative Commons Attribution (CC BY) license (https://creativecommons.org/licenses/by/4.0/).
Share and Cite
Hasaballah, A.I.; El-Ansary, R.E.; Zidan, M.M.; Al-Khalaf, A.A.; Khalil, A. Transgenerational Effects of Cadmium and Copper Exposure on Development, Reproduction, and Midgut Integrity in Culex pipiens (Diptera: Culicidae): Implications for Vector Ecology Under Metal Pollution. Biology 2025, 14, 1004. https://doi.org/10.3390/biology14081004
Hasaballah AI, El-Ansary RE, Zidan MM, Al-Khalaf AA, Khalil A. Transgenerational Effects of Cadmium and Copper Exposure on Development, Reproduction, and Midgut Integrity in Culex pipiens (Diptera: Culicidae): Implications for Vector Ecology Under Metal Pollution. Biology. 2025; 14(8):1004. https://doi.org/10.3390/biology14081004
Chicago/Turabian StyleHasaballah, Ahmed I., Ramy E. El-Ansary, Mahmoud M. Zidan, Areej A. Al-Khalaf, and Abdelwahab Khalil. 2025. "Transgenerational Effects of Cadmium and Copper Exposure on Development, Reproduction, and Midgut Integrity in Culex pipiens (Diptera: Culicidae): Implications for Vector Ecology Under Metal Pollution" Biology 14, no. 8: 1004. https://doi.org/10.3390/biology14081004
APA StyleHasaballah, A. I., El-Ansary, R. E., Zidan, M. M., Al-Khalaf, A. A., & Khalil, A. (2025). Transgenerational Effects of Cadmium and Copper Exposure on Development, Reproduction, and Midgut Integrity in Culex pipiens (Diptera: Culicidae): Implications for Vector Ecology Under Metal Pollution. Biology, 14(8), 1004. https://doi.org/10.3390/biology14081004

