Research on the Economic Loss Model of Invasive Alien Species Based on Multidimensional Data Spatialization—A Case Study of Economic Losses Caused by Hyphantria cunea in Jiangsu Province
Simple Summary
Abstract
1. Introduction
1.1. Global Challenges of Biological Invasions
1.2. Case Study: Hyphantria cunea in Jiangsu Province
1.3. Policy Relevance and Applications
2. Materials and Methods
2.1. Temporal Phasing of H. cunea Invasion Dynamics
- Initial Invasion and Clustered Spread (2011–2016):
- H. cunea established isolated infestation clusters in four districts of Lianyungang City in 2011, characterized by low-density populations and localized defoliation (<10% canopy loss) [16].
- Anthropogenic dispersal via transportation networks (road density > 2 km/km2) facilitated radial expansion, with infested areas growing at 28.6% annually (2011–2016). Kernel density analysis confirmed corridor-driven spread, aligning with human footprint index (HFP) gradients (Appendix A, Figure A1) [23].
- By 2016, 57 districts across nine cities were infested, with severity coefficients concentrated in northern Jiangsu’s broadleaf forests.
- 2.
- Contiguous Infestation and Stabilization (2017–2022):
- Merging of clusters formed continuous infestation zones (291,119 severity grids in 2016), particularly in agroforestry mosaics (arable land: 45%, forest: 32%).
- Post-2016, integrated pest management (IPM) policies reduced spread rates to 4.3% annually, with Moran’s I spatial autocorrelation declining from 0.64 (2016) to 0.52 (2022), indicating moderated clustering.
- Stabilization reflected NFGA interventions (biocontrol agent releases, quarantine zones) and climatic stressors (rising summer temperatures exceeding larval thermal limits) [17].
2.2. Methodological Framework
2.3. Data Spatial Matching
2.3.1. Rasterization of H. cunea Infestation Data
2.3.2. Disaggregation of Agricultural/Forestry Economic Data
2.4. Economic Losses Assessment
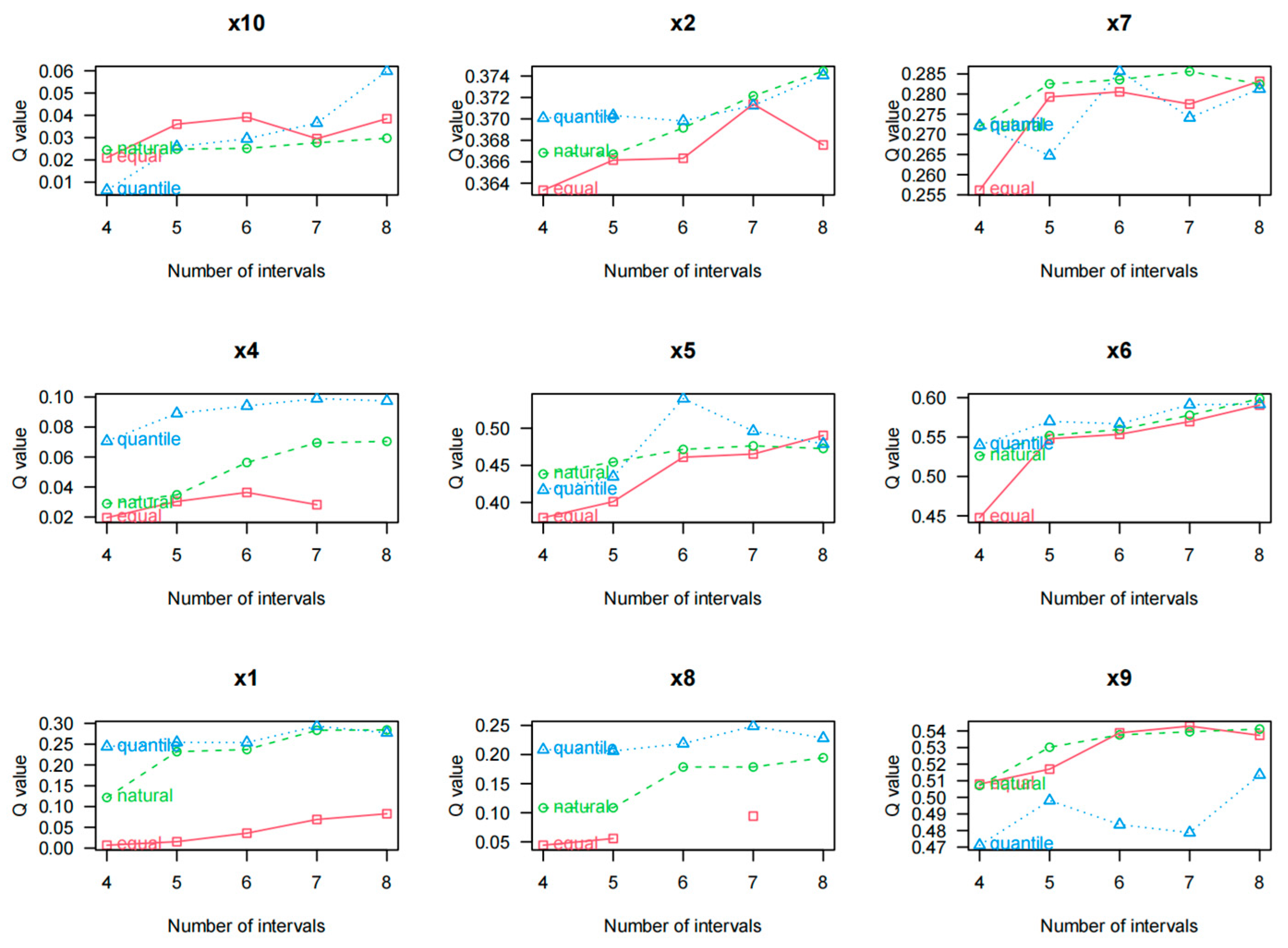
2.4.1. Driver Identification via GeoDetector
- Human Footprint Index (HFP) layers;
- Georeferenced socioeconomic indicators;
- Gridded infestation data (Section 2.3).
- Nonlinear weakening, q(X1∩X2) < min[q(X1), q(X2)];
- Single-factor nonlinear weakening, min[q(X1), q(X2)] < q(X1∩X2) < max[q(X1), q(X2)];
- Bi-factor enhancement, q(X1∩X2) > max[q(X1), q(X2)];
- Independent, q(X1∩X2) = q(X1) +q(X2);
- Nonlinear enhancement, q(X1∩X2) > q(X1) +q(X2).
2.4.2. Staggered DID Model Construction
2.5. Potential Economic Loss Estimation
- (1)
- collecting vector databases of species occurrence records and raster data of environmental variables;
- (2)
- screen for environmental variables that significantly impact species distribution and reduce the influence of spatial autocorrelation (SAC) on the analysis results;
- (3)
- evaluating the optimal parameters of MaxEnt based on the Akaike Information Criterion (AIC) to enhance its predictive accuracy;
- (4)
- integrate the results of the above steps to conduct potential geographic distribution analysis under future climate conditions using MaxEnt.
3. Results
3.1. Results of Data Spatial Matching
3.2. Results of the Economic Loss Model
- Forestry Sector: economic damages surged from CNY 9.3 million (2011) to CNY 46.58 million (2016), followed by decelerated yet persistent growth, reaching CNY 52.15 million by 2022.
- Agricultural Sector: losses escalated from CNY 5.05 million (2011) to CNY 29.15 million (2016), with subsequent growth rate decline stabilizing at CNY 35.34 million in 2022.
3.3. Sector-Specific Economic Losses Assessment
3.4. Potential Economic Loss Assessment
4. Discussion
4.1. Methodological Advancements
4.1.1. Integration of Ecological and Economic Data Scaling
4.1.2. Dynamic Temporal Modeling Via Staggered DID
4.2. Limitations and Data Challenges
4.2.1. Trade-Offs in Data Resolution
4.2.2. Simplifications in Climate Scenario Modeling
4.2.3. Neglect of Cross-Sectoral Interactions
5. Conclusions
Author Contributions
Funding
Data Availability Statement
Conflicts of Interest
Appendix A
| Category | Factor | Description | Data Sources |
|---|---|---|---|
| CPA | Infestation Severity x1 | The probability of H. cunea appearing in this area | Spatial Projection Based on Infestation Area Information Announced by the National Forestry and Grassland Administration of China |
| HFP | Human-built environment x2 | The human-built environment affects the planting and growth of crops by affecting land resources, crop planting area, ecological environment, agricultural production conditions and ecological efficiency. | [40] |
| Mechanical power x3 | The total power of various agricultural, forestry, animal husbandry, and fishery machinery, where a high degree of mechanization can significantly improve the production efficiency of cash crops | National Bureau of Statistics | |
| Navigable waterway x4 | The distance from the sampling point to the water area | National Earth System Science Data Center (NEESDC) | |
| Road density x5 | Reflecting logistics accessibility, it may affect the spread of H. cunea | GRIP global roads database | |
| Population density x6 | Reflecting the population size | National Bureau of Statistics | |
| Habitat | Altitude x7 | Altitude affects crop growth by affecting factors such as temperature, sunshine, air pressure, and soil conditions. | National Earth System Science Data Center |
| Terrain slope x8 | The topographic relief is a comprehensive representation of the regional elevation and the degree of surface dissection | FAO (https://gaez.fao.org/ (accessed on 13 April 2025)) | |
| Environment | Rainfall x9 | The amount of rainfall directly impacts the growth cycle and yield of crops; both drought and excessive rainfall can lead to reduced crop yields | National Earth System Science Data Center |
| Monthly wind speed x10 | Moderate wind speed can increase air flow, help plant leaves to better exchange gases and promote photosynthesis; at the same time, it can speed up plant transpiration, which helps plants absorb water and nutrients from the soil. | National Earth System Science Data Center |
| (1) | (2) | (3) | (4) | (5) | |
|---|---|---|---|---|---|
| Pgdp1 | Agriculture | Forestry | Livestock Farming | Fishery | |
| Affected Area | −0.6909 *** | −0.012 *** | −0.381 ** | −0.215 | 0.056 |
| (−2.752) | (−3.028) | (−2.176) | (−0.339) | (0.770) | |
| Pgdp | −0.394 | −0.001 ** | −0.039 * | −0.012 | 0.026 |
| (−0.894) | (−2.181) | (−1.819) | (−1.125) | (1.065) | |
| Popden | 1.755 | −0.001 | −0.553 * | −0.393 ** | 0.288 * |
| (0.106) | (−0.089) | (−1.756) | (−1.993) | (1.835) | |
| PDI | −5.443 | −0.009 | −0.471 * | −0.551 ** | −0.000 |
| (−0.888) | (−1.591) | (−1.682) | (−2.339) | (−0.002) | |
| FDI | −0.186 *** | −0.000 *** | 0.005 | −0.004 *** | 0.003 ** |
| (−3.876) | (−5.326) | (1.579) | (−3.716) | (2.420) | |
| Electricity | 4.030 | 0.003 | −0.018 | −0.498 | 0.386 * |
| (0.951) | (0.684) | (−0.055) | (−1.389) | (1.954) | |
| Consume | −9.526 ** | 0.001 | 0.237 * | −0.018 | −0.014 |
| (−2.011) | (0.409) | (1.676) | (−0.276) | (−0.261) | |
| Fiscal | 123.491 *** | 0.027 | −0.927 | −0.897 | −1.757 * |
| (2.858) | (0.694) | (−0.699) | (−1.040) | (−1.934) | |
| Reserve | −25.062 | 0.044 ** | −1.714 * | 0.635 * | 0.032 |
| (−1.466) | (2.470) | (−1.697) | (1.802) | (0.071) | |
| Finance | −8.910 | −0.044 *** | 0.574 | −0.421 * | 0.511 * |
| (−1.115) | (−3.569) | (1.023) | (−1.877) | (1.684) | |
| Rain | 0.263 ** | −0.000 ** | 0.016 ** | 0.004 | −0.008 *** |
| (2.004) | (−2.595) | (2.324) | (0.835) | (−2.750) | |
| Fix | −0.051 | −0.002 | −0.128 | 0.151 | 0.253 ** |
| (−0.012) | (−0.300) | (−0.484) | (1.201) | (2.135) | |
| Per_Tractor | 257.332 | 1.571 | 205.884 | 237.566 | 595.395 ** |
| (653.355) | (0.242) | (0.594) | (1.618) | (2.613) | |
| Constant | −26.211 ** | 0.068 *** | 6.193 *** | 9.867 *** | 0.913 ** |
| (−2.428) | (5.341) | (10.739) | (25.339) | (2.490) | |
| Region Fixed Effect | YES | YES | YES | YES | YES |
| Time Fixed Effect | YES | YES | YES | YES | YES |
| Observations | 930 | 930 | 877 | 930 | 930 |
| R2 | 0.997 | 0.913 | 0.923 | 0.961 | 0.945 |

References
- Renault, D.; Laparie, M.; McCauley, S.J.; Bonte, D. Environmental adaptations, ecological filtering, and dispersal central to insect in-vasions. Annu. Rev. Entomol. 2018, 63, 345–368. [Google Scholar] [CrossRef] [PubMed]
- Perrings, C.; Williamson, M.; Barbier, E.B.; Delfino, D.; Dalmazzone, S.; Shogren, J.; Simmons, P.; Watkinson, A. Biological invasion risks and the public good: An economic perspective. Conserv. Ecol. 2002, 6, 1. [Google Scholar] [CrossRef]
- Ehrenfeld, J.G. Ecosystem consequences of biological invasions. Annu. Rev. Ecol. Evol. Syst. 2010, 41, 59–80. [Google Scholar] [CrossRef]
- Simberloff, D.; Martin, J.-L.; Genovesi, P.; Maris, V.; Wardle, D.A.; Aronson, J.; Courchamp, F.; Galil, B.; García-Berthou, E.; Pascal, M.; et al. Impacts of biological invasions: What’s what and the way forward. Trends Ecol. Evol. 2013, 28, 58–66. [Google Scholar] [CrossRef]
- Rai, P.K.; Singh, J.S. Invasive alien plant species: Their impact on environment, ecosystem services and human health. Ecol. Indic. 2020, 111, 106020. [Google Scholar] [CrossRef]
- Lais, C.; Philip, E.H.; Ross, N.C.; Melina, K.; Alok, B.; Phillip, J.H.; Corey, J.A.B.; Paride, B.; Sven, B.; Guillaume, L.; et al. Benefits Do Not Balance Costs of Biological Invasions. BioScience 2024, 74, 340–344. [Google Scholar] [CrossRef]
- Roy, H.E.; Pauchard, A.; Stoett, P.; Renard Truong, T.; Bacher, S.; Galil, B.; Hulme, P.; Ikeda, T.; Sankaran, K.V.; McGeoch, M. IPBES invasive alien species assessment: Full report. Zenodo 2024, 11, 2024. Available online: https://zenodo.org/records/11629357 (accessed on 15 February 2025).
- Tang, X.; Yuan, Y.; Liu, X.; Zhang, J. Potential range expansion and niche shift of the invasive Hyphantria cunea between native and invasive countries. Ecol. Èntomol. 2021, 46, 910–925. [Google Scholar] [CrossRef]
- Renault, D.; Angulo, E.; Cuthbert, R.N.; Haubrock, P.J.; Capinha, C.; Bang, A.; Kramer, A.M.; Courchamp, F. The magnitude, diversity, and distribution of the economic costs of invasive terrestrial invertebrates worldwide. Sci. Total Environ. 2022, 835, 155391. [Google Scholar] [CrossRef]
- Cuthbert, R.N.; Pattison, Z.; Taylor, N.G.; Verbrugge, L.; Diagne, C.; Ahmed, D.A.; Leroy, B.; Angulo, E.; Briski, E.; Capinha, C.; et al. Global economic costs of aquatic invasive alien species. Sci. Total Environ. 2021, 775, 145238. [Google Scholar] [CrossRef]
- Banha, F.; Diniz, A.M.; Del Amo, R.O.; Oliva-Paterna, F.J.; Anastácio, P.M. Perceptions and Risk Behaviors Regarding Biological Invasions in Inland Aquatic Ecosystems. J. Environ. Manag. 2022, 308, 114632. [Google Scholar] [CrossRef] [PubMed]
- Melissa, J.W.; James, A.T.; Rebecca, S.E.; Juan, J.M.; Tarek, S.; Andrew, P.R.; John, M.K.; Craig, P.; Lloyd, D.S.; Jessica, V.; et al. Approaches for Estimating Benefits and Costs of Interventions in Plant Biosecurity Across Invasion Phases. Ecol. Appl. 2021, 31, e02319. [Google Scholar] [CrossRef]
- Hassel, H.; Cedergren, A. A Framework for Evaluating Societal Safety Interventions. Saf. Sci. 2021, 142, 105393. [Google Scholar] [CrossRef]
- Warren, L.O.; Tadic, M. Fall Webworm, Hyphantria cunea (Drury). Ark. Agric. Exp. Stn. Bull. 1970, 759, 1–106. [Google Scholar]
- Umeya, K. Invasion and establishment of a new insect pest in Japan. Adapt. Speciat. Fall Webworm 1977, 1–12. [Google Scholar]
- Liu, F.; Su, H.; Liu, T.; Ding, N.; Fang, G. Assessment of Damage Caused by the American White Moth in China in 2021. China For. Pest Dis. 2023, 42, 15–21. [Google Scholar]
- Ge, X.; He, S.; Zhu, C.; Wang, T.; Xu, Z.; Zong, S. Projecting the Current and Future Potential Global Distribution of Hyphantria cunea (lepidoptera: Arctiidae) Using CLIMEX. Pest Manag. Sci. 2018, 75, 160–169. [Google Scholar] [CrossRef]
- Zhao, X.; Geng, Y.; Hu, T.; Xie, C.; Xu, W.; Zuo, Z.; Xue, M.; Hao, D. Ecological Strategies of Hyphantria cunea (lepidoptera: Arctiidae) Response to Different Larval Densities. Front. Ecol. Evol. 2023, 11, 1177029. [Google Scholar] [CrossRef]
- Chen, Q.; Zhao, H.; Wen, M.; Li, J.; Zhou, H.; Wang, J.; Zhou, Y.; Liu, Y.; Du, L.; Kang, H.; et al. Genome of the webworm Hyphantria cunea unveils genetic adaptations supporting its rapid invasion and spread. BMC Genom. 2020, 21, 1–22. [Google Scholar] [CrossRef]
- Cheng, A.T.; Sims, K.R.E.; Yi, Y. Economic development and conservation impacts of China’s nature reserves. J. Environ. Econ. Manag. 2023, 121, 102848. [Google Scholar] [CrossRef]
- Yu, C.; Zhang, Z.; Jeppesen, E.; Gao, Y.; Liu, Y.; Liu, Y.; Lu, Q.; Wang, C.; Sun, X. Assessment of the effectiveness of China’s protected areas in enhancing ecosystem services. Ecosyst. Serv. 2023, 65, 101588. [Google Scholar] [CrossRef]
- Meng, X.; Gao, X.; Lei, J.; Li, S. Development of a multiscale discretization method for the geographical detector model. Int. J. Geogr. Inf. Sci. 2021, 35, 1650–1675. [Google Scholar] [CrossRef]
- Seebens, H.; Bacher, S.; Blackburn, T.M.; Capinha, C.; Dawson, W.; Dullinger, S.; Genovesi, P.; Hulme, P.E.; van Kleunen, M.; Kühn, I.; et al. Projecting the continental accumulation of alien species through to 2050. Glob. Change Biol. 2020, 27, 970–982. [Google Scholar] [CrossRef] [PubMed]
- Yue, T.X.; Zhao, N.; Liu, Y.; Wang, Y.; Zhang, B.; Du, Z.; Fan, Z.; Shi, W.; Chen, C.; Zhao, M.; et al. A fundamental theorem for eco-environmental surface modelling and its applications. Sci. China Earth Sci. 2020, 63, 1092–1112. [Google Scholar] [CrossRef]
- Cheng, F.; Zhao, G. Fine-scale simulation of population distribution based on zoning strategy and machine learning. Sci. Surv. Mapp. 2020, 45, 165–173. [Google Scholar]
- Tan, J.; Xie, X.; Zuo, J.; Xing, X.; Liu, B.; Xia, Q.; Zhang, Y. Coupling random forest and inverse distance weighting to generate climate surfaces of precipitation and temperature with multiple-covariates. J. Hydrol. 2021, 598, 126270. [Google Scholar] [CrossRef]
- Karger, D.N.; Wilson, A.M.; Mahony, C.; Zimmermann, N.E.; Jetz, W. Global daily 1 km land surface precipitation based on cloud cover-informed downscaling. Sci. Data 2021, 8, 307. [Google Scholar] [CrossRef]
- Wen, X.; Ferreira, A.M.A.; Rae, L.M.; Saffari, H.; Adeel, Z.; Bakkensen, L.A.; Estrada, K.M.M.; Garfin, G.M.; McPherson, R.A.; Vargas, E.F. A comprehensive methodology for evaluating the economic impacts of floods: An application to Canada, Mexico, and the United States. Sustainability 2022, 14, 14139. [Google Scholar] [CrossRef]
- Emmendorfer, L.R.; Dimuro, G.P. A point interpolation algorithm resulting from weighted linear regression. J. Comput. Sci. 2021, 50, 101304. [Google Scholar] [CrossRef]
- Zhao, G.; Yang, M. Urban Population Distribution Mapping with Multisource Geospatial Data Based on Zonal Strategy. ISPRS Int. J. Geo-Inf. 2020, 9, 654. [Google Scholar] [CrossRef]
- De Chaisemartin, C.; d’Haultfoeuille, X. Fuzzy differences-in-differences. Rev. Econ. Stud. 2018, 85, 999–1028. [Google Scholar] [CrossRef]
- Nunn, N.; Qian, N. The potato’s contribution to Population and urbanization: Evidence from a historical experiment. Q. J. Econ. 2011, 126, 593–650. [Google Scholar] [CrossRef] [PubMed]
- Goodman-Bacon, A. Difference-in-differences with variation in treatment timing. J. Econ. 2021, 225, 254–277. [Google Scholar] [CrossRef]
- Hortal, J.; Jiménez-Valverde, A.; Gómez, J.F.; Lobo, J.M.; Baselga, A. Historical bias in biodiversity inventories affects the observed environmental niche of the species. Oikos 2008, 117, 847–858. [Google Scholar] [CrossRef]
- Gallardo, B.; Bacher, S.; Barbosa, A.M.; Gallien, L.; González-Moreno, P.; Martínez-Bolea, V.; Sorte, C.; Vimercati, G.; Vilà, M. Risks posed by invasive species to the provision of ecosystem services in Europe. Nat. Commun. 2024, 15, 2631. [Google Scholar] [CrossRef]
- Diagne, C.; Leroy, B.; Gozlan, R.E.; Vaissière, A.-C.; Assailly, C.; Nuninger, L.; Roiz, D.; Jourdain, F.; Jarić, I.; Courchamp, F. InvaCost, a public database of the economic costs of biological invasions worldwide. Sci. Data 2020, 7, 277. [Google Scholar] [CrossRef]
- Paini, D.R.; Sheppard, A.W.; Cook, D.C.; De Barro, P.J.; Worner, S.P.; Thomas, M.B. Global threat to agriculture from invasive species. Proc. Natl. Acad. Sci. USA 2016, 113, 7575–7579. [Google Scholar] [CrossRef]
- Contreras-Díaz, R.G.; Nori, J.; Chiappa-Carrara, X.; Peterson, A.T.; Soberón, J.; Osorio-Olvera, L. Well-intentioned Initiatives Hinder Understanding Biodiversity Conservation: Cloaked iNaturalist Information for Threatened Species. Biol. Conserv. 2023, 282, 110042. [Google Scholar] [CrossRef]
- Diagne, C.; Leroy, B.; Vaissière, A.-C.; Gozlan, R.E.; Roiz, D.; Jarić, I.; Salles, J.-M.; Bradshaw, C.J.A.; Courchamp, F. High and rising economic costs of biological invasions worldwide. Nature 2021, 592, 571–576. [Google Scholar] [CrossRef]
- Mu, H.; Li, X.; Wen, Y.; Huang, J.; Du, P.; Su, W.; Miao, S.; Geng, M. A Global Record of Annual Terrestrial Human Footprint Dataset from 2000 to 2018. Sci. Data 2022, 9, 176. [Google Scholar] [CrossRef]









| Coefficient | Estimate | Std. Error | t Value | Pr(>|t|) |
|---|---|---|---|---|
| −0.052 | 0.009 | −5.401 | 8.06 × 10−8 *** | |
| −0.021 | 0.003 | −6.576 | 7.36 × 10−11 *** | |
| −0.163 | 0.024 | −6.536 | 9.51 × 10−11 *** | |
| 0.005 | 0.004 | 1.227 | 0.220 | |
| −0.034 | 0.074 | −0.404 | 0.686 |
Disclaimer/Publisher’s Note: The statements, opinions and data contained in all publications are solely those of the individual author(s) and contributor(s) and not of MDPI and/or the editor(s). MDPI and/or the editor(s) disclaim responsibility for any injury to people or property resulting from any ideas, methods, instructions or products referred to in the content. |
© 2025 by the authors. Licensee MDPI, Basel, Switzerland. This article is an open access article distributed under the terms and conditions of the Creative Commons Attribution (CC BY) license (https://creativecommons.org/licenses/by/4.0/).
Share and Cite
Li, C.; Zhou, Y.; Wang, C.; Pan, X.; Wang, Y.; Qi, X.; Wan, F. Research on the Economic Loss Model of Invasive Alien Species Based on Multidimensional Data Spatialization—A Case Study of Economic Losses Caused by Hyphantria cunea in Jiangsu Province. Biology 2025, 14, 552. https://doi.org/10.3390/biology14050552
Li C, Zhou Y, Wang C, Pan X, Wang Y, Qi X, Wan F. Research on the Economic Loss Model of Invasive Alien Species Based on Multidimensional Data Spatialization—A Case Study of Economic Losses Caused by Hyphantria cunea in Jiangsu Province. Biology. 2025; 14(5):552. https://doi.org/10.3390/biology14050552
Chicago/Turabian StyleLi, Cheng, Yongbin Zhou, Cong Wang, Xubin Pan, Ying Wang, Xiaofeng Qi, and Fanghao Wan. 2025. "Research on the Economic Loss Model of Invasive Alien Species Based on Multidimensional Data Spatialization—A Case Study of Economic Losses Caused by Hyphantria cunea in Jiangsu Province" Biology 14, no. 5: 552. https://doi.org/10.3390/biology14050552
APA StyleLi, C., Zhou, Y., Wang, C., Pan, X., Wang, Y., Qi, X., & Wan, F. (2025). Research on the Economic Loss Model of Invasive Alien Species Based on Multidimensional Data Spatialization—A Case Study of Economic Losses Caused by Hyphantria cunea in Jiangsu Province. Biology, 14(5), 552. https://doi.org/10.3390/biology14050552

