Metabolites Discovery from Streptomyces xanthus: Exploring the Potential of Desert Microorganisms
Simple Summary
Abstract
1. Introduction
2. Materials and Methods
2.1. Isolation and Maintenance of the Microorganism
2.2. Molecular Characterization
2.3. Physiological and Chemotaxonomic Characterization
2.4. BGCs Mining and Network Analysis
2.5. Metabolites Analysis Using LC-MS/MS and GNPS
2.6. Preliminary Assessment of Activity
2.7. Isolation and Yield Determination of Compound
2.8. Antibacterial Activity and MIC Assay
3. Results
3.1. Morphological and Cultural Characteristics
3.2. Genomic Features and Phylogeny
3.3. Physiological and Chemical Characterization Results
3.4. Novel Desert Strain Harbor Diverse and Unique BGCs
3.5. Metabolomics Confirmed BGC Expression and Detected Unannotated NPs
3.6. Activity Assay of Crude Extract of Fermentation Broth
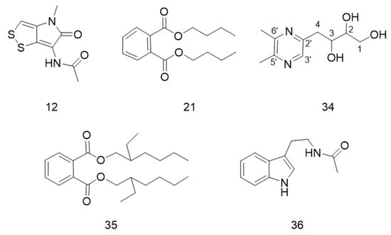
3.7. Isolation and Structure Identification
3.8. MIC of Compounds and Yield of Thiolutin
4. Discussion
4.1. Deserts Are a Rich Source of Novel Actinomycetes
4.2. Isolation and High Production of the Active Thiolutin
4.3. Isolation and Activity of Other Compounds
5. Conclusions
Supplementary Materials
Author Contributions
Funding
Institutional Review Board Statement
Informed Consent Statement
Data Availability Statement
Acknowledgments
Conflicts of Interest
References
- Wang, T.; Li, F.; Lu, Q.; Wu, G.; Jiang, Z.; Liu, S.; Habden, X.; Razumova, E.A.; Osterman, I.A.; Sergiev, P.V.; et al. Diversity, novelty, antimicrobial activity, and new antibiotics of cultivable endophytic actinobacteria isolated from psammophytes collected from Taklamakan Desert. J. Pharm. Anal. 2021, 11, 241–250. [Google Scholar] [CrossRef] [PubMed]
- Li, S.; Lian, W.H.; Han, J.R.; Ali, M.; Lin, Z.L.; Liu, Y.H.; Li, L.; Zhang, D.Y.; Jiang, X.Z.; Li, W.J.; et al. Capturing the microbial dark matter in desert soils using culturomics-based metagenomics and high-resolution analysis. NPJ Biofilms Microbiomes 2023, 9, 67. [Google Scholar] [CrossRef] [PubMed]
- Astakala, R.V.; Preet, G.; Milne, B.F.; Tibyangye, J.; Razmilic, V.; Castro, J.F.; Asenjo, J.A.; Andrews, B.; Ebel, R.; Jaspars, M. Mutactimycin AP, a New Mutactimycin Isolated from an Actinobacteria from the Atacama Desert. Molecules 2022, 27, 7185. [Google Scholar] [CrossRef] [PubMed]
- Driche, E.H.; Badji, B.; Bijani, C.; Belghit, S.; Pont, F.; Mathieu, F.; Zitouni, A. Antibacterial and antibiofilm properties of two cyclic dipeptides produced by a new desert Streptomyces sp. HG-17 strain against multidrug-resistant pathogenic bacteria. Int. Microbiol. 2024, 27, 1839–1852. [Google Scholar] [CrossRef]
- Chen, X.; Li, S.; Zhang, B.; Sun, H.; Wang, J.; Zhang, W.; Meng, W.; Chen, T.; Dyson, P.; Liu, G. A new bacterial tRNA enhances antibiotic production in Streptomyces by circumventing inefficient wobble base-pairing. Nucleic Acids Res. 2022, 50, 7084–7096. [Google Scholar] [CrossRef]
- Lin, L.; Jing, X.; Lucas-Borja, M.E.; Shen, C.; Wang, Y.; Feng, W. Rare Taxa Drive the Response of Soil Fungal Guilds to Soil Salinization in the Taklamakan Desert. Front. Microbiol. 2022, 13, 862245. [Google Scholar] [CrossRef]
- Xie, F.; Pathom-aree, W. Actinobacteria From Desert: Diversity and Biotechnological Applications. Front. Microbiol. 2021, 12, 765531. [Google Scholar] [CrossRef]
- Mast, Y.; Stegmann, E. Actinomycetes: The Antibiotics Producers. Antibiotics 2019, 8, 105. [Google Scholar] [CrossRef]
- Waksman, S.A.; Henrici, A.T. The nomenclature and classification of the actinomycetes. J. Bacteriol. 1943, 46, 337–341. [Google Scholar] [CrossRef]
- Sivalingam, P.; Hong, K.; Pote, J.; Prabakar, K. Extreme Environment Streptomyces: Potential Sources for New Antibacterial and Anticancer Drug Leads? Int. J. Microbiol. 2019, 2019, 5283948. [Google Scholar] [CrossRef]
- Rawlings, B.J. Type I polyketide biosynthesis in bacteria (Part A—Erythromycin biosynthesis). Nat. Prod. Rep. 2001, 18, 190–227. [Google Scholar] [CrossRef] [PubMed]
- Chopra, I.; Roberts, M. Tetracycline antibiotics: Mode of action, applications, molecular biology, and epidemiology of bacterial resistance. Microbiol. Mol. Biol. Rev. 2001, 65, 232–260. [Google Scholar] [CrossRef] [PubMed]
- Campbell, W.C. History of Avermectin and Ivermectin, with Notes on the History of Other Macrocyclic Lactone Antiparasitic Agents. Curr. Pharm. Biotechnol. 2012, 13, 853–865. [Google Scholar] [CrossRef] [PubMed]
- Horii, S.; Kawahara, K.; Kameda, Y. Studies on validamycins, new antibiotics. 8. Isolation and characterization of validamycin-C, validamycin-D, validamycin-E and validamycin-F. J. Antibiot. 1972, 25, 48–53. [Google Scholar] [CrossRef]
- de Voogd, N.J.; Cleary, D.F.R.; Polónia, A.R.M.; Gomes, N.C.M. Bacterial community composition and predicted functional ecology of sponges, sediment and seawater from the thousand islands reef complex, West Java, Indonesia. FEMS Microbiol. Ecol. 2015, 91, fiv019. [Google Scholar] [CrossRef]
- Yoon, S.-H.; Ha, S.-M.; Kwon, S.; Lim, J.; Kim, Y.; Seo, H.; Chun, J. Introducing EzBioCloud: A taxonomically united database of 16S rRNA gene sequences and whole-genome assemblies. Int. J. Syst. Evol. Microbiol. 2017, 67, 1613–1617. [Google Scholar] [CrossRef]
- Coil, D.; Jospin, G.; Darling, A.E. A5-miseq: An updated pipeline to assemble microbial genomes from Illumina MiSeq data. Bioinformatics 2015, 31, 587–589. [Google Scholar] [CrossRef]
- Bankevich, A.; Nurk, S.; Antipov, D.; Gurevich, A.A.; Dvorkin, M.; Kulikov, A.S.; Lesin, V.M.; Nikolenko, S.I.; Son, P.; Prjibelski, A.D.; et al. SPAdes: A New Genome Assembly Algorithm and Its Applications to Single-Cell Sequencing. J. Comput. Biol. 2012, 19, 455–477. [Google Scholar] [CrossRef]
- Alanjary, M.; Steinke, K.; Ziemert, N. AutoMLST: An automated web server for generating multi-locus species trees highlighting natural product potential. Nucleic Acids Res. 2019, 47, W276–W282. [Google Scholar] [CrossRef]
- Kumar, S.; Stecher, G.; Li, M.; Knyaz, C.; Tamura, K. MEGA X: Molecular Evolutionary Genetics Analysis across Computing Platforms. Mol. Biol. Evol. 2018, 35, 1547–1549. [Google Scholar] [CrossRef]
- Lee, I.; Ouk Kim, Y.; Park, S.-C.; Chun, J. OrthoANI: An improved algorithm and software for calculating average nucleotide identity. Int. J. Syst. Evol. Microbiol. 2016, 66, 1100–1103. [Google Scholar] [CrossRef] [PubMed]
- Meier-Kolthoff, J.P.; Carbasse, J.S.; Peinado-Olarte, R.L.; Göker, M. TYGS and LPSN: A database tandem for fast and reliable genome-based classification and nomenclature of prokaryotes. Nucleic Acids Res. 2022, 50, D801–D807. [Google Scholar] [CrossRef] [PubMed]
- Shirling, E.T.; Gottlieb, D. Methods for characterization of Streptomyces species. Int. J. Syst. Evol. Microbiol. 1966, 16, 313–340. [Google Scholar] [CrossRef]
- Kelly, D.H. Sine Waves and Flicker Fusion. Doc. Ophthalmol. 1964, 18, 16–35. [Google Scholar] [CrossRef] [PubMed]
- Lechevalier, M.P.; Bievre, C.D.; Lechevalier, H. Ecology. Chemotaxonomy of aerobic Actinomycetes: Phospholipid composition. Biochem. Syst. Ecol. 1977, 5, 249–260. [Google Scholar] [CrossRef]
- Hasegawa, T.; Takizawa, M.; Tanida, S. A rapid analysis for chemical grouping of aerobic actinomycetes. J. Gen. Appl. Microbiol. 1983, 29, 319–322. [Google Scholar] [CrossRef]
- Minnikin, D.E.; Odonnell, A.G.; Goodfellow, M.; Alderson, G.; Athalye, M.; Schaal, A.; Parlett, J.H. An Integrated Procedure for the Extraction of Bacterial Isoprenoid Quinones and Polar Lipids. J. Microbiol. Methods 1984, 2, 233–241. [Google Scholar] [CrossRef]
- Blin, K.; Shaw, S.; Augustijn, H.E.; Reitz, Z.L.; Biermann, F.; Alanjary, M.; Fetter, A.; Terlouw, B.R.; Metcalf, W.W.; Helfrich, E.J.N.; et al. antiSMASH 7.0: New and improved predictions for detection, regulation, chemical structures and visualisation. Nucleic Acids Res. 2023, 51, W46–W50. [Google Scholar] [CrossRef]
- Terlouw, B.R.; Blin, K.; Navarro-Munoz, J.C.; Avalon, N.E.; Chevrette, M.G.; Egbert, S.; Lee, S.; Meijer, D.; Recchia, M.J.J.; Reitz, Z.L.; et al. MIBiG 3.0: A community-driven effort to annotate experimentally validated biosynthetic gene clusters. Nucleic Acids Res. 2023, 51, D603–D610. [Google Scholar] [CrossRef]
- Shannon, P.; Markiel, A.; Ozier, O.; Baliga, N.S.; Wang, J.T.; Ramage, D.; Amin, N.; Schwikowski, B.; Ideker, T. Cytoscape: A software environment for integrated models of biomolecular interaction networks. Genome Res. 2003, 13, 2498–2504. [Google Scholar] [CrossRef]
- Phongsopitanun, W.; Thawai, C.; Suwanborirux, K.; Kudo, T.; Ohkuma, M.; Tanasupawat, S. Streptomyces chumphonensis sp. nov., isolated from marine sediments. Int. J. Syst. Evol. Microbiol. 2014, 64, 2605–2610. [Google Scholar] [CrossRef] [PubMed]
- Ma, L.; Zeng, H.; Xia, Z.; Luo, X.; Zhang, L.; Wan, C. Streptomyces lycii sp. nov., an endogenous actinomycete isolated from Lycium ruthenicum. Int. J. Syst. Evol. Microbiol. 2020, 70, 5197–5204. [Google Scholar] [CrossRef] [PubMed]
- Wen, Y.; Zhang, G.; Bahadur, A.; Liu, Y.; Zhang, Z.; Chen, T.; Liu, G.; Zhang, W. Streptomyces gobiensis sp. nov., an antimicrobial producing actinobacterium isolated from soil under black Gobi rocks. Int. J. Syst. Evol. Microbiol. 2022, 72, 005318. [Google Scholar] [CrossRef] [PubMed]
- Świecimska, M.; Golińska, P.; Nouioui, I.; Wypij, M.; Rai, M.; Sangal, V.; Goodfellow, M. Streptomyces alkaliterrae sp. nov., isolated from an alkaline soil, and emended descriptions of Streptomyces alkaliphilus, Streptomyces calidiresistens and Streptomyces durbertensis. Syst. Appl. Microbiol. 2020, 43, 126153. [Google Scholar] [CrossRef]
- He, X.; Li, M.; Song, S.; Wu, X.; Zhang, J.; Wu, G.; Yue, R.; Cui, H.; Song, S.; Ma, C.; et al. Ficellomycin: An aziridine alkaloid antibiotic with potential therapeutic capacity. Appl. Microbiol. Biotechnol. 2018, 102, 4345–4354. [Google Scholar] [CrossRef]
- Xue, C.; Li, G.L.; Zheng, Q.X.; Gu, X.Y.; Shi, Q.M.; Su, Y.S.; Chu, Q.F.; Yuan, X.; Bao, Z.Y.; Lu, J.; et al. Tryptophan metabolism in health and disease. Cell Metab. 2023, 35, 1304–1326. [Google Scholar] [CrossRef]
- Ma, G.; Fu, H.; Wu, S.; Bao, Z.; Wang, S.; Ge, P. Isolation and structure elucidation of antifungal metabolites from marine Paenibacillus polymyxa strain L1-9. Acta Phytopathol. Sin. 2014, 44, 486–496. [Google Scholar] [CrossRef]
- Guo, L.; Peng, C.; Dai, O.; Geng, Z.; Guo, Y.-P.; Xie, X.-F.; He, C.-J.; Li, X.-H. Two new pyrazines from the parent roots of Aconitum carmichaelii. Biochem. Syst. Ecol. 2013, 48, 92–95. [Google Scholar] [CrossRef]
- Pedras, M.S.C.; Yu, Y.; Liu, J.; Tandron-Moya, Y.A. Metabolites produced by the phytopathogenic fungus Rhizoctonia solani: Isolation, chemical structure determination, syntheses and bioactivity. Z. Fur Naturforschung Sect. C-A J. Biosci. 2005, 60, 717–722. [Google Scholar] [CrossRef]
- Elsayed, S.S.; Trusch, F.; Deng, H.; Raab, A.; Prokes, I.; Busarakam, K.; Asenjo, J.A.; Andrews, B.A.; van West, P.; Bull, A.T.; et al. Chaxapeptin, a Lasso Peptide from Extremotolerant Streptomyces leeuwenhoekii Strain C58 from the Hyperarid Atacama Desert. J. Org. Chem. 2015, 80, 10252–10260. [Google Scholar] [CrossRef]
- Franco Castro, J.; Razmilic, V.; Pablo Gomez-Escribano, J.; Andrews, B.; Asenjo, J.; Bibb, M. The ‘gifted’ actinomycete Streptomyces leeuwenhoekii. Antonie Van Leeuwenhoek Int. J. Gen. Mol. Microbiol. 2018, 111, 1433–1448. [Google Scholar] [CrossRef] [PubMed]
- Toumatia, O.; Compant, S.; Yekkour, A.; Goudjal, Y.; Sabaou, N.; Mathieu, F.; Sessitsch, A.; Zitouni, A. Biocontrol and plant growth promoting properties of Streptomyces mutabilis strain IA1 isolated from a Saharan soil on wheat seedlings and visualization of its niches of colonization. S. Afr. J. Bot. 2016, 105, 234–239. [Google Scholar] [CrossRef]
- Zahra, T.; Hamedi, J.; Mahdigholi, K. Endophytic actinobacteria of a halophytic desert plant Pteropyrum olivieri: Promising growth enhancers of sunflower. 3 Biotech 2020, 10, 514. [Google Scholar] [CrossRef] [PubMed]
- Selim, S.; Hassan, Y.M.; Saleh, A.M.; Habeeb, T.H.; AbdElgawad, H. Actinobacterium isolated from a semi-arid environment improves the drought tolerance in maize (Zea mays L.). Plant Physiol. Biochem. 2019, 142, 15–21. [Google Scholar] [CrossRef]
- Nithya, K.; Muthukumar, C.; Kadaikunnan, S.; Alharbi, N.S.; Khaled, J.M.; Dhanasekaran, D. Purification, characterization, and statistical optimization of a thermostable alpha-amylase from desert actinobacterium Streptomyces fragilis DA7-7. 3 Biotech 2017, 7, 350. [Google Scholar] [CrossRef]
- Gran-Scheuch, A.; Trajkovic, M.; Parra, L.; Fraaije, M.W. Mining the Genome of Streptomyces leeuwenhoekii: Two New Type I Baeyer-Villiger Monooxygenases From Atacama Desert. Front. Microbiol. 2018, 9, 1609. [Google Scholar] [CrossRef]
- Jia, Y.; Wu, S.L.; Isenberg, J.S.; Dai, S.; Sipes, J.M.; Field, L.; Zeng, B.; Bandle, R.W.; Ridnour, L.A.; Wink, D.A.; et al. Thiolutin inhibits endothelial cell adhesion by perturbing Hsp27 interactions with components of the actin and intermediate filament cytoskeleton. Cell Stress. Chaperones 2010, 15, 165–181. [Google Scholar] [CrossRef]
- Qin, Z.; Huang, S.; Yu, Y.; Deng, H. Dithiolopyrrolone natural products: Isolation, synthesis and biosynthesis. Mar. Drugs 2013, 11, 3970–3997. [Google Scholar] [CrossRef]
- Chen, Y.; Tu, Y.; Pan, T.; Deng, Z.; Duan, L. A Cysteine-Reloading Process Initiating the Biosynthesis of the Bicyclic Scaffold of Dithiolopyrrolones. Antibiotics 2023, 12, 787. [Google Scholar] [CrossRef]
- Eder, C.; Michael, K.; Joachim, W. Methods of Using and Preparing Thiolutin Dioxide. US 2005/0059725 A1, 17 March 2005. [Google Scholar]
- Zaumeyer, W.J. Antibiotics in the control of plant diseases. Annu. Rev. Microbiol. 1958, 12, 415–440. [Google Scholar] [CrossRef]
- Merrouche, R.; Yekkour, A.; Lamari, L.; Zitouni, A.; Mathieu, F.; Sabaou, N. Efficiency of Saccharothrix algeriensis NRRL B-24137 and Its Produced Antifungal Dithiolopyrrolones Compounds to Suppress Fusarium oxysporum-Induced Wilt Disease Occurring in Some Cultivated Crops. Arab. J. Sci. Eng. 2017, 42, 2321–2327. [Google Scholar] [CrossRef]
- Umezawa, H.; Maeda, K.; Kosaka, H. Isolation of a new antibiotic substance, aureothricin from a strain of strepomyces. Jpn. Med. J. 2010, 1, 512–517. [Google Scholar] [CrossRef]
- Seneca, H.; Kane, J.H.; Rockenbach, J. Bactericidal protozoicidal and fungicidal properties of thiolutin. Antibiot. Chemother. 1952, 2, 357–360. [Google Scholar] [CrossRef]
- Li, B.; Wever, W.J.; Walsh, C.T.; Bowers, A.A. Dithiolopyrrolones: Biosynthesis, synthesis, and activity of a unique class of disulfide-containing antibiotics. Nat. Prod. Rep. 2014, 31, 905–923. [Google Scholar] [CrossRef]
- Yakushiji, F.; Miyamoto, Y.; Kunoh, Y.; Okamoto, R.; Nakaminami, H.; Yamazaki, Y.; Noguchi, N.; Hayashi, Y. Novel Hybrid-Type Antimicrobial Agents Targeting the Switch Region of Bacterial RNA Polymerase. ACS Med. Chem. Lett. 2013, 4, 220–224. [Google Scholar] [CrossRef]
- Tian, C.; Ni, J.; Chang, F.; Liu, S.; Xu, N.; Sun, W.; Xie, Y.; Guo, Y.; Ma, Y.; Yang, Z.; et al. Bio-Source of di-n-butyl phthalate production by filamentous fungi. Sci. Rep. 2016, 6, 19791. [Google Scholar] [CrossRef]
- Matsuda, K.; Hasebe, F.; Shiwa, Y.; Kanesaki, Y.; Tomita, T.; Yoshikawa, H.; Shin-Ya, K.; Kuzuyama, T.; Nishiyama, M. Genome Mining of Amino Group Carrier Protein-Mediated Machinery: Discovery and Biosynthetic Characterization of a Natural Product with Unique Hydrazone Unit. ACS Chem. Biol. 2017, 12, 124–131. [Google Scholar] [CrossRef]







| Characteristics | 1 | 2 | 3 | 4 | 5 | 6 |
|---|---|---|---|---|---|---|
| Major whole-cell sugars | Glucose, Ribose | Glucose, Ribose | Glucose, Ribose | Ribose, Glucose, galactose | Glucose, Ribose, Xylose | Glucose, Ribose |
| Major cell-wall diamino acid | LL-DAP, Meso-DAP | LL-DAP | LL-DAP | LL-DAP | LL-DAP | LL-DAP |
| Polar lipids components | PE, PIM, GL | DPG, PI, PE, PIM, PG | DPG, PI, PE | DPG, PG, PE | DPG, PE, PI | DPG, PI, PE |
| Major menquinones | MK-9(H6), MK-9(H8), MK-10(H2) | MK9-(H6), MK9-(H8) | MK-9(H4), MK-9(H6) | MK-9(H8), MK-9(H6) | MK9-(H6), MK9-(H8) | MK–9(H4), MK–9(H6), MK–9(H2) |
| Major Fatty acid (%) | ||||||
| anteiso-C15:0 | 33.87 | 19.7 | 16.0 | - | 22.1 | - |
| anteiso-C17:0 | 28.77 | - | - | 7.7 | 18.1 | 20.1 |
| anteiso-C17:1 | 19.46 | - | - | 4.4 | - | - |
| iso-C15:0 | - | 14.2 | 7.1 | 7.2 | 7.2 | - |
| iso-C16: 0 | 6.85 | 19.9 | 7.1 | 23.6 | 23.1 | 20.2 |
| iso-C16: 1 | 4.01 | - | - | 6.3 | 2.6 | - |
| iso-C17:0 | - | - | 3.7 | 3 | 4.9 | 15.1 |
| C16:0 | - | - | 8.4 | 6.9 | 4.2 | 19.0 |
| Compounds | 12 | 21 | 34 | 35 | 36 | Amphotericin-B * | DMSO | |
|---|---|---|---|---|---|---|---|---|
| Test Pathogens | MIC (µg/mL) | |||||||
| V. dahliae ACCC 36211 | 12.5 | - | - | - | - | 3.125 | - | |
| F. oxysporum ACCC 31038 | 12.5 | - | - | - | - | 3.125 | - | |
| V. pyri WTZ-19 | 6.25 | - | - | - | - | 0.8 | - | |
| E. amylovor TRM-03 | 12.5 | - | - | - | - | 3.125 | - | |
| A. gaisen TRM-09 | 12.5 | 64 | - | 64 | - | 3.125 | - | |
Disclaimer/Publisher’s Note: The statements, opinions and data contained in all publications are solely those of the individual author(s) and contributor(s) and not of MDPI and/or the editor(s). MDPI and/or the editor(s) disclaim responsibility for any injury to people or property resulting from any ideas, methods, instructions or products referred to in the content. |
© 2025 by the authors. Licensee MDPI, Basel, Switzerland. This article is an open access article distributed under the terms and conditions of the Creative Commons Attribution (CC BY) license (https://creativecommons.org/licenses/by/4.0/).
Share and Cite
Luo, X.; Liu, Z.; Xia, Z.; Luo, X.; Zhang, J.; Chen, A.; Wang, H.; Wan, C.; Zhang, L. Metabolites Discovery from Streptomyces xanthus: Exploring the Potential of Desert Microorganisms. Biology 2025, 14, 164. https://doi.org/10.3390/biology14020164
Luo X, Liu Z, Xia Z, Luo X, Zhang J, Chen A, Wang H, Wan C, Zhang L. Metabolites Discovery from Streptomyces xanthus: Exploring the Potential of Desert Microorganisms. Biology. 2025; 14(2):164. https://doi.org/10.3390/biology14020164
Chicago/Turabian StyleLuo, Xinrong, Zhanwen Liu, Zhanfeng Xia, Xiaoxia Luo, Juan Zhang, Ailiang Chen, Haoxin Wang, Chuanxing Wan, and Lili Zhang. 2025. "Metabolites Discovery from Streptomyces xanthus: Exploring the Potential of Desert Microorganisms" Biology 14, no. 2: 164. https://doi.org/10.3390/biology14020164
APA StyleLuo, X., Liu, Z., Xia, Z., Luo, X., Zhang, J., Chen, A., Wang, H., Wan, C., & Zhang, L. (2025). Metabolites Discovery from Streptomyces xanthus: Exploring the Potential of Desert Microorganisms. Biology, 14(2), 164. https://doi.org/10.3390/biology14020164

