Meliponini Geopropolis Extracts Induce ROS Production and Death in Leishmania amazonensis Promastigotes and Axenic Amastigotes In Vitro
Simple Summary
Abstract
1. Introduction
2. Materials and Methods
2.1. Chemicals and Culture Media
2.2. Collection of Geopropolis and Extraction Process
2.3. Cell Culture
2.4. Determination of Phenolic Content
2.4.1. Total Phenolic Content
2.4.2. Total Flavonoid Content
2.5. DPPH• Scavenging Assay
2.6. Spectroscopic Analysis and Chemometric Approach
2.7. Antileishmanial Activity
2.7.1. Leishmania Viability Assay
2.7.2. Mitochondrial Dehydrogenase Activity
2.7.3. Recombinant Arginase Activity
2.7.4. Reactive Oxygen Species (ROS) Assay
2.7.5. Autophagy Assay
2.8. Cytotoxicity Assay
2.9. Macrophage Stimulation Assay
2.10. Statistical Analysis
3. Results
3.1. Total Phenolic and Flavonoid Contents and Antioxidant Capacity
3.2. Fingerprinting and Chemometric Analysis
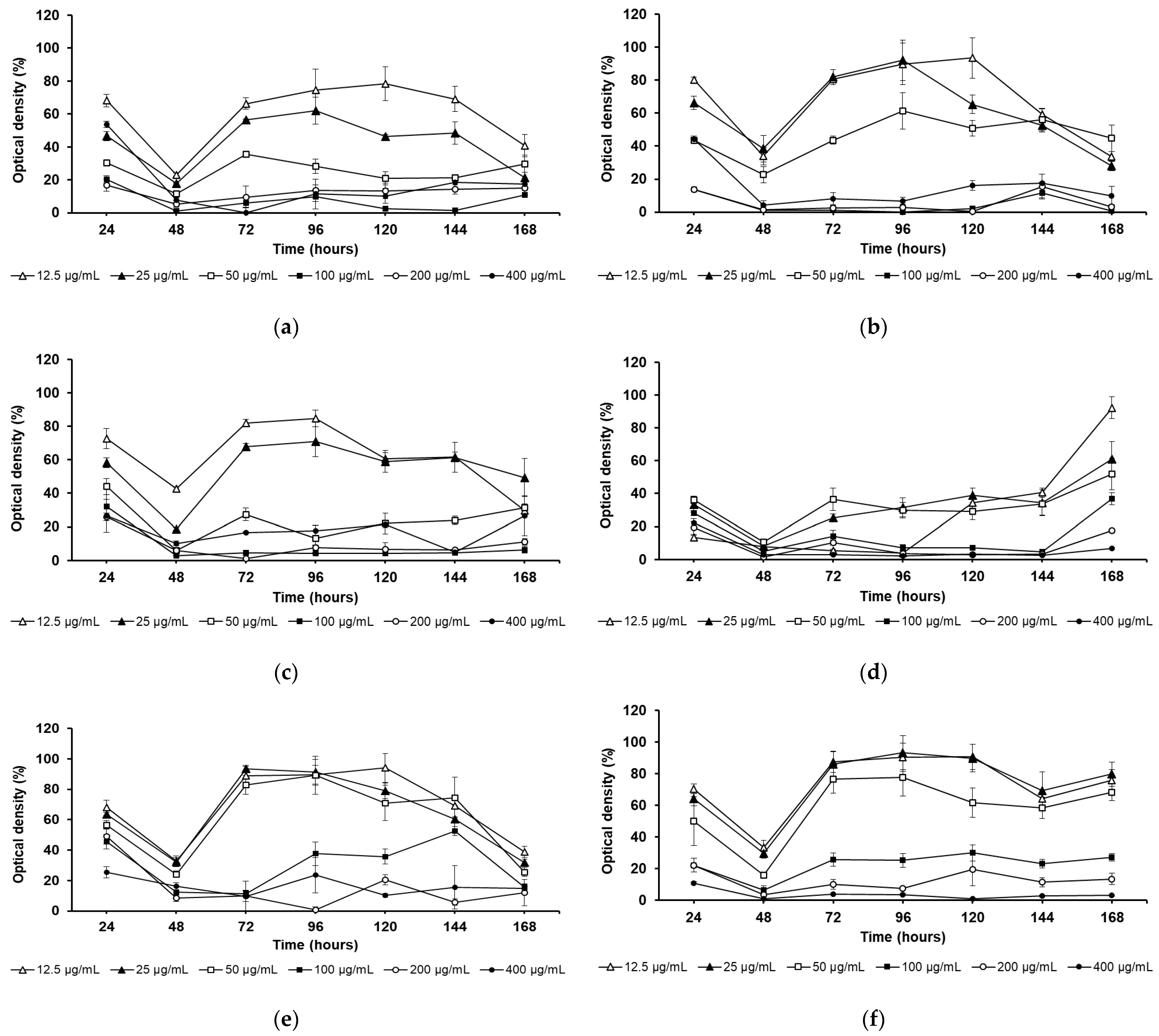
3.3. Anti-L. amazonensis Activity
3.4. Mitochondrial Dehydrogenase Inhibition
3.5. Inhibition of LiARG
3.6. Intracellular ROS Production by L. amazonensis
3.7. Autophagic Activity
3.8. Cytotoxic Potential of Geopropolis Extracts
3.9. Effect of Geopropolis Extract Treatment on Uninfected Peritoneal Macrophages
4. Discussion
5. Conclusions
Supplementary Materials
Author Contributions
Funding
Institutional Review Board Statement
Informed Consent Statement
Data Availability Statement
Acknowledgments
Conflicts of Interest
References
- WHO. W.H.O. Leishmaniasis. Available online: https://www.who.int/news-room/fact-sheets/detail/leishmaniasis (accessed on 10 October 2023).
- Benicio, E.D.A.; Nunes Gadelha, E.P.; Talhari, A.; Silva, R.M.D., Jr.; Ferreira, L.C.; Santos, M.C.C.D.; Mira, M.T.; Oliveira, C.M.C.D.; Talhari, C.; Talhari, S.; et al. Combining Diagnostic Procedures for the Management of Leishmaniasis in Areas with High Prevalence of Leishmania Guyanensis. An. Bras. Dermatol. 2011, 86, 1141–1144. [Google Scholar] [CrossRef] [PubMed]
- Carvalho, S.H.; Frézard, F.; Pereira, N.P.; Moura, A.S.; Ramos, L.M.Q.C.; Carvalho, G.B.; Rocha, M.O.C. American Tegumentary Leishmaniasis in Brazil: A Critical Review of the Current Therapeutic Approach with Systemic Meglumine Antimoniate and Short-term Possibilities for an Alternative Treatment. Trop. Med. Int. Health 2019, 24, 380–391. [Google Scholar] [CrossRef] [PubMed]
- Reverte, M.; Snäkä, T.; Fasel, N. The Dangerous Liaisons in the Oxidative Stress Response to Leishmania Infection. Pathogens 2022, 11, 409. [Google Scholar] [CrossRef] [PubMed]
- Adinehbeigi, K.; Razi Jalali, M.H.; Shahriari, A.; Bahrami, S. In Vitro Antileishmanial Activity of Fisetin Flavonoid via Inhibition of Glutathione Biosynthesis and Arginase Activity in Leishmania infantum. Pathog. Glob. Health 2017, 111, 176–185. [Google Scholar] [CrossRef]
- Mandal, A.; Das, S.; Roy, S.; Ghosh, A.K.; Sardar, A.H.; Verma, S.; Saini, S.; Singh, R.; Abhishek, K.; Kumar, A.; et al. Deprivation of L-Arginine Induces Oxidative Stress Mediated Apoptosis in Leishmania Donovani Promastigotes: Contribution of the Polyamine Pathway. PLoS Negl. Trop. Dis. 2016, 10, e0004373. [Google Scholar] [CrossRef]
- Baiocco, P.; Colotti, G.; Franceschini, S.; Ilari, A. Molecular Basis of Antimony Treatment in Leishmaniasis. J. Med. Chem. 2009, 52, 2603–2612. [Google Scholar] [CrossRef]
- Wyllie, S.; Cunningham, M.L.; Fairlamb, A.H. Dual Action of Antimonial Drugs on Thiol Redox Metabolism in the Human Pathogen Leishmania Donovani. J. Biol. Chem. 2004, 279, 39925–39932. [Google Scholar] [CrossRef]
- Van Griensven, J.; Dorlo, T.P.; Diro, E.; Costa, C.; Burza, S. The Status of Combination Therapy for Visceral Leishmaniasis: An Updated Review. Lancet Infect. Dis. 2024, 24, e36–e46. [Google Scholar] [CrossRef]
- Gonçalves, S.V.C.B.; Costa, C.H.N. Treatment of Cutaneous Leishmaniasis with Thermotherapy in Brazil: An Efficacy and Safety Study. An. Bras. Dermatol. 2018, 93, 347–355. [Google Scholar] [CrossRef]
- Sundar, S.; Chakravarty, J. An Update on Pharmacotherapy for Leishmaniasis. Expert Opin. Pharmacother. 2015, 16, 237–252. [Google Scholar] [CrossRef]
- Pedro, S.R.M. The Stingless Bee Fauna in Brazil (Hymenoptera: Apidae). Sociobiology 2014, 61, 348–354. [Google Scholar] [CrossRef]
- Hrncir, M.; Jarau, S.; Barth, F.G. Stingless Bees (Meliponini): Senses and Behavior. J. Comp. Physiol. A 2016, 202, 597–601. [Google Scholar] [CrossRef]
- Michener, C.D. The Meliponini. In Pot-Honey; Vit, P., Pedro, S.R.M., Roubik, D., Eds.; Springer: New York, NY, USA, 2013; pp. 3–17. ISBN 978-1-4614-4959-1. [Google Scholar]
- Jaffé, R.; Pope, N.; Carvalho, A.T.; Maia, U.M.; Blochtein, B.; De Carvalho, C.A.L.; Carvalho-Zilse, G.A.; Freitas, B.M.; Menezes, C.; De Fátima Ribeiro, M.; et al. Bees for Development: Brazilian Survey Reveals How to Optimize Stingless Beekeeping. PLoS ONE 2015, 10, e0121157. [Google Scholar] [CrossRef]
- Araujo, M.; Bufalo, M.; Conti, B.; Jr, A.; Trusheva, B.; Bankova, V.; Sforcin, J. The Chemical Composition and Pharmacological Activities of Geopropolis Produced by Melipona Fasciculata Smith in Northeast Brazil. J. Mol. Pathophysiol. 2015, 4, 12. [Google Scholar] [CrossRef]
- Siqueira, J.S.; Mescouto, C.S.T.; Lemos, M.D.S.; Junior, J.B.P.; Venturieri, G.C.; Filho, H.A.D.; Dantas, K.D.G.F. Determination of Inorganic Elements in Geopropolis Samples by Inductively Coupled Plasma Optical Emission Spectrometry. J. Apic. Res. 2022, 61, 400–407. [Google Scholar] [CrossRef]
- Lavinas, F.C.; Macedo, E.H.B.C.; Sá, G.B.L.; Amaral, A.C.F.; Silva, J.R.A.; Azevedo, M.M.B.; Vieira, B.A.; Domingos, T.F.S.; Vermelho, A.B.; Carneiro, C.S.; et al. Brazilian Stingless Bee Propolis and Geopropolis: Promising Sources of Biologically Active Compounds. Rev. Bras. Farmacogn. 2019, 29, 389–399. [Google Scholar] [CrossRef]
- Fabio Turco, J.; Benhur Mokochinski, J.; Reyes Torres, Y. Lipidomic Analysis of Geopropolis of Brazilian Stingless Bees by LC-HRMS. Food Res. Int. 2023, 167, 112640. [Google Scholar] [CrossRef]
- Chuttong, B.; Chanbang, Y.; Sringarm, K.; Burgett, M. Physicochemical Profiles of Stingless Bee (Apidae: Meliponini) Honey from South East Asia (Thailand). Food Chem. 2016, 192, 149–155. [Google Scholar] [CrossRef]
- Ferreira, J.M.; Fernandes-Silva, C.C.; Salatino, A.; Message, D.; Negri, G. Antioxidant Activity of a Geopropolis from Northeast Brazil: Chemical Characterization and Likely Botanical Origin. Evid. Based Complement. Alternat. Med. 2017, 2017, 4024721. [Google Scholar] [CrossRef]
- Liberio, S.A.; Pereira, A.L.A.; Dutra, R.P.; Reis, A.S.; Araújo, M.J.A.; Mattar, N.S.; Silva, L.A.; Ribeiro, M.N.S.; Nascimento, F.R.F.; Guerra, R.N.; et al. Antimicrobial Activity against Oral Pathogens and Immunomodulatory Effects and Toxicity of Geopropolis Produced by the Stingless Bee Melipona Fasciculata Smith. BMC Complement. Altern. Med. 2011, 11, 108. [Google Scholar] [CrossRef]
- Dutra, R.P.; Abreu, B.V.D.B.; Cunha, M.S.; Batista, M.C.A.; Torres, L.M.B.; Nascimento, F.R.F.; Ribeiro, M.N.S.; Guerra, R.N.M. Phenolic Acids, Hydrolyzable Tannins, and Antioxidant Activity of Geopropolis from the Stingless Bee Melipona Fasciculata Smith. J. Agric. Food Chem. 2014, 62, 2549–2557. [Google Scholar] [CrossRef]
- Santos, H.; Campos, J.; Santos, C.; Balestieri, J.; Silva, D.; Carollo, C.; De Picoli Souza, K.; Estevinho, L.; Dos Santos, E. Chemical Profile and Antioxidant, Anti-Inflammatory, Antimutagenic and Antimicrobial Activities of Geopropolis from the Stingless Bee Melipona Orbignyi. Int. J. Mol. Sci. 2017, 18, 953. [Google Scholar] [CrossRef]
- Franchin, M.; Da Cunha, M.G.; Denny, C.; Napimoga, M.H.; Cunha, T.M.; Bueno-Silva, B.; Matias De Alencar, S.; Ikegaki, M.; Luiz Rosalen, P. Bioactive Fraction of Geopropolis from Melipona Scutellaris Decreases Neutrophils Migration in the Inflammatory Process: Involvement of Nitric Oxide Pathway. Evid. Based Complement. Alternat. Med. 2013, 2013, 907041. [Google Scholar] [CrossRef]
- Bartolomeu, A.R.; Frión-Herrera, Y.; Da Silva, L.M.; Romagnoli, G.G.; De Oliveira, D.E.; Sforcin, J.M. Combinatorial Effects of Geopropolis Produced by Melipona Fasciculata Smith with Anticancer Drugs against Human Laryngeal Epidermoid Carcinoma (HEp-2) Cells. Biomed. Pharmacother. 2016, 81, 48–55. [Google Scholar] [CrossRef]
- Santos, T.L.A.D.; Queiroz, R.F.; Sawaya, A.C.H.F.; Lopez, B.G.-C.; Soares, M.B.P.; Bezerra, D.P.; Rodrigues, A.C.B.C.; Paula, V.F.D.; Waldschmidt, A.M. Melipona Mondury Produces a Geopropolis with Antioxidant, Antibacterial and Antiproliferative Activities. An. Acad. Bras. Ciênc. 2017, 89, 2247–2259. [Google Scholar] [CrossRef]
- Ferreira, B.L.; Gonzaga, L.V.; Vitali, L.; Micke, G.A.; Maltez, H.F.; Ressureição, C.; Costa, A.C.O.; Fett, R. Southern-Brazilian Geopropolis: A Potential Source of Polyphenolic Compounds and Assessment of Mineral Composition. Food Res. Int. 2019, 126, 108683. [Google Scholar] [CrossRef]
- Garcia, A.R.; Amorim, M.M.B.; Amaral, A.C.F.; Da Cruz, J.D.; Vermelho, A.B.; Nico, D.; Rodrigues, I.A. Anti-Leishmania Amazonensis Activity, Cytotoxic Features, and Chemical Profile of Allium Sativum (Garlic) Essential Oil. Trop. Med. Infect. Dis. 2023, 8, 375. [Google Scholar] [CrossRef]
- Wong-Paz, J.E.; Muñiz-Márquez, D.B.; Aguilar-Zárate, P.; Rodríguez-Herrera, R.; Aguilar, C.N. Microplate Quantification of Total Phenolic Content from Plant Extracts Obtained by Conventional and Ultrasound Methods. Phytochem. Anal. 2014, 25, 439–444. [Google Scholar] [CrossRef]
- Herald, T.J.; Gadgil, P.; Tilley, M. High-throughput Micro Plate Assays for Screening Flavonoid Content and DPPH-scavenging Activity in Sorghum Bran and Flour. J. Sci. Food Agric. 2012, 92, 2326–2331. [Google Scholar] [CrossRef]
- Bobo-García, G.; Davidov-Pardo, G.; Arroqui, C.; Vírseda, P.; Marín-Arroyo, M.R.; Navarro, M. Intra-Laboratory Validation of Microplate Methods for Total Phenolic Content and Antioxidant Activity on Polyphenolic Extracts, and Comparison with Conventional Spectrophotometric Methods: Comparison of Microplate and Conventional Methods for Folin- Ciocalteu and DPPH. J. Sci. Food Agric. 2015, 95, 204–209. [Google Scholar] [CrossRef]
- Rolón, M.; Vega, C.; Escario, J.A.; Gómez-Barrio, A. Development of Resazurin Microtiter Assay for Drug Sensibility Testing of Trypanosoma Cruzi Epimastigotes. Parasitol. Res. 2006, 99, 103–107. [Google Scholar] [CrossRef]
- Adão, I.S.; Garcia, A.R.; Sette, K.M.; Adade, C.M.; De Andrade Silva, J.R.; Amaral, A.C.F.; Pinheiro, A.S.; Rodrigues, I.A. Enantioselectivity of Pinene against Leishmania Amazonensis. Med. Chem. Res. 2023, 33, 127–135. [Google Scholar] [CrossRef]
- Oliveira, S.S.C.; Santos, V.S.; Devereux, M.; McCann, M.; Santos, A.L.S.; Branquinha, M.H. The Anti-Leishmania Amazonensis and Anti-Leishmania Chagasi Action of Copper(II) and Silver(I) 1,10-Phenanthroline-5,6-Dione Coordination Compounds. Pathogens 2023, 12, 70. [Google Scholar] [CrossRef]
- Strober, W. Trypan Blue Exclusion Test of Cell Viability. Curr. Protoc. Immunol. 2001, 111, A3.B.1–A3.B.3. [Google Scholar] [CrossRef]
- Badirzadeh, A.; Taheri, T.; Taslimi, Y.; Abdossamadi, Z.; Heidari-Kharaji, M.; Gholami, E.; Sedaghat, B.; Niyyati, M.; Rafati, S. Arginase Activity in Pathogenic and Non-Pathogenic Species of Leishmania Parasites. PLoS Negl. Trop. Dis. 2017, 11, e0005774. [Google Scholar] [CrossRef]
- Garcia, A.R.; Oliveira, D.M.P.; Claudia F. Amaral, A.; Jesus, J.B.; Rennó Sodero, A.C.; Souza, A.M.T.; Supuran, C.T.; Vermelho, A.B.; Rodrigues, I.A.; Pinheiro, A.S. Leishmania Infantum Arginase: Biochemical Characterization and Inhibition by Naturally Occurring Phenolic Substances. J. Enzym. Inhib. Med. Chem. 2019, 34, 1100–1109. [Google Scholar] [CrossRef]
- Machado, P.D.A.; Gomes, P.S.; Midlej, V.; Coimbra, E.S.; De Matos Guedes, H.L. PF-429242, a Subtilisin Inhibitor, Is Effective in Vitro Against Leishmania Infantum. Front. Microbiol. 2021, 12, 583834. [Google Scholar] [CrossRef]
- Brochot, E.; François, C.; Castelain, S.; Helle, F.; Van Nhien, A.N.; Duchaussoy, I.; Capron, D.; Nguyen-Khac, E.; Duverlie, G. A New Tool to Study Ribavirin-Induced Haemolysis. Antivir. Ther. 2012, 17, 1311–1317. [Google Scholar] [CrossRef]
- Green, L.C.; Wagner, D.A.; Glogowski, J.; Skipper, P.L.; Wishnok, J.S.; Tannenbaum, S.R. Analysis of Nitrate, Nitrite, and [15N]Nitrate in Biological Fluids. Anal. Biochem. 1982, 126, 131–138. [Google Scholar] [CrossRef]
- Dvykaliuk, R.; Adamchuk, L.; Antoniv, A.; Sevin, S. Review of National Regulatory Requirements for Propolis Quality for Compliance with International Standards. Anim. Sci. Food Technol. 2022, 13, 16–25. [Google Scholar] [CrossRef]
- Brazil. Ministério da Agricultura e Pecuária Instrução Normativa SDA n° 03, de 19 de janeiro de 2001—Regulamento Técnicos de Identidade e Qualidade de Apitoxina, Cera de Abelha, Geleia Real, Geleia Real Liofilizada, Polén Apícola, Propólis e Extrato de Propólis. Available online: https://www.gov.br/agricultura/pt-br/assuntos/defesa-agropecuaria/suasa/regulamentos-tecnicos-de-identidade-e-qualidade-de-produtos-de-origem-animal-1/rtiq-mel-e-produtos-apicolas (accessed on 3 January 2025).
- Franchin, M.; Da Cunha, M.G.; Denny, C.; Napimoga, M.H.; Cunha, T.M.; Koo, H.; De Alencar, S.M.; Ikegaki, M.; Rosalen, P.L. Geopropolis from Melipona Scutellaris Decreases the Mechanical Inflammatory Hypernociception by Inhibiting the Production of IL-1β and TNF-α. J. Ethnopharmacol. 2012, 143, 709–715. [Google Scholar] [CrossRef] [PubMed]
- Maraschin, M.; Somensi-Zeggio, A.; Oliveira, S.K.; Kuhnen, S.; Tomazzoli, M.M.; Raguzzoni, J.C.; Zeri, A.C.M.; Carreira, R.; Correia, S.; Costa, C.; et al. Metabolic Profiling and Classification of Propolis Samples from Southern Brazil: An NMR-Based Platform Coupled with Machine Learning. J. Nat. Prod. 2016, 79, 13–23. [Google Scholar] [CrossRef] [PubMed]
- Bankova, V. Chemical Diversity of Propolis and the Problem of Standardization. J. Ethnopharmacol. 2005, 100, 114–117. [Google Scholar] [CrossRef] [PubMed]
- Coutinho, S.; Matos, V.; Seixas, N.; Rodrigues, H.; Paula, V.B.; Freitas, L.; Dias, T.; Santos, F.D.A.R.; Dias, L.G.; Estevinho, L.M. Melipona Scutellaris Geopropolis: Chemical Composition and Bioactivity. Microorganisms 2023, 11, 2779. [Google Scholar] [CrossRef] [PubMed]
- Freitas, C.P.; Bilibio, D.; Santos, L.F.; Botton, N.Y.; Santos, L.R.D. Atividade Antioxidante Da Própolis de Abelhas Jataí/Antioxidant Activity Of Propolis of Jataí Bees. Braz. J. Anim. Environ. Res. 2021, 4, 989–996. [Google Scholar] [CrossRef]
- Ferreira, L.M.D.M.C.; Souza, P.D.Q.D.; Pereira, R.R.; Da Silva, E.O.; Barbosa, W.L.R.; Silva-Júnior, J.O.C.; Converti, A.; Ribeiro-Costa, R.M. Preliminary Study on the Chemical and Biological Properties of Propolis Extract from Stingless Bees from the Northern Region of Brazil. Processes 2024, 12, 700. [Google Scholar] [CrossRef]
- Mirzaei, A.; Maleki, M.; Masoumi, E.; Maspi, N. A Historical Review of the Role of Cytokines Involved in Leishmaniasis. Cytokine 2021, 145, 155297. [Google Scholar] [CrossRef]
- Rodrigues, I.A.; Garcia, A.R.; Paz, M.M.; Grilo Junior, R.G.D.; Amaral, A.C.F.; Pinheiro, A.S. Polyamine and Trypanothione Pathways as Targets for Novel Antileishmanial Drugs. In Antiprotozoal Drug Development and Delivery; Vermelho, A.B., Supuran, C.T., Eds.; Topics in Medicinal Chemistry; Springer International Publishing: Cham, Switzerland, 2021; Volume 39, pp. 143–180. ISBN 978-3-031-06849-2. [Google Scholar]
- Alanazi, S.; Alenzi, N.; Fearnley, J.; Harnett, W.; Watson, D.G. Temperate Propolis Has Anti-Inflammatory Effects and Is a Potent Inhibitor of Nitric Oxide Formation in Macrophages. Metabolites 2020, 10, 413. [Google Scholar] [CrossRef]
- Onbas, R.; Kazan, A.; Nalbantsoy, A.; Yesil-Celiktas, O. Cytotoxic and Nitric Oxide Inhibition Activities of Propolis Extract along with Microencapsulation by Complex Coacervation. Plant Foods Hum. Nutr. 2016, 71, 286–293. [Google Scholar] [CrossRef]
- Franchin, M.; Rosalen, P.L.; Da Cunha, M.G.; Silva, R.L.; Colón, D.F.; Bassi, G.S.; De Alencar, S.M.; Ikegaki, M.; Alves-Filho, J.C.; Cunha, F.Q.; et al. Cinnamoyloxy-Mammeisin Isolated from Geopropolis Attenuates Inflammatory Process by Inhibiting Cytokine Production: Involvement of MAPK, AP-1, and NF-κB. J. Nat. Prod. 2016, 79, 1828–1833. [Google Scholar] [CrossRef]
- Rodrigues, I.A.; Mazotto, A.M.; Cardoso, V.; Alves, R.L.; Amaral, A.C.F.; Silva, J.R.D.A.; Pinheiro, A.S.; Vermelho, A.B. Natural Products: Insights into Leishmaniasis Inflammatory Response. Mediat. Inflamm. 2015, 2015, 835910. [Google Scholar] [CrossRef] [PubMed]
- Kolodziej, H.; Kiderlen, A.F. Antileishmanial Activity and Immune Modulatory Effects of Tannins and Related Compounds on Leishmania Parasitised RAW 264.7 Cells. Phytochemistry 2005, 66, 2056–2071. [Google Scholar] [CrossRef] [PubMed]
- Melo, D.S.D.; Nery Neto, J.A.D.O.; Santos, M.D.S.D.; Pimentel, V.D.; Carvalho, R.D.C.V.; Sousa, V.C.D.; Sousa, R.G.C.; Nascimento, L.G.D.; Alves, M.M.D.M.; Arcanjo, D.D.R.; et al. Isopropyl Gallate, a Gallic Acid Derivative: In Silico and In Vitro Investigation of Its Effects on Leishmania Major. Pharmaceutics 2022, 14, 2701. [Google Scholar] [CrossRef] [PubMed]
- Dutra, R.P.; Bezerra, J.L.; Silva, M.C.P.D.; Batista, M.C.A.; Patrício, F.J.B.; Nascimento, F.R.F.; Ribeiro, M.N.S.; Guerra, R.N.M. Antileishmanial Activity and Chemical Composition from Brazilian Geopropolis Produced by Stingless Bee Melipona Fasciculata. Rev. Bras. Farmacogn. 2019, 29, 287–293. [Google Scholar] [CrossRef]
- Regueira-Neto, M.D.S.; Tintino, S.R.; Rolón, M.; Coronal, C.; Vega, M.C.; De Queiroz Balbino, V.; De Melo Coutinho, H.D. Antitrypanosomal, Antileishmanial and Cytotoxic Activities of Brazilian Red Propolis and Plant Resin of Dalbergia Ecastaphyllum (L) Taub. Food Chem. Toxicol. 2018, 119, 215–221. [Google Scholar] [CrossRef]
- Cavalcante, G.M.; Camara, C.A.; Silva, E.M.S.D.; Santos, M.S.; Leite, A.B.; Queiroz, A.C.; Evelyn Da Silva, A.; Araújo, M.V.; Alexandre-Moreira, M.S.; Silva, T.M.S. Leismanicidal Activity of Propolis Collected in the Semiarid Region of Brazil. Front. Pharmacol. 2021, 12, 702032. [Google Scholar] [CrossRef]
- Dutra, R.P.; De Sousa, M.M.; Mignoni, M.S.P.M.; De Oliveira, K.G.M.; Pereira, E.B.; Figueredo, A.S.; Da Costa, A.A.C.; Dias, T.G.; Vasconcelos, C.C.; Silva, L.A.; et al. Brazilian Amazon Red Propolis: Leishmanicidal Activity and Chemical Composition of a New Variety of Red Propolis. Metabolites 2023, 13, 1027. [Google Scholar] [CrossRef]
- Gharbi, M.; Mhadhbi, M.; Rejeb, A.; Jaouadi, K.; Rouatbi, M.; Darghouth, M.A. Leishmaniosis (Leishmania infantum Infection) in Dogs: -EN- -FR- La Leishmaniose Canine (Infection Due à Leishmania infantum) -ES- Leishmaniosis (Infección Por Leishmania infantum) En El Perro. Rev. Sci. Tech. OIE 2015, 34, 613–626. [Google Scholar] [CrossRef]
- Dos Santos, C.C.P.; Ramos, G.S.; De Paula, R.C.; Faria, K.F.; Moreira, P.O.L.; Pereira, R.A.; Melo, M.N.; Tafuri, W.L.; Demicheli, C.; Ribeiro, R.R.; et al. Therapeutic Efficacy of a Mixed Formulation of Conventional and PEGylated Liposomes Containing Meglumine Antimoniate, Combined with Allopurinol, in Dogs Naturally Infected with Leishmania Infantum. Antimicrob. Agents Chemother. 2020, 64, e00234-20. [Google Scholar] [CrossRef]
- Clos, J.; Grünebast, J.; Holm, M. Promastigote-to-Amastigote Conversion in Leishmania Spp.—A Molecular View. Pathogens 2022, 11, 1052. [Google Scholar] [CrossRef]
- Omondi, Z.N.; Arserim, S.K.; Töz, S.; Özbel, Y. Host–Parasite Interactions: Regulation of Leishmania Infection in Sand Fly. Acta Parasitol. 2022, 67, 606–618. [Google Scholar] [CrossRef] [PubMed]
- De Rycker, M.; Hallyburton, I.; Thomas, J.; Campbell, L.; Wyllie, S.; Joshi, D.; Cameron, S.; Gilbert, I.H.; Wyatt, P.G.; Frearson, J.A.; et al. Comparison of a High-Throughput High-Content Intracellular Leishmania donovani Assay with an Axenic Amastigote Assay. Antimicrob. Agents Chemother. 2013, 57, 2913–2922. [Google Scholar] [CrossRef] [PubMed]
- Monzote, L.; Córdova, W.H.P.; García, M.; Piñón, A.; Setzer, W.N. In-Vitro and In-Vivo Activities of Phenolic Compounds Against Cutaneous Leishmaniasis. Rec. Nat. Prod. 2016, 10, 269–276. [Google Scholar]
- Antwi, C.A.; Amisigo, C.M.; Adjimani, J.P.; Gwira, T.M. In Vitro Activity and Mode of Action of Phenolic Compounds on Leishmania Donovani. PLoS Negl. Trop. Dis. 2019, 13, e0007206. [Google Scholar] [CrossRef]
- Cuesta-Rubio, O.; Campo Fernández, M.; Márquez Hernández, I.; Jaramillo, C.G.J.; González, V.H.; Montes De Oca Porto, R.; Marrero Delange, D.; Monzote Fidalgo, L.; Piccinelli, A.L.; Campone, L.; et al. Chemical Profile and Anti-Leishmanial Activity of Three Ecuadorian Propolis Samples from Quito, Guayaquil and Cotacachi Regions. Fitoterapia 2017, 120, 177–183. [Google Scholar] [CrossRef]
- Ghasemi, M.; Turnbull, T.; Sebastian, S.; Kempson, I. The MTT Assay: Utility, Limitations, Pitfalls, and Interpretation in Bulk and Single-Cell Analysis. Int. J. Mol. Sci. 2021, 22, 12827. [Google Scholar] [CrossRef]
- Fedotcheva, N.; Beloborodova, N. Influence of Microbial Metabolites and Itaconic Acid Involved in Bacterial Inflammation on the Activity of Mitochondrial Enzymes and the Protective Role of Alkalization. Int. J. Mol. Sci. 2022, 23, 9069. [Google Scholar] [CrossRef]
- Pelin, M.; Kilcoyne, J.; Florio, C.; Hess, P.; Tubaro, A.; Sosa, S. Azaspiracids Increase Mitochondrial Dehydrogenases Activity in Hepatocytes: Involvement of Potassium and Chloride Ions. Mar. Drugs 2019, 17, 276. [Google Scholar] [CrossRef]
- Duarte, M.; Ferreira, C.; Khandpur, G.K.; Flohr, T.; Zimmermann, J.; Castro, H.; Herrmann, J.M.; Morgan, B.; Tomás, A.M. Leishmania Type II Dehydrogenase Is Essential for Parasite Viability Irrespective of the Presence of an Active Complex I. Proc. Natl. Acad. Sci. USA 2021, 118, e2103803118. [Google Scholar] [CrossRef]
- Chibli, L.A.; Schmidt, T.J.; Nonato, M.C.; Calil, F.A.; Da Costa, F.B. Natural Products as Inhibitors of Leishmania Major Dihydroorotate Dehydrogenase. Eur. J. Med. Chem. 2018, 157, 852–866. [Google Scholar] [CrossRef]
- Rebouças-Silva, J.; Amorim, N.A.; Jesus-Santos, F.H.; De Lima, J.A.; Lima, J.B.; Berretta, A.A.; Borges, V.M. Leishmanicidal and Immunomodulatory Properties of Brazilian Green Propolis Extract (EPP-AF®) and a Gel Formulation in a Pre-Clinical Model. Front. Pharmacol. 2023, 14, 1013376. [Google Scholar] [CrossRef] [PubMed]
- Maquiaveli, C.C.; Lucon-Júnior, J.F.; Brogi, S.; Campiani, G.; Gemma, S.; Vieira, P.C.; Silva, E.R. Verbascoside Inhibits Promastigote Growth and Arginase Activity of Leishmania Amazonensis. J. Nat. Prod. 2016, 79, 1459–1463. [Google Scholar] [CrossRef] [PubMed]
- Da Silva, E.R.; Brogi, S.; Lucon-Júnior, J.F.; Campiani, G.; Gemma, S.; Maquiaveli, C.D.C. Dietary Polyphenols Rutin, Taxifolin and Quercetin Related Compounds Target Leishmania Amazonensis Arginase. Food Funct. 2019, 10, 3172–3180. [Google Scholar] [CrossRef] [PubMed]
- Cunningham, M.L.; Fairlamb, A.H. Trypanothione Reductase from Leishmania Donovani. Purification, Characterisation and Inhibition by Trivalent Antimonials. Eur. J. Biochem. 1995, 230, 460–468. [Google Scholar] [CrossRef]
- Zabala-Peñafiel, A.; Dias-Lopes, G.; Souza-Silva, F.; Miranda, L.F.C.; Conceição-Silva, F.; Alves, C.R. Assessing the Effect of Antimony Pressure on Trypanothione Reductase Activity in Leishmania (Viannia) Braziliensis. Biochimie 2023, 208, 86–92. [Google Scholar] [CrossRef]
- Carter, N.S.; Stamper, B.D.; Elbarbry, F.; Nguyen, V.; Lopez, S.; Kawasaki, Y.; Poormohamadian, R.; Roberts, S.C. Natural Products That Target the Arginase in Leishmania Parasites Hold Therapeutic Promise. Microorganisms 2021, 9, 267. [Google Scholar] [CrossRef]
- Almeida-Souza, F.; Taniwaki, N.N.; Amaral, A.C.F.; Souza, C.D.S.F.D.; Calabrese, K.D.S.; Abreu-Silva, A.L. Ultrastructural Changes and Death of Leishmania Infantum Promastigotes Induced by Morinda Citrifolia Linn. Fruit (Noni) Juice Treatment. Evid. Based Complement. Alternat. Med. 2016, 2016, 5063540. [Google Scholar] [CrossRef]
- Katsuno, K.; Burrows, J.N.; Duncan, K.; Van Huijsduijnen, R.H.; Kaneko, T.; Kita, K.; Mowbray, C.E.; Schmatz, D.; Warner, P.; Slingsby, B.T. Hit and Lead Criteria in Drug Discovery for Infectious Diseases of the Developing World. Nat. Rev. Drug Discov. 2015, 14, 751–758. [Google Scholar] [CrossRef]







| Samples | TPC (mg GAE/g) | TFC (mg QE/g) | DPPH• (%) |
|---|---|---|---|
| BCLR | 278 ± 18 b | 113 ± 4.8 a | 49 ± 0.1 a |
| MDRY | 528 ± 28 d | 318 ± 20 b | 25 ± 1.0 b |
| MNDA(1) | 126 ± 20 a | 76 ± 2.2 a | 29 ± 0.8 b,c |
| MNDA(2) | 105 ± 14 a | 23 ± 0.9 c | 31 ± 1.0 c |
| MRGT | 762 ± 31 c | 344 ± 16 b | 56 ± 1.4 d |
| Extract | L. amazonensis | MØ | RAW 264.7 | VERO | ERY | |||||
|---|---|---|---|---|---|---|---|---|---|---|
| IC50/PRO | IC50/AMA | CC50 ± SE | ISAMA | CC50 ± SE | ISAMA | CC50 ± SE | ISAMA | CC50 ± SE | ISAMA | |
| BCLR | 211 ± 18 b | 80 ± 16 b | 201 ± 24 b | 2.5 | 417 ± 18 a | 5.2 | 307 ± 6.4 b | 3.8 | 254 ± 24 a | 3.1 |
| MDRY | 154 ± 4.6 b | 20 ± 2.1 a | 644 ± 14 a | 32 | 481 ± 16 a | 24 | 425 ± 11 d | 21 | 663 ± 29 c | 33 |
| MNDA(1) | 337 ± 2.8 a | 22 ± 2.1 a | 580 ± 14 a | 26 | 419 ± 21 a | 19 | 240 ± 3.8 a | 11 | 402 ± 26 a | 18 |
| MNDA(2) | 327 ± 43 a | 75 ± 4.5 b | 220 ± 5.1 b | 2.9 | 432 ± 22 a | 5.8 | 296 ± 11 b | 3.9 | 710 ± 26 d | 9.5 |
| MRGT | 339 ± 34 a | 81 ± 12 b | n.d. | n.d. | 673 ± 58 b | 8.3 | 684 ± 9.1 c | 8.4 | 383 ± 13 a | 4.7 |
| SbIII | 144 ± 5.2 b | 70 ± 7.9 b | 104 ± 5.4 b | 1.5 | 128 ± 10 c | 1.8 | 61 ± 0.7 e | 0.9 | >400 | - |
Disclaimer/Publisher’s Note: The statements, opinions and data contained in all publications are solely those of the individual author(s) and contributor(s) and not of MDPI and/or the editor(s). MDPI and/or the editor(s) disclaim responsibility for any injury to people or property resulting from any ideas, methods, instructions or products referred to in the content. |
© 2025 by the authors. Licensee MDPI, Basel, Switzerland. This article is an open access article distributed under the terms and conditions of the Creative Commons Attribution (CC BY) license (https://creativecommons.org/licenses/by/4.0/).
Share and Cite
Sette, K.M.; Garcia, A.R.; Tinoco, L.W.; Pinheiro, A.S.; Rodrigues, I.A. Meliponini Geopropolis Extracts Induce ROS Production and Death in Leishmania amazonensis Promastigotes and Axenic Amastigotes In Vitro. Biology 2025, 14, 162. https://doi.org/10.3390/biology14020162
Sette KM, Garcia AR, Tinoco LW, Pinheiro AS, Rodrigues IA. Meliponini Geopropolis Extracts Induce ROS Production and Death in Leishmania amazonensis Promastigotes and Axenic Amastigotes In Vitro. Biology. 2025; 14(2):162. https://doi.org/10.3390/biology14020162
Chicago/Turabian StyleSette, Kamila M., Andreza R. Garcia, Luzineide W. Tinoco, Anderson S. Pinheiro, and Igor A. Rodrigues. 2025. "Meliponini Geopropolis Extracts Induce ROS Production and Death in Leishmania amazonensis Promastigotes and Axenic Amastigotes In Vitro" Biology 14, no. 2: 162. https://doi.org/10.3390/biology14020162
APA StyleSette, K. M., Garcia, A. R., Tinoco, L. W., Pinheiro, A. S., & Rodrigues, I. A. (2025). Meliponini Geopropolis Extracts Induce ROS Production and Death in Leishmania amazonensis Promastigotes and Axenic Amastigotes In Vitro. Biology, 14(2), 162. https://doi.org/10.3390/biology14020162

