Exogenous Hydrogen Sulfide Alleviates Low Temperature and Fluctuating-Light-Induced Photoinhibition of Photosystem I in Morus alba Through Enhanced Energy Dissipation and Antioxidant Defense
Simple Summary
Abstract
1. Introduction
2. Materials and Methods
2.1. Plant Material and Growth Conditions
2.2. Experimental Design and Treatments
2.3. Measurements of Photosynthetic Performance
2.3.1. Photosystem I (PSI)
2.3.2. Photosystem II (PSII)
2.4. Energy Dissipation and Gas Exchange
2.5. Antioxidant Enzyme Activity Assays
2.6. Photosynthetic Pigments
2.7. Statistical Analysis
3. Results
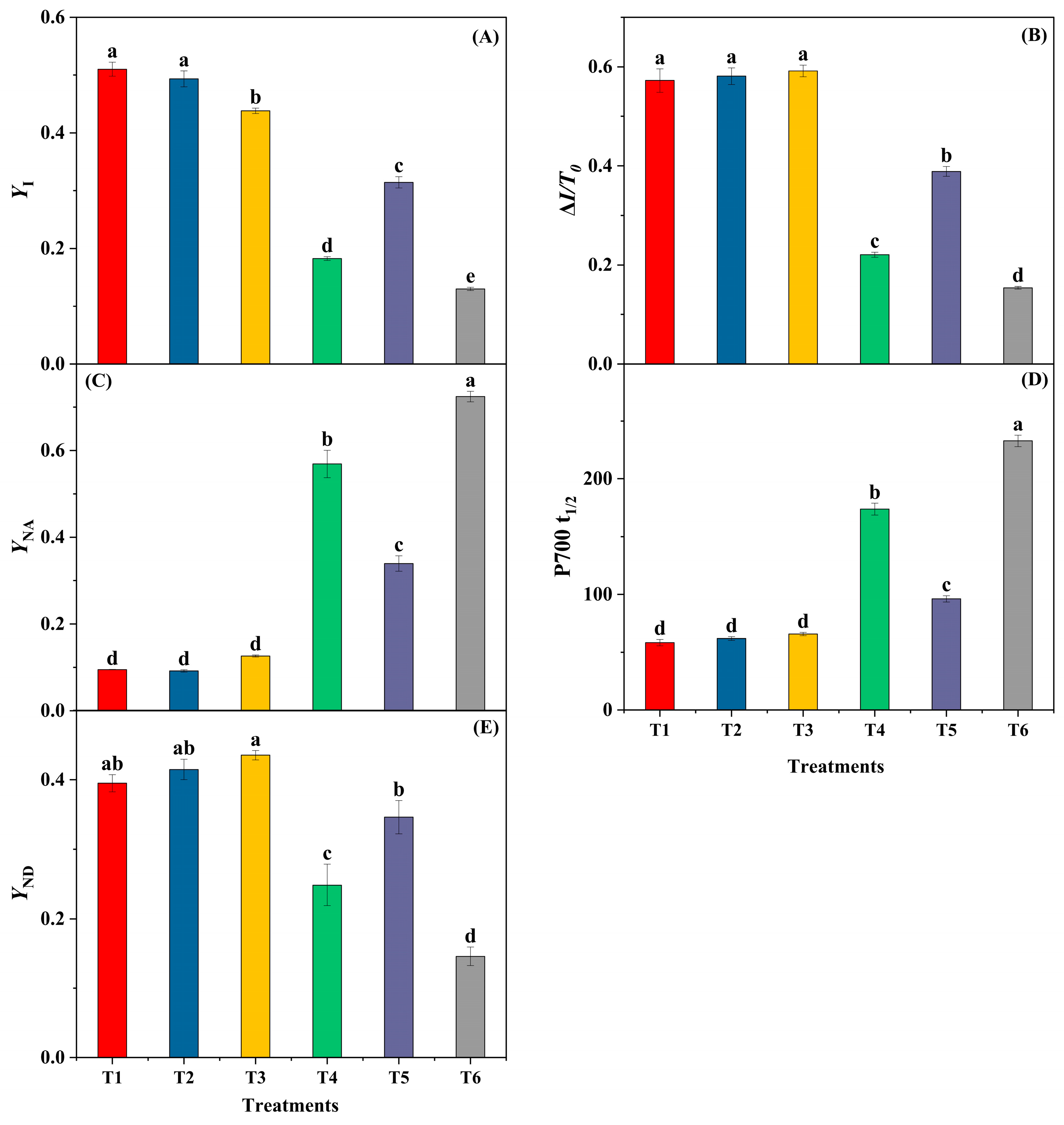
3.1. Exogenous H2S Alleviates the Inhibition of PSI Under Low Temperature and Fluctuating Light
3.2. Exogenous H2S Improves PSII Photochemical Performance
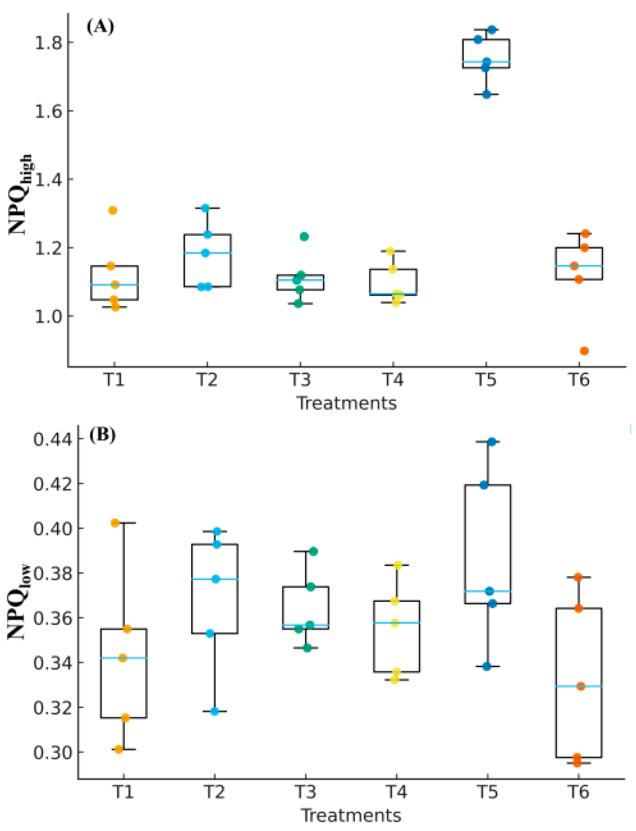
3.3. H2S Protects the Photosynthetic Apparatus by Enhancing Energy Dissipation During High Light
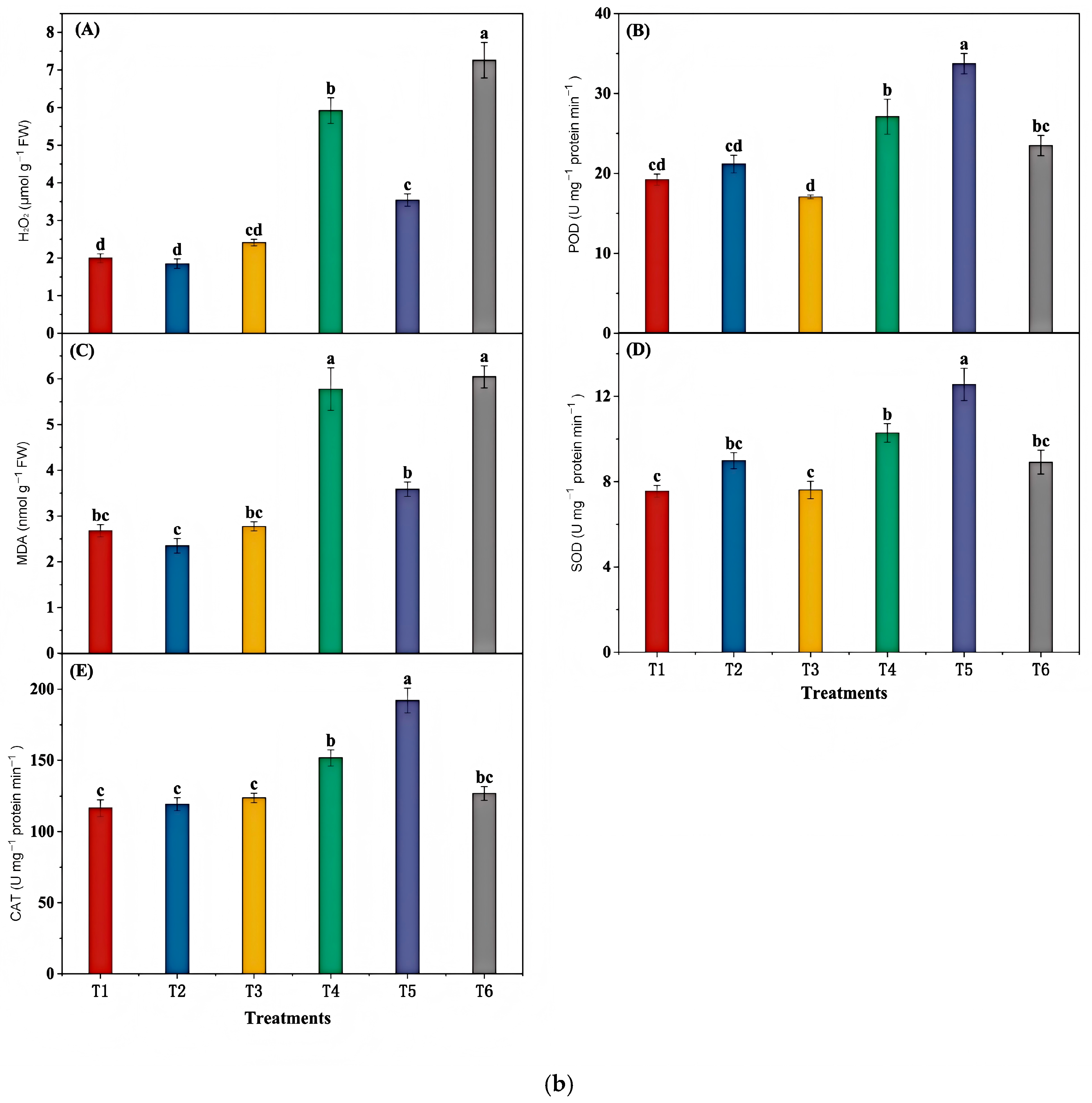
3.4. Exogenous H2S Improves Gas Exchange and Activates Antioxidant Defenses
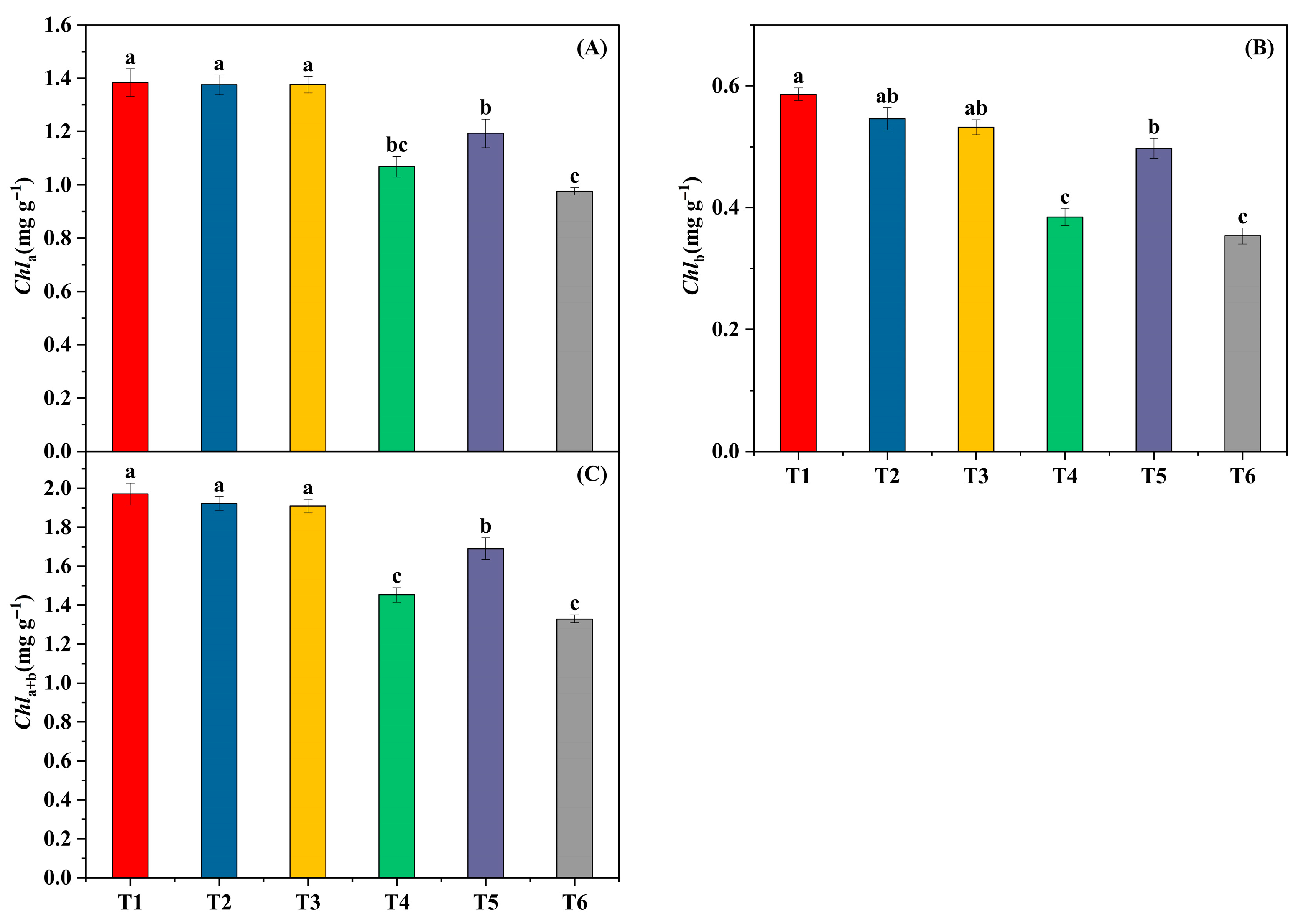
3.5. Effects of Exogenous H2S on Chlorophyll Content and Composition
3.6. Correlation Analysis
4. Discussion
4.1. Low-Temperature Fluctuating Light Primarily Impairs PSI Acceptor-Side Function in Mulberry
4.2. Exogenous H2S Alleviates PSI Over-Reduction Primarily by Enhancing NPQ-Mediated Energy Dissipation
4.3. Activation of the Antioxidant System Represents Another Key Pathway Whereby H2S Cooperatively Protects the Photosynthetic Apparatus
4.4. Recovery of PSI Performance Removes the Bottleneck, Re-Establishes Electron Transport, and Improves Carbon Assimilation
5. Conclusions
Supplementary Materials
Author Contributions
Funding
Institutional Review Board Statement
Informed Consent Statement
Data Availability Statement
Conflicts of Interest
Abbreviations
References
- Huner, N.P.A.; Öquist, G.; Sarhan, F. Energy balance and acclimation to light and cold. Trends Plant Sci. 1998, 3, 224–230. [Google Scholar] [CrossRef]
- Peng, X.; Teng, L.; Yan, X.; Zhao, M.; Shen, S. The cold responsive mechanism of the paper mulberry: Decreased photosynthesis capacity and increased starch accumulation. BMC Genom. 2015, 16, 204. [Google Scholar] [CrossRef] [PubMed]
- Sonoike, K. Photoinhibition of photosystem I. Physiol. Plant. 2011, 142, 56–64. [Google Scholar] [CrossRef] [PubMed]
- Tjus, S.E.; Møller, B.L.; Scheller, H.V. Photosystem I is an early target of photoinhibition in barley at chilling temperature. Plant Cell 1998, 10, 453–463. [Google Scholar]
- Yamori, W. Photosynthetic response to fluctuating environments. Plant Physiol. Biochem. 2016, 109, 3–12. [Google Scholar]
- Huang, W.; Yang, S.-J.; Zhang, S.-B. The water-water cycle mitigates PSI over-reduction under fluctuating light. Biochim. Biophys. Acta Bioenerg. 2019, 1860, 383–390. [Google Scholar] [CrossRef]
- Li, Z.-G. Hydrogen sulfide signaling in plant response to abiotic stress. Front. Plant Sci. 2024, 15, 1337250. [Google Scholar]
- Tang, X.; An, B.; Zhou, T.; Liu, X.; Ma, S.; Wei, C. Improving photosynthetic capacity, alleviating photoinhibition, and protecting photosystems by exogenous H2S in blueberry leaves under low temperature. Front. Plant Sci. 2020, 11, 108. [Google Scholar] [CrossRef]
- Wu, G.; Niu, X.; Chen, J.; Wu, C.; Li, Y.; Li, Y.; Li, S. Hydrogen sulfide alleviates oxidative damage under chilling stress through mitogen-activated protein kinase in tomato. Antioxidants 2024, 13, 323. [Google Scholar] [CrossRef]
- Zhang, X.; Fu, X.; Liu, F.; Wang, Y.; Bi, H.; Ai, X. Hydrogen sulfide improves the cold stress resistance through the CsARF5–CsDREB3 module in cucumber. Int. J. Mol. Sci. 2021, 22, 13229. [Google Scholar] [CrossRef]
- Song, X.; Zhu, L.; Wang, D.; Liang, L.; Xiao, J.; Tang, W.; Li, H. Molecular regulatory mechanism of exogenous hydrogen sulfide on pepper (Capsicum annuum) under low-temperature stress. Int. J. Mol. Sci. 2023, 24, 16337. [Google Scholar] [CrossRef] [PubMed]
- Raju, A.D.; Prasad, S.M. Hydrogen Sulfide Regulates NaCl Tolerance in Brinjal and Tomato Seedlings by Na⁺/K⁺ Homeostasis and Nitrogen Metabolism. Plant Stress 2023, 7, 100129. [Google Scholar] [CrossRef]
- Kaya, C.; Ugurlar, F.; Ashraf, M.; Alyemeni, M.N.; Bajguz, A.; Ahmad, P. The Involvement of Hydrogen Sulphide in Melatonin-Induced Tolerance to Arsenic Toxicity in Pepper (Capsicum annuum L.) Plants by Regulating Sequestration and Subcellular Distribution of Arsenic, and Antioxidant Defense System. Chemosphere 2022, 309 Pt 1, 136678. [Google Scholar] [CrossRef]
- Schreiber, U.; Klughammer, C. Analysis of PSI donor and acceptor side limitations by P700 kinetics with a deconvoluting LED-array spectrophotometer. Photosynth. Res. 2016, 128, 91–104. [Google Scholar]
- Klughammer, C.; Schreiber, U. Saturation Pulse Method for Assessment of Energy Conversion in PSI. PAM Appl. Notes 2008, 1, 11–14. [Google Scholar]
- Zhang, H.; Tu, Y.; Kang, J.; Song, W.; Zheng, L. Blue light dosage affects PSI/PSII yields and donor-/acceptor-side limitations (ΦPSI, ΦND, ΦNA). Photosynthetica 2021, 59, 578–589. [Google Scholar]
- Strasser, R.J.; Tsimilli-Michael, M.; Srivastava, A. Analysis of the chlorophyll a fluorescence transient (the JIP-test). In Chlorophyll a Fluorescence; Papageorgiou, G.C., Govindjee, Eds.; Springer: Dordrecht, The Netherlands, 2004; pp. 321–362. [Google Scholar]
- Bussotti, F.; Gerosa, G.; Digrado, A.; Pollastrini, M. Selecting chlorophyll fluorescence parameters (JIP-test) for stress detection. Ecol. Indic. 2020, 108, 105686. [Google Scholar] [CrossRef]
- Ripoll, J.; Bertin, N.; Bidel, L.P.R.; Urban, L. A user’s view of parameters derived from OJIP transients. Front. Plant Sci. 2016, 7, 1679. [Google Scholar]
- Maxwell, K.; Johnson, G.N. Chlorophyll fluorescence—A practical guide. J. Exp. Bot. 2000, 51, 659–668. [Google Scholar] [CrossRef]
- Liu, X.; Zhang, H.; Wang, J.; Wu, X.; Ma, S.; Xu, Z.; Zhou, T.; Xu, N.; Tang, X.; An, B. Increased CO2 concentrations improve PSII function and WUE of mulberry leaves under drought stress. J. Plant Interact. 2019, 14, 213–223. [Google Scholar] [CrossRef]
- Christou, A.; Manganaris, G.A.; Fotopoulos, V. Systemic mitigation of salt stress by H2O2 and SNP in strawberry via transcriptional regulation of antioxidants. Environ. Exp. Bot. 2014, 107, 46–54. [Google Scholar] [CrossRef]
- Baker, N.R. Chlorophyll fluorescence: A probe of photosynthesis in vivo. Annu. Rev. Plant Biol. 2008, 59, 89–113. [Google Scholar] [CrossRef] [PubMed]
- Kromdijk, J.; Głowacka, K.; Leonelli, L.; Gabilly, S.T.; Iwai, M.; Niyogi, K.K.; Long, S.P. Improving photosynthesis and crop productivity by accelerating recovery from photoprotection. Science 2016, 354, 857–861. [Google Scholar] [CrossRef] [PubMed]
- Hancock, J.T.; Whiteman, M. Hydrogen sulfide and cell signaling: Team player or referee? Plant Physiol. Biochem. 2014, 78, 37–42. [Google Scholar] [CrossRef]
- Takizawa, K.; Cruz, J.A.; Kanazawa, A.; Kramer, D.M. The thylakoid proton motive force in vivo: Quantitative, non-invasive probes, energetics, and regulatory consequences of light-induced pmf. Biochim. Biophys. Acta 2007, 1767, 1233–1244. [Google Scholar] [CrossRef]
- Cruz, J.A.; Avenson, T.J.; Kanazawa, A.; Takizawa, K.; Edwards, G.E.; Kramer, D.M. Plasticity in light reactions of photosynthesis for energy production and photoprotection. Biochemistry 2001, 40, 1226–1237. [Google Scholar] [CrossRef]
- Shimakawa, G.; Miyake, C. Oxidation of P700 ensures robust photosynthesis. Front. Plant Sci. 2018, 9, 1617. [Google Scholar] [CrossRef]
- Liu, Z.; Liu, Y.; Liao, W. Hydrogen sulfide in the oxidative stress response of plants: Crosstalk with reactive oxygen species. Int. J. Mol. Sci. 2024, 25, 1935. [Google Scholar] [CrossRef]
- Aroca, Á.; Gotor, C.; Romero, L.C. S-sulfhydration: A cysteine post-translational modification in plant H2S signaling. Front. Plant Sci. 2015, 6, 196. [Google Scholar]
- Ermakova, M.; Lopez-Calcagno, P.E.; Raines, C.; Furbank, R.; von Caemmerer, S. Overexpression of the Rieske FeS protein of the cytochrome b6f complex increases C4 photosynthesis in Setaria viridis. Plant Biotechnol. J. 2019, 17, 1685–1697. [Google Scholar] [CrossRef]
- Lempiäinen, T.; Mattila, H.; Tyystjärvi, E.; Tikkanen, M. Plants acclimate to PSI photoinhibition by readjusting the photosynthetic machinery. Plant Cell Environ. 2022, 45, 1931–1948. [Google Scholar] [CrossRef]








| Treatment | |
|---|---|
| T1 | RT + CK |
| T2 | RT + NaHS |
| T3 | RT + Hypo |
| T4 | LT + FL + CK |
| T5 | LT + FL + NaHS |
| T6 | LT + FL + Hypo |
Disclaimer/Publisher’s Note: The statements, opinions and data contained in all publications are solely those of the individual author(s) and contributor(s) and not of MDPI and/or the editor(s). MDPI and/or the editor(s) disclaim responsibility for any injury to people or property resulting from any ideas, methods, instructions or products referred to in the content. |
© 2025 by the authors. Licensee MDPI, Basel, Switzerland. This article is an open access article distributed under the terms and conditions of the Creative Commons Attribution (CC BY) license (https://creativecommons.org/licenses/by/4.0/).
Share and Cite
Wei, X.; Zhang, J.; Sun, M.; Xu, N. Exogenous Hydrogen Sulfide Alleviates Low Temperature and Fluctuating-Light-Induced Photoinhibition of Photosystem I in Morus alba Through Enhanced Energy Dissipation and Antioxidant Defense. Biology 2025, 14, 1582. https://doi.org/10.3390/biology14111582
Wei X, Zhang J, Sun M, Xu N. Exogenous Hydrogen Sulfide Alleviates Low Temperature and Fluctuating-Light-Induced Photoinhibition of Photosystem I in Morus alba Through Enhanced Energy Dissipation and Antioxidant Defense. Biology. 2025; 14(11):1582. https://doi.org/10.3390/biology14111582
Chicago/Turabian StyleWei, Xiaowei, Ju Zhang, Mingyue Sun, and Nan Xu. 2025. "Exogenous Hydrogen Sulfide Alleviates Low Temperature and Fluctuating-Light-Induced Photoinhibition of Photosystem I in Morus alba Through Enhanced Energy Dissipation and Antioxidant Defense" Biology 14, no. 11: 1582. https://doi.org/10.3390/biology14111582
APA StyleWei, X., Zhang, J., Sun, M., & Xu, N. (2025). Exogenous Hydrogen Sulfide Alleviates Low Temperature and Fluctuating-Light-Induced Photoinhibition of Photosystem I in Morus alba Through Enhanced Energy Dissipation and Antioxidant Defense. Biology, 14(11), 1582. https://doi.org/10.3390/biology14111582

