High Diversity and Spatiotemporal Dynamics of Silica-Scaled Chrysophytes (Class Chrysophyceae) in Reservoirs of the Angara Cascade of Hydroelectric Dams
Simple Summary
Abstract
1. Introduction
2. Materials and Methods
2.1. Site Description
2.2. Sampling and Microscopy
2.3. Geographical Distribution
2.4. Statistical Analysis
3. Results
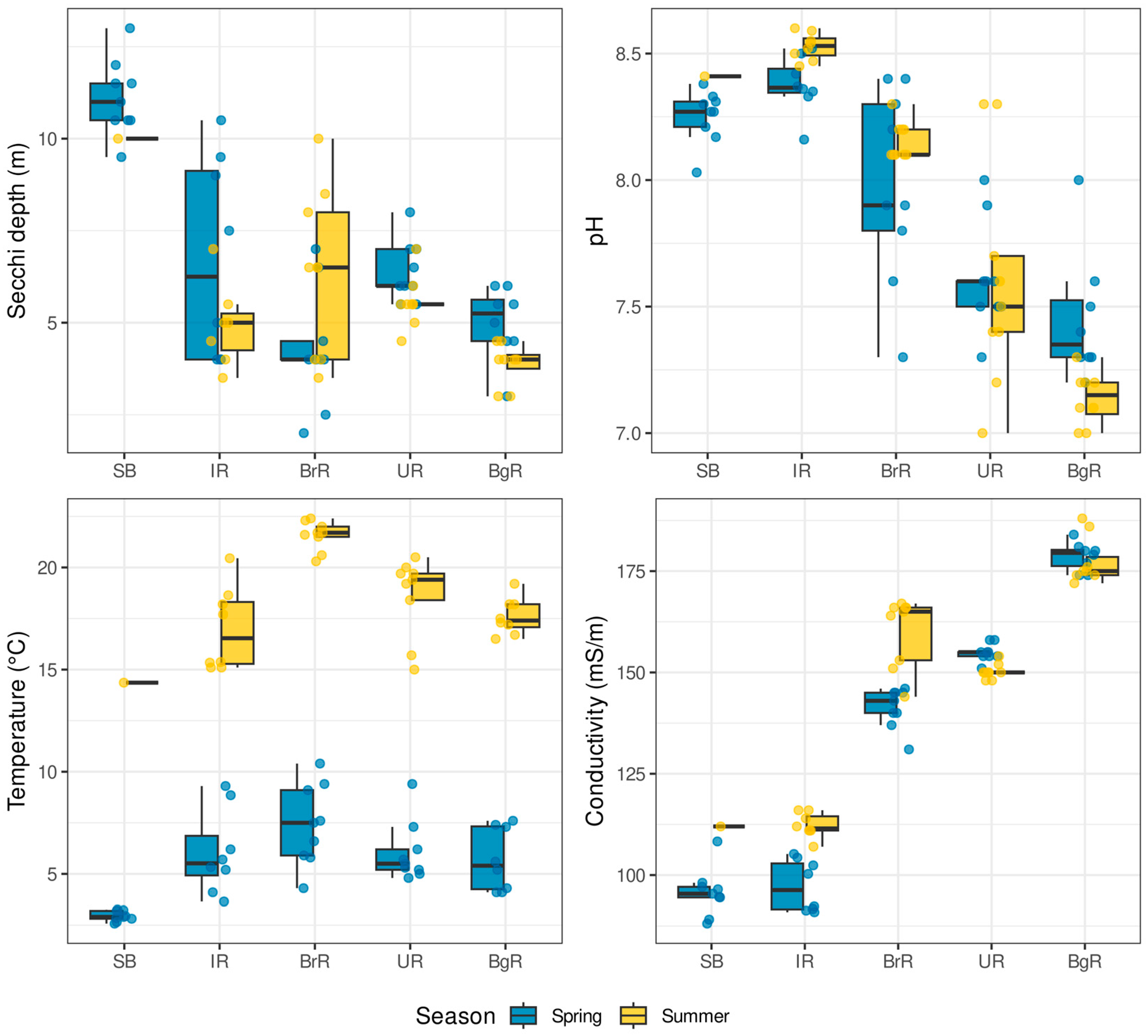
3.1. Water Parameters
3.2. Seasonal Dynamics of Silica-Scaled Chrysophytes
3.3. Community Clustering and Ordination
3.4. Rare Species and Morphological Features of Individual Species
4. Discussion
4.1. Species Diversity
4.2. Spatial and Temporal Gradients of Environmental Factors and Dynamics of Silica-Scaled Chrysophytes
4.3. Features of the Formation of the Species Composition in the Reservoirs of the Angara Cascade
5. Conclusions
Supplementary Materials
Author Contributions
Funding
Institutional Review Board Statement
Informed Consent Statement
Data Availability Statement
Acknowledgments
Conflicts of Interest
References
- Kristiansen, J. Cosmopolitan chrysophytes. Syst. Geog. Plants 2000, 70, 291–300. [Google Scholar] [CrossRef]
- Kristiansen, J. Dispersal and biogeography of silica-scaled chrysophytes. Biodiv. Conserv. 2008, 17, 419–426. [Google Scholar] [CrossRef]
- Voloshko, L.N. Golden Algae of Waters of North Russia; Komarov Botanical Institute of the Russian Academy of Sciences: St. Petersburg, Russia, 2017; 378p. (In Russian) [Google Scholar]
- Wolfe, A.P.; Siver, P.A. A hypothesis linking chrysophyte microfossils to lake carbon dynamics on ecological and evolutionary time scales. Glob. Planetary Change 2013, 111, 189–198. [Google Scholar] [CrossRef]
- Mushet, G.R.; Laird, K.R.; Das, B.; Hesjedal, B.; Leavitt, P.R.; Scott, K.A.; Simpson, G.L.; Wissel, B.; Wolfe, J.D.; Cumming, B.F. Regional climate changes drive increased scaled-chrysophyte abundance in lakes downwind of Athabasca Oil Sands nitrogen emissions. J. Paleolimnol. 2017, 58, 419–435. [Google Scholar] [CrossRef]
- Siver, P.A. Distribution of scaled chrysophytes in 17 Adirondack (New York) lakes with special reference to pH. Can. J. Bot. 1988, 66, 1391–1403. [Google Scholar] [CrossRef]
- Siver, P.A. The distribution of scaled chrysophytes along a pH gradient. Can. J. Bot. 1989, 67, 2120–2130. [Google Scholar] [CrossRef]
- Siver, P.A.; Hamer, J.S. Multivariate statistical analysis of the factors controlling the distribution of scaled Chrysophytes. Limnol. Oceaogr. 1989, 34, 368–381. [Google Scholar] [CrossRef]
- Siver, P.A. Inferring Lake water specific conductivity with scaled chrysophytes. Limnol. Oceanogr. 1993, 38, 1480–1492. [Google Scholar] [CrossRef]
- Stevenson, R.J.; Smol, J.P. Use of algae in ecological assessments. In Freshwater Algae of North America, 2nd ed.; Wehr, D., Sheath, R.G., Kociolek, J.P., Eds.; Academic Press: London, UK, 2015; pp. 921–962. [Google Scholar]
- Siver, P.A. The Synurophyceae. In Freshwater Algae of North America: Ecology and Classification, 2nd ed.; Wehr, D., Sheath, R.G., Kociolek, J.P., Eds.; Academic Press: London, UK, 2015; pp. 605–650. [Google Scholar]
- Arseneau, K.M.A.; Driscoll, C.T.; Cummings, C.M.; Pope, G.; Cumming, B.F. Adirondack (NY, USA) reference lakes show a pronounced shift in chrysophyte species composition since ca. 1900. J. Paleolimnol. 2016, 56, 349–364. [Google Scholar] [CrossRef]
- Sandgren, C.D.; Smol, J.P.; Kristiansen, J. Chrysophyte Algae: Ecology, Phylogeny and Development; Cambridge University Press: New York, NY, USA, 1995; p. 399. [Google Scholar]
- Kristiansen, J.; Škaloud, P. Chrysophyta. Handbook of the Protists, 2nd ed.; Archibald, J.M., Simpson, A.G.B., Slamovits, C.H., Eds.; Springer International Publishing: Cham, Switzerland, 2016; pp. 1–38. [Google Scholar] [CrossRef]
- Olsen, N.E.; Poulsen, L.K.; Reuss, N.; Steinarsdottir, S.S. A new subspecies of Paraphysomonas punctata (Paraphysomonadaceae, Chrysophyceae). Nord. J. Bot. 1999, 19, 635–640. [Google Scholar] [CrossRef]
- Scoble, J.M.; Cavalier-Smith, T. Scale evolution in Paraphysomonadida (Chrysophyceae): Sequence phylogeny and revised taxonomy of Paraphysomonas, new genus Clathromonas, and 25 new species. Eur. J. Protistol. 2014, 50, 551–592. [Google Scholar] [CrossRef]
- Škaloud, P.; Kristiansen, J.; Škaloudová, M. Developments in the taxonomy of silica-scaled chrysophytes—From morphological and ultrastructural to molecular approaches. Nord. J. Bot. 2013, 31, 385–402. [Google Scholar] [CrossRef]
- Grachev, M.A. On Recent State of Ecological System of Lake Baikal; SB RAS: Novosibirsk, Russia, 2002; p. 153. (In Russian) [Google Scholar]
- Bessudova, A.; Galachyants, Y.; Firsova, A.; Hilkhanova, D.; Marchenkov, A.; Nalimova, M.; Sakirko, M.; Likhoshway, Y. Seasonal dynamics of the silica-scaled chrysophytes as potential markers of climate change in Natural model: Deep cold lake—Shallow warmer reservoir. Sustainability 2024, 16, 7299. [Google Scholar] [CrossRef]
- Sinyukovich, V.N.; Sorokovikova, L.M. Physical and geographical characteristics of the basin of Lake Baikal and the Angara River. In An Annotated List of the Fauna of Lake Baikal and its Drainage Basin (Basins and Channels in the South of East Siberia and North Mongolia), 2nd ed.; Nauka: Novosibirsk, Russia, 2009; pp. 22–36. (In Russian) [Google Scholar]
- Federal Agency of Water Resources (Rosvodresursy). Available online: https://voda.gov.ru/ (accessed on 5 May 2025).
- Belykh, F.I.; Znamenskii, V.A. Hydrometeorological Regime of Lakes and Reservoirs of the USSR; Bratsk Reservoir; Gidrometeoizdat: Leningrad, Russia, 1978; p. 166. (In Russian) [Google Scholar]
- Verbolov, V.I. Currents and water exchange in Lake Baikal. Russ. Water Resour. 1996, 23, 381–391. [Google Scholar]
- Firsova, A.; Galachyants, Y.; Bessudova, A.; Hilkhanova, D.; Titova, L.; Nalimova, M.; Buzevich, V.; Marchenkov, A.; Sakirko, M.; Likhoshway, Y. The influence of waters of Lake Baikal on the spatiotemporal dynamics of phytoplankton in the Irkutsk Reservoir. Water 2024, 16, 3284. [Google Scholar] [CrossRef]
- Ivanov, I.N. Angara Hydropower and the Natural Environment; Nauka: Novosibirsk, Russia, 1991; p. 129. (In Russian) [Google Scholar]
- Efimov, D.Y. Biodiversity of forest ecosystems of the coastal territories of the Ust-Ilimsk Reservoir. Actual Probl. For. Complex 2008, 1, 93–96. (In Russian) [Google Scholar]
- Beglyarova, E.S.; Sokolova, S.A.; Bakshtanin, A.M.; Matveeva, T.I. Assessment of the fishery situation in the zone of the Angara Cascade influence. Prir. (Environ. Eng.) 2020, 1, 111–119. (In Russian) [Google Scholar] [CrossRef]
- Oksanen, J.; Simpson, G.L.; Blanchet, G.F.; Kindt, R.; Legendre, P.; Minchin, P.R.; O’Hara, R.B.; Solymos, P.; Stevens, M.H.H.; Szoecs, E.; et al. Vegan: Community Ecology Package. R Package Version 2.5–6. 2022. Available online: https://CRAN.R-project.org/package=vegan (accessed on 25 May 2025).
- Bodenhofer, U.; Kothmeier, A.; Hochreiter, S. APCluster: An R package for affinity propagation clustering. Bioinformatics 2011, 27, 2463–2464. [Google Scholar] [CrossRef]
- Takahashi, E. Studies on genera Mallomonas and Synura and other plankton in freshwater with the electron microscope. VII. New genus Spiniferomonas of the Synuraceae (Chrysophyceae). Bot. Mag. (Tokyo) 1973, 86, 75–88. [Google Scholar] [CrossRef]
- Hällfors, G.; Hällfors, S. Records of chrysophytes with siliceous scales (Mallomonadaceae and Paraphysomonadaceae) from Finnish innland waters. Hydrobiologia 1988, 161, 1–29. [Google Scholar] [CrossRef]
- Eloranta, P. Notes on the scaled chrysophytes (Synuraceae, Chrysophyceae) in small lake in and near Salamasajärvi Ntional Park western Finland. Mem. Soc. Fauna Flora Fenn. 1985, 61, 77–83. [Google Scholar]
- Eloranta, P. Scaled chrysophytes (Chrysophyceae and Synurophyceae) from national park lakes in southern and central Finland. Nord. J. Bot. 1989, 8, 671–681. [Google Scholar] [CrossRef]
- Ikävalko, J. Contribution to the flora of silica-scaled flagellates in Mikkeli, central Finland. Nova Hedw. 1994, 58, 475–505. [Google Scholar]
- Kristiansen, J. Studies on the chrysophyceae of Bornholm II. Bot. Tidsskr. 1978, 73, 71–85. [Google Scholar]
- Siver, P.A. The distribution and ecology of Spiniferomonas (Chrysophyceae) in Connecticut (USA). Nord. J. Bot. 1988, 8, 205–212. [Google Scholar] [CrossRef]
- Voloshko, L.N. Species of the genus Spiniferomonas (Chrysophyceae, Paraphysomonadaceae) in waterbodies of North Russia. Bot. Zhurn. 2013, 98, 848–867. (In Russian) [Google Scholar]
- Bessudova, A.; Bukin, Y.S.; Sorokovikova, L.M.; Firsova, A.D.; Tomberg, I.V. Silica-scaled chrysophytes in small lakes of the lower Yenisei basin, the Arctic. Nova Hedw. 2018, 107, 315–336. [Google Scholar] [CrossRef]
- Thomsen, H.A.; Zimmermann, B.; Moestrup, Ø.; Kristiansen, J. Some new freshwater species of Paraphysomonas (Chrysophyceae). Nord. J. Bot. 1981, 1, 559–581. [Google Scholar] [CrossRef]
- Preisig, H.R.; Hibberd, D.J. Ultrastructure and taxonomy of Paraphysomonas and related genera 3. Nord. J. Bot. 1983, 3, 695–723. [Google Scholar] [CrossRef]
- Ikavalko, J. Observations on silica-scaled flagellates (Chrysophyceae and Synurophyceae) in the brackish water of Pojo Bay, SW coast of Finland. Ann. Bot. Fennici. 1994, 31, 1–27. [Google Scholar]
- Roijackers, R.M.M.; Kessels, H. Chrysophyceae from freshwater localities near Nijmegen, the Netherlands. Hydrobiologia 1981, 80, 231–239. [Google Scholar] [CrossRef]
- Hallfors, G. Checklist of Baltic Sea phytoplankton species (including some heterotrophic protistan groups). Balt. Sea Environ. Proc. 2004, 95, 1–208. [Google Scholar]
- Ignatenko, M.E.; Yatsenko-Stepanova, T.N.; Mindolina, Y.; Nasyrova, M.A. Contribution to the flora of Chrysophytes (Chrysophyceae: Chromulinales, Paraphysomonadales) of the waterbodies of the steppe zone (Orenburg region). Bot. Zhurn. 2024, 109, 484–501. [Google Scholar] [CrossRef]
- Bessudova, A.Y.; Tomberg, I.V.; Firsova, A.D.; Kopyrina, L.I.; Likhoshway, Y.V. Silica-scaled chrysophytes in lakes Labynkyr and Vorota of the Sakha (Yakutia) Republic, Russia. Nova Hedw. Beih. 2019, 148, 35–48. [Google Scholar] [CrossRef] [PubMed]
- Popovskaya, G.I.; Firsova, A.D.; Bessudova, A.; Sakirko, M.V.; Suturin, A.N.; Likhoshway, Y.V. Phytoplankton of the Irkutsk Reservoir as an indicator of water quality. Oceanol. Hydrobiol. Stud. 2012, 41, 29–38. [Google Scholar] [CrossRef]
- Vorobyova, S.S. Phytoplankton of the Angara River; Nauka: Novosibirsk, Russia, 1995; p. 126. (In Russian) [Google Scholar]
- Bessudova, A.Y.; Likhoshway, Y.V. Scaled chrysophytes (Chrysophytes) of the Boguchany Reservoir. Mod. Sci. Actual Probl. Theory Pract. Ser. Nat. Tech. Sci. (Gen. Biol.) 2017, 11, 4–11. [Google Scholar]
- Bessudova, A.; Galachyants, Y.; Firsova, A.; Hilkhanova, D.; Nalimova, M.; Marchenkov, A.; Mikhailov, I.; Sakirko, M.; Likhoshway, Y. Changes in diversity of silica-scaled chrysophytes during lake–river–reservoir transition (Baikal-Angara-Irkutsk Reservoir). Life 2023, 13, 2052. [Google Scholar] [CrossRef]
- Bessudova, A.; Firsova, A.D.; Likhoshway, Y. Stomatocyst Spiniferomonas minuta Nicholls and the extent of morphological diversity of stomatocysts among species of the genus Spiniferomonas E. Takahashi (Chrysophyceae). Phytotaxa 2025, in press. [Google Scholar]
- Firsova, A.D.; Bessudova, A.; Likhoshway, Y. New data on the ultrastructure of stomatocysts of Paraphysomonas circumvallata and P. corynephora (Chrysophyceae, Paraphysomonadales). Europ. J. Protist. 2025, in press. [Google Scholar]
- Bessudova, A.; Likhoshway, Y.V.; Firsova, A.D.; Mitrofanova, E.; Koveshnikov, M.; Soromotin, A.V.; Khoroshavin, V.; Kirillov, V. Small organisms in a large river: What provides the high diversity of scaled chrysophytes in the Ob River? Water 2023, 15, 3054. [Google Scholar] [CrossRef]
- Bessudova, A.Y.; Firsova, A.D.; Galachyants, Y.P.; Petrova, D.P.; Nalimova, M.A.; Sakirko, M.V.; Likhoshway, Y.V. Influence of tributaries on the species richness of silica-scaled chrysophytes in the Angara River. Acta Biol. Sib. 2025, in press. [Google Scholar]
- Bessudova, A.; Sorokovikova, L.M.; Tomberg, I.V.; Likhoshway, Y.V. Silica-scaled chrysophytes in large tributaries of Lake Baikal. Cryptogam. Algol. 2018, 39, 145–165. [Google Scholar] [CrossRef]
- Bessudova, A.Y.; Sorokovikova, L.M.; Sinyukovich, V.N.; Firsova, A.D.; Tomberg, I.V.; Likhoshway, E.V. Effects of water levels on species diversity of silica-scaled chrysophytes in large tributaries of Lake Baikal. Acta Biol. Sib. 2020, 6, 11–32. [Google Scholar] [CrossRef]
- Bessudova, A.Y.; Gabyshev, V.A.; Firsova, A.D.; Gabysheva, O.I.; Bukin, Y.S.; Likhoshway, Y.V. Diversity of silica-scaled chrysophytes and physicochemical parameters of their environment in the estuaries of rivers in the Arctic watershed of Yakutia, Russia. Sustainability 2021, 13, 13768. [Google Scholar] [CrossRef]
- Siver, P.A.; Vigna, M.S. The distribution of scaled chrysophytes in the delta region of the Parana River, Argentina. Nova Hedwig. 1997, 64, 421–453. [Google Scholar] [CrossRef]
- Preisig, H.R.; Hibberd, D.J. Ultrastructure and taxonomy of Paraphysomonas (Chysophyceae) and related genera 1. Nord. J. Bot. 1982, 2, 397–420. [Google Scholar]
- Preisig, H.R.; Hibberd, D.J. Ultrastructure and taxonomy of Paraphysomonas and related genera 2. Nord. J. Bot. 1982, 2, 601–638. [Google Scholar] [CrossRef]















Disclaimer/Publisher’s Note: The statements, opinions and data contained in all publications are solely those of the individual author(s) and contributor(s) and not of MDPI and/or the editor(s). MDPI and/or the editor(s) disclaim responsibility for any injury to people or property resulting from any ideas, methods, instructions or products referred to in the content. |
© 2025 by the authors. Licensee MDPI, Basel, Switzerland. This article is an open access article distributed under the terms and conditions of the Creative Commons Attribution (CC BY) license (https://creativecommons.org/licenses/by/4.0/).
Share and Cite
Bessudova, A.; Galachyants, Y.; Firsova, A.; Marchenkov, A.; Tanichev, A.; Petrova, D.; Likhoshway, Y. High Diversity and Spatiotemporal Dynamics of Silica-Scaled Chrysophytes (Class Chrysophyceae) in Reservoirs of the Angara Cascade of Hydroelectric Dams. Biology 2025, 14, 1325. https://doi.org/10.3390/biology14101325
Bessudova A, Galachyants Y, Firsova A, Marchenkov A, Tanichev A, Petrova D, Likhoshway Y. High Diversity and Spatiotemporal Dynamics of Silica-Scaled Chrysophytes (Class Chrysophyceae) in Reservoirs of the Angara Cascade of Hydroelectric Dams. Biology. 2025; 14(10):1325. https://doi.org/10.3390/biology14101325
Chicago/Turabian StyleBessudova, Anna, Yuri Galachyants, Alena Firsova, Artyom Marchenkov, Andrey Tanichev, Darya Petrova, and Yelena Likhoshway. 2025. "High Diversity and Spatiotemporal Dynamics of Silica-Scaled Chrysophytes (Class Chrysophyceae) in Reservoirs of the Angara Cascade of Hydroelectric Dams" Biology 14, no. 10: 1325. https://doi.org/10.3390/biology14101325
APA StyleBessudova, A., Galachyants, Y., Firsova, A., Marchenkov, A., Tanichev, A., Petrova, D., & Likhoshway, Y. (2025). High Diversity and Spatiotemporal Dynamics of Silica-Scaled Chrysophytes (Class Chrysophyceae) in Reservoirs of the Angara Cascade of Hydroelectric Dams. Biology, 14(10), 1325. https://doi.org/10.3390/biology14101325

