Generalized Ketogenic Diet Induced Liver Impairment and Reduced Probiotics Abundance of Gut Microbiota in Rat
Simple Summary
Abstract
1. Introduction
2. Materials and Methods
2.1. Ethics Statement
2.2. Animals and Diets
2.3. Metabolizable Energy Determination
2.4. Preparation of Tissue and Serum Sample
2.5. Analysis of Serum
2.6. 16S rRNA Sequencing
2.7. Statistical Analysis
3. Results
3.1. Response of Growth Performance, Tissue Weight, and Colon Length Changes to Different Dietary Fat/Carbohydrate Ratios
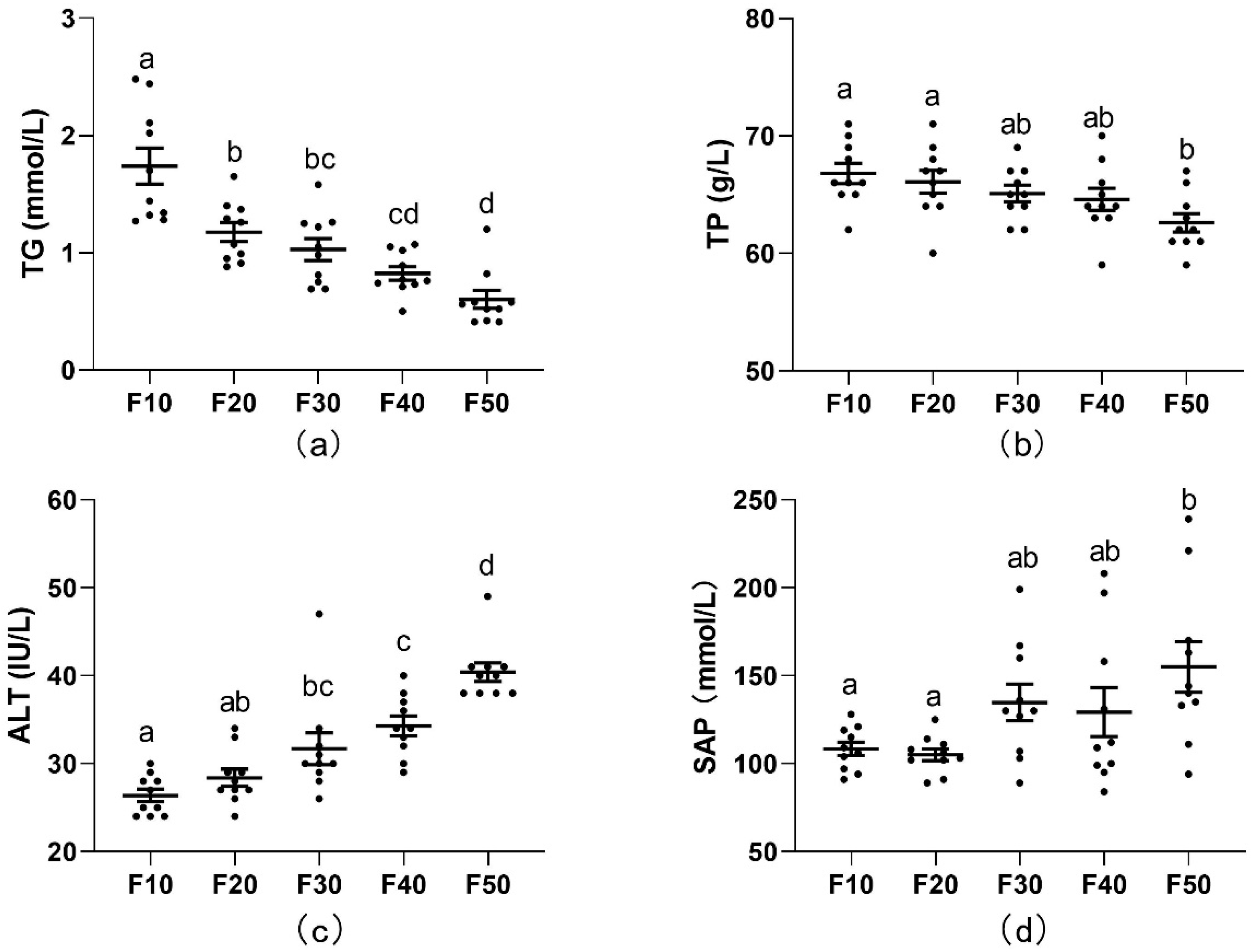
3.2. Response of Liver Impairment to Different Dietary Fat/Carbohydrate Ratio
3.3. Response of Relative Abundance and Composition of Gut Flora to Different Dietary Fat/Carbohydrate Ratios
4. Discussion
5. Conclusions
Supplementary Materials
Author Contributions
Funding
Institutional Review Board Statement
Informed Consent Statement
Data Availability Statement
Acknowledgments
Conflicts of Interest
References
- Miranda, M.J.; Turner, Z.; Magrath, G. Alternative diets to the classical ketogenic diet--can we be more liberal? Epilepsy Res. 2012, 100, 278–285. [Google Scholar] [CrossRef] [PubMed]
- Payne, N.E.; Cross, J.H.; Sander, J.W.; Sisodiya, S.M. The ketogenic and related diets in adolescents and adults-A review. Epilepsia 2011, 52, 1941–1948. [Google Scholar] [CrossRef] [PubMed]
- Kossoff, E.H.; Hartman, A.L. Ketogenic diets: New advances for metabolism-based therapies. Curr. Opin. Neurol. 2012, 25, 173–178. [Google Scholar] [CrossRef] [PubMed]
- Di Lorenzo, C.; Pinto, A.; Ienca, R.; Coppola, G.; Sirianni, G.; Di Lorenzo, G.; Parisi, V.; Serrao, M.; Spagnoli, A.; Vestri, A.; et al. A Randomized Double-Blind, Cross-Over Trial of very Low-Calorie Diet in Overweight Migraine Patients: A Possible Role for Ketones? Nutrients 2019, 11, 1742. [Google Scholar] [CrossRef]
- Joshi, S.; Ostfeld, R.J.; McMacken, M. The Ketogenic Diet for Obesity and Diabetes-Enthusiasm Outpaces Evidence. JAMA Intern. Med. 2019, 179, 1163–1164. [Google Scholar] [CrossRef]
- Paoli, A.; Bianco, A.; Grimaldi, K.A.; Lodi, A.; Bosco, G. Long term successful weight loss with a combination biphasic ketogenic Mediterranean diet and Mediterranean diet maintenance protocol. Nutrients 2013, 5, 5205–5217. [Google Scholar] [CrossRef]
- Buechert, M.; Lange, T.; Deibert, P.; Urbain, P. In Vivo Fat Quantification: Monitoring Effects of a 6-Week Non-Energy-Restricted Ketogenic Diet in Healthy Adults Using MRI, ADP and BIA. Nutrients 2020, 12, 244. [Google Scholar] [CrossRef]
- Handley, R.T.; Bentley, R.E.; Brown, T.L.; Annan, A.A. Successful treatment of obesity and insulin resistance via ketogenic diet status post Roux-en-Y. BMJ Case Rep. 2018, 2018, bcr2018225643. [Google Scholar] [CrossRef]
- Bolla, A.M.; Caretto, A.; Laurenzi, A.; Scavini, M.; Piemonti, L. Low-Carb and Ketogenic Diets in Type 1 and Type 2 Diabetes. Nutrients 2019, 11, 962. [Google Scholar] [CrossRef]
- Mavropoulos, J.C.; Yancy, W.S.; Hepburn, J.; Westman, E.C. The effects of a low-carbohydrate, ketogenic diet on the polycystic ovary syndrome: A pilot study. Nutr. Metab. 2005, 2, 35. [Google Scholar] [CrossRef]
- Zhang, J.; Jia, P.P.; Liu, Q.L.; Cong, M.H.; Gao, Y.; Shi, H.P.; Yu, W.N.; Miao, M.Y. Low ketolytic enzyme levels in tumors predict ketogenic diet responses in cancer cell lines in vitro and in vivo. J. Lipid Res. 2018, 59, 625–634. [Google Scholar] [CrossRef] [PubMed]
- Morscher, R.J.; Aminzadeh-Gohari, S.; Feichtinger, R.G.; Mayr, J.A.; Lang, R.; Neureiter, D.; Sperl, W.; Kofler, B. Inhibition of Neuroblastoma Tumor Growth by Ketogenic Diet and/or Calorie Restriction in a CD1-Nu Mouse Model. PLoS ONE 2015, 10, e0129802. [Google Scholar] [CrossRef] [PubMed]
- Talib, W.H. A ketogenic diet combined with melatonin overcomes cisplatin and vincristine drug resistance in breast carcinoma syngraft. Nutrition 2019, 72, 110659. [Google Scholar] [CrossRef] [PubMed]
- O’Neill, B.; Raggi, P. The ketogenic diet: Pros and cons. Atherosclerosis 2020, 292, 119–126. [Google Scholar] [CrossRef] [PubMed]
- Brooks, S.; Mongeau, R. DIETARY FIBER|Energy Value. In Encyclopedia of Food Sciences and Nutrition, 2nd ed.; Caballero, B., Ed.; Academic Press: Oxford, UK, 2003; pp. 1850–1859. [Google Scholar]
- Wang, W.; Pan, Y.; Wang, L.; Zhou, H.; Song, G.; Wang, Y.; Liu, J.; Li, A. Optimal Dietary Ferulic Acid for Suppressing the Obesity-Related Disorders in Leptin-Deficient Obese C57BL/6J-ob/ob Mice. J. Agric. Food Chem. 2019, 67, 4250–4258. [Google Scholar] [CrossRef]
- Bueno, N.B.; de Melo, I.S.; de Oliveira, S.L.; da Rocha Ataide, T. Very-low-carbohydrate ketogenic diet v. low-fat diet for long-term weight loss: A meta-analysis of randomised controlled trials. Br. J. Nutr. 2013, 110, 1178–1187. [Google Scholar] [CrossRef]
- Santos, F.L.; Esteves, S.S.; da Costa Pereira, A.; Yancy, W.S., Jr.; Nunes, J.P. Systematic review and meta-analysis of clinical trials of the effects of low carbohydrate diets on cardiovascular risk factors. Obes. Rev. 2012, 13, 1048–1066. [Google Scholar] [CrossRef]
- Castro, A.I.; Gomez-Arbelaez, D.; Crujeiras, A.B.; Granero, R.; Aguera, Z.; Jimenez-Murcia, S.; Sajoux, I.; Lopez-Jaramillo, P.; Fernandez-Aranda, F.; Casanueva, F.F. Effect of A Very Low-Calorie Ketogenic Diet on Food and Alcohol Cravings, Physical and Sexual Activity, Sleep Disturbances, and Quality of Life in Obese Patients. Nutrients 2018, 10, 1348. [Google Scholar] [CrossRef]
- Roberts, M.N.; Wallace, M.A.; Tomilov, A.A.; Zhou, Z.; Marcotte, G.R.; Tran, D.; Perez, G.; Gutierrez-Casado, E.; Koike, S.; Knotts, T.A.; et al. A Ketogenic Diet Extends Longevity and Healthspan in Adult Mice. Cell Metab. 2017, 26, 539–546.e5. [Google Scholar] [CrossRef]
- Ohgo, H.; Imaeda, H.; Yamaoka, M.; Yoneno, K.; Hosoe, N.; Mizukami, T.; Nakamoto, H. Irritable bowel syndrome evaluation using computed tomography colonography. World J. Gastroenterol. 2016, 22, 9394–9399. [Google Scholar] [CrossRef]
- Verrall, A.J.; Robinson, P.C.; Tan, C.E.; Mackie, W.G.; Blackmore, T.K. Rothia aeria as a cause of sepsis in a native joint. J. Clin. Microbiol. 2010, 48, 2648–2650. [Google Scholar] [CrossRef] [PubMed]
- Wang, J.; Tang, H.; Wang, X.; Zhang, X.; Zhang, C.; Zhang, M.; Zhao, Y.; Zhao, L.; Shen, J. The structural alteration of gut microbiota in low-birth-weight mice undergoing accelerated postnatal growth. Sci. Rep. 2016, 6, 27780. [Google Scholar] [CrossRef] [PubMed]
- Bai, Y.F.; Wang, S.W.; Wang, X.X.; Weng, Y.Y.; Fan, X.Y.; Sheng, H.; Zhu, X.T.; Lou, L.J.; Zhang, F. The flavonoid-rich Quzhou Fructus Aurantii extract modulates gut microbiota and prevents obesity in high-fat diet-fed mice. Nutr. Diabetes 2019, 9, 30. [Google Scholar] [CrossRef] [PubMed]
- Carvalho, R.; Vaz, A.; Pereira, F.L.; Dorella, F.; Aguiar, E.; Chatel, J.M.; Bermudez, L.; Langella, P.; Fernandes, G.; Figueiredo, H.; et al. Gut microbiome modulation during treatment of mucositis with the dairy bacterium Lactococcus lactis and recombinant strain secreting human antimicrobial PAP. Sci. Rep. 2018, 8, 15072. [Google Scholar] [CrossRef]
- Ma, Q.; Li, Y.; Wang, J.; Li, P.; Duan, Y.; Dai, H.; An, Y.; Cheng, L.; Wang, T.; Wang, C.; et al. Investigation of gut microbiome changes in type 1 diabetic mellitus rats based on high-throughput sequencing. Biomed. Pharmacother. 2020, 124, 109873. [Google Scholar] [CrossRef]
- Verma, A.; Xu, K.; Du, T.; Zhu, P.; Liang, Z.; Liao, S.; Zhang, J.; Raizada, M.K.; Grant, M.B.; Li, Q. Expression of Human ACE2 in Lactobacillus and Beneficial Effects in Diabetic Retinopathy in Mice. Mol. Ther. Methods Clin. Dev. 2019, 14, 161–170. [Google Scholar] [CrossRef]
- Sanna, S.; van Zuydam, N.R.; Mahajan, A.; Kurilshikov, A.; Vich Vila, A.; Vosa, U.; Mujagic, Z.; Masclee, A.A.M.; Jonkers, D.; Oosting, M.; et al. Causal relationships among the gut microbiome, short-chain fatty acids and metabolic diseases. Nat. Genet. 2019, 51, 600–605. [Google Scholar] [CrossRef]
- Jenq, R.R.; Taur, Y.; Devlin, S.M.; Ponce, D.M.; Goldberg, J.D.; Ahr, K.F.; Littmann, E.R.; Ling, L.; Gobourne, A.C.; Miller, L.C.; et al. Intestinal Blautia Is Associated with Reduced Death from Graft-versus-Host Disease. Biol. Blood Marrow Transplant. 2015, 21, 1373–1383. [Google Scholar] [CrossRef]
- Zeng, H.; Ishaq, S.L.; Zhao, F.Q.; Wright, A.G. Colonic inflammation accompanies an increase of beta-catenin signaling and Lachnospiraceae/Streptococcaceae bacteria in the hind gut of high-fat diet-fed mice. J. Nutr. Biochem. 2016, 35, 30–36. [Google Scholar] [CrossRef]
- Kaakoush, N.O. Insights into the Role of Erysipelotrichaceae in the Human Host. Front. Cell. Infect. Microbiol. 2015, 5, 84. [Google Scholar] [CrossRef]
- Waters, J.L.; Ley, R.E. The human gut bacteria Christensenellaceae are widespread, heritable, and associated with health. BMC Biol. 2019, 17, 83. [Google Scholar] [CrossRef]
- Evans, C.E.L. Dietary fibre and cardiovascular health: A review of current evidence and policy. Proc. Nutr. Soc. 2020, 79, 61–67. [Google Scholar] [CrossRef]






| Items | Groups | ||||
|---|---|---|---|---|---|
| Control (F10) | F20 | F30 | F40 | F50 | |
| Energy (%) | |||||
| Ratio of fat/carbohydrates | 10/70 | 20/60 | 30/50 | 40/40 | 50/50 | 
| Carbohydrates | 71.00 | 63.00 | 54.00 | 45.00 | 37.00 | 
| Protein | 19.00 | 17.00 | 16.00 | 15.00 | 14.00 | 
| Fat | 10.00 | 20.00 | 30.00 | 40.00 | 49.00 | 
| Metabolizable energy kcal/g | 3.60 | 3.60 | 3.60 | 3.60 | 3.60 | 
| Total energy kcal/g | 3.87 | 4.12 | 4.42 | 4.79 | 5.23 | 
| Nutrients (%) | |||||
| Brown rice | 50.00 | 50.70 | 46.33 | 30.92 | 5.00 | 
| Casein | 14.13 | 14.05 | 14.56 | 16.36 | 19.39 | 
| Soybean oil | 2.94 | 7.59 | 12.85 | 19.44 | 27.20 | 
| Sucrose | 14.43 | 5.00 | 2.00 | 0.00 | 0.00 | 
| Dextrin | 12.53 | 10.00 | 3.00 | 0.00 | 0.00 | 
| Cellulose | 0.91 | 7.60 | 16.21 | 28.22 | 43.35 | 
| Vitamin premix | 1.00 | 1.00 | 1.00 | 1.00 | 1.00 | 
| Mineral premix | 3.50 | 3.50 | 3.50 | 3.50 | 3.50 | 
| Cysteine | 0.30 | 0.30 | 0.30 | 0.30 | 0.30 | 
| Choline chloride | 0.25 | 0.25 | 0.25 | 0.25 | 0.25 | 
| TBHQ | 0.01 | 0.01 | 0.01 | 0.01 | 0.01 | 
| In total | 100.00 | 100.00 | 100.00 | 100.00 | 100.00 | 
| Items | Groups | p Value | ||||
|---|---|---|---|---|---|---|
| Control (F10) | F20 | F30 | F40 | F50 | ||
| Liver weight (g) | 18.32 ± 0.86 | 17.45 ± 0.78 | 18.03 ± 0.58 | 18.55 ± 0.64 | 17.16 ± 0.81 | 0.938 | 
| Kidney weight (g) | 3.90 ± 0.11 | 3.90 ± 0.13 | 3.81 ± 0.10 | 3.93 ± 0.10 | 4.05 ± 0.11 | 0.748 | 
| Epididymis fat mass (g) | 11.07 ± 0.84 | 14.16 ± 0.90 | 14.19 ± 0.72 | 14.24 ± 0.78 | 13.80 ± 0.88 | 0.824 | 
| Relative weight tissue a | ||||||
| Liver | 3.25 ± 0.08 | 2.97 ± 0.09 | 3.07 ± 0.09 | 3.11 ± 0.07 | 3.03 ± 0.09 | 0.441 | 
| Kidney | 0.70 ± 0.02 | 0.67 ± 0.02 | 0.65 ± 0.01 | 0.66 ± 0.01 | 0.72 ± 0.02 | 0.116 | 
| Epididymis fat mass | 1.96 ± 0.11 | 2.40 ± 0.10 | 2.41 ± 0.12 | 2.38 ± 0.10 | 2.44 ± 0.13 | 0.951 | 
| Colon length (cm) | 15.41 ± 0.45 a | 15.59 ± 0.78 a | 18.38 ± 0.64 b | 18.88 ± 0.51 b | 20.85 ± 0.39 c | <0.001 | 
| Classification | Bacteria | Highest Group of Relative Abundance | Physiological Function | Reference | 
|---|---|---|---|---|
| harmful | Rothia | F20 | Induce intestinal inflammation | [22] | 
| harmful | Enterorhabdus | F20 | Related to obesity | [23] | 
| harmful | Dubosiella | F10 | Induce intestinal inflammation | [24] | 
| harmful | Anaerotruncus | F50 | Induce intestinal inflammation | [25] | 
| harmful | Enterrococcus | F50 | Induce gastrointestinal tract infection | [26] | 
| beneficial | Lactobacillus | F20 | Control blood glucose level | [27] | 
| beneficial | Lactococcus | F10 | Anti-inflammation | [25] | 
| beneficial | Faecalitalea | F10 | Promote insulin secretion and response | [28] | 
| beneficial | Blautia | F20 | Related to immune function | [29] | 
| Disclaimer/Publisher’s Note: The statements, opinions and data contained in all publications are solely those of the individual author(s) and contributor(s) and not of MDPI and/or the editor(s). MDPI and/or the editor(s) disclaim responsibility for any injury to people or property resulting from any ideas, methods, instructions or products referred to in the content. | 
© 2024 by the authors. Licensee MDPI, Basel, Switzerland. This article is an open access article distributed under the terms and conditions of the Creative Commons Attribution (CC BY) license (https://creativecommons.org/licenses/by/4.0/).
Share and Cite
Song, G.; Song, D.; Wang, Y.; Wang, L.; Wang, W. Generalized Ketogenic Diet Induced Liver Impairment and Reduced Probiotics Abundance of Gut Microbiota in Rat. Biology 2024, 13, 899. https://doi.org/10.3390/biology13110899
Song G, Song D, Wang Y, Wang L, Wang W. Generalized Ketogenic Diet Induced Liver Impairment and Reduced Probiotics Abundance of Gut Microbiota in Rat. Biology. 2024; 13(11):899. https://doi.org/10.3390/biology13110899
Chicago/Turabian StyleSong, Ge, Dan Song, Yongwei Wang, Li Wang, and Weiwei Wang. 2024. "Generalized Ketogenic Diet Induced Liver Impairment and Reduced Probiotics Abundance of Gut Microbiota in Rat" Biology 13, no. 11: 899. https://doi.org/10.3390/biology13110899
APA StyleSong, G., Song, D., Wang, Y., Wang, L., & Wang, W. (2024). Generalized Ketogenic Diet Induced Liver Impairment and Reduced Probiotics Abundance of Gut Microbiota in Rat. Biology, 13(11), 899. https://doi.org/10.3390/biology13110899
 
        

 
                         
       