Simple Summary
Microorganisms are able to grow on substrates of the most diverse nature. One of the most practical habitats, in terms of cultural heritage conservation, is fine art objects such as tempera or oil paintings on canvas. Since tempera paints are produced on the basis of egg yolk, which is one of the richest sources of cholesterol in nature (up to 2% of dry weight), and in the process of aging of tempera materials, changes in cholesterol do not affect the core structure of the steroid nucleus, the group of fungi that we have isolated are tempera painting destructors is seen as a promising object for screening for their possible steroid-transforming activities. In this regard, the purpose of our work was to determine the ability to transform pharmaceutically significant steroids with dominant fungi-destructors of tempera paintings, previously isolated in the State Tretyakov Gallery. Consequently, we have demonstrated for the first time that fungi-destructors of tempera paintings have steroid-transforming activity and are promising microorganisms for screening for biotechnologically significant transformations of steroids with further industrial use.
Abstract
The transformation of steroids by microorganisms is widely used in medical biotechnology. A huge group of filamentous fungi is one of the most promising taxa for screening new biocatalytic reactions in order to obtain pharmaceutically significant steroids. In this work, we screened 10 filamentous fungi-destructors of egg tempera for the ability to biotransform androst-4-en-3,17-dione (AD) during cultivation in a liquid nutrient medium or in a buffer solution. These taxonomically unrelated strains, belonging to the classes Eurotiomycetes, Dothideomycetes and Sordariomycetes, are dominant representatives of the microbiome from halls where works of tempera painting are stored in the State Tretyakov Gallery (STG, Moscow, Russia). Since the binder of tempera paints, egg yolk, contains about 2% cholesterol, these degrading fungi appear to be a promising group for screening for steroid converting activity. It turned out that all the studied fungi-destructors are able to transform AD. Some strains showed transformation efficiency close to the industrial strain Curvularia lunata RNCIM F-981. In total, 33 steroids formed during the transformation of AD were characterized, for 19 of them the structure was established by gas chromatography/mass spectrometry analysis. In this work, we have shown for the first time that fungi-destructors of tempera paintings can efficiently transform steroids.
1. Introduction
The annual world production of the steroid market is more than USD 10 billion and is at the forefront of the pharmaceutical industry [1]. Currently, about 300 steroid drugs are known, meaning that steroids production occupies the second position in the pharmaceutical market after the production of antibiotics [2]. The first pharmaceutically significant steroid drugs were obtained in the 1950s as a result of multi-stage chemical syntheses [3]. Later, it turned out that the number of stages for obtaining the target steroid can be significantly reduced using biotransformation by microorganisms [1,4]. In many cases, the benefits of steroid biotransformation are due to single step regio- and/or stereospecific reactions that are catalyzed by specially «sharpened» enzymes, and which are not always available for chemical synthesis [1,5,6]. The steroid core structure is also sensitive to cleavage by numerous chemicals, and the use of biotransformation can sometimes solve a particular synthesis problem [5,7]. In addition, steroid biotransformation is a more environmentally friendly process compared to many stages of chemical synthesis [1,5]. The ability to transform pharmaceutically significant steroids has been found in various groups of microorganisms [2,8]. Based on these studies, improved strains of microorganisms have been obtained for highly efficient transformations of various steroids [1]. Among them are improved strains of filamentous fungi (also called molds or moldy fungus), for example, Curvularia lunata RNCIM F-981 for 14α-hydroxylation of androst-4-ene-3,17-dione (AD, androstenedione) [9]. Currently, more then 70,000 filamentous fungi are known [10], and some of them contain unusual or unique reactions for secondary metabolites biosynthesis [11,12,13] and biotransformation of steroids [14,15,16]. For example, the individual species of filamentous fungi contain 50–100 or more cytochromes P450 (CYP450) [17], some of them (10–30% of the total) catalyze oxidative hydroxylation reactions and other chemical modification of steroids [15,18]. However, for the overwhelming majority of molds, the “capacity” of steroid biotransformation has not been characterized [2,19]. In this regard, among various groups of filamentous fungi, active screening for the ability to transform pharmaceutically significant steroids is being carried out [20,21,22,23].
Previously, we collected 106 microbiological samples from exhibits of tempera paintings, related to cultural heritage, and surfaces of the Paintings of Ancient Rus Halls in the main building of the State Tretyakov Gallery (STG, Moscow, Russia) [24]. We also characterized uncultivated and cultured microorganisms using metagenomic sequencing and showed that dominant representatives of bacterial and fungal microbiomes can be cultivated on standard microbiological media (project accession no: https://www.ncbi.nlm.nih.gov/sra/PRJNA606688/ (accessed on 14 February 2020). After inoculation of isolated cultures on the created mock layers (with organic materials used in tempera painting) the main potential biodestructors of the studied objects of cultural heritage were identified [24]. They turned out to be 10 filamentous fungi that destroy tempera paintings. In this regard, this group of fungi was characterized in detail in terms of macromorphology and micromorphology, and new effective antiseptics were selected against them, which can be used during planned or emergency conservation [25,26,27].
The main binder for pigment paints in tempera painting is chicken egg yolk [24]. Liquid egg yolk contains about 1% cholesterol, which is one of the highest in nature; when tempera paints dry, the cholesterol content increases to 2% or more [28,29]. It was shown that in the process of the aging of works of tempera painting, modifications of cholesterol appear, but they are not associated with the degradation of steroid rings; the core structure of the steroid nucleus is preserved [30]. In this regard, fungi destructors of tempera paintings can be a promising object for screening the biotransformation ability of pharmaceutically significant steroids.
Based on this, the goal of our work was to study the biotransformation of AD (steroid hormone with weak androgenic action and one of the most important intermediates in the biotransformation of steroids) by filamentous fungi, capable of destroying tempera painting materials at cultural heritage sites of the State Tretyakov Gallery.
2. Materials and Methods
2.1. Materials
Androst-4-ene-3,17-dione (AD) from Sigma-Aldrich (St. Louis, MO, USA) was used as initial substrate and as standard. Androsta-1,4-diene-3,17-dione (ADD) and testosterone (TS) from Sigma-Aldrich (USA) were used as standards. 7α-OH-testosterone, 9α-OH-androst-4-ene-3,17-dione, 11α-OH-androst-4-ene-3,17-dione, 14α-OH-androst-4-ene-3,17-dione, and 14α-OH-Androsta-1,4-diene-3,17-dione were taken from the laboratory collection and were used as standards.
2.2. Microorganism Strains Used in the Work
The following strains of filamentous fungi were used to determine the activity of steroid biotransformation: 10 micromycete strains, isolated previously from [24], Aspergillus versicolor STG-25G (SRX7729174; MK260015.1), Ulocladium sp. AAZ-2020a STG-36 (MW590700.1; SRX7729176), Cladosporium halotolerans STG-52B (SRX7729178; MK258720.1), Aspergillus creber STG-57 (SRX7729151; MK266993.1), Aspergillus versicolor STG-86 (SRX7729182; MK262781.1), Aspergillus creber STG-93W (SRX7729186; MW575292.1), Cladosporium parahalotolerans STG-93B (SRX7729188; MK262909.1), Simplicillium lamellicola STG-96 (SRX7729192; MK262921.1), Microascus paisii STG-103 (SRX7729190; MW591474.1), and Aspergillus protuberus STG-106 (SRX7729192; MK268342.1) and the industrial strain Curvularia lunata RNCIM F-981 [9].
2.3. Cultivation of Fungal Strains
The filamentous fungi, isolated from STG, were cultivated on slant agarized Czapek-Dox (CDA) medium (30 g/L sucrose, 2 g/L NaNO3, 1 g/L K2HPO4, 0.5 g/L MgSO4 × 7H2O, 0.5 g/L KCl, 0.01 g/L FeSO4 × 7H2O, 20 g/L agar, pH 7.0–7.4) at 24–26 °C. C. lunata RNCIM F-981 was cultivated on slant agarized T2D medium (4 g/L yeast extract, 10 g/L malt extract, 4 g/L glucose, 30 g/L agar, pH 6.2–6.9) at 28 °C.
2.4. Preparation of Fungal Strains for Steroid Transformation
After 10–15 days of cultivation on agar slant, fungal cultures were collected with 10 mL of 0.9% NaCl solution; 5 mL of this fungal cell mixture was inoculated into 40 mL of liquid seed (SE) medium. For strains from STG, medium F (30 g/L sucrose, 5 g/L yeast extract, 2 g/L NaNO3, 3 g/L (NH4)H2PO4, 0.5 g/L KCl, 1 g/L MgSO4 × 7H2O, pH 5.5–6.0) was used as SE medium; for C. lunata RNCIM F-981, medium F or medium H (30 g/L sucrose, 7 g/L yeast autolysate, 2 g/L NaNO3, 1 g/L KH2PO4, 3 g/L (NH4)H2PO4, 0.5 g/L KCl, 0.5 g/L MgSO4 × 7H2O, pH 6.0–6.1) were used as SE medium. Seed cultures were grown for 72 h on a rotary shaker CERTOMAT ®BS-1 (Sartorius, Germany) at 220–240 rpm in 250 mL Erlenmeyer flasks at 26 °C.
2.5. Steroid Biotransformation
The cultures of filamentous fungi pre-grown on SE medium were then used to study their ability to transform steroids. For this, the cells were either transferred to a liquid nutrient medium (TM1, transformation method 1) or into a potassium phosphate buffer (TM2, transformation method 2). Stock steroid substrate (AD) suspension was prepared each time immediately before application for biotransformation. The AD was ground in a mortar and pestle to form particles with a size of approximately 15–20 μm and mixed with Tween 80 (2.5% solution in water) to obtain a stock AD suspension with a concentration of 40 g/L.
In the case of TM1, 10 mL of culture from the SE medium was inoculated into 40 mL of liquid defined (DE) medium for steroid transformation. For strains from STG, medium F was used as DE medium; for C. lunata RNCIM F-981, medium F or medium N (30 g/L sucrose, 5 g/L peptone, 5 g/L yeast extract, 10 g/L soybean meal, 2 g/L KH2PO4, 0.5 g/L MgSO4 × 7H2O, pH 6.2) were used as DE medium. Liquid cultures were grown for 24 h at 220–240 rpm in 250 mL Erlenmeyer flasks at 26 °C. Then, aliquot of stock AD suspension was added to a final concentration of 1 g/L. Bioconversion was carried out on a rotary shaker (220 rpm) at 26 °C for a maximum of 72 h and monitored daily by TLC and GC/MS as described below. The data recorded were measured in triplicate and repeated at least twice.
In the case of TM2, 10 mL of culture from the SE medium was inoculated into 40 mL of the same type of SE medium (medium F—for strains from STG, medium H—for C. lunata RNCIM F-981); grown for 24 h at 220–240 rpm in 250 mL Erlenmeyer flasks at 26 °C. Then, the mycelium was separated from the culture liquid by filtration and collected on a Flag Grid filter with a pore diameter of 15–20 µm (EuroFlag, Russia, Moscow), washed with 10 volumes of 150 mM potassium phosphate buffer (PPB, pH 6.0). Next, 4 g of the mycelium wet biomass were inoculated into 40 mL of 150 mM potassium phosphate buffer (pH 6.0). Then, aliquot of stock AD suspension was added to a final concentration of 1 g/L. Bioconversion was carried out on a rotary shaker (220 rpm) at 26 °C for a maximum of 72 h and monitored daily by TLC and GC/MS as described below. The data recorded were measured in triplicate and repeated at least twice.
2.6. Sample Preparation
Aliquots of 2 mL of the cultivation broth were taken after 24, 48, and 72 h incubation of fungal strains with steroid substrates in DE medium or in PPB. The steroid compounds were extracted with two volumes of ethyl acetate (EtOAc), 2 h, 20–25 °C; then stored at 4 °C.
2.7. Thin Layer Chromatography (TLC)
To determine the biotransformation products, 40 μL of EtOAc extracts were applied to TLC plates with Sorbfil UV 254 (Sorbfil, Russia), developed in an acetone–chloroform mixture (7:3, v/v), and visualized under UV light (254 nm) on Desaga HP-UVIS (Desaga, Germany). A color reaction was also used for visualization; for this, a 1% solution of vanillin in a 10% aqueous solution of HClO4 was applied to a chromatographic plate and developed at a temperature of 70–80 °C. The samples of cultivation broth were monitored daily.
2.8. Gas Chromatography/Mass Spectrometry (GC/MS)
Steroids were determined on the GCMS-QP2010 Ultra Gas Chromatograph Mass Spectrometer (Shimadzu, Japan, Kyoto) from 1 μL of the samples. The column J&W DB-5 ms Ultra Inert GC Column, 30 m, 0.25 mm, 0.25 µm, 7-inch cage (Agilent Technologies Inc., Santa Clara, CA, USA) was used. Chromatography conditions: column temperature 100 °C, heating at a rate of 20 °C/min to 280 °C, holding for 20 min; carrier gas—helium, injecto—split (1:10), carrier gas flow rate—1 mL/min, quadrupole analyzer temperature—150 °C. The temperature of the ion source was 230 °C, the time of switching on the cathodes and the analyzer (“solvent delay”) was 3.51 min after the injection of the sample, and the interval of the scanned masses was 50–750 m/z. The detector operating mode was set according to the standard “Autotune” program. The mass spectrum libraries NIST [31] and REAXYS (http://www.reaxys.com accessed on 21 March 2022) were used to identify steroid compounds based on the obtained mass spectra.
3. Results
3.1. Transformation of AD by Fungal Strains
The ability to transform AD was studied for 10 filamentous fungi, previously isolated from the exhibits and halls of the STG and showed the biodegradation of paints and varnishes used in tempera paintings [24]. Five species of fungi were from the family Aspergillaceae (Aspergillus versicolor STG-25G, A. creber STG-57, A. versicolor STG-86, A. creber STG-93W, A. protuberus STG-106), two species were from the family Cladosporiacea (Cladosporium halotolerans STG-52B, C. parahalotolerans STG-93B) and one representative each from the families Pleosporaceae (Ulocladium sp. AAZ-2020a STG-36), Cordycipitaceae (Simplicilium lamellicola STG-96) and Microascaceae (Microascus paisii STG-103). An industrial strain of filamentous fungus Curvularia lunata RNCIM F-981 (from the family Pleosporaceae) [9] was used as a control.
The strains were preliminarily cultured on Czapek-Dox (CDA) agar medium for 10–15 days (Figure 1).
Figure 1.
Cultivation of fungi-destructors of tempera paintings, isolated in the State Tretyakov Gallery (STG, Moscow, Russia) on Czapek-Dox agar (CDA) medium, 25 °C, 15 days. (a) Slant CDA medium; (b) CDA medium on Petri dishes. Fungal strains, from left to right: STG-25G, STG-52B, STG-57, STG-96, STG-86, STG-93B, STG-36, STG-103, STG-93W, STG-106.
Then, the fungal cells were transferred to a liquid seed (SE) medium for growing biomass during 48–72 h (Figure 2). After that, either (i) an aliquot of the culture liquid was inoculated onto the liquid defined (DE) medium for transformation, grown for 24 h, then the steroid substrate (AD) was added and transformation was carried out; or (ii) the obtained biomass was collected on a filter, washed from the culture liquid with a buffer solution (150 mM potassium phosphate buffer, PPB) and transferred to PPB supplemented with a steroid substrate for the transformation. At the start of steroid transformation and every day after (Figure 2), aliquots of samples were taken for analysis by thin layer chromatography (TLC) and gas chromatography/mass spectrometry (GC/MS). The preliminary content of steroids in the samples was estimated by TLC, and then these data were verified by GS-MS analysis. The GC/MS values and the structures of the initial steroid substrate and its bioconversion products resulting from transformation both in the DE medium and in PPB are presented in Table 1. Encoding for the substrate (AD) and bioconversion products, from a to s, corresponding to their retention time (RT) in GC/MS analysis is also introduced (Table 1). The dynamics of transformation of compound d by fungi-destructors of tempera painting materials and the industrial strain C. lunata RNCIM F-981 (control) are shown in Figure 3. Compounds and their relative amount determined in samples after 0, 1, 2 and 3 days of transformation in DE medium and in PPB by the GC/MS method. At the start of transformation (day 0, time immediately after AD addition), only this compound d was found in the samples; then, during the transformation, its amount decreased, and the products of steroid transformation were detected (Figure 3). For example, for strain STG-36, the AD substrate detected at the beginning of the process (Supplementary Materials, Figure S1) after 2 days of transformation was partially converted to steroid compounds a and b (Supplementary Materials, Figure S2). Steroid transforming activity was found for all classes of fungi studied: Eurotiomycetes (e.g., STG-57, Supplementary Materials, Figure S3), Sordariomycetes (e.g., STG-96, Supplementary Materials, Figure S4) and Dothideomycetes (e.g., STG-93B, Supplementary Materials, Figure S5).
Figure 2.
Timelines schemes of steroid conversion by fungi-destructors of tempera paintings: (a) steroid transformation into liquid defined (DE) medium; (b) steroid transformation into potassium phosphate buffer (PPB). CDA—Czapek-Dox agar medium; SE—liquid seed (SE) medium; TFO—transformation. The red dashed arrow shows the time of steroid substrate introduction.
Table 1.
GC/MS values and structures of steroid substrate and bioconversion products formed with filamentous fungi-destructors of tempera painting materials.
Figure 3.
The dynamic of androst-4-ene-3,17-dione (d) transformation by filamentous fungi-destructors of tempera painting materials, isolated in the State Tretyakov Gallery, Moscow, Russia (STG-25G, STG-57, STG-86, STG-93W, STG-106, STG-96, STG-103, STG-52B, STG-93B, STG-36), and by the industrial strain Curvularia lunata RNCIM F-981 (control). Data on 0, 1, 2, and 3 days after the addition of 1 g/L substrate (d) is based on gas chromatography/mass spectrometry analysis. DE—liquid defined medium, PPB—potassium phosphate buffer. Substrate (d) in bold red; all other compounds (a–c, e–s) are steroid conversion products and are not colored (black, bold). RT—retention time.
3.1.1. Transformation of AD by Fungal Strains during Cultivation on DE Medium
For the primary screening for the ability of fungi-destructors of tempera paintings to transform steroids, we used as a basis the previously developed scheme for the transformation of AD (d) by the strain C. lunata RNCIM F-981 [32]. A substrate loading of 1 g/L and a previously developed biotransformation scheme using F medium as both SE and DE mediums was used (transfer F medium to F medium) [20]. In the control experiment, we also transformed substance d (1 g/L) with C. lunata RNCIM F-981, using H medium as SE medium and N medium as DE medium (transfer H medium to N medium). Under such conditions, previously optimized for this industrial strain [32], we observed a characteristic and specific transformation of the compound d into p. When applying the transfer scheme from medium F to medium F for the transformation of d with C. lunata RNCIM F-981, the major substance was p, but the appearance of l and m (after the first day), as well as o and r (throughout the entire period) was also observed (Figure 3). It is also important to note that, under these conditions, C. lunata RNCIM F-981 completely metabolized substrate d, 2 days after its addition. This allowed us to use the transformation activity of C. lunata RNCIM F-981 on medium F as a relative control to assess the activity of STG strains.
It turned out that all STG strains are able to transform AD on DE medium (Figure 3). Strains STG-25G and STG-86 showed similar transformational activity; they specifically accumulated testosterone (compound e) after 2 days (Supplementary Materials, Figure S6). During the transformation of AD with strain STG-57, compounds g and l were detected (after 1 day), then additional compounds l and k were detected (after 2 days, Supplementary Materials, Figure S3). During the transformation with STG-93W, compound l was detected (after 1 day), then g, k, and o were additionally detected (after 2 days), then f was additionally detected (after 3 days). During the transformation of AD with STG-106, compound k was detected (after 1 day), then compounds g, l, and o were additionally detected (after 2 days). After 3 days of transformation, all Aspergillus samples partially retained the original AD substrate. One of the best activities under these transformation conditions was shown by strain STG-96. After 2 days of transformation, only traces of the original AD substrate (Supplementary Materials, Figure S4) were detected; AD completely disappeared after 3 days of transformation (Figure 3). After 1 day of transformation, c, g, k, l, n, o and p compounds were found in the sample. After 2 days of transformation, n was not detected, all other compounds were present in the samples until the end of transformation (up to 3 days). When transforming AD with strain STG-103, compounds g, k and p were detected (after 1 day); then compound l was additionally detected (after 2 days). Cladospores (STG-52B and STG-93B), as well as strain STG-96, completely metabolized AD after 3 days of incubation. In the process of transformation, products g, j, k, l, m and q were detected at different stages. The main compound after 3 days was k. Strain STG-36 after 2 days produced unique (for the studied group of fungi) compounds a and b (Supplementary Materials, Figure S2).
3.1.2. Transformation of AD by Fungal Strains in PPB
In order to more extensively reveal the transformational potential of fungi-destructors of egg tempera, we also studied the bioconversion of d in PPB. For this, we used the experimental design described earlier [20], when the biomass grown on the SE medium was transferred to PPB supplemented with d (1 g/L). Such a change in conditions made it possible for most strains to detect both the formation of novel steroids and altered concentration dynamics for previously detected steroids (Figure 3). Thus, for strain STG-25G, compound e was detected in PPB one day later than during steroid transformation in SE medium. Transformation with strain STG-57 in PPB revealed additional substances o and s; the changed dynamics were for substances k, l and p. For strain STG-86, on the second day, substance c appeared and e disappeared. For strain STG-93W, steroid m appeared on the third day and steroid l disappeared; the changed dynamics was for substances f, g, k and o. For strain STG-106, significant changes occurred during transformation in PPB, substances c, h, and m appeared; the changed dynamics were for g, l, and o. For the STG-96 strain, changes occurred not only at the level of steroid products, but also in the consumption of the initial steroid substrate (Figure 3). Substance d was completely consumed in SE medium during the first day of transformation, while in PPB d was detected during all 3 days. In contrast, no significant differences were found for the M. paisii STG-103 under both transformation conditions. Cladosporium strains (STG-52B and STG-93B) showed very similar dynamics of substrate consumption. For both strains, substrate d was completely consumed on DE medium (after 2 days) and was not completely consumed in PPB during the entire observation period. In addition, for STG-52B in PPB compounds e and f were specifically detected; the changed dynamics were for g, l and m. For STG-93B g appeared, substances l and q disappeared; the changed dynamics were for i and m. For strain STG-93W steroids e end p appeared during transformation in PPB; no other changes were found.
3.2. Transformation of AD by Various Systematic Groups of Mold Fungi
To characterize the pathways of AD transformation by the filamentous fungi studied in our work and for comparison with the transformation activity described in the literature, we proposed transformation schemes for certain classes of mold fungi (Eurotiomycetes, Dothideomycetes, and Sordariomycetes) (Table 2).
Table 2.
Steroids formed as a result of AD (compound b) transformation by filamentous fungi.
All of these fungi belong to the same subdivision Pezizomycotina, the largest of the Ascomycota (with over 30,000 described species). Pezizomycotina is seen as one of the most promising systematic fungal groups for screening for steroid transformation activity due to its rich metabolic potential. In particular, it has one of the largest P450omes (CYP450 genes) [44,45], which can potentially serve as a source for the introduction of hydroxyl groups and other chemical modifications into various parts of the steroid core [15,18]. In this regard, we made an attempt to systematize the data described in the literature and obtained in our work on the transformation of AD by these groups of fungi.
3.2.1. Transformation of AD by Representatives of Eurotiomycetes
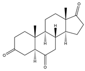
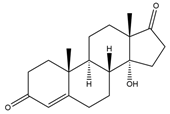
The dominant representatives of Eurotiomycetes in the microbiome of the Old Russian painting halls of the State Tretyakov Gallery were strains from the Aspergillaceae family. It turned out that all the studied strains were able to transform AD, with different efficiency and specificity (Figure 3). Together with the current study, 23 possible steroid products have been described in the literature following the Aspergillaceae family steroid transformation of AD [16,33,34,35,36,37,38,39,40] (Table 2, Figure 4). Of the steroid products found in our study, 21.7% (5 out of 23) had been previously described: TS (e), 6β–OH–AD (l), 6β–OH–TS, (m), 11β–OH–AD (o), and 14α–OH–AD (p). Out of the steroidal products of AD transformation, 26% (6 out of 23) are described for the first time in our work: Androst-4,6-diene-3,17-dione (c), ADD (f), 5β–H–Androstane-3,6,17-trione (g), Androstane-3,11,17-trione (h), 5α–H–Androstane-3,6,17-trione (k), and 14α–OH–ADD (s).
Figure 4.
The transformation of androst-4-ene-3,17-dione (d) by Eurotiomycetes (family Aspegillaceae). Structural formula of the substrate (d) is drawn in yellow and placed on the image of the flask with defined (DE) medium after 48 h of transformation for by Aspergillus versicolor STG-86. Structural formulas of steroids detected during the transformation are drawn: in green for compounds found both in current and in other studies; in black for compounds found in other studies, but not found in current work; and in blue for compounds first discovered in current study. Next to the arrows are the literary sources, where modifications were described; modifications circled in red ovals.
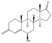
3.2.2. Transformation of AD by Representatives of Dothideomycetes
The dominant representatives of Dothideomycetes among the fungi-destructors of tempera paintings from STG were strains from the Cladosporiaceae and Pleosporaceae families. All the studied strains were able to transform AD, with different efficiency and specificity (Figure 3). For the Pleosporaceae family, we also performed AD transformation of the previously characterized C. lunata RNCIM F-981 control strain [20,32]. Under the studied conditions of AD transformation by the C. lunata RNCIM F-981 strain, we found the previously described major transformation product 14α-OH-AD (p) and by-products: 11β-OH AD (o) 11β-OH-TS (r) (Table 2). In addition, for the first time, we found compounds 6β–OH–AD (l) and 6β–OH–TS (m) for this strain, which indicates the presence of a previously undiscovered 6β-hydroxylating activity in this strain. Together with the current study, 23 possible steroid products have been described in the literature after steroid transformation of AD by fungal strains from the Cladosporiaceae and Pleosporaceae families [20,22,23,32,41] (Table 2, Figure 5). If we take into account the control strain C. lunata RNCIM F-981, then 30.4% (7 out of 23) of the steroid products found in our study were previously described (e, k, l, m, o, p, and q) and 26% (6 out of 23) of steroidal products are described for the first time (a, b, f, g, i, and r) (Figure 5). If we take into account only the fungi-destructors of tempera paintings, then 26% (6 out of 23) of the steroid products found in our study were previously described (e, k, l, m, p, and q) and 21,7% (5 out of 23) of steroidal products are described for the first time (a, b, f, g, and i), since compounds o and r were found only in the control strain C. lunata (Table 2). If we compare the features of transformation within the families of STG strains, then for Dothideomycetes 30.8% (4 out of 13) of the steroid products found in our study were previously described (e, k, l, and q) and 30.8% (4 out of 13) of steroidal products are described for the first time (f, g, i, and m) (Table 2). For Pleosporaceae (strain Ulocladium sp. AAZ-2020a STG-36), 20% (2 out of 10) of the steroid products found in our study were previously described (e and p) and 20% (2 out of 10) of steroidal products are described for the first time (a and b) (Table 2).
Figure 5.
The transformation of androst-4-ene-3,17-dione (d) by Dothideomycetes. Structural formula of the substrate (d) is drawn in yellow and placed on the image of the flask with defined (DE) medium after 48 h of transformation for by Ulocladium sp. AAZ-2020a STG-36. Structural formulas of steroids detected during the transformation are drawn: in green for compounds found both in current and in other studies; in black for compounds found in other studies, but not found in current work; and in blue for compounds first discovered in the current study. Next to the arrows are the literary sources, where modifications were described; modifications circled in red ovals.
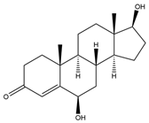
3.2.3. Transformation of AD by Representatives of Sordariomycetes
The dominant representatives of Sordariomycetes among the fungi-destructors of tempera paintings from STG were strains from the Cordycipitaceae and Microascaceae families. There was only one such strain from each family; however, all of them were able to transform AD (Figure 3). Of the steroid products found in our study, 8.3% (1 out of 12) were previously described (n) and 58.3% (7 out of 12) of steroidal products are described for the first time (c, g, j, k, l, o, and p) [16,22,43] (Figure 6). If we compare the features of transformation within families of STG strains, then for Cordycipitaceae, 9.1% (1 out of 11) of the steroid products found in our study were previously described (n) and 63.6% (7 out of 11) of steroidal products are described for the first time (c, g, j, k, l, o, and p) (Table 2). The transformation of AD by fungi of the Microascaceae family is not covered in sufficient detail in the literature. There was only one study in which the only transformation product was described, TS (e) [22]. The STG-strain from Microascaceae family converted AD to four another compounds (g, k, l, and p) (Table 2). It is significant that all these four transformation products were also detected in our work for another representative of Sordariomycetes, the S. lamellicola STG-96 strain from the Cordycipitaceae family. Such a coincidence may indicate a relatively close metabolism of steroids in representatives of relatively close fungal taxa.
Figure 6.
The transformation of androst-4-ene-3,17-dione (d) by Sordariomycetes. Structural formula of the substrate (d) is drawn in yellow and placed on the image of the flask with defined (DE) medium after 48 h of transformation for by Simplicillium lamellicola STG-96. Structural formulas of steroids detected during the transformation are drawn: in green for compounds found both in current and in other studies; in black for compounds found in other studies, but not found in current work; and in blue for compounds first discovered in current study. Next to the arrows are the literary sources, where modifications were described; modifications circled in red ovals.
4. Discussion
Over the past 60–70 years, improved strains of filamentous fungi have been widely used for the needs of medical biotechnology for the production of pharmaceutically significant secondary metabolites, such as antibiotics, statins, and immunosuppressants [46,47,48,49]. On the other hand, the use of filamentous fungi for a number of stages in the transformation of steroids for medicinal purposes has become widespread in biotechnology [1,16]. In our work, we have shown for the first time that phylogenetically distant filamentous fungi belonging to the classes Eurotiomycetes, Dothideomycetes, and Sordariomycetes, associated by a common functional ability to grow on organic materials used in tempera painting, can transform the pharmaceutically significant steroid AD (compound d). On the one hand, this may be due to the ability of filamentous fungi to transform steroids as such. For example, in a recent study, approximately 73% (33 out of 45) of preliminary selected strains of Ascomycota and Zygomycota actively transformed steroids AD and ADD [22]. Moreover, ~18% (8 out of 45) of these strains did not transform AD or ADD at all the specified conditions. On the other hand, the fungi studied in our work are dominant representatives of the microbiome characterized in the main historical building of the State Tretyakov Gallery [24]. Since the middle of the 19th century, the microbiological community that exists in this museum has been constantly exposed to both conservation (including strict observance of the temperature and humidity regime) and restoration. This could lead to the selection of microorganisms for: (i) the ability to survive under pressure from conservation; (ii) the ability to use organic materials as a nutrient substrate, which are both part of the historical building itself and the exhibits [50]. In particular, one of the characteristic organic substrates found in the composition of tempera materials, and one which can potentially be used for the vital activity of destructor fungi, is cholesterol from egg yolk (a binder of tempera paints), and its derivatives that appear during the aging process of tempera paints, such as 5,6-epoxycholestan-3-ol and 3-hydroxycholest-5-en-7-one [30]. In our work, 100% (10 out of 10) of dominant fungi-destructors of tempera paints actively transformed steroid AD, which may be the primary signal for further study of such a functional group of microorganisms for the biotransformation of steroids. AD transformations under various conditions (DE medium, PPB) allowed us to more fully reveal the transformational potential (metabolic capacity) of the studied strains. Using our methods, we were unable to identify all steroid compounds obtained as a result of AD transformation by the studied group of fungi. This is due, first of all, to the fact that GC/MS allows compounds from the spectra available in databases to be determined. Despite this, we have characterized a significant number of steroid products from AD transformation (Figure 3, Figure 4 and Figure 5). Moreover, for the first time, activities not previously described in the literature were found: six previously undescribed transformation products of AD were found for the family Aspergillaceae, four were found for Cladosporiaceae, two were found for Pleosporaceae, seven were found for Cordycipitaceae, and four were found for Microascaceae (Table 2). In total, 33 steroids formed during the transformation of AD were characterized in the work, and for 19 of them the structure was established, which made it possible to characterize the ongoing reactions: (i) hydroxylation at positions 3α (for the compound a), 3β (i), 6β (l, m), 7α (n), 11β (o, r), 14α (p, s), and 15α (q); (ii) oxidoreductase activity at position 17 with the formation of testosterone; (iii) 5β reductase activity; (iv) C-1/C-2 dehydrogenase activity to form androstadienedione (ADD); and (v) other modifications associated with both the primary transformation of AD and subsequent modifications of the resulting intermediates. Oxidative hydroxylation of steroids (in the current study, at positions 3α, 3β, 6β, 7α, 11β, 14α, and 15α) is performed by CYP450 [15,18]. Typically, one specific enzyme of this superfamily of proteins introduces a hydroxyl group into one well-defined position of the steroid [6,51,52]. In a number of other cases, a fungal steroid hydroxylase may have more than one activity, such as the P-450lun steroid 11β-/14α-hydroxylase from Cochliobolus lunatus [53]. In this regard, the study of steroid transformation in fungi (and other organisms) has two levels: (i) primary screening of steroid transforming activity (current study is devoted to this) [20,21,22,34]; and (ii) the establishment of the molecular basis of these activities associated with the cloning of individual genes, obtaining recombinant strains and proteins, allowing unambiguous determination of their activity [53,54,55,56].
It has also been shown that the expression of fungal CYP450 genes, the products of which are capable of transforming steroids, is induced by the addition of the transformation substrate itself [51,52,57,58]. However, a number of studies have also shown that the transformation activity of fungal strains can vary depending on the transformation conditions [20]. In our work, we used two types of transformation conditions: (i) in the liquid nutrient medium; and (ii) in PPB. As a result, it turned out that different methods of transformation for some strains led to the formation of different products and/or to different dynamics of the concentrations of common AD transformation products (Figure 3). This may be due to the activation of different mechanisms by the fungal cell; in particular, protective mechanisms against toxic concentrations of steroids, in the presence of exogenous nutrient resources (during transformation in a nutrient medium) or in their absence (transformation into a buffer) [59].
A characteristic feature of the studied group of filamentous fungi was the appearance after 10–15 days of characteristic pigment colors associated with the biosynthesis of secondary metabolites (Figure 1) [25,27,60]. The biosynthesis of secondary metabolites also indicates a switch in fungal development from the tropophase to the idiophase stage [61]. It is known that steroid compounds are also synthesized among secondary metabolites [13,62]. In this regard, one of the further directions for studying the biotransformation potential of fungi-destructors of tempera paintings is their long-term cultivation with steroid substrates in order to study for the appearance of additional steroid-transforming reactions during the idiophase.
This study is important because it opens the way for future research: (i) the demonstrated fundamental ability to transform AD with the studied fungi allows us to continue the search for biotransformation activities in relation to other pharmaceutically important steroids in order to optimize conditions and scale for industrial use; and (ii) representatives of a fairly large group of fungi-destructors of tempera paintings are generally seen as promising objects for screening the biotransformation of steroids.
5. Conclusions
In this work, it was shown for the first time that fungi-destructors of tempera paintings show a steroid-transforming activity and are promising microorganisms for the screening of biotechnologically significant transformations of steroids with further industrial use.
Supplementary Materials
The following supporting information can be downloaded at: https://www.mdpi.com/article/10.3390/biology11060883/s1, Figure S1: GC/MS data for STG-36 strain, 0 day (start point) of Androst-4-ene-3,17-dione (d) transformation on DE medium. The formula of the steroid substrate d is filled in red; Figure S2: GC/MS data for STG-36 strain, 2 days of Androst-4-ene-3,17-dione (d) transformation on DE medium. Steroid formulas are filled in: in red for the substrate (d), in green for steroid transformation products a (3α-OH-5β-H-Androstane-17-one) and b (5β-H-Androstane-3,17-dione); Figure S3: GC/MS data for STG-57 strain, 3 days of Androst-4-ene-3,17-dione (d) transformation on DE medium. Steroid formulas are filled in: in red for the substrate (d), in green for steroid transformation products g (5β-H-Androstane-3,6,17-trione), k (5α-H-Androstane-3,6,17-trione), l (6β-OH-Androst-4-ene-3,17-dione), and p (14α-OH-Androst-4-ene-3,17-dione); Figure S4: GC/MS data for STG-96 strain, 2 days of Androst-4-ene-3,17-dione (d) transformation on DE medium. Steroid formulas are filled in: in red for the substrate (d), in green for steroid transformation products c (Androsta-4,6-diene-3,17-dione), g (5β-H-Androstane-3,6,17-trione), k (5α-H-Androstane-3,6,17-trione), l (6β-OH-Androst-4-ene-3,17-dione), o (11β-OH-Androst-4-ene-3,17-dione), and p (14α-OH-Androst-4-ene-3,17-dione); Figure S5: GC/MS data for STG-93B strain, 2 days of Androst-4-ene-3,17-dione (d) transformation on PPB. Steroid formulas are filled in: in red for the substrate (d), in green for steroid transformation products g (5β-H-Androstane-3,6,17-trione) and k (5α-H-Androstane-3,6,17-trione); Figure S6: Thin layer chromatography data for STG-25G and STG-86 strains after 2 and 3 days of Androst-4-ene-3,17-dione (d) transformation on DE medium. M—mixture of steroid standards.
Author Contributions
Conceptualization, A.A.Z.; methodology, V.V.Y., N.V.K. and D.A.K.; software, D.A.K. and M.P.P.; validation, V.V.Y., N.V.K., M.P.P., A.A.Z. and D.A.K.; investigation, M.P.P., A.A.Z. and D.A.K.; resources, V.V.Y., N.V.K., A.A.Z., D.A.A. and D.A.K.; data curation, V.V.Y., N.V.K., A.A.Z. and D.A.K.; writing—original draft preparation, A.A.Z. and M.P.P.; writing—review and editing, A.A.Z.; visualization, A.A.Z. and M.P.P.; supervision, A.A.Z.; project administration, A.A.Z.; funding acquisition, A.A.Z. and V.V.D. All authors have read and agreed to the published version of the manuscript.
Funding
This research received no external funding.
Institutional Review Board Statement
Not applicable.
Informed Consent Statement
Not applicable.
Data Availability Statement
The data presented in this study are contained within the article.
Acknowledgments
We are grateful to Tatiana S. Stytsenko from Research Center of Biotechnology, Russian Academy of Sciences (Moscow, Russia) for valuable recommendations during TLC analysis.
Conflicts of Interest
The authors declare no conflict of interest.
Abbreviations
| AD | Androstenedione (Androst-4-ene-3,17-dione) |
| ADD | Androstadienedione (Androsta-1,4-diene-3,17-dione) |
| CDA | Czapek-Dox agar |
| CYP450 | Cytochromes P450 |
| GC/MS | Gas chromatography/mass spectrometry |
| DE | Defined (medium) |
| PPB | Potassium phosphate buffer |
| SE | Seed (medium) |
| STG | State Tretyakov Gallery (museum, Moscow, Russia) |
| TLC | Thin layer chromatography |
| TM1 | Transformation method 1 |
| TM2 | Transformation method 2 |
| TS | Testosterone (17β-Hydroxyandrost-4-en-3-one) |
References
- Fernández-Cabezón, L.; Galán, B.; García, J.L. New insights on steroid biotechnology. Front. Microbiol. 2018, 9, 958. [Google Scholar] [CrossRef] [PubMed]
- Cano-Flores, A.; Gómez, J.; Ramos, R. Biotransformation of Steroids Using Different Microorganisms. In Chemistry and Biological Activity of Steroids; IntechOpen: London, UK, 2020. [Google Scholar]
- Torgov, I.V. Progress in the total synthesis of steroids. Pure Appl. Chem. 1963, 6, 525–544. [Google Scholar] [CrossRef]
- Carballeira, J.D.; Quezada, M.A.; Hoyos, P.; Simeó, Y.; Hernaiz, M.J.; Alcantara, A.R.; Sinisterra, J.V. Microbial cells as catalysts for stereoselective red-ox reactions. Biotechnol. Adv. 2009, 27, 686–714. [Google Scholar] [CrossRef] [PubMed]
- Fernandes, P.; Cruz, A.; Angelova, B.; Pinheiro, H.M.; Cabral, J.M.S. Microbial conversion of steroid compounds: Recent developments. Enzym. Microb. Technol. 2003, 32, 688–705. [Google Scholar] [CrossRef]
- Lu, W.; Feng, J.; Chen, X.; Bao, Y.J.; Wang, Y.; Wu, Q.; Ma, Y.; Zhu, D. Distinct regioselectivity of fungal P450 enzymes for steroidal hydroxylation. Appl. Environ. Microbiol. 2019, 85, e01182-19. [Google Scholar] [CrossRef] [PubMed]
- Bensasson, C.S.; Hanson, J.R.; Le Huerou, Y. The microbiological hydroxylation of 3α,5-cycloandrostanes by Cephalosporium aphidicola. Phytochemistry 1999, 52, 1279–1282. [Google Scholar] [CrossRef]
- Donova, M.V. Transformation of steroids by actinobacteria: A review. Appl. Biochem. Microbiol. 2007, 43, 1–14. [Google Scholar] [CrossRef]
- Jaderets, V.V.; Andrjushina, V.A.; Vojshvillo, N.E.; Dvojnikov, P.S.; Druzhinina, A.V.; Stytsenko, T.S.; Zejnalov, O.A.; Skrjabin, K.G. Method for Preparation 14α-Hydroxyderivatives of Δ4-3,17-Diketo-Androstene. Patent RU2407800C1, C12P33/00, C12P33/06, C12N1/14, 27 December 2010. [Google Scholar]
- Zhgun, A.A. Random Mutagenesis of Filamentous Fungi Stains for High-Yield Production of Secondary Metabolites: The Role of Polyamines. In Genotoxicity and Mutagenicity—Mechanisms and Test Methods, Chapter 2; Soloneski, S., Larramendy, M.L., Eds.; IntechOpen: London, UK, 2021; pp. 25–41. ISBN 978-1-83880-041-3. [Google Scholar]
- Avalos, J.; Limón, M.C. Fungal Secondary Metabolism. Encyclopedia 2022, 2, 1–13. [Google Scholar] [CrossRef]
- Keller, N.P. Fungal secondary metabolism: Regulation, function and drug discovery. Nat. Rev. Microbiol. 2019, 17, 167–180. [Google Scholar] [CrossRef]
- Ortega, H.E.; Torres-Mendoza, D.; Caballero, E.Z.; Cubilla-Rios, L. Structurally Uncommon Secondary Metabolites Derived from Endophytic Fungi. J. Fungi 2021, 7, 570. [Google Scholar] [CrossRef]
- Zheng, R.; Li, S.; Zhang, X.; Zhao, C. Biological Activities of Some New Secondary Metabolites Isolated from Endophytic Fungi: A Review Study. Int. J. Mol. Sci. 2021, 22, 959. [Google Scholar] [CrossRef] [PubMed]
- Kristan, K.; Rižner, T.L. Steroid-transforming enzymes in fungi. J. Steroid Biochem. Mol. Biol. 2012, 129, 79–91. [Google Scholar] [PubMed]
- Nassiri-Koopaei, N.; Faramarzi, M.A. Recent developments in the fungal transformation of steroids. Biocatal. Biotransform. 2015, 33, 1–28. [Google Scholar] [CrossRef]
- Park, J.; Lee, S.; Choi, J.; Ahn, K.; Park, B.; Park, J.; Kang, S.; Lee, Y.H. Fungal cytochrome P450 database. BMC Genom. 2008, 9, 402. [Google Scholar] [CrossRef] [PubMed]
- Durairaj, P.; Hur, J.S.; Yun, H. Versatile biocatalysis of fungal cytochrome P450 monooxygenases. Microb. Cell Fact. 2016, 15, 125. [Google Scholar] [CrossRef]
- Hüttel, W.; Hoffmeister, D. Fungal Biotransformations in Pharmaceutical Sciences. In Industrial Applications; Springer: Berlin/Heidelberg, Germany, 2011; pp. 293–317. [Google Scholar]
- Karpova, N.V.; Andryushina, V.A.; Stytsenko, T.S.; Druzhinina, A.V.; Feofanova, T.D.; Kurakov, A.V. A search for microscopic fungi with directed hydroxylase activity for the synthesis of steroid drugs. Appl. Biochem. Microbiol. 2016, 52, 316–323. [Google Scholar] [CrossRef]
- Kollerov, V.V.; Shutov, A.A.; Kazantsev, A.V.; Donova, M.V. Biocatalytic modifications of pregnenolone by selected filamentous fungi. Biocatal. Biotransform. 2019, 37, 319–330. [Google Scholar] [CrossRef]
- Kollerov, V.; Shutov, A.; Kazantsev, A.; Donova, M. Biotransformation of androstenedione and androstadienedione by selected Ascomycota and Zygomycota fungal strains. Phytochemistry 2020, 169, 112160. [Google Scholar] [CrossRef]
- Yildirim, K.; Kuru, A.; Küçükbaşol, E. Microbial transformation of androstenedione by Cladosporium sphaerospermum and Ulocladium chartarum. Biocatal. Biotransform. 2020, 38, 7–14. [Google Scholar] [CrossRef]
- Zhgun, A.; Avdanina, D.; Shumikhin, K.; Simonenko, N.; Lyubavskaya, E.; Volkov, I.; Ivanov, V. Detection of potential biodeterioration risks for tempera painting in 16th century exhibits from State Tretyakov Gallery. PLoS ONE 2020, 15, e0230591. [Google Scholar] [CrossRef]
- Alexandrova, L.A.; Shevchenko, O.V.; Jasko, M.V.; Solyev, P.N.; Karpenko, I.L.; Negrya, S.D.; Efremenkova, O.V.; Vasilieva, B.F.; Efimenko, T.A.; Avdanina, D.A.; et al. 3′-Amino modifications enhance the antifungal properties of N4-alkyl-5-methylcytidines for potential biocides. New J. Chem. 2022, 46, 5614–5626. [Google Scholar] [CrossRef]
- Alexandrova, L.A.; Jasko, M.V.; Negrya, S.D.; Solyev, P.N.; Shevchenko, O.V.; Solodinin, A.P.; Kolonitskaya, D.P.; Karpenko, I.L.; Efremenkova, O.V.; Glukhova, A.A.; et al. Discovery of novel N4-alkylcytidines as promising antimicrobial agents. Eur. J. Med. Chem. 2021, 215, 113212. [Google Scholar] [CrossRef] [PubMed]
- Zhgun, A.A.; Avdanina, D.A.; Shagdarova, B.T.; Troyan, E.V.; Nuraeva, G.K.; Potapov, M.P.; Il’ina, A.V.; Shitov, M.V.; Varlamov, V.P. Search for Efficient Chitosan-Based Fungicides to Protect the 15th–16th Centuries Tempera Painting in Exhibits from the State Tretyakov Gallery. Microbiology 2020, 89, 750–755. [Google Scholar] [CrossRef]
- Masschelein-Kleiner, L. Ancient Binding Media, Varnishes and Adhesives, 2nd ed.; Lawrence, T., Ed.; ICCROM: Rome, Italy, 1995; ISBN 92-9077-119-4. [Google Scholar]
- Stadelman, W.J.; Cotterill, O.J. (Eds.) Egg Science and Technology, 4th ed.; Routledge: New York, NY, USA, 1995; ISBN 978-1560228554. [Google Scholar]
- van den Brink, O.F.; Ferreira, E.S.B.; van der Horst, J.; Boon, J.J. A direct temperature-resolved tandem mass spectrometry study of cholesterol oxidation products in light-aged egg tempera paints with examples from works of art. Int. J. Mass Spectrom. 2009, 284, 12–21. [Google Scholar] [CrossRef]
- Wallace, W.E.; Ji, W.; Tchekhovskoi, D.V.; Phinney, K.W.; Stein, S.E. Mass Spectral Library Quality Assurance by Inter-Library Comparison. J. Am. Soc. Mass Spectrom. 2017, 28, 733–738. [Google Scholar] [CrossRef] [PubMed]
- Andryushina, V.A.; Voishvillo, N.E.; Druzhinina, A.V.; Stytsenko, T.S.; Yaderets, V.V.; Petrosyan, M.A.; Zeinalov, O.A. 14α-Hydroxylation of steroids by mycelium of the mold fungus Curvularia lunata (VKPM F-981) to produce precursors for synthesizing new steroidal drugs. Pharm. Chem. J. 2013, 47, 103–108. [Google Scholar] [CrossRef]
- Faramarzi, M.A.; Yazdi, M.T.; Amini, M.; Mohseni, F.A.; Zarrini, G.; Amani, A.; Shafiee, A. Microbial production of testosterone and testololactone in the culture of Aspergillus terreus. World J. Microbiol. Biotechnol. 2004, 20, 657–660. [Google Scholar] [CrossRef]
- Heidary, M.; Ghasemi, S.; Habibi, Z.; Ansari, F. Biotransformation of androst-4-ene-3,17-dione and nandrolone decanoate by genera of Aspergillus and Fusarium. Biotechnol. Lett. 2020, 42, 1767–1775. [Google Scholar] [CrossRef]
- Mao, S.; Zhang, L.; Ge, Z.; Wang, X.; Li, Y.; Liu, X.; Liu, F.; Lu, F. Microbial hydroxylation of steroids by Penicillium decumbens. J. Mol. Catal. B Enzym. 2016, 133, S346–S351. [Google Scholar] [CrossRef]
- Panek, A.; Łyczko, P.; Świzdor, A. Microbial Modifications of Androstane and Androstene Steroids by Penicillium vinaceum. Molecules 2020, 25, 4226. [Google Scholar] [CrossRef]
- Kołek, T.; Szpineter, A.; Świzdor, A. Baeyer-Villiger oxidation of DHEA, pregnenolone, and androstenedione by Penicillium lilacinum AM111. Steroids 2008, 73, 1441–1445. [Google Scholar] [CrossRef]
- Yildirim, K.; Kuru, A. The Biotransformation of Some Steroids by Aspergillus Sydowii MRC 200653. J. Chem. Res. 2016, 40, 78–81. [Google Scholar] [CrossRef]
- Ríos, L.O.D.L.; Luengo, J.M.; Fernández-Cañón, J.M. Steroid 11-alpha-hydroxylation by the fungi Aspergillus nidulans and Aspergillus ochraceus. Methods Mol. Biol. 2017, 1645, 271–287. [Google Scholar] [PubMed]
- Yildirim, K.; Kuru, A.; Keskin, E.; Salihoglu, A.; Bukum, N. Biotransformation of Androst-4-Ene-3,17-Dione by Some Fungi. J. Chem. Res. 2017, 41, 594–597. [Google Scholar] [CrossRef]
- Yildirim, K.; Kuru, A.; Yılmaz, R.F. Microbial Transformation of Some Steroids by Cladosporium Cladosporioides Mrc 70282. J. Chem. Res. 2018, 42, 408–411. [Google Scholar] [CrossRef]
- Choudhary, M.I.; Sultan, S.; Khan, M.T.H.; Yasin, A.; Shaheen, F.; Atta-Ur-Rahman, A. Biotransformation of (+)-androst-4-ene-3,17-dione. Nat. Prod. Res. 2007, 18, 529–535. [Google Scholar] [CrossRef]
- Kozłowska, E.; Dymarska, M.; Kostrzewa-Susłow, E.; Janeczko, T. Isaria fumosorosea KCh J2 Entomopathogenic Strain as an Effective Biocatalyst for Steroid Compound Transformations. Molecules 2017, 22, 1511. [Google Scholar] [CrossRef]
- Črešnar, B.; Petrič, Š. Cytochrome P450 enzymes in the fungal kingdom. Biochim. Biophys. Acta 2011, 1814, 29–35. [Google Scholar] [CrossRef]
- Karunarathna, S.C.; Damodara Shenoy, B.; Pripdeevech, P.; Madawala, S.; Tang, A.M.C.; Karbowy-Thongbai, B.; Dissanayake, A.J.; Dutta, A.K.; Palnam Dauda, W.; Abraham, P.; et al. Robust Profiling of Cytochrome P450s (P450ome) in Notable Aspergillus spp. Life 2022, 12, 451. [Google Scholar] [CrossRef]
- Fierro, F.; Vaca, I.; Castillo, N.I.; García-Rico, R.O.; Chávez, R. Penicillium chrysogenum, a Vintage Model with a Cutting-Edge Profile in Biotechnology. Microorganisms 2022, 10, 573. [Google Scholar] [CrossRef]
- Zhgun, A.A.; Eldarov, M.A. Polyamines Upregulate Cephalosporin C Production and Expression of β-Lactam Biosynthetic Genes in High-Yielding Acremonium chrysogenum Strain. Molecules 2021, 26, 6636. [Google Scholar] [CrossRef] [PubMed]
- Zhgun, A.A.; Dumina, M.V.; Voinova, T.M.; Dzhavakhiya, V.V.; Eldarov, M.A. Role of acetyl-CoA Synthetase and LovE Regulator Protein of Polyketide Biosynthesis in Lovastatin Production by Wild-Type and Overproducing Aspergillus terreus Strains. Appl. Biochem. Microbiol. 2018, 54, 188–197. [Google Scholar] [CrossRef]
- Domratcheva, A.G.; Zhgun, A.A.; Novak, N.V.; Dzhavakhiya, V.V. The Influence of Chemical Mutagenesis on the Properties of the Cyclosporine a High-Producer Strain Tolypocladium inflatum VKM F-3630D. Appl. Biochem. Microbiol. 2018, 54, 53–57. [Google Scholar] [CrossRef]
- Pinheiro, A.C.; Sequeira, S.O.; Macedo, M.F. Fungi in archives, libraries, and museums: A review on paper conservation and human health. Crit. Rev. Microbiol. 2019, 45, 686–700. [Google Scholar] [CrossRef]
- Felpeto-Santero, C.; Galán, B.; Luengo, J.M.; Fernández-Cañon, J.M.; Del Cerro, C.; Medrano, F.J.; García, J.L. Identification and expression of the 11β-steroid hydroxylase from Cochliobolus lunatus in Corynebacterium glutamicum. Microb. Biotechnol. 2019, 12, 856–868. [Google Scholar] [CrossRef]
- Petrič, Š.; Hakki, T.; Bernhardt, R.; Žigon, D.; Črešnar, B. Discovery of a steroid 11α-hydroxylase from Rhizopus oryzae and its biotechnological application. J. Biotechnol. 2010, 150, 428–437. [Google Scholar] [CrossRef]
- Chen, J.; Tang, J.; Xi, Y.; Dai, Z.; Bi, C.; Chen, X.; Fan, F.; Zhang, X. Production of 14α-hydroxysteroids by a recombinant Saccharomyces cerevisiae biocatalyst expressing of a fungal steroid 14α-hydroxylation system. Appl. Microbiol. Biotechnol. 2019, 103, 8363–8374. [Google Scholar] [CrossRef]
- Felpeto-Santero, C.; Galán, B.; García, J.L. Engineering the steroid hydroxylating system from Cochliobolus lunatus in Mycolicibacterium smegmatis. Microorganisms 2021, 9, 1499. [Google Scholar] [CrossRef]
- Hull, C.M.; Warrilow, A.G.S.; Rolley, N.J.; Price, C.L.; Donnison, I.S.; Kelly, D.E.; Kelly, S.L. Co-production of 11α-hydroxyprogesterone and ethanol using recombinant yeast expressing fungal steroid hydroxylases. Biotechnol. Biofuels 2017, 10, 226. [Google Scholar] [CrossRef]
- Jgoun, A.A.; Eldarov, M.A.; Solodar, L.I.; Sokolov, N.N.; Archakov, A.I.; Skryabin, K.G. Heterologous expression of eukaryotic CYP450. 1. Heterologous expression of cytochrome P450 2B4 using groups with various affinity in E. coli. Vopr. Med. Khim. 2001, 47, 391–392. [Google Scholar]
- Breskvar, K.; Hudnik-Plevnik, T. Inducibility of cytochrome P-450 and of NADPH-cytochrome C reductase in progesterone treated filamenteous fungi Rhizopus nigricans and Rhizopus arrhizus. J. Steroid Biochem. 1981, 14, 395–399. [Google Scholar] [CrossRef]
- Irrgang, S.; Schlosser, D.; Schmauder, H.P. The steroid 15α-hydroxylase of Penicillium raistrickii I 477 is inducible. Biotechnol. Lett. 1992, 14, 33–38. [Google Scholar] [CrossRef]
- Črešnar, B.; Žakelj-Mavrič, M. Aspects of the steroid response in fungi. Chem. Biol. Interact. 2009, 178, 303–309. [Google Scholar] [CrossRef] [PubMed]
- Hyvönen, M.T.; Keinänen, T.A.; Nuraeva, G.K.; Yanvarev, D.V.; Khomutov, M.; Khurs, E.N.; Kochetkov, S.N.; Vepsäläinen, J.; Zhgun, A.A.; Khomutov, A.R. Hydroxylamine analogue of agmatine: Magic bullet for arginine decarboxylase. Biomolecules 2020, 10, 406. [Google Scholar] [CrossRef] [PubMed]
- Demain, A.L. Regulation of secondary metabolism in fungi. Pure Appl. Chem. 1986, 58, 219–226. [Google Scholar] [CrossRef]
- Sultan, A. Steroids: A Diverse Class of Secondary Metabolites. Med. Chem. 2015, 5, 310–317. [Google Scholar] [CrossRef]
Publisher’s Note: MDPI stays neutral with regard to jurisdictional claims in published maps and institutional affiliations. |
© 2022 by the authors. Licensee MDPI, Basel, Switzerland. This article is an open access article distributed under the terms and conditions of the Creative Commons Attribution (CC BY) license (https://creativecommons.org/licenses/by/4.0/).


















