Influences of Serendipita indica and Dictyophorae echinovolvata on the Growth and Fusarium Wilt Disease Resistance of Banana
Abstract
:Simple Summary
Abstract
1. Introduction
2. Materials and Methods
2.1. Plant and Fungi Materials
2.2. Preparations of S. indica and FocTR4 Inoculation Solutions
2.3. S. indica Inoculation and Colonization Observation
2.4. Growth Indexes Measurement
2.5. FocTR4 Inoculation
2.6. Statistics Analysis
3. Results
3.1. S. indica Colonization Detection Results
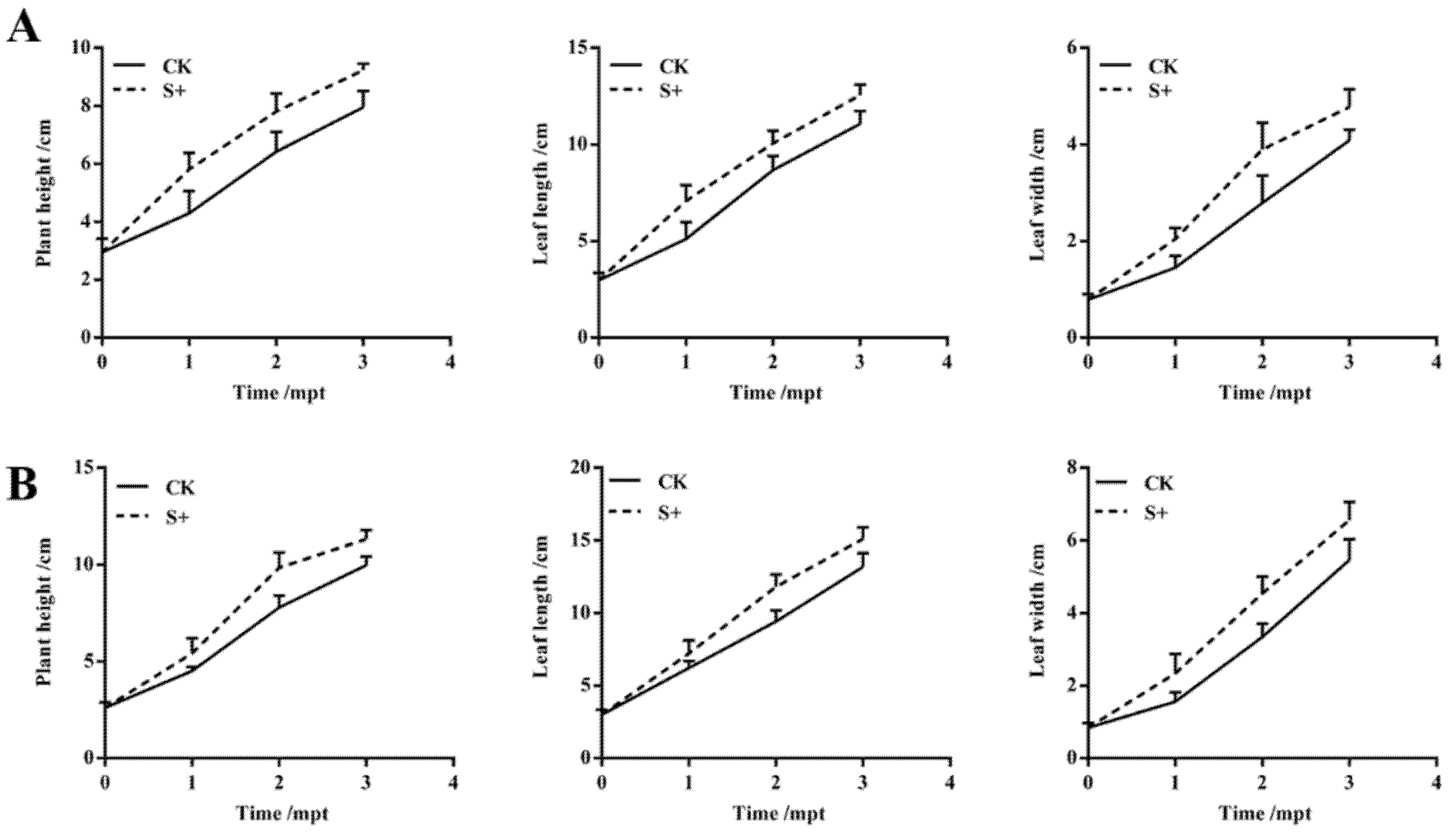
3.2. Effects of S. indica on the Growth of Banana Seedlings
3.3. Effects of S. indica on the Relative Chlorophyll Contents and Nitrogen Content in Banana Leaves
3.4. Effects of Bamboo Fungus on the Growth of Banana Seedlings
3.5. Effects of Bamboo Fungus on the Relative Chlorophyll Content and Nitrogen Content of Banana Seedlings
3.6. Effects of S. indica and Bamboo Fungus on Banana Fusarium Wilt Resistance
4. Discussion
4.1. S. indica Can Promote the Growth of Banana Seedlings
4.2. Bamboo Fungus Inhibited the Growth but Could Improve the Fusarium Wilt Resistance of Banana
4.3. S. indica Improved the Fusarium Wilt Resistance of Banana and This Promoting Effect Could Be Strengthened by Bamboo Fungus Additives
5. Conclusions
Author Contributions
Funding
Institutional Review Board Statement
Informed Consent Statement
Data Availability Statement
Conflicts of Interest
References
- Verma, S.; Varma, A.; Rexer, K.; Hassel, A.; Kost, G.; Sarbhoy, A.; Bisen, P.; Bütehorn, B.; Franken, P. Piriformospora indica, gen. et sp. nov., a new root-colonizing fungus. Mycologia 1998, 90, 896–903. [Google Scholar] [CrossRef]
- Weiß, M.; Waller, F.; Zuccaro, A.; Selosse, M. Sebacinales-one thousand and one interactions with land plants. New Phytol. 2016, 211, 20–40. [Google Scholar] [CrossRef] [PubMed]
- Mensah, R.A.; Li, D.; Liu, F.; Tian, N.; Sun, X.L.; Hao, X.Y.; Lai, Z.X.; Cheng, C.Z. Versatile Piriformospora indica and its potential applications in horticultural crops. Hort. Plant J. 2020, 6, 111–121. [Google Scholar] [CrossRef]
- Madaan, G.; Gosal, S.K.; Gosal, S.S.; Saroa, G.S.; Gill, M.I.S. Effect of microbial inoculants on the growth and yield of micropropagated banana (Musa indica) cv. Grand Naine. J. Hortic. Sci. Biotechnol. 2013, 88, 643–649. [Google Scholar] [CrossRef]
- Li, D.; Mensah, R.A.; Liu, F.; Tian, N.; Qi, Q.; Yeh, K.W.; Xuhan, X.; Cheng, C.Z.; Lai, Z.X. Effects of Piriformospora indica on rooting and growth of tissue-cultured banana (Musa acuminata cv. Tianbaojiao) seedlings. Sci. Hortic. 2019, 257, 108649. [Google Scholar] [CrossRef]
- Li, D.; Bodjrenou, D.M.; Zhang, S.T.; Wang, B.; Pan, H.; Yeh, K.; Lai, Z.X.; Cheng, C.Z. The endophytic fungus Piriformospora indica reprograms banana to cold resistance. Int. J. Mol. Sci. 2021, 22, 4973. [Google Scholar] [CrossRef]
- Bodjrenou, D.M.; Cheng, C.Z.; Sun, X.L.; Chew, H.F.; Liu, Y.Y.; Li, D.; Richard, Y.; Lai, Z.X. High temperature associated microRNAs and their potential roles in mediating heat tolerance in the leaf of banana inoculated with Serendipita indica. J. Hortic. Sci. Biotechnol. 2021, 1–16. [Google Scholar] [CrossRef]
- Cheng, C.Z.; Li, D.; Qi, Q.; Sun, X.L.; Anue, M.R.; David, B.M.; Zhang, Y.Y.; Hao, X.Y.; Zhang, Z.H.; Lai, Z.X. The root endophytic fungus Serendipita indica improves resistance of banana to Fusarium oxysporum f. sp. cubense tropical race 4. Eur. J. Plant Pathol. 2020, 156, 87–100. [Google Scholar] [CrossRef]
- Deng, C.; Shang, J.Y.; Fu, H.T.; Chen, J.X.; Liu, H.Y.; Chen, J.H. Mechanism of the immunostimulatory activity by a polysaccharide from Dictyophora indusiata. Int. J. Biol. Macromol. 2016, 91, 752–759. [Google Scholar] [CrossRef]
- Shi, X.D.; Li, O.Y.; Yin, J.Y.; Nie, S.P. Structure identification of α-glucans from Dictyophora echinovolvata by methylation and 1D/2D NMR spectroscopy. Food Chem. 2019, 271, 338–344. [Google Scholar] [CrossRef]
- Li, X.Y.; Wang, Z.Y.; Wang, L.; Walid, E.; Zhang, H. In vitro antioxidant and anti-proliferation activities of polysaccharides from various extracts of different mushrooms. Int. J. Mol. Sci. 2012, 13, 5801–5817. [Google Scholar] [CrossRef] [PubMed] [Green Version]
- Liu, F.; Liu, J.P.; Xiang, L.L.; Tian, N.; Sun, X.L.; Hao, X.Y.; Lai, Z.X.; Cheng, C.Z. Inhibitory effects of bamboo fungus crude extracts on banana Fusarium wilt pathogen. Fujion J. Agric. Sci. 2018, 33, 1167–1171. (In Chinese) [Google Scholar]
- Zhang, Y.Y.; Liu, F.; Wang, B.; Qiu, D.L.; Liu, J.P.; Wu, H.; Cheng, C.Z.; Bei, X.J.; Lü, P.T. First report of Burkholderia cepacia causing finger-tip rot on banana fruit in the Guangxi province of China. Plant Dis. 2021. [Google Scholar] [CrossRef] [PubMed]
- Wang, B.; Zhang, Y.Y.; Liu, J.P.; Sheng, O.; Liu, F.; Qiu, D.L.; Lü, P.T.; Deng, G.M.; Cheng, C.Z. A new leaf blight disease caused by Alternaria jacinthicola on banana in China. Horticulturae 2022, 8, 12. [Google Scholar] [CrossRef]
- Bubici, G.; Kaushal, M.; Prigigallo, M.I.; Gómez-Lama Cabanás, C.; Mercado-Blanco, J. Biological control agents against Fusarium wilt of banana. Front. Microbiol. 2019, 10, 616. [Google Scholar] [CrossRef] [Green Version]
- Dita, M.; Barquero, M.; Heck, D.; Mizubuti, E.S.G.; Staver, C.P. Fusarium wilt of banana: Current knowledge on epidemiology and research needs toward sustainable disease management. Front. Plant Sci. 2018, 9, 1468. [Google Scholar] [CrossRef] [Green Version]
- Lin, P.; Zhang, M.Y.; Wang, M.Y.; Li, Y.Q.; Liu, J.F.; Chen, Y.L. Inoculation with arbuscular mycorrhizal fungus modulates defense-related genes expression in banana seedlings susceptible to wilt disease. Plant Signal. Behav. 2021, 16, 1884782. [Google Scholar] [CrossRef]
- Wang, D.; Peng, C.Z.; Zheng, X.M.; Chang, L.L.; Xu, B.Q.; Tong, Z. Secretome analysis of the banana Fusarium wilt Fungi Foc R1 and Foc TR4 reveals a new effector OASTL required for full pathogenicity of Foc TR4 in banana. Biomolecules 2020, 10, 1430. [Google Scholar] [CrossRef]
- Liu, H.C.; Senthilkumar, R.; Ma, G.Y.; Zou, Q.C.; Zhu, K.Y.; Shen, X.L.; Tian, D.Q.; Hua, M.S.; Oelmüller, R.; Yeh, K.W. Piriformospora indica-induced phytohormone changes and root colonization strategies are highly host-specific. Plant Signal. Behav. 2019, 14, 1632688. [Google Scholar] [CrossRef]
- Ploetz, R.C. Fusarium wilt of banana. Phytopathology 2015, 105, 1512–1521. [Google Scholar] [CrossRef] [Green Version]
- Damodaran, T.; Rajan, S.; Muthukumar, M.; Gopal, R.; Yadav, K.; Kumar, S.; Ahmad, I.; Kumari, N.; Mishra, V.K.; Jha, S.K. Biological management of banana Fusarium wilt caused by Fusarium oxysporum f. sp. cubense tropical race 4 using antagonistic fungal isolate CSR-T-3 (Trichoderma reesei). Front. Microbiol. 2020, 11, 595845. [Google Scholar] [CrossRef] [PubMed]
- Varma, A.; Verma, S.; Sudha; Sahay, N.; Bütehorn, B.; Franken, P. Piriformospora indica, a cultivable plant-growth promoting root endophyte. Appl. Environ. Microbiol. 1999, 65, 2741–2744. [Google Scholar] [CrossRef] [PubMed] [Green Version]
- Shende, S.; Bhagwat, K.; Wadegaonkar, P.; Rai, M.; Varma, A.; Rai, M.K. Piriformospora indica as a new and emerging mycofertilizer and biotizer: Potentials and pros pects in sustainable agriculture. In Handbook of Microbial Biofertilizers, 1st ed.; Food Products Press: Binghamton, NY, USA, 2005; pp. 477–496. [Google Scholar]
- Xu, F.L.; Zhu, Z.Y.; He, Y.; Tian, Z.H. Effects of Piriformospora indica on seed germination and protocorm growth of Dendrobium officinale. J. Trop. Ecol. Subtrop. Bot. 2021, 29, 59–66. (In Chinese) [Google Scholar]
- Pan, R.; Deng, J.; Hu, A.B.; Zhang, W.Y. Growth promotion and tolerance improvement to drought stress of cotton seedling conferred by Piriformospora indica. Agric. Res. Arid Areas 2019, 37, 249–256. (In Chinese) [Google Scholar]
- Yu, W.X.; Lin, C.Q.; Zhao, Q.; Lin, X.J.; Dong, X.L. Neuroprotection against hydrogen peroxide-induced toxicity by Dictyophora echinovolvata polysaccharide via inhibiting the mitochondria-dependent apoptotic pathway. Biomed. Pharmacother. 2017, 88, 569–573. [Google Scholar] [CrossRef]
- Lu, H.F.; Cai, C.J.; Zeng, X.S.; Campbell, D.E.; Fan, S.H.; Liu, G.L. Bamboo vs. crops: An integrated emergy and economic evaluation of using bamboo to replace crops in south Sichuan Province, China. J. Clean. Prod. 2018, 177, 464–473. [Google Scholar] [CrossRef]
- Wu, Y.Q.; Wu, D.Y.; Wang, M.Y.; Ying, G.H.; Chen, H.C. Economic benefits and ecological restoration evaluation of the croprotation mode of covering Phyllostachys edulis-Dictyophora echinovolvata. South China For. Sci. 2016, 44, 40–43. (In Chinese) [Google Scholar]
- Roylawar, P.; Khandagale, K.; Randive, P.; Shinde, B.; Murumkar, C.; Ade, A.; Singh, M.; Gawande, S.; Morelli, M. Piriformospora indica primes onion response against Stemphylium leaf blight disease. Pathogens 2021, 10, 1085. [Google Scholar] [CrossRef] [PubMed]
- Trzewik, A.; Maciorowski, R.; Klocke, E.; Orlikowska, T. The influence of Piriformospora indica on the resistance of two rhododendron cultivars to Phytophthora cinnamomi and P. plurivora. Biol. Control 2020, 140, 104121. [Google Scholar] [CrossRef]
- Yan, C.J.; Muhammad Rizwan, H.; Liang, D.D.; Reichelt, M.; Mithöfer, A.; Scholz, S.S.; Oelmüller, R.; Chen, F.X. The effect of the root-colonizing Piriformospora indica on passion fruit (Passiflora edulis) development: Initial defense shifts to fitness benefits and higher fruit quality. Food Chem. 2021, 359, 129671. [Google Scholar] [CrossRef]
- Rabiey, M.; Shaw, M.W. Piriformospora indica reduces fusarium head blight disease severity and mycotoxin DON contamination in wheat under UK weather conditions. Plant Pathol. 2016, 65, 940–952. [Google Scholar] [CrossRef]
- Sun, C.; Shao, Y.Q.; Vahabi, K.; Lu, J.; Bhattacharya, S.; Dong, S.Q.; Yeh, K.W.; Sherameti, I.; Lou, B.G.; Baldwin, I.T.; et al. The beneficial fungus Piriformospora indica protects Arabidopsis from Verticillium dahliae infection by downregulation plant defense responses. BMC Plant Biol. 2014, 14, 268. [Google Scholar] [CrossRef] [PubMed] [Green Version]
- Panda, S.; Busatto, N.; Hussain, K.; Kamble, A. Piriformospora indica-primed transcriptional reprogramming induces defense response against early blight in tomato. Sci. Hortic. 2019, 255, 209–219. [Google Scholar] [CrossRef]
- Narayan, O.P.; Verma, N.; Singh, A.K.; Oelmüller, R.; Kumar, M.; Prasad, D.; Kapoor, R.; Dua, M.; Johri, A.K. Antioxidant enzymes in chickpea colonized by Piriformospora indica participate in defense against the pathogen Botrytis cinerea. Sci. Rep. 2017, 7, 13553. [Google Scholar] [CrossRef] [PubMed]
- Sun, Y.; Huang, B.; Cheng, P.; Li, C.; Chen, Y.; Li, Y.; Zheng, L.; Xing, J.; Dong, Z.; Yu, G. Endophytic Bacillus subtilis TR21 improves banana plant resistance to Fusarium oxysporum f. sp. cubense and promotes root growth by upregulating the jasmonate and brassinosteroid biosynthesis pathways. Phytopathology 2022, 112, 219–231. [Google Scholar] [PubMed]
- Li, C.Y.; Chen, S.; Zuo, C.W.; Sun, Q.M.; Ye, Q.; Yi, G.J.; Huang, B.Z. The use of GFP-transformed isolates to study infection of banana with Fusarium oxysporum f. sp. cubense race 4. Eur. J. Plant Pathol. 2011, 131, 327–340. [Google Scholar] [CrossRef]
- Cheng, C.; Liu, F.; Sun, X.; Wang, B.; Liu, J.; Ni, X.; Hu, C.; Deng, G.; Tong, Z.; Zhang, Y.; et al. Genome-wide identification of FAD gene family and their contributions to the temperature stresses and mutualistic and parasitic fungi colonization responses in banana, Int. J. Biol. Macromol. 2022, 204, 661–676. [Google Scholar] [CrossRef]
- Liu, Y.D.; Zhang, X.; Xie, Y.X.; Qi, Y.X.; Pu, J.J.; Zhang, H. Identification of 36 banana germplasm for their resistance to Fusarum wilt. Chin. J. Trop. Agric. 2008, 28, 25–27. (In Chinese) [Google Scholar]
- Zuo, C.W.; Li, B.; Li, C.Y.; Wei, Y.R.; Hu, C.H.; Deng, G.M.; Kuang, R.B.; Yang, Q.S.; Yi, G.J. Establishment of resistance evaluation system of banana to Fusarium oxysporum f. sp. cubense tropical race 4. Acta Hort. Sin. 2016, 43, 876–884. (In Chinese) [Google Scholar]
- Olivares, B.; Rey, J.C.; Lobo, D.; Navas-Cortés, J.A.; Gómez, J.A.; Landa, B.B. Fusarium wilt of bananas: A Review of agro-environmental factors in the Venezuelan production system affecting its development. Agronomy 2021, 11, 986. [Google Scholar] [CrossRef]
- Araya-Alman, M.; Acevedo-Opazo, C.; Rey, J.C.; Lobo, D.; Navas-Cortés, J.A.; Gómez, J.A.; Landa, B.B.; Orlando, O. Relationship between soil properties and banana productivity in the two main cultivation areas in Venezuela. J. Soil Sci. Plant Nutr. 2020, 20, 2512–2524. [Google Scholar]
- Chaves-Gómez, J.L.; Chávez-Arias, C.C.; Prado, A.M.C.; Gómez-Caro, S.; Restrepo-Díaz, H. Mixtures of biological control agents and organic additives improve physiological behavior in cape gooseberry plants under Vascular wilt disease. Plants 2021, 10, 2059. [Google Scholar] [CrossRef] [PubMed]
- Campos, O.; Paredes, F.; Rey, J.; Lobo, D.; Galvis-Causil, S. The relationship between the normalized difference vegetation index, rainfall, and potential evapotranspiration in a banana plantation of Venezuela. SAINS TANAH-J. Soil Sci. Agroclimatol. 2021, 18, 58–64. [Google Scholar] [CrossRef]










| Banana Variety | Group | Root Length/cm | Root Number | Root Thickness/mm | Aboveground Part Fresh Weight/g | Root Fresh Weight/g |
|---|---|---|---|---|---|---|
| ZJ3 | CK | 15.23 ± 0.87 d | 5.67 ± 0.58 c | 0.93 ± 0.02 d | 2.23 ± 0.18 d | 0.78 ± 0.06 d |
| S+ | 21.73 ± 1.43 c | 8.33 ± 0.58 ab | 1.44 ± 0.07 c | 3.58 ± 1.28 c | 1.34 ± 0.13 c | |
| ZJ4 | CK | 25.57 ± 1.12 b | 7.33 ± 0.58 b | 1.35 ± 0.05 c | 4.79 ± 0.45 b | 1.36 ± 0.16 c |
| S+ | 33.67 ± 0.90 a | 9.33 ± 1.15 a | 1.64 ± 0.04 b | 8.43 ± 0.51 a | 2.70 ± 0.04 a |
| Banana Variety | Group | 1 mpt | 2 mpt | 3 mpt | ||||||
|---|---|---|---|---|---|---|---|---|---|---|
| Plant Height/cm | Leaf Length/cm | Leaf Width/cm | Plant Height/cm | Leaf Length/cm | Leaf Width/cm | Plant Height/cm | Leaf Length/cm | Leaf Width/cm | ||
| ZJ3 | CK | 3.53 ± 0.31 a | 4.87 ± 0.32 a | 1.40 ± 0.35 a | 6.53 ± 0.25 a | 7.57 ± 0.35 a | 2.90 ± 0.26 a | 8.27 ± 0.25 a | 10.67 ± 0.81 a | 4.60 ± 0.61 a |
| 1/4 | 3.45 ± 0.07 a | 4.50 ± 0.14 ab | 1.25 ± 0.07 a | 5.75 ± 0.35 b | 7.30 ± 0.57 a | 2.30 ± 0.14 ab | 7.25 ± 0.21 b | 9.10 ± 0.71 b | 3.45 ± 0.21 b | |
| 1/2 | 3.43 ± 0.10 a | 4.18 ± 0.31 b | 1.15 ± 0.13 a | 4.87 ± 0.31 c | 6.77 ± 0.38 a | 2.10 ± 0.40 bc | 6.50 ± 0.79 b | 8.37 ± 0.38 b | 3.07 ± 0.15 bc | |
| ZS | 3.35 ± 0.21 a | 4.10 ± 0.14 b | 1.15 ± 0.07 a | 4.10 ± 0.28 d | 5.00 ± 0.28 b | 1.60 ± 0.14 c | 4.70 ± 0.20 c | 6.83 ± 0.35 c | 2.47 ± 0.21 c | |
| ZJ4 | CK | 3.68 ± 0.15 a | 5.30 ± 0.46 a | 1.80 ± 0.22 a | 6.53 ± 0.50 a | 7.53 ± 0.71 a | 3.75 ± 0.37 a | 8.67 ± 0.47 a | 11.13 ± 0.47 a | 5.93 ± 0.25 a |
| 1/4 | 3.63 ± 0.06 a | 4.73 ± 0.60 b | 1.40 ± 0.20 b | 5.98 ± 0.56 a | 6.93 ± 0.5 ab | 3.23 ± 0.38 b | 7.88 ± 0.54 b | 10.08 ± 0.57 b | 5.10 ± 0.42 b | |
| 1/2 | 3.57 ± 0.40 a | 4.07 ± 0.41 b | 1.22 ± 0.12 b | 4.98 ± 0.71 b | 6.65 ± 0.62 ab | 2.13 ± 0.25 c | 5.83 ± 0.29 c | 7.80 ± 0.30 c | 3.00 ± 0.53 c | |
| ZS | 3.50 ± 0.37 a | 4.02 ± 0.32 b | 1.18 ± 0.13 b | 4.73 ± 0.40 b | 5.83 ± 0.90 b | 1.72 ± 0.10 c | 4.97 ± 0.29 d | 6.70 ± 0.56 d | 2.70 ± 0.10 c | |
| Banana Variety | Group | Root Length/cm | Root Number | Root Thickness/mm | Aboveground Part Fresh Weight/g | Root Fresh Weight/g |
|---|---|---|---|---|---|---|
| ZJ3 | CK | 20.27 ± 0.78 a | 5.33 ± 0.58 a | 1.10 ± 0.03 a | 2.65 ± 0.42 a | 0.35 ± 0.04 a |
| 1/4 | 19.30 ± 0.89 a | 5.33 ± 0.58 a | 1.03 ± 0.09 a | 1.73 ± 0.14 b | 0.30 ± 0.01 ab | |
| 1/2 | 12.10 ± 1.14 b | 4.33 ± 0.58 b | 0.83 ± 0.08 b | 1.52 ± 0.18 b | 0.27 ± 0.02 b | |
| ZS | 10.60 ± 0.75 b | 4.00 ± 0.00 b | 0.82 ± 0.10 b | 1.49 ± 0.16 b | 0.24 ± 0.04 b | |
| ZJ4 | CK | 16.07 ± 0.71 a | 6.67 ± 0.58 a | 1.27 ± 0.04 a | 4.65 ± 0.12 a | 1.46 ± 0.05 a |
| 1/4 | 14.23 ± 0.47 b | 5.67 ± 0.58 b | 1.25 ± 0.05 a | 3.77 ± 0.23 b | 1.04 ± 0.07 b | |
| 1/2 | 13.40 ± 0.53 b | 5.33 ± 0.58 b | 1.12 ± 0.05 b | 1.83 ± 0.23 c | 0.64 ± 0.09 c | |
| ZS | 11.90 ± 0.40 c | 4.00 ± 0.00 c | 0.97 ± 0.06 c | 1.91 ± 0.22 c | 0.30 ± 0.06 d |
Publisher’s Note: MDPI stays neutral with regard to jurisdictional claims in published maps and institutional affiliations. |
© 2022 by the authors. Licensee MDPI, Basel, Switzerland. This article is an open access article distributed under the terms and conditions of the Creative Commons Attribution (CC BY) license (https://creativecommons.org/licenses/by/4.0/).
Share and Cite
Cheng, C.; Liu, F.; Wang, B.; Qu, P.; Liu, J.; Zhang, Y.; Liu, W.; Tong, Z.; Deng, G. Influences of Serendipita indica and Dictyophorae echinovolvata on the Growth and Fusarium Wilt Disease Resistance of Banana. Biology 2022, 11, 393. https://doi.org/10.3390/biology11030393
Cheng C, Liu F, Wang B, Qu P, Liu J, Zhang Y, Liu W, Tong Z, Deng G. Influences of Serendipita indica and Dictyophorae echinovolvata on the Growth and Fusarium Wilt Disease Resistance of Banana. Biology. 2022; 11(3):393. https://doi.org/10.3390/biology11030393
Chicago/Turabian StyleCheng, Chunzhen, Fan Liu, Bin Wang, Pengyan Qu, Jiapeng Liu, Yongyan Zhang, Wei Liu, Zheng Tong, and Guiming Deng. 2022. "Influences of Serendipita indica and Dictyophorae echinovolvata on the Growth and Fusarium Wilt Disease Resistance of Banana" Biology 11, no. 3: 393. https://doi.org/10.3390/biology11030393
APA StyleCheng, C., Liu, F., Wang, B., Qu, P., Liu, J., Zhang, Y., Liu, W., Tong, Z., & Deng, G. (2022). Influences of Serendipita indica and Dictyophorae echinovolvata on the Growth and Fusarium Wilt Disease Resistance of Banana. Biology, 11(3), 393. https://doi.org/10.3390/biology11030393

