Gaseous Elemental Mercury Exchange Fluxes over Air-Soil Interfaces in the Degraded Grasslands of Northeastern China
Abstract
Simple Summary
Abstract
1. Introduction
2. Materials and Methods
2.1. Study Area
2.2. Sampling Site and Experimental Design
2.3. Soil-Air Hg0 Flux Measurements
2.4. Statistical Analysis Results
3. Results
3.1. Gaseous Elemental Mercury (GEM) Concentrations in the Ambient Air
3.2. Total Mercury Concentrations in the Soil
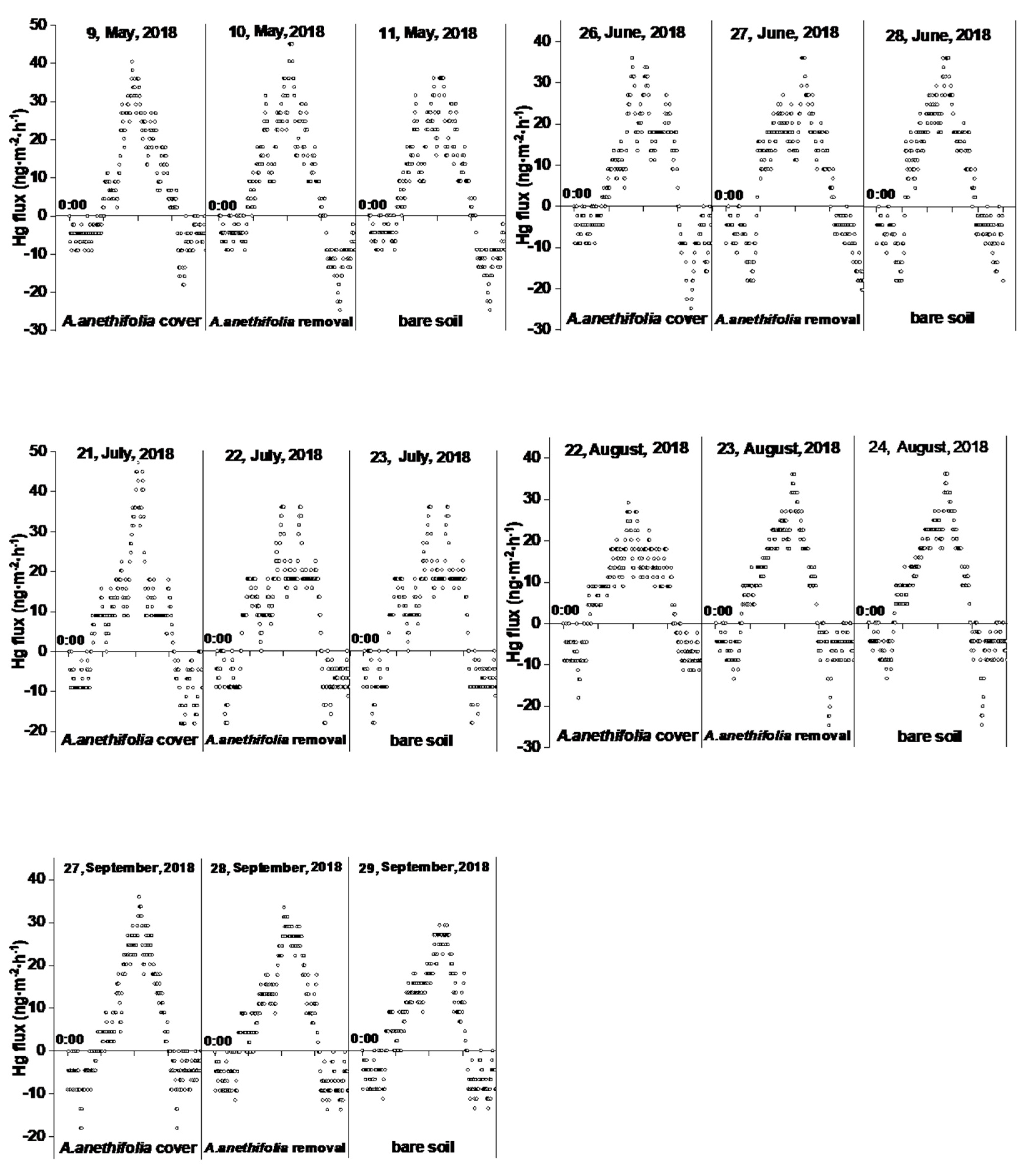
3.3. General Characteristics s of the GEM Fluxes over the Soil-Air Interfaces
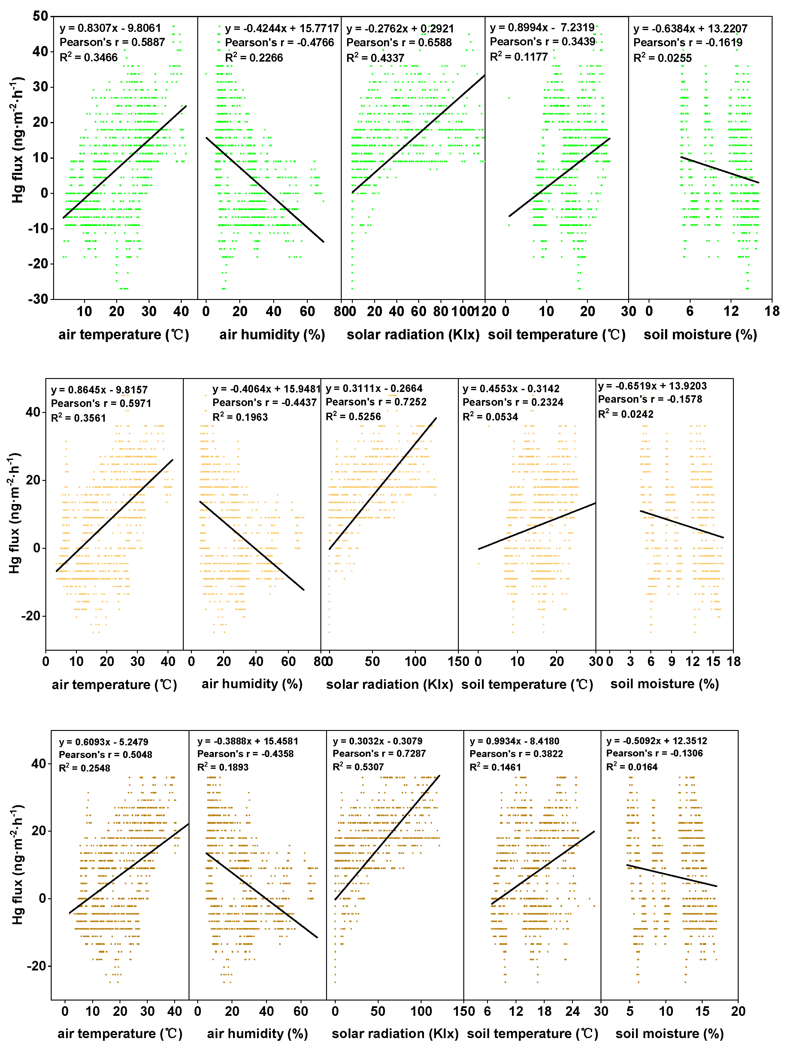
3.4. Environmental Factors Influencing the Mercury Soil-Air Exchanges
4. Discussion
4.1. General Characteristics of the GEM Fluxes
4.1.1. Characteristics of the GEM Fluxes of Different Terrestrial Surfaces
4.1.2. Diel Variations in the Gaseous Elemental Mercury Concentration Levels
4.1.3. Seasonal Variations in the Gaseous Elemental Mercury Concentration Levels
4.2. Impacts of Vegetation Coverage on Hg Fluxes
4.3. Impacts of the Meteorological Conditions and the Air/Soil Hg Content Levels
4.3.1. Solar Radiation Levels
4.3.2. Air and Soil Temperature Values
4.3.3. Air Humidity and Soil Moisture Values
4.3.4. GEM Concentrations in the Air and Soil
5. Conclusions
Author Contributions
Funding
Institutional Review Board Statement
Informed Consent Statement
Data Availability Statement
Acknowledgments
Conflicts of Interest
References
- Driscoll, C.T.; Mason, R.P.; Chan, H.M. Mercury as a global pollutant: Sources, pathways, and effects. Environ. Sci. Technol. 2013, 47, 4967–4983. [Google Scholar] [CrossRef] [PubMed]
- Kim, M.K.; Zoh, K.D. Fate and transport of mercury in environmental media and human exposure. J. Prev. Med. Public Health 2012, 45, 335–343. [Google Scholar] [CrossRef] [PubMed]
- Harding, G.; Dalziel, J.; Vass, P. Bioaccumulation of methylmercury within the marine food web of the outer Bay of Fundy, Gulf of Maine. PLoS ONE 2018, 13, e09772. [Google Scholar] [CrossRef] [PubMed]
- Kang, H.H.; Liu, X.L.; Guo, J.M. Increased mercury pollution revealed by tree rings from the China’s Tianshan Mountains. Life Sci. Bull. 2018, 63, 1328–1331. [Google Scholar] [CrossRef]
- Eckley, C.S.; Blanchard, P.; Mclennan, D.; Mintz, R.; Sekela, M. Soil–Air mercury flux near a large industrial emission source before and after closure. Environ. Sci. Technol. 2015, 49, 9750–9757. [Google Scholar] [CrossRef] [PubMed]
- Agnan, Y.; Le Dantec, T.; Moore, C.W.; Edwards, G.C.; Obrist, D. New constraints on terrestrial surface atmosphere fluxes of gaseous elemental mercury using a global database. Environ. Sci. Technol. 2016, 50, 507–524. [Google Scholar] [CrossRef]
- Grigal, D.F. Inputs and outputs of mercury from terrestrial watersheds: A review. Environ. Rev. 2002, 10, 1–39. [Google Scholar] [CrossRef]
- Cizdziel, J.V.; Jiang, Y.; Nallamothu, D. Air/surface exchange of gaseous elemental mercury at different landscapes in Mississippi, USA. Atmosphere 2019, 10, 538. [Google Scholar] [CrossRef]
- Krabbenhoft, D.P.; Sunderland, E.M. Global change and mercury. Science 2013, 341, 1457–1458. [Google Scholar] [CrossRef]
- Carpi, A.; Fostier, A.H.; Orta, O.R. Gaseous mercury emissions from soil following forest loss and land use changes: Field experiment on the United States and Brazil. Atmos. Environ. 2014, 96, 423–429. [Google Scholar] [CrossRef]
- Jiskra, M.; Wiederhold, J.G.; Skyllberg, U. Mercury deposition and re-emission pathways in boreal forest soils investigated with Hg isotope signatures. Environ. Sci. Technol. 2015, 49, 7188–7196. [Google Scholar] [CrossRef]
- Tom, S.; Gordon, M.; David, R. Gaseous mercury flux from salt marshes is mediated by solar radiation and temperature. Atmos. Environ. 2017, 153, 117–125. [Google Scholar]
- Sommar, J.; Zhu, W.; Shang, L.H. Seasonal variations in metallic mercury (Hg0) vapor exchange over biannual wheat–corn rotation cropland in the North China Plain. Biogeosciences 2016, 13, 2029–2049. [Google Scholar] [CrossRef]
- Bengtsson, J.; Bullock, J.M.; Egoh, B. Grasslands—More important for ecosystem services than you might think. Ecosphere 2019, 10, e02582. [Google Scholar] [CrossRef]
- Howard, D.; Edwards, G.C. Mercury fluxes over an Australian alpine grassland and observation of nocturnal atmospheric mercury depletion events. Atmos. Chem. Phys. 2018, 18, 129–142. [Google Scholar] [CrossRef]
- Kikuchi, T.; Ikemoto, H.; Takahashi, K. Parameterizing soil emission and atmospheric oxidation reduction in a model of the global biogeochemical cycle of mercury. Environ. Sci. Technol. 2013, 47, 12266–12274. [Google Scholar] [CrossRef] [PubMed]
- Simone, F.D.; Gencarelli, C.N.; Hedgecock, I.M. Global atmospheric cycle of mercury: A model study on the impact of oxidation mechanisms. Environ. Sci. Pollut. Res. 2014, 21, 4110–4123. [Google Scholar] [CrossRef] [PubMed]
- Ericksen, J.A.; Gustin, M.S.; Schorran, D.E. Accumulation of atmospheric mercury in forest foliage. Atmos. Environ. 2003, 37, 1613–1622. [Google Scholar] [CrossRef]
- Stamenkovic, J.; Gustin, M.S. Nonstomatal versus stomatal uptake of atmospheric mercury. Environ. Sci. Technol. 2009, 43, 1367–1372. [Google Scholar] [CrossRef]
- Gustin, M.S.; Lindberg, S.E.; Weisberg, P.J. An update on the natural sources and sinks of atmospheric mercury. Appl. Geochem. 2008, 23, 482–493. [Google Scholar] [CrossRef]
- Pirrone, N.; Cinnirella, S.; Feng, X.B. Global mercury emissions to the atmosphere from anthropogenic and natural sources. Atmos. Chem. Phys. 2010, 10, 5951–5964. [Google Scholar] [CrossRef]
- Bergamaschi, B.A.; Krabbenhoft, D.P.; Aiken, G.R. Tidally driven export of dissolved organic carbon, total mercury, and methyl-mercury from a mangrove-dominated estuary. Environ. Sci. Technol. 2012, 46, 1371–1378. [Google Scholar] [CrossRef]
- Ci, Z.J.; Peng, F.; Xue, X. Air–surface exchange of gaseous mercury over permafrost soil: An investigation at a high-altitude (4700 m a.s.l.) and remote site in the central Qinghai-Tibet Plateau. Atmos. Chem. Phys. 2016, 16, 14741–14754. [Google Scholar] [CrossRef]
- Mu, C.C.; Schuster, P.F.; Abbott, B.W. Permafrost degradation enhances the risk of mercury release on Qinghai-Tibetan Plateau. Sci. Total Environ. 2020, 708, 135. [Google Scholar] [CrossRef]
- Converse, A.D.; Riscassi, A.L.; Scanlon, T.M. Seasonal variability in gaseous mercury fluxes measured in a high-elevation meadow. Atmos. Environ. 2010, 44, 2176–2185. [Google Scholar] [CrossRef]
- Sun, S.W.; Ma, M.; He, X.B. Vegetation mediated mercury Flux and atmospheric mercury in the alpine permafrost region of the central Tibetan Plateau. Environ. Sci. Technol. 2020, 54, 6043–6052. [Google Scholar] [CrossRef] [PubMed]
- Lee, R.; Yu, F.F.; Price, K.P. Evaluating vegetation phenological patterns in Inner Mongolia using NDVI timeseries analysis. Int. J. Remote Sens. 2002, 23, 2505–2512. [Google Scholar] [CrossRef]
- Wang, L.; Liu, H.; Ketzer, B. Effect of grazing intensity on evapotranspiration in the semiarid grasslands of Inner Mongolia. J. Arid Environ. 2012, 83, 15–24. [Google Scholar] [CrossRef]
- Zhu, W.; Lin, C.J.; Sommar, J. Emission characteristics and air-surface exchange of gaseous mercury at the largest active landfill in Asia. Atmos. Environ. 2013, 79, 188–197. [Google Scholar] [CrossRef]
- Lin, C.J.; Zhu, W.; Li, X. Novel dynamic flux chamber for measuring air−surface exchange of Hg0 from soils. Environ. Sci. Technol. 2012, 46, 8910–8920. [Google Scholar] [CrossRef]
- Zhu, W.; Sommar, J.; Li, Z. Highly elevated emission of mercury vapor due to the spontaneous combustion of refuse in a landfill. Atmos. Environ. 2013, 79, 540–545. [Google Scholar] [CrossRef]
- Eckley, C.S.; Gustin, M.S.; Lin, C.J. The influence of dynamic chamber design and operating parameters on calculated surface-to-air mercury fluxes. Atmos. Environ. 2010, 44, 194–203. [Google Scholar] [CrossRef]
- Streets, D.G.; Horowitz, H.M.; Jacob, D.J. Total mercury released to the environment by human activities. Environ. Sci. Technol. 2017, 51, 5969–5977. [Google Scholar] [CrossRef]
- Xin, M.; Gustin, M.; Johnson, D. Laboratory investigation of the potential for re-emission of atmospherically derived Hg from soils. Environ. Sci. Technol. 2007, 41, 4946–4951. [Google Scholar] [CrossRef] [PubMed]
- Kinsey, J.S.; Anscombe, F.R.; Lindberg, S.E.; Southworth, G.R. Characterization of the fugitive mercury emissions at a chlor-alkali plant: Overall study design. Atmos. Environ. 2003, 38, 633–641. [Google Scholar] [CrossRef]
- Fu, X.; Feng, X.; Wang, S. Mercury flux rate of two types of grasslands in Guiyang. Res. Environ. Sci. 2007, 20, 33–37. [Google Scholar]
- Qin, J. Mercury in soil, vegetable and human hair in a typical mining area in China: Implication for human exposure. J. Environ. Sci. 2018, 68, 73–82. [Google Scholar]
- Carpi, A.; Frei, A.; Cocris, D. Analytical artifacts produced by a polycarbonate chamber compared to a Teflon chamber for measuring surface mercury fluxes. Chemosphere 2007, 388, 361–365. [Google Scholar] [CrossRef]
- Zhang, H.; Lindberg, S.E.; Barnett, M.O. Dynamic flux chamber measurement of gaseous mercury emission fluxes over soils. Part 1: Simulation of gaseous mercury emissions from soils using a two-resistance exchange interface model. Atmos. Environ. 2002, 36, 835–846. [Google Scholar] [CrossRef]
- Artaxo, P.; Calixto, D.; Campos, R.; Fernandes, E.T. Large-scale mercury and trace element measurements in the Amazon basin. Atmos. Environ. 2000, 34, 4085–4096. [Google Scholar] [CrossRef]
- Wang, D.; He, L.; Shi, X. Release flux of mercury from different environmental surfaces in Chongqing, China. Chemosphere 2006, 64, 1845–1854. [Google Scholar] [CrossRef]
- Carpi, A.; Lindberg, S.E. Sunlight-mediated emission of elemental mercury from soil amended with municipal sewage sludge. Environ. Sci. Technol. 1997, 31, 2085–2091. [Google Scholar] [CrossRef]
- Li, Z.G.; Feng, X.; Li, P.; Liang, L. Emissions of air-borne mercury from five municipal solid waste landfill in Guiyang and Wuhan, China. Atmos. Environ. 2010, 10, 2072–2079. [Google Scholar] [CrossRef]
- Lindberg, S.E.; Hanson, P.J.; Meyers, T.P. Air/surface exchange of mercury vapor over forests e the need for a reassessment of continental biogenic emissions. Atmos. Environ. 1998, 32, 895–908. [Google Scholar] [CrossRef]
- Fay, L.; Gustin, M. Assessing the influence of different atmospheric and soil mercury concentrations on foliar mercury concentrations in a controlled environment. Water Air Soil Pollut. 2007, 181, 373–384. [Google Scholar] [CrossRef]
- Mazur, M.E.E.; Mitchell, C.P.J.; Eckley, C.S. Gaseous mercury fluxes from forest soils in response to forest harvesting intensity: A field manipulation experiment. Sci. Total Environ. 2014, 496, 678–687. [Google Scholar] [CrossRef]
- Gustin, M.S.; Stamenkovic, J. Effect of watering and soil moisture on mercury emission fromsoils. Biogeochemistry 2005, 76, 215–232. [Google Scholar] [CrossRef]
- Wang, L.; Manuel, D.B.; Wang, D.L. Diversifying livestock promotes multidiversity and multifunctionality in managed grasslands. Proc. Natl. Acad. Sci. USA 2019, 116, 6187–6192. [Google Scholar] [CrossRef] [PubMed]
- Miller, M.B.; Gustin, M.S. Testing and modeling the influence of reclamation and control methods for reducing nonpoint mercury emissions associated with industrial open pit gold mines. J. Air Waste Manag. Assoc. 2013, 63, 681–693. [Google Scholar] [CrossRef][Green Version]
- Rutter, A.P.; Schauer, J.J.; Shafer, M.M. Climate sensitivity of gaseous elemental mercury dry deposition to plants: Impact of temperature, light intensity, and plant species. Environ. Sci. Technol. 2011, 45, 569–575. [Google Scholar] [CrossRef] [PubMed]
- Choi, H.D.; Holsen, T.M. Gaseous mercury fluxes from the forest floor of Adirondacks. Environ. Pollut. 2009, 157, 592–600. [Google Scholar] [CrossRef]
- Lindberg, S.E.; Jackson, D.; Huckabee, J. Atmospheric emission and plant uptake of mercury from agricultural soils near the Almaden mercury mine. J. Environ. Qual. 1979, 8, 572–578. [Google Scholar] [CrossRef]
- Gustin, M.S.; Ericksen, J.A.; Schorran, D.E. Application of controlled mesocosms for understanding mercury air/soil-plant exchange. Environ. Sci. Technol. 2004, 38, 6044–6050. [Google Scholar] [CrossRef]
- Gills, A.A.; Miller, D.R. Some local environmental effects on mercury emission and absorption at a soil surface. Sci. Total Environ. 2000, 260, 191–200. [Google Scholar] [CrossRef]
- Briggs, C.; Gustin, M.S. Building upon the conceptual model for soil mercury flux: Evidence of a link between moisture evaporation and Hg evasion. Water Air Soil Pollut. 2013, 224, 1774. [Google Scholar] [CrossRef]
- Park, S.Y.; Hoslen, T.M.; Kim, P.R. Laboratory investigation of factors affecting mercury emissions from soils. Environ. Earth Sci. 2014, 72, 2711–2721. [Google Scholar] [CrossRef]
- Miller, M.B.; Gustin, M.S. Gas-exchange chamber analysis of elemental mercury deposition/emission to alluvium, ore, and mine tailings. Chemosphere 2015, 113, 209–216. [Google Scholar] [CrossRef]
- Obrist, D.; Johnson, D.W.; Lindberg, S.E. Mercury concentrations and pools in four Sierra Nevada forest sites, and relationships to organic carbon and nitrogen. Biogeosciences 2009, 6, 765–777. [Google Scholar] [CrossRef]
- Yu, X.; Driscoll, C.T.; Warby, R.A.F. Soil mercury and its response to atmospheric mercury deposition across the northern United States. Ecol. Appl. 2014, 24, 812–822. [Google Scholar] [CrossRef]






| Treatments | Date | Range | Diel Mean ± SD |
|---|---|---|---|
| A. anethifolia cover | 9 May | 4.0~27.0 | 16.3 ± 6.5 |
| A. anethifolia removal | 10 May | 5.0~26.0 | 15.4 ± 6.3 |
| Bare soil | 11 May | 4.0~26.0 | 15.4 ± 6.3 |
| A. anethifolia cover | 26 June | 5.0~25.0 | 16.0 ± 6.0 |
| A. anethifolia removal | 27 June | 7.0~26.0 | 16.1 ± 6.3 |
| Bare soil | 28 June | 7.0~25.0 | 16.0 ± 6.2 |
| A. anethifolia cover | 21 July | 7.0~26.0 | 14.9 ± 6.3 |
| A. anethifolia removal | 22 July | 6.0~19.0 | 12.4 ± 3.6 |
| Bare soil | 23 July | 6.0~19.0 | 12.4 ± 3.6 |
| A. anethifolia cover | 22 August | 8.0~26.0 | 16.2 ± 5.8 |
| A. anethifolia removal | 23 August | 6.0~26.0 | 16.4 ± 5.6 |
| Bare soil | 24 August | 6.0~26.0 | 16.4 ± 5.6 |
| A. anethifolia cover | 27 September | 7.0~30.0 | 16.0 ± 6.8 |
| A. anethifolia removal | 28 September | 6.0~27.0 | 14.0 ± 6.5 |
| Bare soil | 29 September | 6.0~28.0 | 14.1 ± 6.6 |
| Treatments | Month | ||||
|---|---|---|---|---|---|
| 5 | 6 | 7 | 8 | 9 | |
| A. anethifolia cover | 34.8 ± 1.5 | 33.2 ± 1.0 | 35.4 ± 1.8 | 33.8 ± 0.7 | 33.2 ± 0.7 |
| A. anethifolia removal | 32.8 ± 0.8 | 32.8 ± 0.7 | 35.4 ± 0.5 | 33.8 ± 1.0 | 32.8 ± 1.0 |
| Bare soil | 35.2 ± 1.0 | 35.6 ± 0.5 | 36.2 ± 0.4 | 34.4 ± 0.8 | 33.4 ± 0.4 |
| Treatments | Date | Mean Hg Flux (Range) | SD | Emission | SD | n1 | Deposition | SD | n2 |
|---|---|---|---|---|---|---|---|---|---|
| A. anethifolia cover | 9 May | 6.7 (−18~40.5) | 13.8 | 17.0 | 10.4 | 157 | −6.0 | 3.7 | 131 |
| A. anethifolia removal | 10 May | 6.7 (−24.8~45) | 15.6 | 18.1 | 11.0 | 162 | −8.6 | 4.9 | 126 |
| Bare soil | 11 May | 6.2 (−24.8~36) | 14.7 | 17.2 | 9.7 | 162 | −8.6 | 4.9 | 126 |
| A. anethifolia cover | 26 June | 5.4 (−27~36) | 14.7 | 14.5 | 10.2 | 188 | −10.3 | 7.1 | 100 |
| A. anethifolia removal | 27 June | 5.9 (−20.0~36.0) | 14.2 | 13.4 | 12.1 | 184 | −7.5 | 4.7. | 104 |
| Bare soil | 28 June | 6.9 (−18.0~36.0) | 14.3 | 14.2 | 12.8 | 184 | −6.1 | 3.3 | 104 |
| A. anethifolia cover | 21 July | 6.5 (−18~47.3) | 14.5 | 15.5 | 10.8 | 176 | −9.2 | 4.5 | 112 |
| A. anethifolia removal | 22 July | 7.1(−18.0-36.0) | 13.6 | 17.2 | 7.2 | 170 | −8.5 | 3.6 | 118 |
| Bare soil | 23 July | 7.1 (−18.0~36) | 13.6 | 17.2 | 7.2 | 170 | −8.5 | 3.6 | 118 |
| A. anethifolia cover | 22 August | 6.0 (−18.0~29.0) | 11.0 | 13.7 | 6.0 | 177 | −7.3 | 3.0 | 111 |
| A. anethifolia removal | 23 August | 6.6 (−24.8~36) | 13.1 | 14.8 | 9..8 | 176 | −7.1 | 4.3 | 112 |
| Bare soil | 24 August | 6.6 (−24.8~36.0) | 13.1 | 14.8 | 9.8 | 176 | −7.1 | 4.3 | 112 |
| A. anethifolia cover | 27 September | 5.7 (−18.0~36.0) | 12.7 | 15.9 | 9.5 | 148 | −6.3 | 3.5 | 140 |
| A. anethifolia removal | 28 September | 6.5 (−13.5~33.8) | 12.8 | 16.1 | 8.4 | 164 | −7.2 | 2.7 | 124 |
| Bare soil | 29 September | 5.9 (−13.5~29.3) | 11.9 | 14.9 | 7.2 | 164 | −7.2 | 2.7 | 124 |
| Treatments | Air Temperature | Relative Humidity | Solar Radiation | Soil Temperature | Soil Moisture |
|---|---|---|---|---|---|
| forbs coverage | p = 0.001 | p = 0.000 | p = 0.000 | p = 0.021 | p = 0.032 |
| forbs removal | p = 0.001 | p = 0.001 | p = 0.000 | p = 0.023 | p = 0.034 |
| Bare soil | p = 0.001 | p= 0.001 | p = 0.000 | p = 0.015 | p = 0.036 |
| Terrestrial Surfaces | Hg Fluxes (ng·m−2·h−1) |
|---|---|
| Global natural emissions | 0.7–1.1 |
| A. anethifolia cover | 5.4 ± 14.7–6.7 ± 14.8 |
| A. anethifolia removal | 5.9 ± 14.2–7.1 ± 13.6 |
| Bare soil | 5.9 ± 11.9–7.1 ± 13.6 |
| Changbai temperate forest | 4.4 ± 28.74 |
| Changbai temperate cropland | −11.8–7.1 |
| Urban grassland | 718 ± 1517 and 4115 ± 1512 |
| Hg-mining area | 33–3638 |
Publisher’s Note: MDPI stays neutral with regard to jurisdictional claims in published maps and institutional affiliations. |
© 2021 by the authors. Licensee MDPI, Basel, Switzerland. This article is an open access article distributed under the terms and conditions of the Creative Commons Attribution (CC BY) license (https://creativecommons.org/licenses/by/4.0/).
Share and Cite
Zhang, G.; Zhou, X.; Li, X.; Wang, L.; Li, X.; Luo, Z.; Zhang, Y.; Yang, Z.; Hu, R.; Tang, Z.; et al. Gaseous Elemental Mercury Exchange Fluxes over Air-Soil Interfaces in the Degraded Grasslands of Northeastern China. Biology 2021, 10, 917. https://doi.org/10.3390/biology10090917
Zhang G, Zhou X, Li X, Wang L, Li X, Luo Z, Zhang Y, Yang Z, Hu R, Tang Z, et al. Gaseous Elemental Mercury Exchange Fluxes over Air-Soil Interfaces in the Degraded Grasslands of Northeastern China. Biology. 2021; 10(9):917. https://doi.org/10.3390/biology10090917
Chicago/Turabian StyleZhang, Gang, Xuhang Zhou, Xu Li, Lei Wang, Xiangyun Li, Zheng Luo, Yangjie Zhang, Zhiyun Yang, Rongfang Hu, Zhanhui Tang, and et al. 2021. "Gaseous Elemental Mercury Exchange Fluxes over Air-Soil Interfaces in the Degraded Grasslands of Northeastern China" Biology 10, no. 9: 917. https://doi.org/10.3390/biology10090917
APA StyleZhang, G., Zhou, X., Li, X., Wang, L., Li, X., Luo, Z., Zhang, Y., Yang, Z., Hu, R., Tang, Z., Wang, D., & Wang, Z. (2021). Gaseous Elemental Mercury Exchange Fluxes over Air-Soil Interfaces in the Degraded Grasslands of Northeastern China. Biology, 10(9), 917. https://doi.org/10.3390/biology10090917

