Quantitative Rapid Test for Detection and Monitoring of Active Pulmonary Tuberculosis in Nonhuman Primates
Abstract
:Simple Summary
Abstract
1. Introduction
2. Materials and Methods
2.1. Ethics
2.2. NHP Study Cohorts
2.3. UCP Conjugates
2.4. Lateral Flow (LF) Strips
2.5. UCP-LFAs
2.6. Statistical Analysis
3. Results
3.1. Detection of MTB Infection in Rhesus Macaques Using UCP-LFAs for Human Serum Proteins
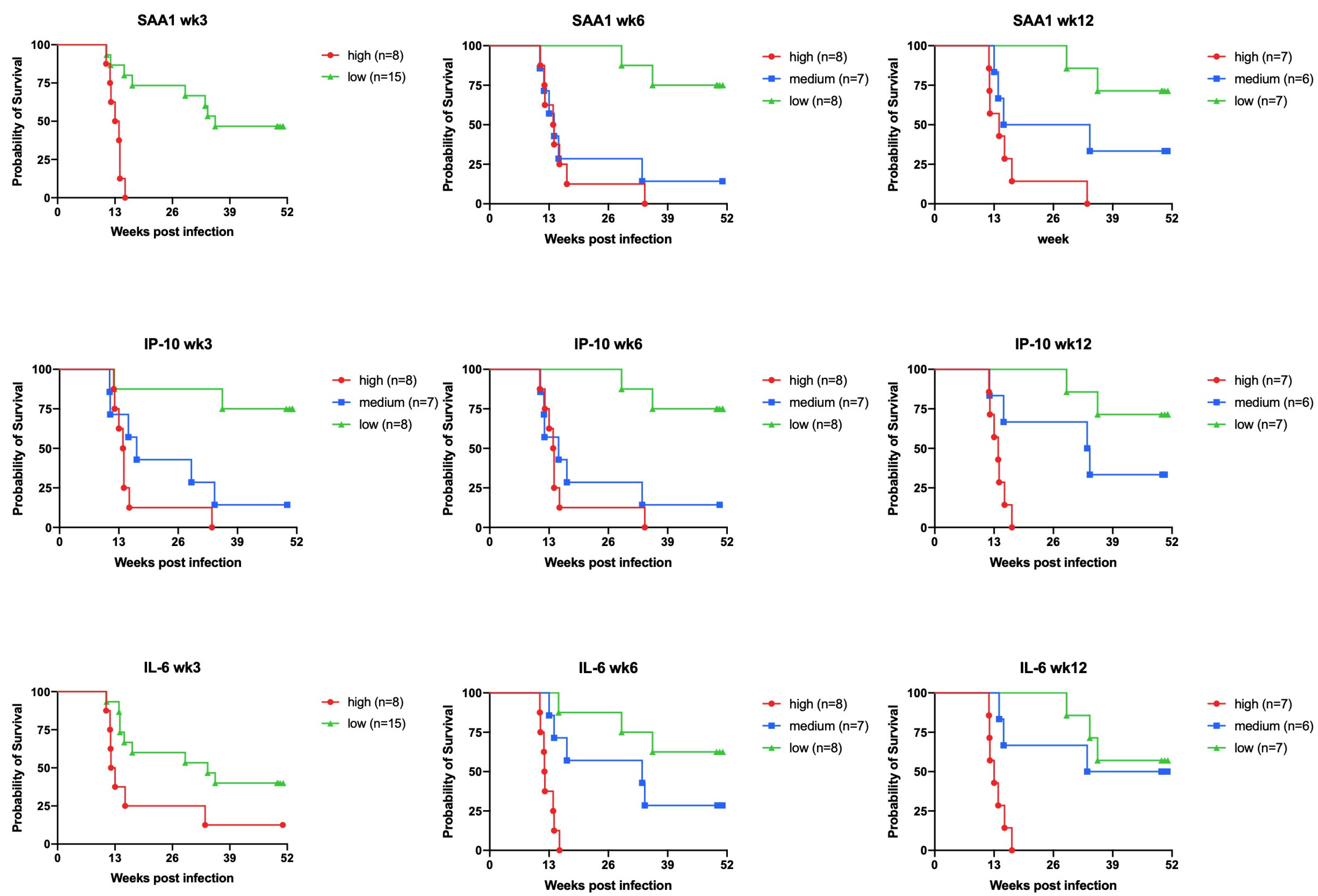
3.2. Diagnostic Performance Relative to Infection Dose
3.3. Diagnostic Performance Relative to Time after Infection
3.4. Correlation between UCP-LFA Signals and TB Pathology
3.5. Verification of the Diagnostic Potential of UCP-LFAs under Experimental Conditions
4. Discussion
5. Conclusions
Supplementary Materials
Author Contributions
Funding
Institutional Review Board Statement
Informed Consent Statement
Data Availability Statement
Acknowledgments
Conflicts of Interest
References
- WHO. Global Tuberculosis Report 2020. 2020. Available online: https://www.who.int/tb/publications/global_report/en/ (accessed on 6 July 2021).
- Capuano, S.V.; Croix, D.A.; Pawar, S.; Zinovik, A.; Myers, A.; Lin, P.L.; Bissel, S.; Fuhrman, C.; Klein, E.; Flynn, J.L. Experimental Mycobacterium tuberculosis infection of cynomolgus macaques closely resembles the various manifestations of human M. tuberculosis infection. Infect. Immun. 2003, 71, 5831–5844. [Google Scholar] [CrossRef] [Green Version]
- Walsh, G.P.; Tan, E.V.; dela Cruz, E.C.; Abalos, R.M.; Villahermosa, L.G.; Young, L.J.; Cellona, R.V.; Nazareno, J.B.; Horwitz, M.A. The Philippine cynomolgus monkey (Macaca fasicularis) provides a new nonhuman primate model of tuberculosis that resembles human disease. Nat. Med. 1996, 2, 430–436. [Google Scholar] [CrossRef]
- Zhang, J.; Ye, Y.Q.; Wang, Y.; Mo, P.Z.; Xian, Q.Y.; Rao, Y.; Bao, R.; Dai, M.; Liu, J.Y.; Guo, M.; et al. M. tuberculosis H37Rv infection of Chinese rhesus macaques. J. Neuroimmune Pharm. 2011, 6, 362–370. [Google Scholar] [CrossRef]
- Geluk, A.; Elferink, D.G.; Slierendregt, B.L.; van Meijgaarden, K.E.; de Vries, R.R.; Ottenhoff, T.H.; Bontrop, R.E. Evolutionary conservation of major histocompatibility complex-DR/peptide/T cell interactions in primates. J. Exp. Med. 1993, 177, 979–987. [Google Scholar] [CrossRef] [Green Version]
- Elferink, B.G.; Geluk, A.; Otting, N.; Slierendregt, B.L.; van Meijgaarden, K.E.; de Vries, R.R.; Ottenhoff, T.H.; Bontrop, R.E. The biologic importance of conserved major histocompatibility complex class II motifs in primates. Hum. Immunol. 1993, 38, 201–205. [Google Scholar] [CrossRef]
- Maiello, P.; DiFazio, R.M.; Cadena, A.M.; Rodgers, M.A.; Lin, P.L.; Scanga, C.A.; Flynn, J.L. Rhesus macaques are more susceptible to progressive tuberculosis than cynomolgus macaques: A quantitative comparison. Infect. Immun. 2018, 86. [Google Scholar] [CrossRef] [Green Version]
- Flynn, J.L.; Capuano, S.V.; Croix, D.; Pawar, S.; Myers, A.; Zinovik, A.; Klein, E. Non-human primates: A model for tuberculosis research. Tuberculosis 2003, 83, 116–118. [Google Scholar] [CrossRef]
- Pena, J.C.; Ho, W.Z. Non-human primate models of tuberculosis. Microbiol. Spectr. 2016, 4, 10. [Google Scholar] [CrossRef] [Green Version]
- Langermans, J.A.; Andersen, P.; van Soolingen, D.; Vervenne, R.A.; Frost, P.A.; van der Laan, T.; van Pinxteren, L.A.; van den Hombergh, J.; Kroon, S.; Peekel, I.; et al. Divergent effect of bacillus Calmette-Guérin (BCG) vaccination on Mycobacterium tuberculosis infection in highly related macaque species: Implications for primate models in tuberculosis vaccine research. Proc. Natl. Acad. Sci. USA 2001, 98, 11497–11502. [Google Scholar] [CrossRef] [Green Version]
- Dijkman, K.; Vervenne, R.A.W.; Sombroek, C.C.; Boot, C.; Hofman, S.O.; van Meijgaarden, K.E.; Ottenhoff, T.H.M.; Kocken, C.H.M.; Haanstra, K.G.; Vierboom, M.P.M.; et al. disparate tuberculosis disease development in macaque species is associated with innate immunity. Front. Immunol. 2019, 10, 2479. [Google Scholar] [CrossRef]
- Dijkman, K.; Lubbers, R.; Borggreven, N.V.; Ottenhoff, T.H.M.; Joosten, S.A.; Trouw, L.A.; Verreck, F.A.W. Systemic and pulmonary C1q as biomarker of progressive disease in experimental non-human primate tuberculosis. Sci. Rep. 2020, 10, 6290. [Google Scholar] [CrossRef] [PubMed] [Green Version]
- Miller, M.A.; Finnegan, M.; Storms, T.; Garner, M.; Lyashchenko, K.P. Outbreak of Mycobacterium tuberculosis in a herd of captive Asian elephants (Elephas Maximus): Antemortem diagnosisI, treatment, and lessons learned. J. Zoo. Wildl. Med. 2018, 49, 748–754. [Google Scholar] [CrossRef]
- Paudel, S.; Sreevatsan, S. Tuberculosis in elephants: Origins and evidence of interspecies transmission. Tuberculosis 2020, 123, 101962. [Google Scholar] [CrossRef] [PubMed]
- Zlot, A.; Vines, J.; Nystrom, L.; Lane, L.; Behm, H.; Denny, J.; Finnegan, M.; Hostetler, T.; Matthews, G.; Storms, T.; et al. Diagnosis of tuberculosis in three zoo elephants and a human contact-Oregon, 2013. MMWR Morb. Mortal. Wkly. Rep. 2016, 64, 1398–1402. [Google Scholar] [CrossRef] [Green Version]
- Achkar, J.M.; Lawn, S.D.; Moosa, M.Y.S.; Wright, C.A.; Kasprowicz, V.O. Adjunctive tests for diagnosis of tuberculosis: Serology, ELISPOT for site-specific lymphocytes, urinary lipoarabinomannan, string test, and fine needle aspiration. J. Infect. Dis. 2011, 204, S1130–S1141. [Google Scholar] [CrossRef] [PubMed] [Green Version]
- CDC. Tuberculosis in imported nonhuman primates--United States, June 1990-May 1993. MMWR Morb. Mortal. Wkly. Rep. 1993, 42, 572–576. [Google Scholar]
- Richter, C.B.; Lehner, N.D.M.; Henrickson, R.V. Primates. In Laboratory Animal Medicine, 1st ed.; Fox, J.G., Cohen, B.J., Loew, F.M., Eds.; Elsevier: San Diego, CA, USA, 1984; pp. 297–383. [Google Scholar]
- Goodwin, B.T.; Jerome, C.P.; Bullock, B.C. Unusual lesion morphology and skin test reaction for Mycobacterium avium complex in macaques. Lab. Anim. Sci. 1988, 38, 20–24. [Google Scholar]
- Brammer, D.W.; O’Rourke, C.M.; Heath, L.A.; Chrisp, C.E.; Peter, G.K.; Hofing, G.L. Mycobacterium kansasii infection in squirrel monkeys (Saimiri sciureus). J. Med. Primatol. 1995, 24, 231–235. [Google Scholar] [CrossRef] [PubMed]
- Soave, O.; Jackson, S.; Ghumman, J.S. Atypical mycobacteria as the probable cause of positive tuberculin reactions in squirrel monkeys (Saimiri sciureus). Lab. Anim. Sci. 1981, 31, 295–296. [Google Scholar]
- Garcia, M.A.; Yee, J.; Bouley, D.M.; Moorhead, R.; Lerche, N.W. Diagnosis of tuberculosis in macaques, using whole-blood in vitro interferon-gamma (PRIMAGAM) testing. Comp. Med. 2004, 54, 86–92. [Google Scholar] [PubMed]
- Vervenne, R.A.; Jones, S.L.; van Soolingen, D.; van der Laan, T.; Andersen, P.; Heidt, P.J.; Thomas, A.W.; Langermans, J.A. TB diagnosis in non-human primates: Comparison of two interferon-gamma assays and the skin test for identification of Mycobacterium tuberculosis infection. Vet. Immunol. Immunopathol. 2004, 100, 61–71. [Google Scholar] [CrossRef]
- Bushmitz, M.; Lecu, A.; Verreck, F.; Preussing, E.; Rensing, S.; Mätz-Rensing, K. Guidelines for the prevention and control of tuberculosis in non-human primates: Recommendations of the European Primate Veterinary Association Working Group on Tuberculosis. J. Med. Primatol. 2009, 38, 59–69. [Google Scholar] [CrossRef] [PubMed]
- Bobosha, K.; Fat, E.; van den Eeden, S.J.F.; Bekele, Y.; van der Ploeg-van Schip, J.J.; de Dood, C.J.; Dijkman, K.; Franken, K.; Wilson, L.; Aseffa, A.; et al. Field-evaluation of a new lateral flow assay for detection of cellular and humoral immunity against Mycobacterium leprae. PLoS Negl. Trop. Dis. 2014, 8. [Google Scholar] [CrossRef] [PubMed] [Green Version]
- van Hooij, A.; Tjon Kon Fat, E.M.; Batista da Silva, M.; Carvalho Bouth, R.; Cunha Messias, A.C.; Gobbo, A.R.; Lema, T.; Bobosha, K.; Li, J.; Weng, X.; et al. Evaluation of immunodiagnostic tests for leprosy in Brazil, China and Ethiopia. Sci. Rep. 2018, 8, 17920. [Google Scholar] [CrossRef] [PubMed]
- van Hooij, A.; van den Eeden, S.; Richardus, R.; Fat, E.T.K.; Wilson, L.; Franken, K.; Faber, R.; Khatun, M.; Alam, K.; Chowdhury, A.S.; et al. Application of new host biomarker profiles in quantitative point-of-care tests facilitates leprosy diagnosis in the field. Ebiomedicine 2019, 47, 301–308. [Google Scholar] [CrossRef] [Green Version]
- van Hooij, A.; Tjon Kon Fat, E.M.; de Jong, D.; Khatun, M.; Soren, S.; Chowdhury, A.S.; Chandra Roy, J.; Alam, K.; Kim, J.-P.; Richardus, J.H.; et al. Prototype multi-biomarker test for point-of-care leprosy diagnostics. iScience 2021, 24, 102006. [Google Scholar] [CrossRef] [PubMed]
- Sutherland, J.S.; Mendy, J.; Gindeh, A.; Walzl, G.; Togun, T.; Owolabi, O.; Donkor, S.; Ota, M.O.; Kon Fat, E.T.; Ottenhoff, T.H.; et al. Use of lateral flow assays to determine IP-10 and CCL4 levels in pleural effusions and whole blood for TB diagnosis. Tuberculosis 2016, 96, 31–36. [Google Scholar] [CrossRef]
- Corstjens, P.; de Dood, C.J.; van der Ploeg-van Schip, J.J.; Wiesmeijer, K.C.; Riuttamaki, T.; van Meijgaarden, K.E.; Spencer, J.S.; Tanke, H.J.; Ottenhoff, T.H.M.; Geluk, A. Lateral flow assay for simultaneous detection of cellular- and humoral immune responses. Clin. Biochem. 2011, 44, 1241–1246. [Google Scholar] [CrossRef] [Green Version]
- van Hooij, A.; Tjon Kon Fat, E.M.; van den Eeden, S.J.F.; Wilson, L.; Batista da Silva, M.; Salgado, C.G.; Spencer, J.S.; Corstjens, P.; Geluk, A. Field-friendly serological tests for determination of M. leprae-specific antibodies. Sci. Rep. 2017, 7, 8868. [Google Scholar] [CrossRef] [Green Version]
- Corstjens, P.; van Hooij, A.; Fat, E.; van den Eeden, S.J.F.; Wilson, L.; Geluk, A. Field-friendly test for monitoring multiple immune response markers during onset and treatment of exacerbated immunity in leprosy. Clin. Vaccine Immunol. 2016, 23, 515–519. [Google Scholar] [CrossRef] [Green Version]
- Corstjens, P.L.; Tjon Kon Fat, E.M.; de Dood, C.J.; van der Ploeg-van Schip, J.J.; Franken, K.L.; Chegou, N.N.; Sutherland, J.S.; Howe, R.; Mihret, A.; Kassa, D.; et al. Multi-center evaluation of a user-friendly lateral flow assay to determine IP-10 and CCL4 levels in blood of TB and non-TB cases in Africa. Clin. Biochem. 2016, 49, 22–31. [Google Scholar] [CrossRef] [PubMed]
- van Hooij, A.; Tjon Kon Fat, E.M.; Richardus, R.; van den Eeden, S.J.; Wilson, L.; de Dood, C.J.; Faber, R.; Alam, K.; Richardus, J.H.; Corstjens, P.L.; et al. Quantitative lateral flow strip assays as user-friendly tools to detect biomarker profiles for leprosy. Sci. Rep. 2016, 6, 34260. [Google Scholar] [CrossRef] [PubMed] [Green Version]
- van Hooij, A.; Geluk, A. In search of biomarkers for leprosy by unraveling the host immune response to Mycobacterium leprae. Immunol. Rev. 2021. [Google Scholar] [CrossRef]
- Joosten, S.A.; Fletcher, H.A.; Ottenhoff, T.H. A helicopter perspective on TB biomarkers: Pathway and process based analysis of gene expression data provides new insight into TB pathogenesis. PLoS ONE 2013, 8, e73230. [Google Scholar] [CrossRef] [Green Version]
- Chegou, N.N.; Sutherland, J.S.; Malherbe, S.; Crampin, A.C.; Corstjens, P.; Geluk, A.; Mayanja-Kizza, H.; Loxton, A.G.; van der Spuy, G.; Stanley, K.; et al. Diagnostic performance of a seven-marker serum protein biosignature for the diagnosis of active TB disease in African primary healthcare clinic attendees with signs and symptoms suggestive of TB. Thorax 2016, 71, 785–794. [Google Scholar] [CrossRef] [PubMed] [Green Version]
- Chegou, N.N.; Sutherland, J.S.; Namuganga, A.R.; Corstjens, P.L.; Geluk, A.; Gebremichael, G.; Mendy, J.; Malherbe, S.; Stanley, K.; van der Spuy, G.D.; et al. Africa-wide evaluation of host biomarkers in QuantiFERON supernatants for the diagnosis of pulmonary tuberculosis. Sci. Rep. 2018, 8, 2675. [Google Scholar] [CrossRef] [PubMed]
- Mutavhatsindi, H.; van der Spuy, G.D.; Malherbe, S.T.; Sutherland, J.S.; Geluk, A.; Mayanja-Kizza, H.; Crampin, A.C.; Kassa, D.; Howe, R.; Mihret, A.; et al. Validation and optimization of host immunological bio-signatures for a point-of-care test for TB disease. Front. Immunol. 2021, 12, 607827. [Google Scholar] [CrossRef]
- Lubbers, R.; Sutherland, J.S.; Goletti, D.; de Paus, R.A.; van Moorsel, C.H.M.; Veltkamp, M.; Vestjens, S.M.T.; Bos, W.J.W.; Petrone, L.; Del Nonno, F.; et al. Complement component C1q as serum biomarker to detect active tuberculosis. Front. Immunol. 2018, 9, 2427. [Google Scholar] [CrossRef] [PubMed] [Green Version]
- van Hooij, A.; Tió-Coma, M.; Verhard, E.M.; Khatun, M.; Alam, K.; Tjon Kon Fat, E.; de Jong, D.; Sufian Chowdhury, A.; Corstjens, P.; Richardus, J.H.; et al. Household contacts of leprosy patients in endemic areas display a specific innate immunity profile. Front. Immunol. 2020, 11, 1811. [Google Scholar] [CrossRef] [PubMed]
- Smith, D.G.; McDonough, J. Mitochondrial DNA variation in Chinese and Indian rhesus macaques (Macaca mulatta). Am. J. Primatol. 2005, 65, 1–25. [Google Scholar] [CrossRef] [PubMed]
- Lin, P.L.; Rodgers, M.; Smith, L.; Bigbee, M.; Myers, A.; Bigbee, C.; Chiosea, I.; Capuano, S.V.; Fuhrman, C.; Klein, E.; et al. Quantitative comparison of active and latent tuberculosis in the cynomolgus macaque model. Infect. Immun. 2009, 77, 4631–4642. [Google Scholar] [CrossRef] [Green Version]
- Verreck, F.A.W.; Tchilian, E.Z.; Vervenne, R.A.W.; Sombroek, C.C.; Kondova, I.; Eissen, O.A.; Sommandas, V.; van der Werff, N.M.; Verschoor, E.; Braskamp, G.; et al. Variable BCG efficacy in rhesus populations: Pulmonary BCG provides protection where standard intra-dermal vaccination fails. Tuberculosis 2017, 104, 46–57. [Google Scholar] [CrossRef] [PubMed]
- Corstjens, P.L.; Li, S.; Zuiderwijk, M.; Kardos, K.; Abrams, W.R.; Niedbala, R.S.; Tanke, H.J. Infrared up-converting phosphors for bioassays. IEE Proc. Nanobiotechnol. 2005, 152, 64–72. [Google Scholar] [CrossRef] [Green Version]
- Corstjens, P.; Zuiderwijk, M.; Nilsson, M.; Feindt, H.; Niedbala, R.S.; Tanke, H.J. Lateral-flow and up-converting phosphor reporters to detect single-stranded nucleic acids in a sandwich-hybridization assay. Anal. Biochem. 2003, 312, 191–200. [Google Scholar] [CrossRef]
- Zuiderwijk, M.; Tanke, H.J.; Niedbala, R.S.; Corstjens, P. An amplification-free hybridization-based DNA assay to detect Streptococcus pneumoniae utilizing the up-converting phosphor technology. Clin. Biochem. 2003, 36, 401–403. [Google Scholar] [CrossRef]
- Corstjens, P.L.; Fidder, H.H.; Wiesmeijer, K.C.; de Dood, C.J.; Rispens, T.; Wolbink, G.J.; Hommes, D.W.; Tanke, H.J. A rapid assay for on-site monitoring of infliximab trough levels: A feasibility study. Anal. Bioanal. Chem. 2013, 405, 7367–7375. [Google Scholar] [CrossRef] [PubMed]
- Fluss, R.; Faraggi, D.; Reiser, B. Estimation of the Youden index and its associated cutoff point. Biom. J. 2005, 47, 458–472. [Google Scholar] [CrossRef] [PubMed] [Green Version]
- Corstjens, P.; van Hooij, A.; Tjon Kon Fat, E.M.; Alam, K.; Vrolijk, L.B.; Dlamini, S.; da Silva, M.B.; Spencer, J.S.; Salgado, C.G.; Richardus, J.H.; et al. Fingerstick test quantifying humoral and cellular biomarkers indicative for M. leprae infection. Clin. Biochem. 2019, 66, 76–82. [Google Scholar] [CrossRef] [PubMed]
- Agranoff, D.; Fernandez-Reyes, D.; Papadopoulos, M.C.; Rojas, S.A.; Herbster, M.; Loosemore, A.; Tarelli, E.; Sheldon, J.; Schwenk, A.; Pollok, R.; et al. Identification of diagnostic markers for tuberculosis by proteomic fingerprinting of serum. Lancet 2006, 368, 1012–1021. [Google Scholar] [CrossRef]
- Jiang, T.T.; Shi, L.Y.; Wei, L.L.; Li, X.; Yang, S.; Wang, C.; Liu, C.M.; Chen, Z.L.; Tu, H.H.; Li, Z.J.; et al. Serum amyloid A, protein Z, and C4b-binding protein beta chain as new potential biomarkers for pulmonary tuberculosis. PLoS ONE 2017, 12, e0173304. [Google Scholar] [CrossRef]
- Krogh, A.K.; Lundsgaard, J.F.; Bakker, J.; Langermans, J.A.; Verreck, F.A.; Kjelgaard-Hansen, M.; Jacobsen, S.; Bertelsen, M.F. Acute-phase responses in healthy and diseased rhesus macaques (Macaca mulatta). J. Zoo. Wildl. Med. 2014, 45, 306–314. [Google Scholar] [CrossRef]
- Joosten, S.A.; van Meijgaarden, K.E.; Arend, S.M.; Prins, C.; Oftung, F.; Korsvold, G.E.; Kik, S.V.; Arts, R.J.W.; van Crevel, R.; Netea, M.G.; et al. Mycobacterial growth inhibition is associated with trained innate immunity. J. Clin. Investig. 2018, 128, 1837–1851. [Google Scholar] [CrossRef] [PubMed] [Green Version]
- Ruhwald, M.; Dominguez, J.; Latorre, I.; Losi, M.; Richeldi, L.; Pasticci, M.B.; Mazzolla, R.; Goletti, D.; Butera, O.; Bruchfeld, J.; et al. A multicentre evaluation of the accuracy and performance of IP-10 for the diagnosis of infection with M. tuberculosis. Tuberculosis 2011, 91, 260–267. [Google Scholar] [CrossRef]
- Min, F.; Wu, R.; Pan, J.; Huang, S.; Luo, Y.; Zhang, Y. Positive correlation between IP-10 and IFN-γ levels in rhesus monkeys (Macaca mulatta) with either naturally acquired or experimental infection of Mycobacterium tuberculosis. Biomed. Res. Int. 2017, 2017, 5089752. [Google Scholar] [CrossRef] [PubMed] [Green Version]
- Ahmad, R.; Xie, L.; Pyle, M.; Suarez, M.F.; Broger, T.; Steinberg, D.; Ame, S.M.; Lucero, M.G.; Szucs, M.J.; MacMullan, M.; et al. A rapid triage test for active pulmonary tuberculosis in adult patients with persistent cough. Sci. Transl. Med. 2019, 11. [Google Scholar] [CrossRef]
- Singh, P.P.; Goyal, A. Interleukin-6: A potent biomarker of mycobacterial infection. SpringerPlus 2013, 2, 686. [Google Scholar] [CrossRef] [PubMed] [Green Version]
- Chowdhury, I.H.; Choudhuri, S.; Sen, A.; Bhattacharya, B.; Ahmed, A.M.; Hazra, A.; Pal, N.K.; Bahar, B. Serum interleukin 6 (IL-6) as a potential biomarker of disease progression in active pulmonary tuberculosis following anti-tuberculosis drug therapy. Mol. Immunol. 2015, 63, 601–602. [Google Scholar] [CrossRef]
- Dijkman, K.; Sombroek, C.C.; Vervenne, R.A.W.; Hofman, S.O.; Boot, C.; Remarque, E.J.; Kocken, C.H.M.; Ottenhoff, T.H.M.; Kondova, I.; Khayum, M.A.; et al. Prevention of tuberculosis infection and disease by local BCG in repeatedly exposed rhesus macaques. Nat. Med. 2019, 25, 255–262. [Google Scholar] [CrossRef]
- Geluk, A.; Corstjens, P. CRP: Tell-tale biomarker or common denominator? Lancet Infect. Dis. 2017, 17, 1225–1227. [Google Scholar] [CrossRef]
- Verreck, F.A.; Vervenne, R.A.; Kondova, I.; van Kralingen, K.W.; Remarque, E.J.; Braskamp, G.; van der Werff, N.M.; Kersbergen, A.; Ottenhoff, T.H.; Heidt, P.J.; et al. MVA.85A boosting of BCG and an attenuated, phoP deficient M. tuberculosis vaccine both show protective efficacy against tuberculosis in rhesus macaques. PLoS ONE 2009, 4, e5264. [Google Scholar] [CrossRef] [Green Version]
- Schilling, A.-K.; van Hooij, A.; Corstjens, P.; Lurz, P.W.W.; DelPozo, J.; Stevenson, K.; Meredith, A.; Geluk, A. Detection of humoral immunity to mycobacteria causing leprosy in Eurasian red squirrels (Sciurus vulgaris) using a quantitative rapid test. Eur. J. Wildl. Res. 2019, 65. [Google Scholar] [CrossRef] [Green Version]







| (a). Assay performance to discriminate pre and postinfection (n = 75) | |||||||
| Cut off | Sensitivity (%) | 95% CI (%) | Specificity (%) | 95% CI (%) | AUC-ROC | p Value | |
| SAA1 | R > 0.336 | 66.67 | 55.42 to 76.29 | 100 | 95.13 to 100.0 | 0.8241 | <0.0001 |
| IP-10 | R > 0.766 | 61.33 | 50.02 to 71.54 | 93.33 | 85.32 to 97.12 | 0.8445 | <0.0001 |
| IL-6 | R > 0.034 | 60 | 48.69 to 70.34 | 94.67 | 87.07 to 97.91 | 0.7907 | <0.0001 |
| 3BM | #pos BM ≥ 1 | 78.67 | 68.12 to 86.42 | 89.33 | 80.34 to 94.50 | 0.8694 | <0.0001 |
| (b). Assay performance to discriminate pre and postinfection (n = 36) | |||||||
| Cut off | Sensitivity (%) | 95% CI (%) | Specificity (%) | 95% CI (%) | AUC-ROC | p Value | |
| SAA1 | R > 0.350 | 75.00 | 58.93 to 86.25 | 100 | 90.36 to 100.00 | 0.8738 | <0.0001 |
| IP-10 | R > 0.656 | 86.11 | 71.34 to 93.92 | 91.67 | 78.17 to 97.13 | 0.9502 | <0.0001 |
| IL-6 | R > 0.055 | 63.89 | 47.58 to 77.52 | 97.22 | 85.83 to 99.86 | 0.8214 | <0.0001 |
| 3BM | #pos BM ≥ 1 | 86.11 | 71.34 to 93.92 | 88.89 | 74.69 to 95.59 | 0.9150 | <0.0001 |
| (a). AUCs of high-dose MTB infected RMs (n = 24) | ||||||
| wk3 | wk6 | wk9 | wk12 | |||
| SAA1 | 0.903 | 0.951 | 0.894 | 0.889 | ||
| IP-10 | 0.858 | 0.984 | 1.000 | 0.956 | ||
| IL-6 | 0.854 | 0.938 | 0.955 | 0.905 | ||
| 3BM | 0.948 | 0.997 | 0.996 | 0.968 | ||
| (b). AUCs of low-dose MTB infected RMs (n = 12) | ||||||
| wk2 | wk4 | wk6 | wk8 | wk10 | wk12 | |
| SAA1 | 0.531 | 0.868 | 0.747 | 0.763 | 0.750 | 0.774 |
| IP-10 | 0.646 | 0.944 | 0.944 | 0.883 | 0.870 | 0.952 |
| IL-6 | 0.597 | 0.795 | 0.799 | 0.783 | 0.655 | 0.571 |
| 3BM | 0.583 | 0.8958 | 0.875 | 0.858 | 0.964 | 0.821 |
Publisher’s Note: MDPI stays neutral with regard to jurisdictional claims in published maps and institutional affiliations. |
© 2021 by the authors. Licensee MDPI, Basel, Switzerland. This article is an open access article distributed under the terms and conditions of the Creative Commons Attribution (CC BY) license (https://creativecommons.org/licenses/by/4.0/).
Share and Cite
Zhou, Z.; van Hooij, A.; Vervenne, R.; Sombroek, C.C.; Tjon Kon Fat, E.M.; Ottenhoff, T.H.M.; Corstjens, P.L.A.M.; Verreck, F.; Geluk, A. Quantitative Rapid Test for Detection and Monitoring of Active Pulmonary Tuberculosis in Nonhuman Primates. Biology 2021, 10, 1260. https://doi.org/10.3390/biology10121260
Zhou Z, van Hooij A, Vervenne R, Sombroek CC, Tjon Kon Fat EM, Ottenhoff THM, Corstjens PLAM, Verreck F, Geluk A. Quantitative Rapid Test for Detection and Monitoring of Active Pulmonary Tuberculosis in Nonhuman Primates. Biology. 2021; 10(12):1260. https://doi.org/10.3390/biology10121260
Chicago/Turabian StyleZhou, Zijie, Anouk van Hooij, Richard Vervenne, Claudia C. Sombroek, Elisa M. Tjon Kon Fat, Tom H. M. Ottenhoff, Paul L. A. M. Corstjens, Frank Verreck, and Annemieke Geluk. 2021. "Quantitative Rapid Test for Detection and Monitoring of Active Pulmonary Tuberculosis in Nonhuman Primates" Biology 10, no. 12: 1260. https://doi.org/10.3390/biology10121260
APA StyleZhou, Z., van Hooij, A., Vervenne, R., Sombroek, C. C., Tjon Kon Fat, E. M., Ottenhoff, T. H. M., Corstjens, P. L. A. M., Verreck, F., & Geluk, A. (2021). Quantitative Rapid Test for Detection and Monitoring of Active Pulmonary Tuberculosis in Nonhuman Primates. Biology, 10(12), 1260. https://doi.org/10.3390/biology10121260

